DOSA-YOLO: Improved Model Research for the Detection of Common Chicken Diseases Using Phenotypic Features
Abstract
1. Introduction
- This study employed an intelligent inspection robot for routine inspections and data collection. By integrating image data and pathological anatomical features for annotation, a high-quality dataset was constructed, containing five disease states: avian pox, coccidiosis, Mycoplasma gallisepticum, Newcastle disease, and healthy chickens.
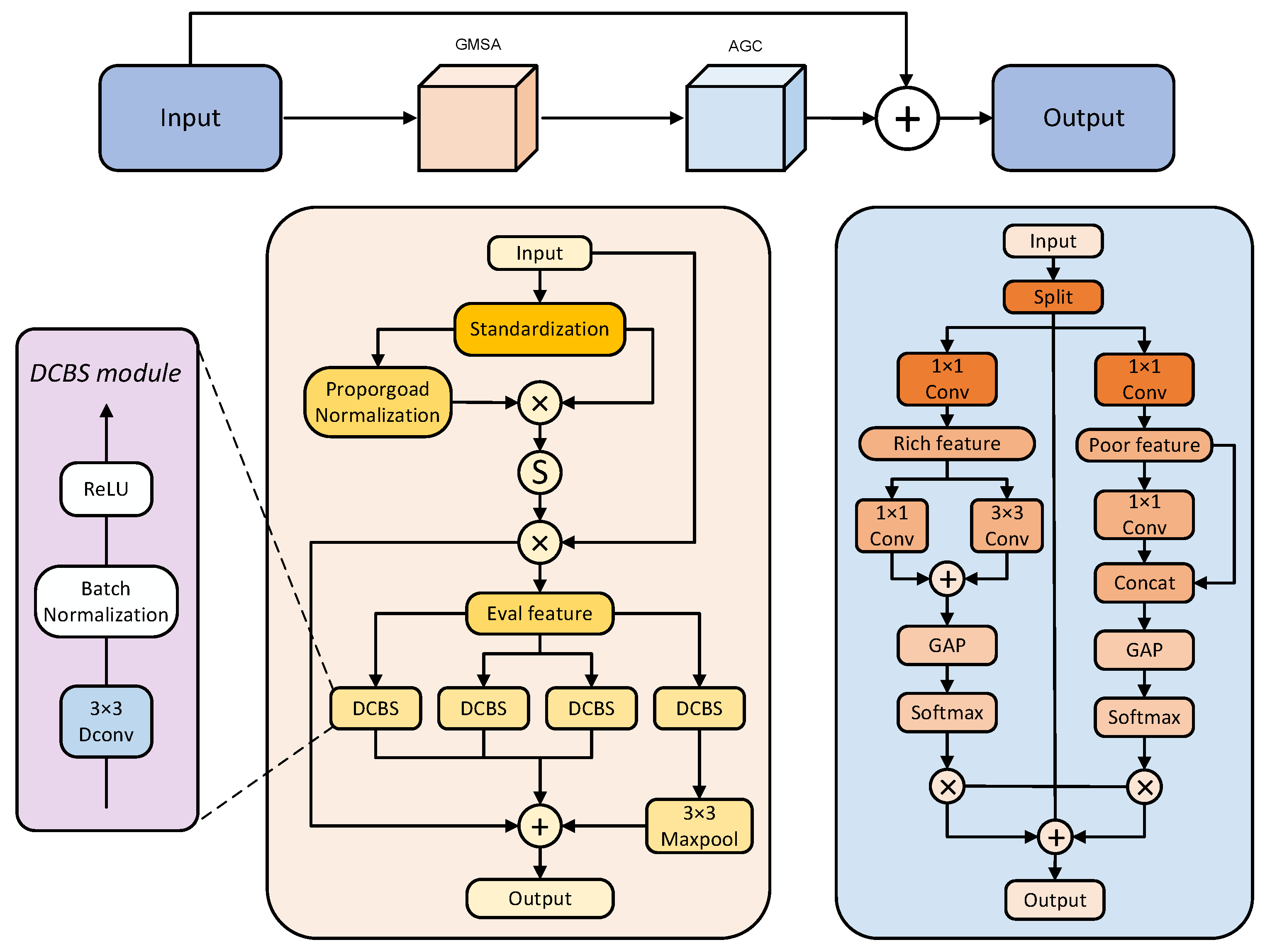
- To address the challenges of multi-scale lesion recognition, partial occlusion interference, and real-time detection in farming scenarios, MDJA, SEAM, and MSDA attention mechanisms were incorporated into the YOLOv11 architecture. The innovative DOSA-YOLO model was proposed, and the improvements in performance brought by different modules to the YOLOv11 model were explored and validated.
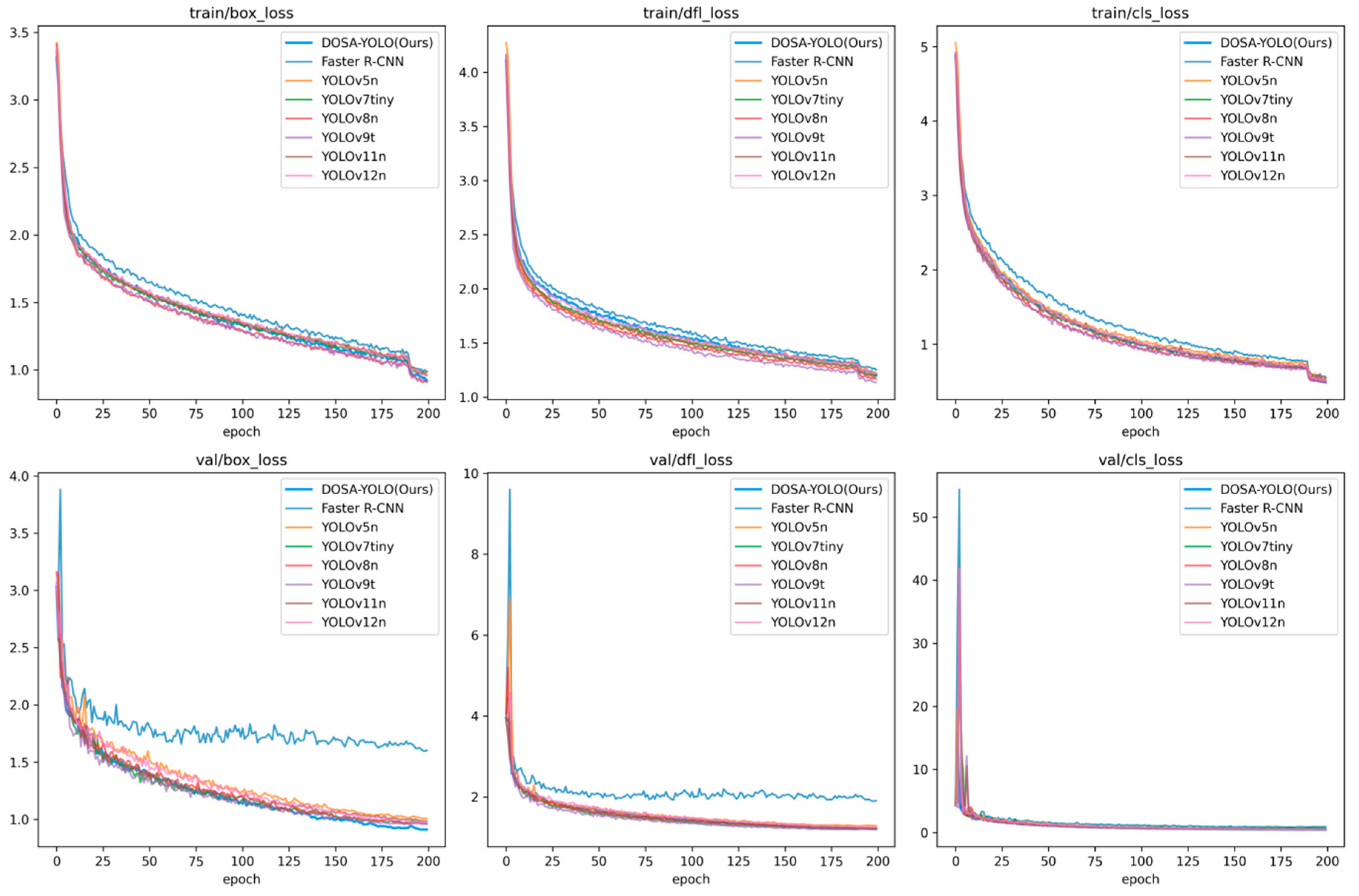
- The performance of DOSA-YOLO model was compared with seven mainstream algorithms: Faster R-CNN, YOLOv5n, YOLOv7tiny, YOLOv8n, YOLOv9t, YOLOv10n, and YOLOv12n. The evaluation demonstrated that DOSA-YOLO outperforms other models in chicken disease detection.
2. Materials and Methods
2.1. Materials
2.1.1. Data Acquisition
2.1.2. Data Classification Standards and Annotations
2.1.3. Dataset Construction
2.2. Chicken Disease Detection Model
2.2.1. MSDA Module
2.2.2. MDJA Module
2.2.3. SEAM Module
2.2.4. DOSA-YOLO Module
2.3. Experimental Platform and Training Parameters
2.4. Evaluation Metrics
3. Results
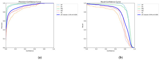
3.1. DOSA-YOLO Model Results
3.2. Ablation Study
3.3. Comparison with Similar Models
3.4. Scene Evaluation
3.5. Expert Collaboration and Model Validation
4. Discussion
4.1. Discussion of Current Chicken Disease Detection Methods
4.2. Model Performance Analysis
4.3. Model Limitation Analysis
4.4. Discussion on the Impact of Confidence Threshold on DOSA-YOLO Performance
4.5. Economic Benefit Analysis
5. Conclusions
Author Contributions
Funding
Institutional Review Board Statement
Informed Consent Statement
Data Availability Statement
Conflicts of Interest
References
- Zhuang, X.; Bi, M.; Guo, J.; Wu, S.; Zhang, T. Development of an early warning algorithm to detect sick broilers. Comput. Electron. Agric. 2018, 144, 102–113. [Google Scholar] [CrossRef]
- Skinner, M.A.; Laidlaw, S.M.; Eldaghayes, I.; Kaiser, P.; Cottingham, M.G. Fowlpox virus as a recombinant vaccine vector for use in mammals and poultry. Expert Rev. Vaccines 2005, 4, 63–76. [Google Scholar] [CrossRef]
- Skinner, M.A.; Laidlaw, S.M. Advances in fowlpox vaccination. CABI Rev. 2009, 4, 1–10. [Google Scholar] [CrossRef]
- Minhas, S.K.; Kumar, P.; Panghal, R.; Mehtani, R.; Yadav, R.; Kalonia, S.; Gowthaman, V. Fowl pox virus: A minireview. World’s Poult. Sci. J. 2023, 80, 329–347. [Google Scholar] [CrossRef]
- Conway, D.P.; McKenzie, M.E. Poultry Coccidiosis: Diagnostic and Testing Procedures; John Wiley & Sons: New Jersey, NJ, USA, 2007. [Google Scholar]
- Glisson, J.R. Bacterial respiratory disease of poultry. Poult. Sci. 1998, 77, 1139–1142. [Google Scholar] [CrossRef]
- Ganar, K.; Das, M.; Sinha, S.; Kumar, S. Newcastle disease virus: Current status and our understanding. Virus Res. 2014, 184, 71–81. [Google Scholar] [CrossRef]
- Alexander, D. Newcastle disease and other avian paramyxoviruses. Rev. Sci. Tech. 2000, 19, 443–455. [Google Scholar] [CrossRef]
- Akidarju, M.; Onyemaechi, E.; Dauda, M. An assessment of some poultry management practices and disease recognition by poultry farmers in Maiduguri arid zone, Nigeria. World’s Poult. Sci. J. 2010, 66, 285–296. [Google Scholar] [CrossRef]
- Liebhart, D.; Bilic, I.; Grafl, B.; Hess, C.; Hess, M. Diagnosing infectious diseases in poultry requires a holistic approach: A review. Poultry 2023, 2, 252–280. [Google Scholar] [CrossRef]
- Hemalatha, S.; Maheswaran, R. Recognition of poultry disease in real time using extreme learning machine. In Proceedings of the International Conference of Disciplinary Research in Engineering and Technology (ICIDRET2014), Coimbatore, India, 21–22 August 2014. [Google Scholar]
- Zhang, Y.; Chen, L.; Chen, H.; Liu, T.; Liu, J.; Zhang, Q.; Yan, M.; Zhao, K.; Zhang, S.; Zou, X. DualHet-YOLO: A Dual-Backbone Heterogeneous YOLO Network for Inspection Robots to Recognize Yellow-Feathered Chicken Behavior in Floor-Raised House. Agriculture 2025, 15, 1504. [Google Scholar] [CrossRef]
- Nakrosis, A.; Paulauskaite-Taraseviciene, A.; Raudonis, V.; Narusis, I.; Gruzauskas, V.; Gruzauskas, R.; Lagzdinyte-Budnike, I. Towards early poultry health prediction through non-invasive and computer vision-based dropping classification. Animals 2023, 13, 3041. [Google Scholar] [CrossRef]
- Zhuang, X.; Zhang, T. Detection of sick broilers by digital image processing and deep learning. Biosyst. Eng. 2019, 179, 106–116. [Google Scholar] [CrossRef]
- Quach, L.-D.; Quoc, N.P.; Thi, N.H.; Tran, D.C.; Hassan, M.F. Using surf to improve resnet-50 model for poultry disease recognition algorithm. In Proceedings of the 2020 International Conference on Computational Intelligence (ICCI), Bandar Seri Iskandar, Malaysia, 8–9 October 2020; IEEE: New Jersey, NJ, USA, 2020. [Google Scholar]
- Serbessa, T.A.; Geleta, Y.G.; Terfa, I.O. Review on diseases and health management of poultry and swine. Int. Int. J. Avian Wildl. Biol. 2023, 7, 27–38. [Google Scholar] [CrossRef]
- Kader, M.S.; Ahmed, F.; Akter, J. Machine learning techniques to precaution of emerging disease in the poultry industry. In Proceedings of the 2021 24th International Conference on Computer and Information Technology (ICCIT), Dhaka, Bangladesh, 18–20 December 2021; IEEE: New Jersey, NJ, USA, 2021. [Google Scholar]
- Ahmed, G.; Malick, R.A.S.; Akhunzada, A.; Zahid, S.; Sagri, M.R.; Gani, A. An approach towards IoT-based predictive service for early detection of diseases in poultry chickens. Sustainability 2021, 13, 13396. [Google Scholar] [CrossRef]
- Li, P.; Lu, H.; Wang, F.; Zhao, S.; Wang, N. Detection of sick laying hens by infrared thermal imaging and deep learning. J. Phys. Conf. Ser. 2021, 2025, 012008. [Google Scholar] [CrossRef]
- Hossain, M.S.; Salsabil, U.S.; Syeed, M.M.M.; Rahman, M.M.; Fatema, K.; Uddin, M.F. Smartpoultry: Early detection of poultry disease from smartphone captured fecal image. In Proceedings of the 2023 20th International Joint Conference on Computer Science and Software Engineering (JCSSE), Phitsanulok, Thailand, 28 June–1 July 2023; IEEE: New Jersey, NJ, USA, 2023. [Google Scholar]
- Zhang, Y.; Duan, H.; Liu, Y.; Li, Y.; Lin, J. Converge of coordinate attention boosted YOLOv5 model and quantum dot labeled fluorescent biosensing for rapid detection of the poultry disease. Comput. Electron. Agric. 2023, 206, 107702. [Google Scholar] [CrossRef]
- Qin, W.; Yang, X.; Liu, C.; Zheng, W. A deep learning method based on YOLOv5 and SuperPoint-SuperGlue for digestive disease warning and cage location backtracking in stacked cage laying hen systems. Comput. Electron. Agric. 2024, 222, 108999. [Google Scholar] [CrossRef]
- Elmessery, W.M.; Gutiérrez, J.; El-Wahhab, G.G.A.; Elkhaiat, I.A.; El-Soaly, I.S.; Alhag, S.K.; Al-Shuraym, L.A.; Akela, M.A.; Moghanm, F.S.; Abdelshafie, M.F. YOLO-Based Model for Automatic Detection of Broiler Pathological Phenomena through Visual and Thermal Images in Intensive Poultry Houses. Agriculture 2023, 13, 1527. [Google Scholar] [CrossRef]
- Scheidwasser, N.; Poulsen, L.L.; Leow, P.R.; Khurana, M.P.; Iglesias-Carrasco, M.; Laydon, D.J.; Donnelly, C.; Bojesen, A.M.; Bhatt, S.; Duchene, D.A. Deep learning from videography as a tool for measuring E. coli infection in poultry. bioRxiv 2024. bioRxiv:2024.11.20.624075. [Google Scholar] [CrossRef]
- Giotis, E.S.; Skinner, M.A. Spotlight on avian pathology: Fowlpox virus. Avian Pathol. 2018, 48, 87–90. [Google Scholar] [CrossRef]
- Abebe, E.; Gugsa, G. A review on poultry coccidiosis. Abyssinia J. Sci. Technol. 2018, 3, 1–12. [Google Scholar]
- Feberwee, A.; de Wit, S.; Dijkman, R. Clinical expression, epidemiology, and monitoring of Mycoplasma gallisepticum and Mycoplasma synoviae: An update. Avian Pathol. 2021, 51, 2–18. [Google Scholar] [CrossRef]
- Dzogbema, K.F.-X.; Talaki, E.; Batawui, K.B.; Dao, B.B. Review on Newcastle disease in poultry. Int. J. Biol. Chem. Sci. 2021, 15, 773–789. [Google Scholar] [CrossRef]
- Banakar, A.; Sadeghi, M.; Shushtari, A. An intelligent device for diagnosing avian diseases: Newcastle, infectious bronchitis, avian influenza. Comput. Electron. Agric. 2016, 127, 744–753. [Google Scholar] [CrossRef]
- Bakurov, I.; Buzzelli, M.; Schettini, R.; Castelli, M.; Vanneschi, L. Structural similarity index (SSIM) revisited: A data-driven approach. Expert Syst. Appl. 2022, 189, 116087. [Google Scholar] [CrossRef]
- Khanam, R.; Hussain, M. Yolov11: An overview of the key architectural enhancements. arXiv 2024, arXiv:2410.17725. [Google Scholar] [CrossRef]
- Chen, R.; Zhou, H.; Xie, H.; Wang, B. YOLO-CE: An underwater low-visibility environment target detection algorithm based on YOLO11. J. Supercomput. 2025, 81, 723. [Google Scholar] [CrossRef]
- Jiao, J.; Tang, Y.-M.; Lin, K.-Y.; Gao, Y.; Ma, A.J.; Wang, Y.; Zheng, W.-S.; Ma, J. Dilateformer: Multi-scale dilated transformer for visual recognition. IEEE Trans. Multimedia 2023, 25, 8906–8919. [Google Scholar] [CrossRef]
- Ansarimovahed, A.; Banakar, A.; Li, G.; Javidan, S.M. Separating Chickens’ Heads and Legs in Thermal Images via Object Detection and Machine Learning Models to Predict Avian Influenza and Newcastle Disease. Animals 2025, 15, 1114. [Google Scholar] [CrossRef]
- Chidziwisano, G.; Samikwa, E.; Daka, C. Deep learning methods for poultry disease prediction using images. Comput. Electron. Agric. 2024, 230, 109765. [Google Scholar] [CrossRef]






















| Disease Type | Phenotypic Features | Diagnostic Criteria |
|---|---|---|
| Avian Pox | Small vesicles on comb, wattle, etc., forming scabs after rupture | Scabs protruding above the skin or mucosal surface, uneven surface, hard and dry, initially grayish-white nodules that enlarge rapidly |
| Coccidiosis | Retracted head, pale comb, severe cases exhibit twitching and convulsions | Thickened intestinal walls, hemorrhage of the intestinal mucosa, blood clots in the cecum |
| Mycoplasma gallisepticum | Foamy secretions or caseous exudates in the eyes, swelling of the infraorbital sinuses. | Thickened and opaque air sacs, caseous exudates, lung congestion, thymic hemorrhage |
| Newcastle disease | Increased nasal mucus, cyanotic comb and wattle, head and neck twisting | Hemorrhage in the glandular stomach, blood in protrusion of intestinal lymphatic follicles, hemorrhage in the trachea and larynx |
| Category | Original Data | Total Original | Augmentation Methods | Augmented Data | Total Augmented |
|---|---|---|---|---|---|
| AP | 550 | 2684 | 1. Brightness Increase 2. Flip Image 3. Angle of Rotation | 1650 | 8052 |
| AC | 513 | 1539 | |||
| MG | 546 | 1638 | |||
| ND | 506 | 1518 | |||
| HL | 569 | 1707 |
| Combination ID | Improvement Module | Evaluation Metric | |||
|---|---|---|---|---|---|
| MSDA | MDJA | SEAM | mAP | Parameters (M) | |
| Baseline | 0.954 | 2.624 | |||
| #1 | √ | 0.956 | 2.774 | ||
| #2 | √ | 0.959 | 2.593 | ||
| #3 | √ | 0.964 | 2.758 | ||
| #4 | √ | √ | 0.958 | 2.743 | |
| #5 | √ | √ | 0.965 | 2.908 | |
| #6 | √ | √ | 0.969 | 2.727 | |
| #7 | √ | √ | √ | 0.972 | 2.877 |
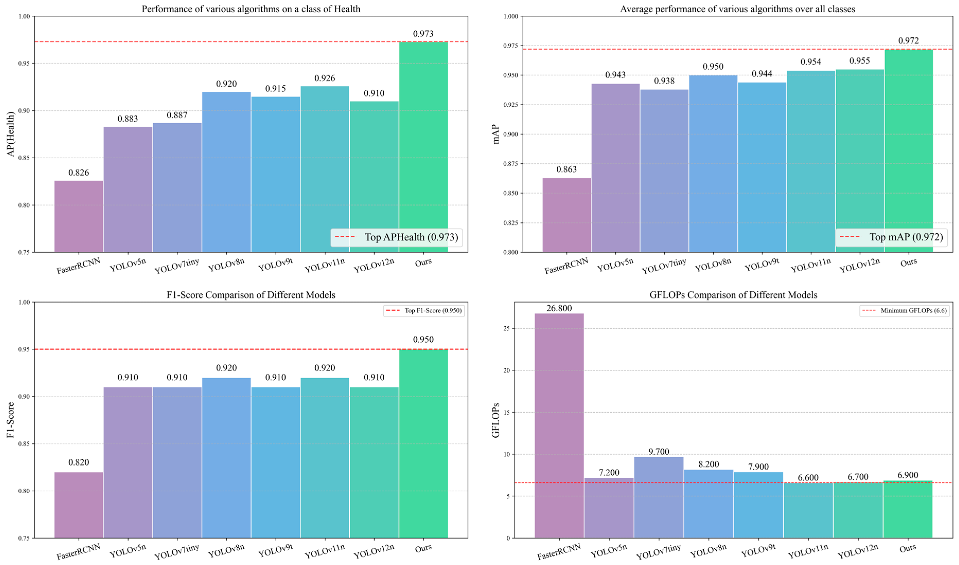
| Model | F1-Score | mAP | GFLOPs | Parameters (M) |
|---|---|---|---|---|
| FasterRCNN | 0.820 | 0.863 | 26.8 | 31.95 |
| YOLOv5n | 0.910 | 0.943 | 7.2 | 2.509 |
| YOLOv7tiny | 0.910 | 0.938 | 9.7 | 6.214 |
| YOLOv8n | 0.920 | 0.950 | 8.2 | 3.012 |
| YOLOv9t | 0.910 | 0.944 | 7.9 | 2.006 |
| YOLOv11n | 0.920 | 0.954 | 6.6 | 2.624 |
| YOLOv12n | 0.910 | 0.955 | 6.7 | 2.682 |
| Ours | 0.950 | 0.972 | 6.9 | 2.877 |
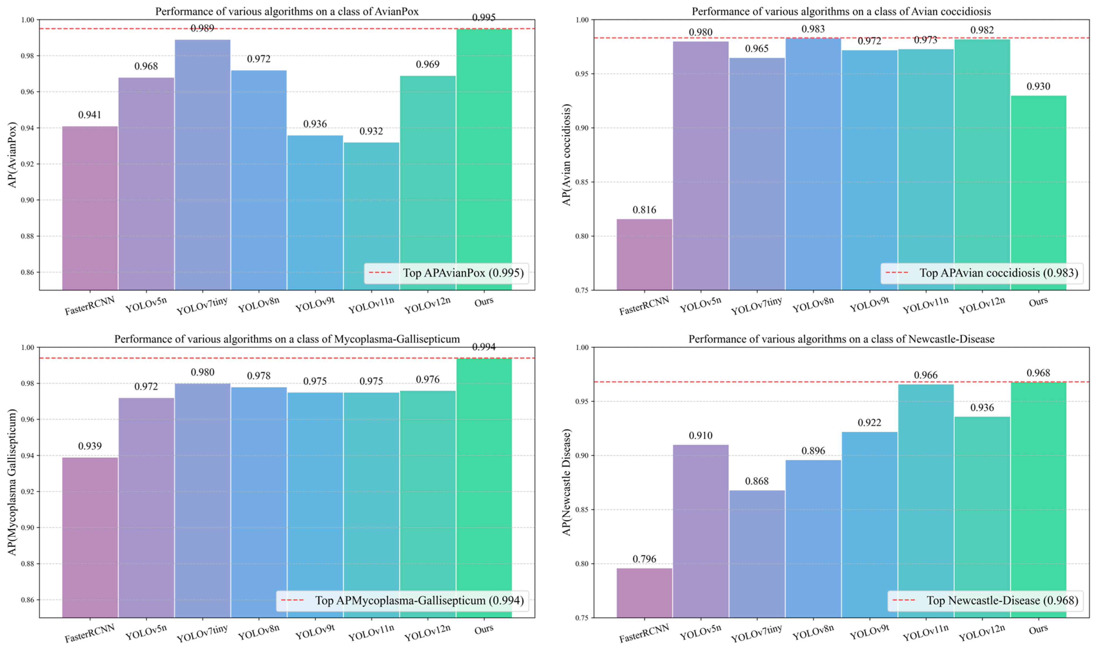
| Model | Average Precision | ||||
|---|---|---|---|---|---|
| AP | AC | MG | ND | HL | |
| FasterRCNN | 0.941 | 0.816 | 0.939 | 0.796 | 0.826 |
| YOLOv5n | 0.968 | 0.980 | 0.972 | 0.910 | 0.883 |
| YOLOv7tiny | 0.989 | 0.965 | 0.980 | 0.868 | 0.887 |
| YOLOv8n | 0.972 | 0.983 | 0.978 | 0.896 | 0.920 |
| YOLOv9t | 0.936 | 0.972 | 0.975 | 0.922 | 0.915 |
| YOLOv11n | 0.932 | 0.973 | 0.975 | 0.966 | 0.926 |
| YOLOv12n | 0.969 | 0.982 | 0.976 | 0.936 | 0.910 |
| Ours | 0.995 | 0.930 | 0.994 | 0.968 | 0.973 |
| Model | Average Precision Growth Rate (%) | ||||
|---|---|---|---|---|---|
| AP | AC | MG | ND | HL | |
| FasterRCNN | 5.4% | 11.4% | 5.5% | 17.2% | 14.7% |
| YOLOv5n | 2.7% | −5.0% | 2.2% | 5.8% | 9.0% |
| YOLOv7tiny | 0.6% | −3.5% | 1.4% | 10.0% | 8.6% |
| YOLOv8n | 2.3% | −5.3% | 1.6% | 7.2% | 5.3% |
| YOLOv9t | 5.9% | −4.2% | 1.9% | 4.6% | 5.8% |
| YOLOv11n | 6.3% | −4.3% | 1.9% | 0.2% | 4.7% |
| YOLOv12n | 2.6% | −5.2% | 1.8% | 3.2% | 6.3% |
| Location | Longitude and Latitude | Data Collection Time | Hen Breeds | Collection Duration | Number of Validation Images |
|---|---|---|---|---|---|
| Yangqu County, Shanxi Province, China | longitude 112°71′ latitude 38°12′ | 2022.10–2025.06 | Roman Laying Hens Beijing Red Hens Bian Hens Hailan Brown Hens | 8:30–11:30 15:00–17:00 | 267 |
| Beihuang Village, Taigu District, Shanxi Province | longitude 112°30′ latitude 37°22′ |
| Model | AP | AC | MG | ND | HL | mAP | F1-Score |
|---|---|---|---|---|---|---|---|
| Model Prediction | 0.973 | 0.916 | 0.968 | 0.949 | 0.968 | 0.964 | 0.943 |
| Expert Assessment | 0.982 | 0.934 | 0.976 | 0.975 | 0.992 | 0.972 | 0.962 |
| Anatomical and pathological | 1.00 | 1.00 | 1.00 | 1.00 | 1.00 | 1.00 | 1.00 |
| error rates | −0.92% | −1.97% | −0.83% | −2.74% | −2.48% | 8.30% | −2.01% |
| Research Object | Model | Research Focus | Category | mAP |
|---|---|---|---|---|
| Chicken [34] | SVM | After segmenting the head and leg images of chickens, disease analysis is performed using thermal image features such as texture and color. | Newcastle disease/ avian influenza | 94.2% |
| Chicken [29] | EfficientNetB7 | Extracting statistical features from frequency and time-frequency domains using FFT and DWT, followed by optimal feature selection using an improved distance evaluation (IDE) method for sound signal analysis | Newcastle disease/ avian influenza/ bronchitis | 91.15% |
| Chicken [35] | MobileNet DenseNet ResNet | Analyzing the generalizability of deep learning models in chicken disease prediction using fecal data from Tanzania and Malawi | Healthy/ coccidiosis/ Newcastle disease/ salmonella | 91.0%95.0%72.0% |
| Chicken [14] | IFSSD (Improved Feature Fusion Single Shot MultiBox Detector) | Improved SSD model with InceptionV3 backbone for health status detection of broilers | Disease/ healthy | 99.7% |
| Chicken [22] | YOLOv5 SuperPoint-SuperGlue | Using YOLOv5 to extract abnormal features from poultry feces, combining feces movement information estimated by the SuperPoint-SuperGlue model to create a disease early warning and traceability system in cage farming | Disease/ healthy | 98.1% |
| Chicken [21] | YOLOv5 | Fluorescence microscopy images of pathogens identified using enhanced YOLOv5 model | Candida albicans | 92.7% |
| Chicken Ours | DOSA-YOLO | An intelligent inspection robot collects images, constructing a five-class dataset based on phenotypic features such as the comb, wattle, eyes, and neck, as well as pathological anatomical results, for disease detection using the enhanced YOLOv11 model. | Chicken pox/ coccidiosis/ Mycoplasma gallisepticum/ Newcastle disease/ healthy | 97.2% |
Disclaimer/Publisher’s Note: The statements, opinions and data contained in all publications are solely those of the individual author(s) and contributor(s) and not of MDPI and/or the editor(s). MDPI and/or the editor(s) disclaim responsibility for any injury to people or property resulting from any ideas, methods, instructions or products referred to in the content. |
© 2025 by the authors. Licensee MDPI, Basel, Switzerland. This article is an open access article distributed under the terms and conditions of the Creative Commons Attribution (CC BY) license (https://creativecommons.org/licenses/by/4.0/).
Share and Cite
Guo, X.; Wang, Y.; Li, J.; Li, Q.; Zuo, Z.; Liu, Z. DOSA-YOLO: Improved Model Research for the Detection of Common Chicken Diseases Using Phenotypic Features. Agriculture 2025, 15, 1996. https://doi.org/10.3390/agriculture15191996
Guo X, Wang Y, Li J, Li Q, Zuo Z, Liu Z. DOSA-YOLO: Improved Model Research for the Detection of Common Chicken Diseases Using Phenotypic Features. Agriculture. 2025; 15(19):1996. https://doi.org/10.3390/agriculture15191996
Chicago/Turabian StyleGuo, Xiaofeng, Yun Wang, Jianhui Li, Qin Li, Zhenhuan Zuo, and Zhenyu Liu. 2025. "DOSA-YOLO: Improved Model Research for the Detection of Common Chicken Diseases Using Phenotypic Features" Agriculture 15, no. 19: 1996. https://doi.org/10.3390/agriculture15191996
APA StyleGuo, X., Wang, Y., Li, J., Li, Q., Zuo, Z., & Liu, Z. (2025). DOSA-YOLO: Improved Model Research for the Detection of Common Chicken Diseases Using Phenotypic Features. Agriculture, 15(19), 1996. https://doi.org/10.3390/agriculture15191996

