Stability of Maize Phenology Predictions by Using Calendar Days, Thermal Functions, and Photothermal Functions
Abstract
1. Introduction
2. Materials and Methods
2.1. Experimental Site and Design
2.2. Field Management and Data Collection
2.2.1. Field Management
2.2.2. Field Measurements
2.3. Thermal Functions
- Growing Degree Days (GDD10,30)
- 2.
- Growing Degree Days (GDD8,34)
- 3.
- General Thermal Index (GTI)
- 4.
- Crop Heat Unit (CHU)
- 5.
- Thermal Leaf Unit (TLU)
- 6.
- Enzymatic Response (EnzymResp)
- 7.
- Agricultural Production Systems Simulator (APSIM)
- 8.
- World Food Studies (WOFOST)
2.4. Photothermal Functions
2.5. Evaluation
2.6. Data Analysis
3. Results and Discussion
3.1. Stability of Phenological Stage Predictions Obtained Using Calendar Days and Thermal Functions in Three Maize Varieties
3.2. Stability of Phenological Stage Predictions Obtained Using Calendar Days and Thermal Functions for Various Sowing Dates
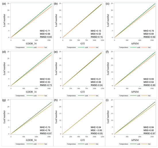
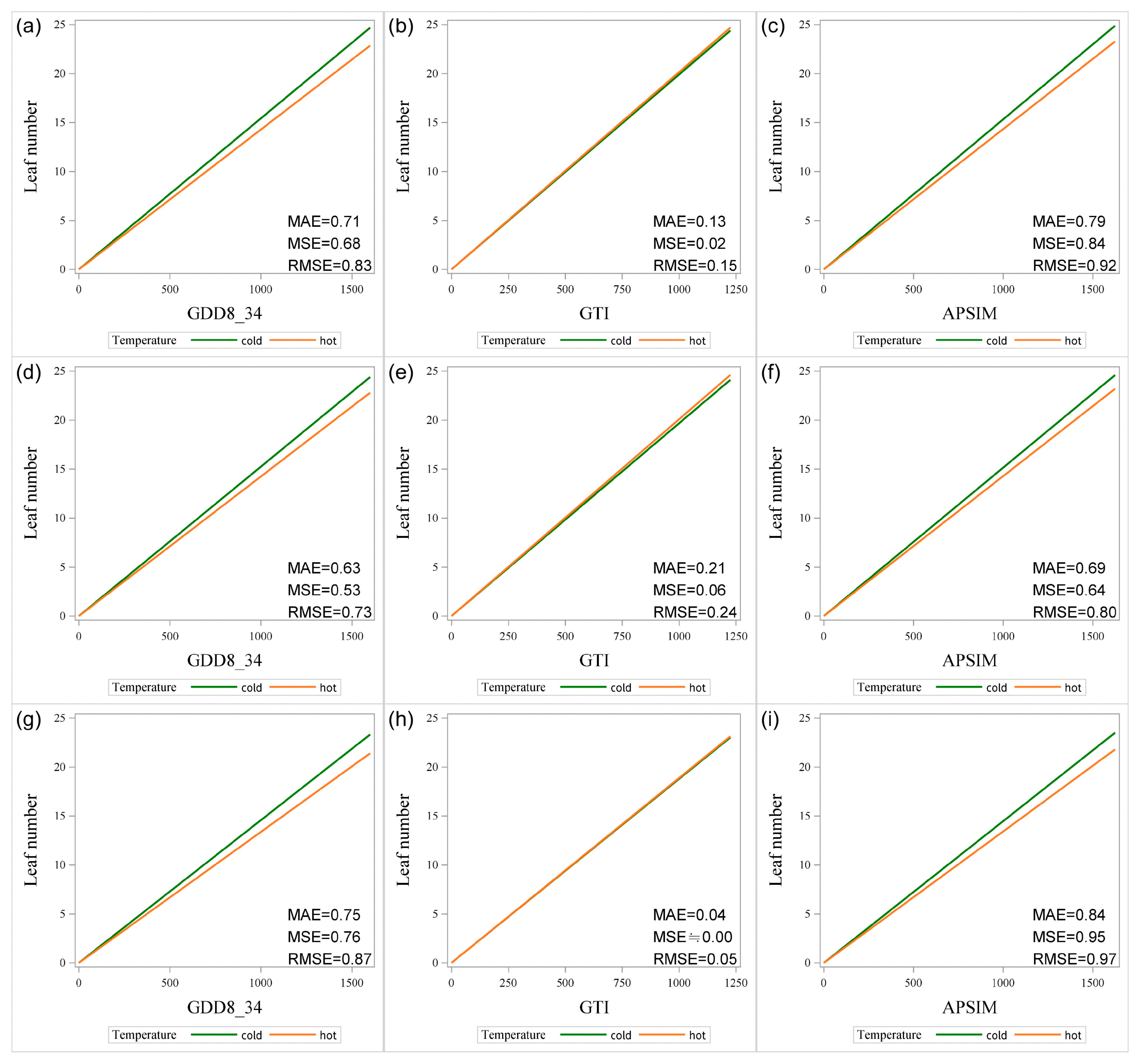
3.3. Evaluating Thermal Function Stability by Using the Cumulative Temperature and Leaf Number Relationship
3.4. Stability of Phenological Stage Predictions Obtained Using Calendar Days, Thermal Functions, and Photothermal Functions
4. Conclusions
Author Contributions
Funding
Data Availability Statement
Conflicts of Interest
Abbreviations
| APSIM | agricultural production systems simulator |
| ANOVA | analysis of variance |
| CHU | crop heat units |
| CV | coefficient of variation |
| Days | calendar days |
| DTR | diurnal temperature range |
| DVR | daily development rate |
| EnzymResp | enzymatic response |
| GDD | growing degree days |
| GTI | general thermal index |
| GTIrep | general thermal index during the reproductive growth period |
| GTIveg | general thermal index during the vegetative growth period |
| HTU | heliothermal units |
| HTUAPSIM | heliothermal units with APSIM |
| HTUGDD | heliothermal units with GDD8,34 |
| HTUGTI | heliothermal units with GTI |
| MAE | mean absolute error |
| MSE | mean square error |
| PTU | photothermal units |
| PTUAPSIM | photothermal units with APSIM |
| PTUGDD | photothermal units with GDD8,34 |
| PTUGTI | photothermal units with GTI |
| RCBD | randomized complete block design |
| RMSE | root-mean-square error |
| TLU | thermal leaf units |
| WOFOST | World Food Studies |
Appendix A


| Experiment Code | Soil Texture | Organic Matter (%) | pH |
|---|---|---|---|
| 2021-S | clay loam | 2.14 | 5.86 |
| 2021-F | clay loam | 2.21 | 6.28 |
| 2022-S | clay loam | 1.83 | 6.03 |
| 2022-F | clay loam | 1.64 | 5.89 |
| 2023-S | clay loam | 2.07 | 5.61 |
| 2023-F | clay loam | 1.15 | 6.59 |
| 2024-S | clay loam | 2.24 | 5.59 |
References
- Raza, A.; Razzaq, A.; Mehmood, S.S.; Zou, X.; Zhang, X.; Lv, Y.; Xu, J. Impact of climate change on crops adaptation and strategies to tackle its outcome: A review. Plants 2019, 8, 34. [Google Scholar] [CrossRef]
- Janni, M.; Maestri, E.; Gulli, M.; Marmiroli, M.; Marmiroli, N. Plant responses to climate change, how global warming may impact on food security: A critical review. Front. Plant Sci. 2024, 14, 1297569. [Google Scholar] [CrossRef] [PubMed]
- Luo, Y.-C.; Zhang, Z.; Zhang, L.-L.; Zhang, J.; Tao, F.-L. Weakened maize phenological response to climate warming in China over 1981–2018 due to cultivar shifts. Adv. Clim. Change Res. 2022, 13, 710–720. [Google Scholar] [CrossRef]
- Qin, M.; Li, R.; Ye, H.; Nie, C.; Zhang, Y. Study on the Extraction of Maize Phenological Stages Based on Multiple Spectral Index Time-Series Curves. Agriculture 2024, 14, 2052. [Google Scholar] [CrossRef]
- Wu, H.; Liu, B.; Zhu, B.; Zhen, Z.; Song, K.; Ren, J. Combining Vegetation Indices to Identify the Maize Phenological Information Based on the Shape Model. Agriculture 2024, 14, 1608. [Google Scholar] [CrossRef]
- Sala, R.G.; Andrade, F.H.; Westgate, M.E. Maize kernel moisture at physiological maturity as affected by the source–sink relationship during grain filling. Crop Sci. 2007, 47, 711–714. [Google Scholar] [CrossRef]
- Gao, S.; Ming, B.; Li, L.-l.; Yin, X.-b.; Xue, J.; Wang, K.-r.; Xie, R.-z.; Li, S.-k. Relationship and distribution of in-field dry-down and equilibrium in maize grain moisture content. Agric. For. Meteorol. 2021, 304, 108409. [Google Scholar] [CrossRef]
- Wang, Y.; Tao, H.; Tian, B.; Sheng, D.; Xu, C.; Zhou, H.; Huang, S.; Wang, P. Flowering dynamics, pollen, and pistil contribution to grain yield in response to high temperature during maize flowering. Environ. Exp. Bot. 2019, 158, 80–88. [Google Scholar] [CrossRef]
- dos Santos, C.L.; Abendroth, L.J.; Coulter, J.A.; Nafziger, E.D.; Suyker, A.; Yu, J.; Schnable, P.S.; Archontoulis, S.V. Maize leaf appearance rates: A synthesis from the United States Corn Belt. Front. Plant Sci. 2022, 13, 872738. [Google Scholar] [CrossRef]
- Ritchie, J.T.; Nesmith, D.S. Temperature and crop development. In Modeling Plant and Soil Systems; Hanks, J., Ritchie, J.T., Eds.; Agronomy Monograph 31; ASA, CSSA, SSSA: Madison, WI, USA, 1991; pp. 5–29. [Google Scholar] [CrossRef]
- Kiniry, J.; Ritchie, J.; Musser, R. Dynamic Nature of the Photoperiod Response in Maize 1. Agron. J. 1983, 75, 700–703. [Google Scholar] [CrossRef]
- Wopereis, M.; Kropff, M.; Maligaya, A.; Tuong, T. Drought-stress responses of two lowland rice cultivars to soil water status. Field Crops Res. 1996, 46, 21–39. [Google Scholar] [CrossRef]
- Tsimba, R.; Edmeades, G.O.; Millner, J.P.; Kemp, P.D. The effect of planting date on maize: Phenology, thermal time durations and growth rates in a cool temperate climate. Field Crops Res. 2013, 150, 145–155. [Google Scholar] [CrossRef]
- Cross, H.; Zuber, M. Prediction of flowering dates in maize based on different methods of estimating thermal units 1. Agron. J. 1972, 64, 351–355. [Google Scholar] [CrossRef]
- Warrington, I.; Kanemasu, E. Corn Growth Response to Temperature and Photoperiod. III. Leaf Number 1. Agron. J. 1983, 75, 762–766. [Google Scholar] [CrossRef]
- Ellis, R.; Summerfield, R.; Edmeades, G.; Roberts, E. Photoperiod, temperature, and the interval from sowing to tassel initiation in diverse cultivars of maize. Crop Sci. 1992, 32, 1225–1232. [Google Scholar] [CrossRef]
- Birch, C.; Hammer, G.L.; Rickert, K. Temperature and photoperiod sensitivity of development in five cultivars of maize (Zea mays L.) from emergence to tassel initiation. Field Crops Res. 1998, 55, 93–107. [Google Scholar] [CrossRef]
- Hunter, R.; Hunt, L.; Kannenberg, L. Photoperiod and temperature effects on corn. Can. J. Plant Sci. 1974, 54, 71–78. [Google Scholar] [CrossRef][Green Version]
- Potgieter, A.B.; Zhao, Y.; Zarco-Tejada, P.J.; Chenu, K.; Zhang, Y.; Porker, K.; Biddulph, B.; Dang, Y.P.; Neale, T.; Roosta, F.; et al. Evolution and application of digital technologies to predict crop type and crop phenology in agriculture. In Silico Plants 2021, 3, diab017. [Google Scholar] [CrossRef]
- Zhao, Y.; Meng, Y.; Han, S.; Feng, H.; Yang, G.; Li, Z. Should phenological information be applied to predict agronomic traits across growth stages of winter wheat? Crop J. 2022, 10, 1346–1352. [Google Scholar] [CrossRef]
- Liu, Y.; Xie, R.; Hou, P.; Li, S.; Zhang, H.; Ming, B.; Long, H.; Liang, S. Phenological responses of maize to changes in environment when grown at different latitudes in China. Field Crops Res. 2013, 144, 192–199. [Google Scholar] [CrossRef]
- Xu, H.; Ming, B.; Wang, K.; Xue, J.; Hou, P.; Li, S.; Xie, R. The effects of photoperiod and temperature-related factors on maize leaf number and leaf positional distribution in the field. Front. Plant Sci. 2023, 14, 1006245. [Google Scholar] [CrossRef]
- Soler, C.T.; Sentelhas, P.; Hoogenboom, G. Thermal time for phenological development of four maize hybrids grown off-season in a subtropical environment. J. Agric. Sci. 2005, 143, 169–182. [Google Scholar] [CrossRef]
- Kumudini, S.; Andrade, F.H.; Boote, K.J.; Brown, G.A.; Dzotsi, K.A.; Edmeades, G.O.; Gocken, T.; Goodwin, M.; Halter, A.L.; Hammer, G.L.; et al. Predicting maize phenology: Intercomparison of functions for developmental response to temperature. Agron. J. 2014, 106, 2087–2097. [Google Scholar] [CrossRef]
- Jones, J.W.; Hoogenboom, G.; Porter, C.H.; Boote, K.J.; Batchelor, W.D.; Hunt, L.; Wilkens, P.W.; Singh, U.; Gijsman, A.J.; Ritchie, J.T. The DSSAT cropping system model. Eur. J. Agron. 2003, 18, 235–265. [Google Scholar] [CrossRef]
- De Wit, A.; Boogaard, H.; Supit, I.; van den Berg, M. System Description of the WOFOST 7.2 Cropping Systems Model; Wageningen Environmental Research: Wageningen, The Netherlands, 2020. [Google Scholar]
- Liao, Z.-q.; Zheng, J.; Fan, J.-l.; Pei, S.-z.; Dai, Y.-l.; Zhang, F.-c.; Li, Z.-j. Novel models for simulating maize growth based on thermal time and photothermal units: Applications under various mulching practices. J. Integr. Agric. 2023, 22, 1381–1395. [Google Scholar] [CrossRef]
- Bassu, S.; Brisson, N.; Durand, J.L.; Boote, K.; Lizaso, J.; Jones, J.W.; Rosenzweig, C.; Ruane, A.C.; Adam, M.; Baron, C. How do various maize crop models vary in their responses to climate change factors? Glob. Change Biol. 2014, 20, 2301–2320. [Google Scholar] [CrossRef]
- Nuttonson, M.Y. Some preliminary observations of phenological data as a tool in the study of photoperiodic and thermal requirements of various plant material. In Vernalization and Photoperiodism; Murneek, A.E., Whyte, R.O., Eds.; Chronica Botanica: Waltham, MA, USA, 1948; pp. 129–143. Available online: https://www.cabidigitallibrary.org/doi/full/10.5555/19490701172 (accessed on 4 March 2025).
- Robertson, G.W. A biometeorological time scale for a cereal crop involving day and night temperatures and photoperiod. Int. J. Biometeorol. 1968, 12, 191–223. [Google Scholar] [CrossRef]
- Bell, J. Corn Growth Stages and Development; Texas A&M University: College Station, TX, USA, 2024. [Google Scholar]
- Wang, N.; Wang, J.; Wang, E.; Yu, Q.; Shi, Y.; He, D. Increased uncertainty in simulated maize phenology with more frequent supra-optimal temperature under climate warming. Eur. J. Agron. 2015, 71, 19–33. [Google Scholar] [CrossRef]
- Lu, H.Y. The meanings and outlook of crop modeling. Taiwan Agric. Bimon. 1997, 33, 12–20. [Google Scholar]
- Gilmore, E.C.; Rogers, J.S. Heat units as a method of measuring maturity in corn. Agron. J. 1958, 50, 611–615. [Google Scholar] [CrossRef]
- Jones, C.A.; Kiniry, J.R.; Dyke, P.T. CERES-Maize: A Simulation Model of Maize Growth and Development; Texas A&M University Press: College Station, TX, USA, 1986. [Google Scholar]
- Tollenaar, M.; Daynard, T.B.; Hunter, R.B. Effect of temperature on rate of leaf appearance and flowering date in maize. Crop Sci. 1979, 19, 363–366. [Google Scholar] [CrossRef]
- Stewart, D.W.; Dwyer, L.M.; Carrigan, L.L. Phenological temperature response of maize. Agron. J. 1998, 90, 73–79. [Google Scholar] [CrossRef]
- Tollenaar, M.; Dwyer, L. Physiology of maize. In Crop Yield: Physiology and Processes; Smith, D.L., Ed.; Springer: Berlin/Heidelberg, Germany, 1999; pp. 169–204. [Google Scholar]
- Johnson, F.H.; Eyring, H.; Williams, R. The nature of enzyme inhibitions in bacterial luminescence: Sulfanilamide, urethane, temperature and pressure. J. Cell. Comp. Physiol. 1942, 20, 247–268. [Google Scholar] [CrossRef]
- Parent, B.; Tardieu, F. Temperature responses of developmental processes have not been affected by breeding in different ecological areas for 17 crop species. New Phytol. 2012, 194, 760–774. [Google Scholar] [CrossRef] [PubMed]
- Ali, M.; Hoque, M.; Hassan, A.; Khair, M. Photo-thermal unit requirement of wheat under different levels of irrigation. J. Bangladesh Agric. Univ. 2004, 2, 351–360. [Google Scholar] [CrossRef]
- Lizaso, J.I.; Ruiz-Ramos, M.; Rodríguez, L.; Gabaldon-Leal, C.; Oliveira, J.A.; Lorite, I.J.; Sánchez, D.; García, E.; Rodríguez, A. Impact of high temperatures in maize: Phenology and yield components. Field Crops Res. 2018, 216, 129–140. [Google Scholar] [CrossRef]
- Coelho, D.T.; Dale, R.F. An Energy-Crop Growth Variable and Temperature Function for Predicting Corn Growth and Development: Planting to Silking 1. Agron. J. 1980, 72, 503–510. [Google Scholar] [CrossRef]
- Dwyer, L.M.; Stewart, D.W.; Carrigan, L.; Ma, B.; Neave, P.; Balchin, D. A general thermal index for maize. Agron. J. 1999, 91, 940–946. [Google Scholar] [CrossRef]
- Zai, F.H.; Hamers, H.; McSharry, P.E. Evaluating the predictive accuracy of corn phenological durations in Iowa and Illinois. Agron. J. 2019, 111, 1128–1140. [Google Scholar] [CrossRef]
- Vennam, R.R.; Ramamoorthy, P.; Poudel, S.; Reddy, K.R.; Henry, W.B.; Bheemanahalli, R. Developing functional relationships between soil moisture content and corn early-season physiology, growth, and development. Plants 2023, 12, 2471. [Google Scholar] [CrossRef]
- Singh, G.; Narwal, S.; Rao, V.; Dahiya, D. Effect of sowing date on requirement of growing degree days, heliothermal units and photothermal units, and phenology of winter maize (Zea mays). Indian J. Agric. Sci. 1990, 60, 723–731. [Google Scholar]
- Shaykewich, C. An appraisal of cereal crop phenology modelling. J. Plant Sci. 1995, 75, 329–341. [Google Scholar] [CrossRef]
- Nelson, D.W.; Sommers, L.E. Total carbon, organic carbon, and organic matter. In Methods of Soil Analysis: Part 3 Chemical Methods; Sparks, D.L., Page, A.L., Helmke, P.A., Loeppert, R.H., Soltanpour, P.N., Tabatabai, M.A., Johnston, C.T., Sumner, M.E., Eds.; SSSA Book Series 5; ASA-CSSA-SSSA: Madison, WI, USA, 1996; pp. 961–1010. [Google Scholar] [CrossRef]




| Crop Season | Variety | Before Flowering | After Flowering | Whole Growth Period |
|---|---|---|---|---|
| Spring | TNG1 | 66.17 (5.12) | 47.47 (3.56) | 113.64 (6.49) |
| TNG7 | 66.33 (4.87) | 52.67 (4.53) | 119.00 (7.17) | |
| MF3 | 69.30 (5.1) | 53.90 (5.74) | 123.20 (5.33) | |
| Mean | 67.27 | 51.35 | 118.61 | |
| Fall | TNG1 | 55.17 (4.53) | 69.57 (7.51) | 124.73 (9.41) |
| TNG7 | 57.20 (5.96) | 78.37 (10.5) | 135.57 (11.2) | |
| MF3 | 59.47 (5.06) | 79.73 (9.27) | 139.20 (10.2) | |
| Mean | 57.28 | 75.89 | 133.17 |
| Year | 2021 Crop Season | 2022 Crop Season | 2023 Crop Season | 2024 Crop Season | |||
|---|---|---|---|---|---|---|---|
| Spring | Fall | Spring | Fall | Spring | Fall | Spring | |
| Sowing date | February 23 | August 31 | March 3 | August 23 | February 15 | September 19 | February 16 |
| September 10 | March 10 | September 22 | February 23 | September 26 | February 23 | ||
| September 27 | March 17 | September 27 | March 8 | October 3 | April 10 | ||
| April 8 | October 3 | March 16 | October 6 | ||||
| Coefficient of Variation (%) | |||||||||||
|---|---|---|---|---|---|---|---|---|---|---|---|
| Sowing Date | Days | GDD10,30 | GDD8,34 | GTI | CHU | TLU | EnzymResp | APSIM | WOFOST | Mean | |
| Spring | |||||||||||
| February | 2.57 ns | 2.86 ns | 2.80 ns | 2.58 ns | 2.52 ns | 2.76 ns | 2.87 ns | 2.71 ns | 2.80 ns | 2.72 | |
| March | 3.22 ns | 3.71 ns | 3.63 ns | 3.37 ns | 3.45 ns | 3.67 ns | 3.76 ns | 3.56 ns | 3.63 ns | 3.55 | |
| April | 2.01 ns | 2.18 ns | 2.20 ns | 2.09 ns | 2.13 ns | 2.16 ns | 2.20 ns | 2.20 ns | 2.20 ns | 2.15 | |
| Before flowering | |||||||||||
| Fall | |||||||||||
| August | 2.50 ab | 2.08 ab | 1.98 ab | 2.18 ab | 2.21 ab | 2.11 ab | 2.01 ab | 1.99 ab | 1.99 ab | 2.12 | |
| September | 5.38 a | 3.53 a | 3.63 a | 3.81 a | 3.86 a | 3.59 a | 3.56 a | 3.67 a | 3.63 a | 3.85 | |
| October | 1.84 b | 1.53 b | 1.54 b | 1.62 b | 1.64 b | 1.55 b | 1.50 b | 1.55 b | 1.54 b | 1.59 | |
| Spring | |||||||||||
| February | 3.65 ns | 3.42 ns | 3.49 ns | 3.44 ns | 3.43 ns | 3.41 ns | 3.41 ns | 3.47 ns | 3.48 ns | 3.47 | |
| March | 4.53 ns | 3.90 ns | 3.96 ns | 3.89 ns | 4.03 ns | 3.92 ns | 3.85 ns | 3.95 ns | 3.96 ns | 4.00 | |
| April | 2.10 ns | 2.04 ns | 2.03 ns | 1.94 ns | 2.09 ns | 2.06 ns | 2.03 ns | 2.02 ns | 2.01 ns | 2.04 | |
| After flowering | |||||||||||
| Fall | |||||||||||
| August | 1.71 b | 1.94 ns | 1.91 ns | 1.73 b | 1.80 ns | 1.90 ns | 1.96 ns | 1.86 ns | 1.91 ns | 1.86 | |
| September | 6.43 a | 4.59 ns | 4.58 ns | 5.03 a | 4.93 ns | 4.55 ns | 4.67 ns | 4.71 ns | 4.58 ns | 4.90 | |
| October | 2.68 ab | 2.66 ns | 2.72 ns | 2.62 ab | 2.69 ns | 2.67 ns | 2.67 ns | 2.69 ns | 2.72 ns | 2.68 | |
Disclaimer/Publisher’s Note: The statements, opinions and data contained in all publications are solely those of the individual author(s) and contributor(s) and not of MDPI and/or the editor(s). MDPI and/or the editor(s) disclaim responsibility for any injury to people or property resulting from any ideas, methods, instructions or products referred to in the content. |
© 2025 by the authors. Licensee MDPI, Basel, Switzerland. This article is an open access article distributed under the terms and conditions of the Creative Commons Attribution (CC BY) license (https://creativecommons.org/licenses/by/4.0/).
Share and Cite
Liu, Y.-Y.; Su, Y.-C.; Sun, P.-W.; Dai, H.-Y.; Kuo, B.-J. Stability of Maize Phenology Predictions by Using Calendar Days, Thermal Functions, and Photothermal Functions. Agriculture 2025, 15, 2020. https://doi.org/10.3390/agriculture15192020
Liu Y-Y, Su Y-C, Sun P-W, Dai H-Y, Kuo B-J. Stability of Maize Phenology Predictions by Using Calendar Days, Thermal Functions, and Photothermal Functions. Agriculture. 2025; 15(19):2020. https://doi.org/10.3390/agriculture15192020
Chicago/Turabian StyleLiu, Yen-Yu, Yuan-Chih Su, Ping-Wei Sun, Hung-Yu Dai, and Bo-Jein Kuo. 2025. "Stability of Maize Phenology Predictions by Using Calendar Days, Thermal Functions, and Photothermal Functions" Agriculture 15, no. 19: 2020. https://doi.org/10.3390/agriculture15192020
APA StyleLiu, Y.-Y., Su, Y.-C., Sun, P.-W., Dai, H.-Y., & Kuo, B.-J. (2025). Stability of Maize Phenology Predictions by Using Calendar Days, Thermal Functions, and Photothermal Functions. Agriculture, 15(19), 2020. https://doi.org/10.3390/agriculture15192020

