Genetic Diversity and Population Structure of Wheat Germplasm for Grain Nutritional Quality Using Haplotypes and KASP Markers
Abstract
1. Introduction
2. Materials and Methods
2.1. Plant Materials
2.2. Experimental Design
2.3. Phenotypic Evaluation
2.4. Development of KASP Markers
2.5. Data Analysis
3. Results
3.1. Phenotypic Variation and Diversity Analysis of Nutritional Quality Trait
3.2. Genetic Diversity Analysis of KASP Markers
3.3. Favorable Alleles or Haplotypes for Nutritional Quality Traits Based on KASP Markers
3.4. Genetic Structure Analysis of 170 Wheat Germplasm Resources Based on KASP Markers
3.5. Cluster Analysis of 170 Wheat Germplasm Resources Based on KASP Markers
3.6. Detection and Validation of Favorable Alleles or Haplotypes in Germplasm Resources
3.7. Effects Analysis of Germplasm Resource Based on Haplotypes and Genetic Distance
4. Discussion
4.1. Comparative Study on the Genetic Diversity of Wheat Germplasm Resources
4.2. Research on the Identification of Germplasm Resources Using Molecular Markers, Advantageous Alleles, and Advantageous Haplotypes
4.3. Comprehensive Evaluation of Germplasm Resources Based on Molecular Markers and Phenotypic Analysis
4.4. Advancing Wheat Breeding: Germplasm Evaluation and Targeted Improvement via KASP Markers and Haplotype Analysis
5. Conclusions
Supplementary Materials
Author Contributions
Funding
Institutional Review Board Statement
Data Availability Statement
Conflicts of Interest
References
- Wei, Y.M. The origin, spread and evolution of wheat in China. J. Triticeae Crops 2021, 41, 305–309. [Google Scholar]
- Li, H.Y.; Yin, G.H. Discussion on the development trend of wheat breeding in China from the perspective of national food security. Jiangsu Agric. Sci. 2022, 50, 36–41. [Google Scholar] [CrossRef]
- Ragaee, S.; Guzar, I.; Dhull, N.; Seetharaman, K. Effects of fiber addition on antioxidant capacity and nutritional quality of wheat bread. LWT—Food Sci. Technol. 2011, 44, 2147–2153. [Google Scholar] [CrossRef]
- Iqbal, M.J.; Shams, N.; Fatima, K. Nutritional quality of wheat. In Wheat-Recent Advances; IntechOpen: London, UK, 2022. [Google Scholar] [CrossRef]
- Ambati, D.; Phuke, R.M.; Vani, V.; Prasad, S.V.S.; Singh, J.B.; Patidar, C.P.; Malviya, P.; Gautam, A.; Dubey, V.G. Assessment of genetic diversity and development of core germplasm in durum wheat using agronomic and grain quality traits. Cereal Res. Commun. 2020, 48, 375–382. [Google Scholar] [CrossRef]
- Yang, M.; Yang, Z.; Yang, W.; Yang, E. Genetic diversity assessment of the international maize and wheat Improvement center and Chinese wheat core germplasms by non-denaturing fluorescence in situ hybridization. Plants 2022, 11, 1403. [Google Scholar] [CrossRef]
- Kumar, S.; Jacob, S.R.; Mir, R.R.; Vikas, V.K.; Kulwal, P.; Chandra, T.; Kaur, S.; Kumar, U.; Kumar, S.; Sharma, S.; et al. Indian wheat genomics initiative for harnessing the potential of wheat germplasm resources for breeding disease-resistant, nutrient-dense, and climate-resilient cultivars. Front. Genet. 2022, 13, 834366. [Google Scholar] [CrossRef]
- Ye, X.; Han, F. Applications of fast breeding technologies in crop impro.vement and functional genomics study. Front. Plant Sci. 2024, 15, 1460642. [Google Scholar] [CrossRef]
- Ortiz, R.; Trethowan, R.; Ferrara, G.O.; Iwanaga, M.; Dodds, J.H.; Crouch, J.H.; Crossa, J.; Braun, H.-J. High yield potential, shuttle breeding, genetic diversity, and a new international wheat improvement strategy. Euphytica 2007, 157, 365–384. [Google Scholar] [CrossRef]
- Maanju, S.; Jasrotia, P.; Yadav, S.S.; Kashyap, P.L.; Kumar, S.; Jat, M.K.; Lal, C.; Sharma, P.; Singh, G.P. Deciphering the genetic diversity and population structure of wild barley germplasm against corn leaf aphid, Rhopalosiphum maidis (Fitch). Sci. Rep. 2023, 13, 17313. [Google Scholar] [CrossRef]
- Li, S.; Zhang, C.; Li, J.; Yan, L.; Wang, N.; Xia, L. Present and future prospects for wheat improvement through genome editing and advanced technologies. Plant Commun. 2021, 2, 100211. [Google Scholar] [CrossRef] [PubMed]
- Wang, Z.; Zhang, H.Z.; Gao, X.; Shi, J.; Wang, L.H.; Li, J.F.; Fan, Z.R.; Zhao, Q.; Zhang, Y.Q. KASP marker assays for functional genes of disease resistance traits in 458 wheat cultivars (lines). Xinjiang Agric. Sci. 2022, 59, 781–786. [Google Scholar] [CrossRef]
- Rabieyan, E.; Darvishzadeh, R.; Mohammadi, R.; Gul, A.; Rasheed, A.; Akhar, F.K.; Abdi, H.; Alipour, H. Genetic diversity, linkage disequilibrium, and population structure of tetraploid wheat landraces originating from Europe and Asia. BMC Genom. 2023, 24, 682. [Google Scholar] [CrossRef]
- Lei, M.; Liu, X.; Wang, Y.; Cui, G.; Mu, Z.; Liu, L.; Li, X.; Lu, L.; Li, X.L.; Zhang, X. Genetic Diversity Analysis of Winter Wheat Germplasm Resources in Shanxi Province Based on 55K SNP Array. Sci. Agric. Sin. 2024, 57, 1845–1856. [Google Scholar] [CrossRef]
- Kou, C. Screening of Pre-Harvest Sprouting Resistant Germplasmsscreening and Excellent Genes Discovery in Wheat (Triticum aestivum L.) of Henan Province. Ph.D. Thesis, Northwest A&F University, Shaanxi, China, 2023. [Google Scholar] [CrossRef]
- Lai, X.J. Identification of QTLs in Wheat Grain Protein and its Selection and Utilization in Modern Breeding. Master’s Thesis, Northwest A&F University, Shaanxi, China, 2023. [Google Scholar] [CrossRef]
- Dong, Y.F.; Ren, Y.; Cheng, Y.K.; Wang, R.; Zhang, Z.H.; Shi, X.L.; Geng, H.W. Genome-Wide Association Study of Grain Main Quality Related Traits in Winter Wheat. Sci. Agric. Sin. 2023, 56, 2047–2063. [Google Scholar] [CrossRef]
- Alipour, H.; Abdi, H.; Rahimi, Y.; Bihamta, M.R. Dissection of the genetic basis of genotype-by-environment interactions for grain yield and main agronomic traits in Iranian bread wheat landraces and cultivars. Sci. Rep. 2021, 11, 17742. [Google Scholar] [CrossRef]
- Rehman, S.U.; Sher, M.A.; Saddique, M.A.B.; Ali, Z.; Alam Khan, M.; Mao, X.; Irshad, A.; Sajjad, M.; Ikram, R.M.; Naeem, M.; et al. Development and exploitation of KASP assays for genes underpinning drought tolerance among wheat cultivars from Pakistan. Front. Genet. 2021, 12, 684702. [Google Scholar] [CrossRef]
- National Agricultural Technology Extension Service Center. Technical Regulations for Regional Testing of Crop Varieties; NATESC: Beijing, China, 2007; pp. 1301–2007. [Google Scholar]
- Erayman, M.; Ilhan, E.; Eren, A.H.; Güngör, H.; Akgöl, B. Diversity analysis of genetic, agronomic, and quality characteristics of bread wheat (Triticum aestivum L.) cultivars grown in Turkey. Turk. J. Agric. For. 2016, 40, 83–94. [Google Scholar] [CrossRef]
- Ren, P.; Zhao, D.; Zeng, Z.; Yan, X.; Zhao, Y.; Lan, C.; Wang, C. Pleiotropic effect analysis and marker development for grain zinc and iron concentrations in spring wheat. Mol. Breed. 2022, 42, 49. [Google Scholar] [CrossRef]
- Zeng, Z.; Wang, C.; Wang, Z.; Han, Z.; Wang, L.; Lan, C. Genetic analysis and gene detection of fructan content using DArT molecular markers in spring bread wheat (Triticum aestivum L.) grain. Mol. Breed. 2020, 40, 23. [Google Scholar] [CrossRef]
- Hong, Z.; Zeng, Z.; Li, J.; Yan, X.; Song, J.; Yan, Q.; Li, Q.; Zhao, Y.; Liu, C.; Jing, X.; et al. Gene Mining and Genetic Effect Analysis Reveal Novel Loci, TaZn-2DS Associated with Zinc Content in Wheat Grain. Agriculture 2025, 15, 124. [Google Scholar] [CrossRef]
- Li, Q.; Zeng, Z.; Zhao, Y.; Li, J.; Chen, F.; Wang, C. Genome-wide association study and linkage mapping reveal TaqW-6B associated with water-extractable arabinoxylan content in wheat grain. Theor. Appl. Genet. 2024, 137, 166. [Google Scholar] [CrossRef]
- Xu, N.L.; Wang, X.-H.; Ma, D.-H.; Yang, J.; Li, Q.-F.; Liu, F.-L.; Liu, C.-X.; Liu, G.-H.; Zhang, X.-G.; Wang, Z.-J. Genetic diversity analysis of main agronomic and quality traits of 251 wheat germplasm resources. J. South. Agric. 2021, 52, 2404–2416. [Google Scholar] [CrossRef]
- Xue, W.; Zhang, W.; Bi, J.; Tian, J.; Zhao, Y.; Tai, L. Comprehensive evaluation based on grey correlation degree analysis of wheat varieties of regional test. Anhui Agric. Sci. Bull. 2022, 28, 88–90. [Google Scholar] [CrossRef]
- Evanno, G.; Regnaut, S.; Goudet, J. Detecting the number of clusters of individuals using the software STRUCTURE: A simulation study. Mol. Ecol. 2005, 14, 2611–2620. [Google Scholar] [CrossRef]
- Han, X.; Yang, D.D.; Kong, X.X.; Zhang, P.F.; Jin, J.M.; Su, Y.Z.; Zhao, G.X.; Zhao, G.J. Genetic Diversity Analysis of Quality Traits and Gliadin in 200 Wheat Germplasm Resources. Crops 2024, 1–13. [Google Scholar] [CrossRef]
- Jin, Y.; Song, Q.; Song, J.; Chen, L.; Zhao, L.; Chen, J.; Bai, D.; Zhu, T. Comprehensive Evaluation of 69 Wheat Germplasm Resources. J. Agric. Sci. Technol. 2024, 26, 33–45. [Google Scholar] [CrossRef]
- Ouaja, M.; Bahri, B.A.; Aouini, L.; Ferjaoui, S.; Medini, M.; Marcel, T.C.; Hamza, S. Morphological characterization and genetic diversity analysis of Tunisian durum wheat (Triticum turgidum var. durum) accessions. BMC Genom. Data 2021, 22, 3. [Google Scholar] [CrossRef] [PubMed]
- Alemu, A.; Feyissa, T.; Letta, T.; Abeyo, B. Genetic diversity and population structure analysis based on the high density SNP markers in Ethiopian durum wheat (Triticum turgidum ssp. durum). BMC Genet. 2020, 21, 18. [Google Scholar] [CrossRef]
- Wang, M.; Dong, Q.F.; Gao, S.A.; Liu, D.Z.; Lu, S.; Qiao, P.F.; Chen, L.; Hu, Y.G. Genome-Wide Association Studies and Mining for Favorable Loci of Root Traits at Seedling Stage in Wheat. Sci. Agric. Sin. 2023, 56, 801–820. [Google Scholar] [CrossRef]
- Wu, X.J.; Jiang, H.; Song, L.T.; Fang, F.; Chen, X.D.; Hu, X.; Huang, Z.W.; Li, G.; Hu, T.Z.; Ru, Z.A. Comprehensive Evaluation on Drought Resistance of Some Wheat Cultivars in Huang-Huai-Hai Region and Validation of the Related Molecular Markers. J. Triticeae Crops 2023, 43, 270–278. [Google Scholar]
- Du, X.J. Powdery Mildew Resistant Germplasms Screening and Excellent Genes Discovery in Wheat (Triticum aestivum L.) of Henan Province. Ph.D. Thesis, Northwest A&F University, Shaanxi, China, 2021. [Google Scholar] [CrossRef]
- Zhang, Y.-Q.; Zou, J.; Liu, Y.-K.; He, W.-J.; Zhu, Z.-W.; Tong, H.-W.; Gao, C.-B.; Chen, L.; Zhu, G. Revealing the genetic diversity of wheat varieties(lines) in China based on SNP markers. Acta Agron. Sin. 2020, 46, 307–314. [Google Scholar] [CrossRef]
- Lu, M.A.; Peng, X.A.; Zhang, L.; Wang, J.L.; He, X.F.; Zhu, Y.L. Genetic diversity of wheat breeding parents revealed by 55K SNP-based microarray. Acta Agron. Sin. 2023, 49, 1708–1714. [Google Scholar]
- Jin, Y.; Ma, H.; Song, Q.; Song, J.; Zhao, L.; Chen, J.; Bai, D.; Zhou, B.; Zhu, T. Comprehensive evaluation of genetic diversity of CIMMYT wheat germplasm resources introduced into Huang-Huai wheat region. Jiangsu Agric. Sci. 2024, 52, 46–51. [Google Scholar] [CrossRef]
- Li, X.; Mu, L.; Ling, P. Genetic Diversity Analysis of 149 Spring Wheat Germplasm Resources. J. Cold-Arid. Agric. Sci. 2024, 3, 531–537. [Google Scholar] [CrossRef]
- Rubab, M.; Jannat, S.; Freeg, H.; Abbas, H.; Attia, K.A.; Fiaz, S.; Zahra, N.; Uzair, M.; Inam, S.; Shah, A.H.; et al. Evaluation of functional kompetitive allele-specific PCR (KASP) markers for selection of drought-tolerant wheat (Triticum aestivum) genotypes. Funct. Plant Biol. 2023, 51, FP23032. [Google Scholar] [CrossRef]







| Traits | Range | CV | H′ | |
|---|---|---|---|---|
| Fructan (%) | 3.06 ± 0.04 | 1.77–5.13 | 18.53 | 2.04 |
| WE-AX (%) | 0.50 ± 0.01 | 0.09–0.97 | 30.65 | 2.03 |
| GPC (%) | 16.08 ± 0.13 | 13.15–20.98 | 9.90 | 2.00 |
| WCG (%) | 45.58 ± 0.25 | 38.87–56.98 | 6.99 | 1.80 |
| SV (%) | 40.09 ± 0.42 | 27.49–54.17 | 13.46 | 1.99 |
| Zn (mg/kg) | 37.65 ± 0.54 | 26.66–58.49 | 18.61 | 1.72 |
| Fe (mg/kg) | 41.35 ± 0.60 | 29.52–58.59 | 20.30 | 1.70 |
| KASP Markers | a MAF | b GD | c Ava | d PIC | KASP Markers | a MAF | b GD | c Ava | d PIC |
|---|---|---|---|---|---|---|---|---|---|
| KASP-4A-1 | 0.831 | 0.281 | 0.765 | 0.242 | KASP-7A-1 | 0.810 | 0.308 | 0.865 | 0.261 |
| KASP-4A-2 | 0.671 | 0.441 | 0.429 | 0.344 | KASP-7A-2 | 0.780 | 0.343 | 0.776 | 0.284 |
| KASP-4A-3 | 0.613 | 0.475 | 0.547 | 0.362 | KASP-7A-3 | 0.822 | 0.293 | 0.759 | 0.250 |
| KASP-4A-4 | 0.793 | 0.329 | 0.794 | 0.275 | KASP-7A-4 | 0.524 | 0.499 | 0.741 | 0.374 |
| KASP-5DS | 0.732 | 0.393 | 0.876 | 0.316 | KASP-7A-5 | 0.740 | 0.385 | 0.588 | 0.311 |
| KASP-6A-1 | 0.631 | 0.466 | 0.924 | 0.357 | KASP-7B-1 | 0.832 | 0.279 | 0.841 | 0.240 |
| KASP-6A-2 | 0.627 | 0.468 | 0.882 | 0.358 | KASP-7B-2 | 0.857 | 0.245 | 0.906 | 0.215 |
| KASP-6B-1 | 0.617 | 0.473 | 0.906 | 0.361 | Average Value | 0.694 | 0.388 | 0.799 | 0.308 |
| KASP-6B-2 | 0.582 | 0.487 | 0.900 | 0.368 | Max | 0.857 | 0.499 | 0.924 | 0.374 |
| KASP-6B-3 | 0.572 | 0.490 | 0.894 | 0.370 | Min | 0.524 | 0.245 | 0.429 | 0.215 |
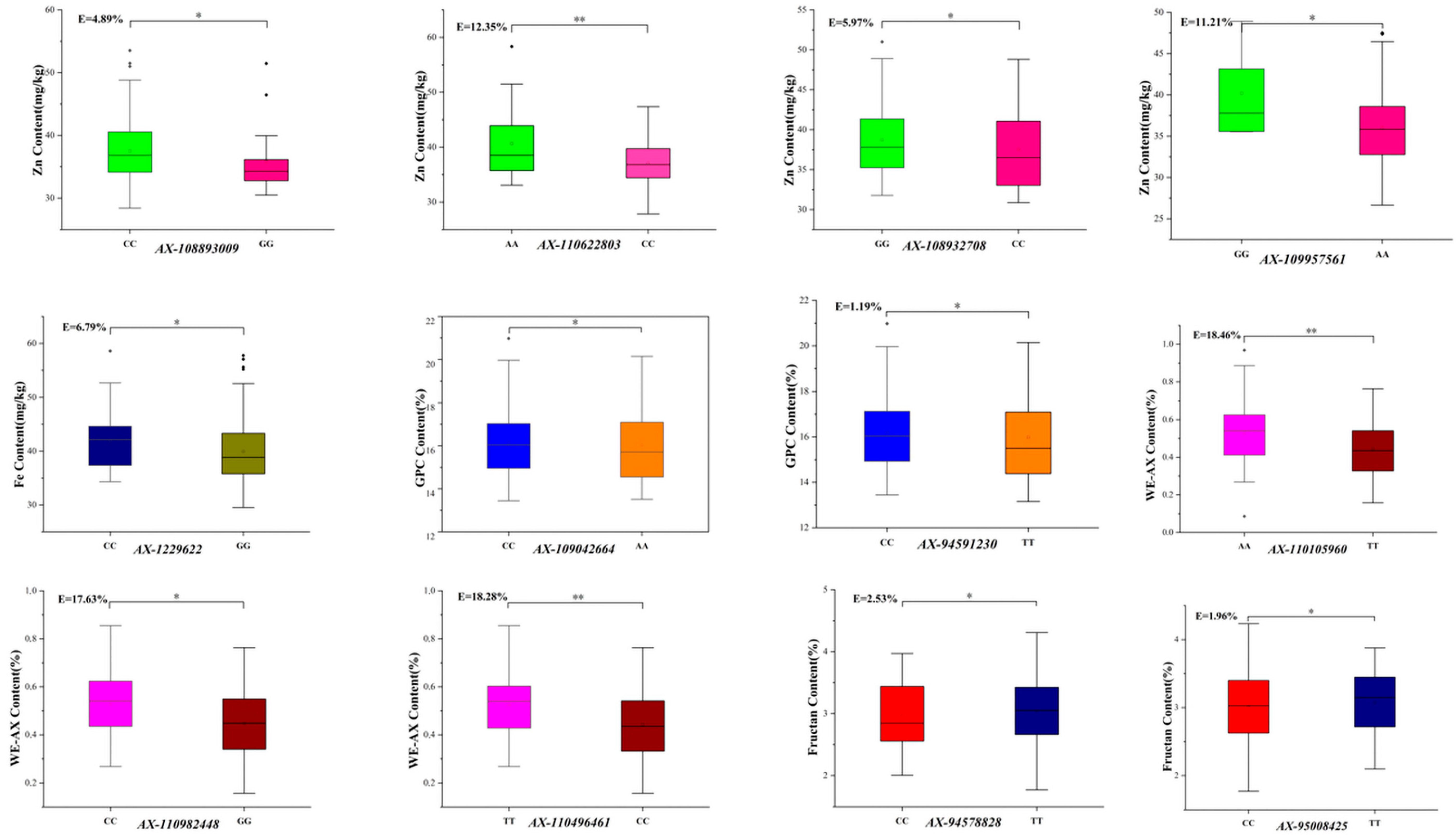
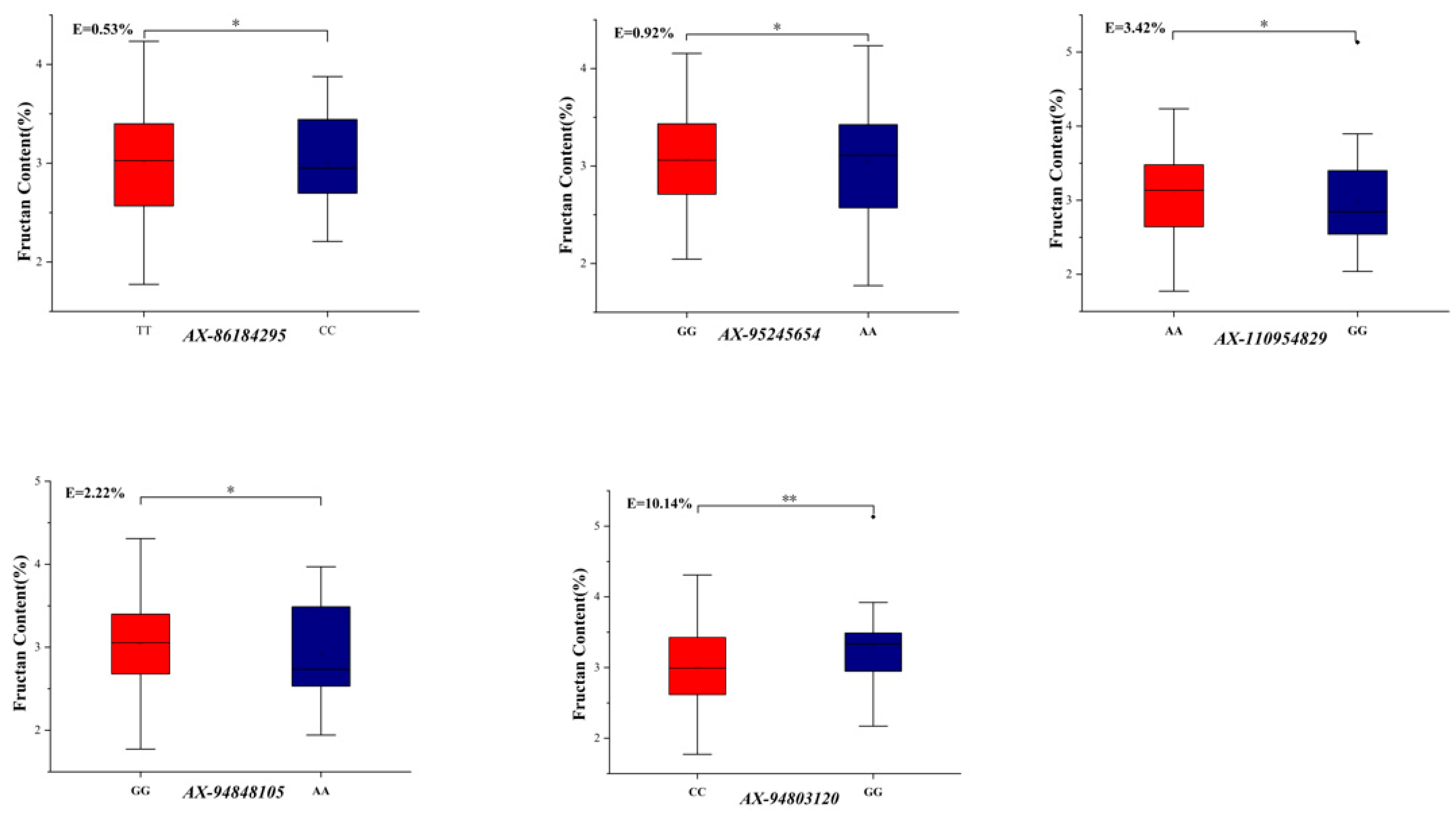
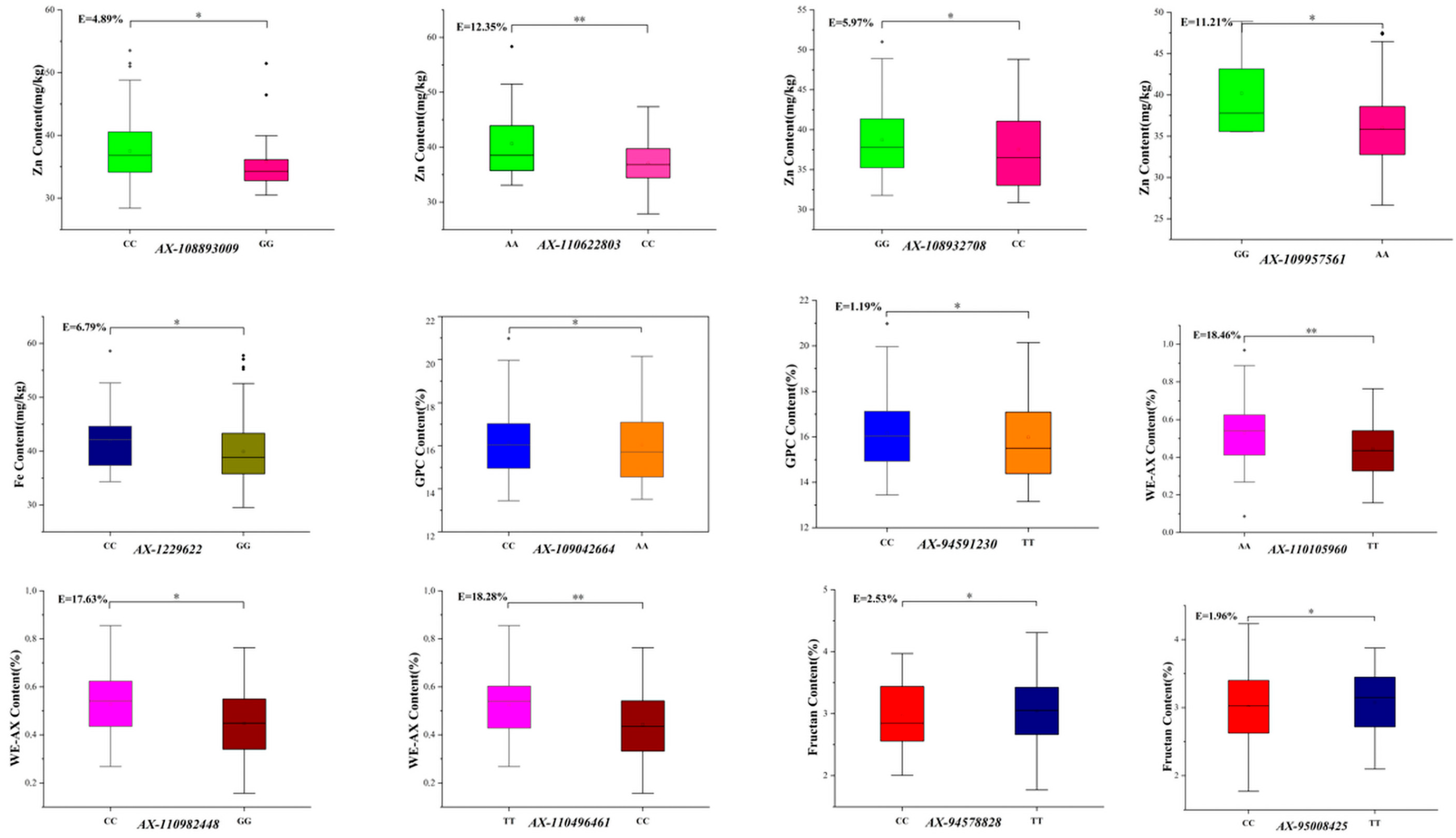
| SNP Marker | Trait | Chr. | Allele Types. | Position (Mb) | Phenotypic Value | Different Alleles | Percentage of Alleles (%) | Genetic Effect (%) | ||||
|---|---|---|---|---|---|---|---|---|---|---|---|---|
| Adv | Dw | Adv | Dw | Adv | Dw | Adv | Dw | |||||
| AX-108893009 | Zn content | 4A-1 | C | G | 725.43 | 58.49 (mg/kg) | 26.66 (mg/kg) | 108 | 22 | 63.53 | 12.94 | 4.89 |
| AX-110622803 | Zn content | 4A-2 | A | C | 726.44 | 58.49 (mg/kg) | 26.66 (mg/kg) | 24 | 49 | 14.11 | 28.82 | 12.35 |
| AX-108932708 | Zn content | 4A-3 | G | C | 727.05 | 58.49 (mg/kg) | 26.66 (mg/kg) | 57 | 36 | 33.53 | 21.18 | 5.97 |
| AX-109957561 | Zn content | 4A-4 | G | A | 727.42 | 58.49 (mg/kg) | 26.66 (mg/kg) | 6 | 74 | 3.53 | 43.53 | 11.21 |
| AX-1229622 | Fe content | 5DS | C | G | 1.23 | 58.59 (mg/kg) | 29.52 (mg/kg) | 40 | 109 | 23.52 | 64.12 | 6.79 |
| AX-109042664 | GPC | 6A-1 | C | A | 61.56 | 20.98 (%) | 13.15 (%) | 99 | 58 | 58.23 | 34.12 | 0.01 |
| AX-94591230 | GPC | 6A-2 | C | T | 34.34 | 20.98 (%) | 13.15 (%) | 93 | 56 | 55.29 | 32.94 | 1.19 |
| AX-110105960 | WE-AX content | 6B-1 | A | T | 561.57 | 0.97 (%) | 0.09 (%) | 92 | 52 | 54.12 | 30.59 | 18.46 |
| AX-110982448 | WE-AX content | 6B-2 | C | G | 557.76 | 0.97 (%) | 0.09 (%) | 89 | 64 | 52.35 | 37.65 | 17.63 |
| AX-110496461 | WE-AX content | 6B-3 | T | C | 557.84 | 0.97 (%) | 0.09 (%) | 87 | 65 | 51.18 | 38.23 | 18.28 |
| AX-94578828 | Fructan content | 7A-1 | T | C | 714.61 | 5.13 (%) | 1.77 (%) | 119 | 28 | 70.00 | 16.47 | 2.53 |
| AX-95008425 | Fructan content | 7A-2 | T | C | 715.61 | 5.13 (%) | 1.77 (%) | 29 | 103 | 17.05 | 60.59 | 1.96 |
| AX-86184295 | Fructan content | 7A-3 | T | C | 715.61 | 5.13 (%) | 1.77 (%) | 106 | 23 | 62.35 | 13.53 | 0.53 |
| AX-95245654 | Fructan content | 7A-4 | G | A | 716.96 | 5.13 (%) | 1.77 (%) | 60 | 66 | 38.82 | 35.29 | 0.92 |
| AX-110954829 | Fructan content | 7A-5 | A | G | 717.64 | 5.13 (%) | 1.77 (%) | 74 | 26 | 43.53 | 15.29 | 3.42 |
| AX-94848105 | Fructan content | 7B-1 | G | A | 727.53 | 5.13 (%) | 1.77 (%) | 119 | 24 | 70.00 | 14.12 | 2.22 |
| AX-94803120 | Fructan content | 7B-2 | G | C | 728.66 | 5.13 (%) | 1.77 (%) | 22 | 123 | 12.94 | 72.35 | 10.14 |
| Haplotype | Marker | Trait | Allele | Favorable Allele | Genetic Effect (%) | Frequency (%) |
|---|---|---|---|---|---|---|
| G4A1 | AX-108893009 | Zn | C/G | C | 8.71 | 63.53 |
| AX-110622803 | A/C | A | 14.11 | |||
| G4A2 | AX-108932708 | Zn | G/C | G | 8.41 | 21.18 |
| AX-109957561 | G/A | G | 43.53 | |||
| G6A | AX-109042664 | GPC | C/A | C | 1.00 | 58.23 |
| AX-94591230 | C/T | C | 55.29 | |||
| G6B | AX-110105960 | WE-AX | A/T | A | 18.20 | 54.12 |
| AX-110982448 | C/G | C | 52.35 | |||
| AX-110496461 | T/C | T | 51.18 | |||
| G7A | AX-95008425 | Fructan | T/C | T | 1.16 | 17.05 |
| AX-86184295 | T/C | T | 62.35 | |||
| AX-95245654 | G/A | G | 38.82 |
Disclaimer/Publisher’s Note: The statements, opinions and data contained in all publications are solely those of the individual author(s) and contributor(s) and not of MDPI and/or the editor(s). MDPI and/or the editor(s) disclaim responsibility for any injury to people or property resulting from any ideas, methods, instructions or products referred to in the content. |
© 2025 by the authors. Licensee MDPI, Basel, Switzerland. This article is an open access article distributed under the terms and conditions of the Creative Commons Attribution (CC BY) license (https://creativecommons.org/licenses/by/4.0/).
Share and Cite
Yan, Q.; Zeng, Z.; Wang, C.; Li, J.; Song, J.; Li, Q.; Zhao, Y.; Liu, C.; Jing, X. Genetic Diversity and Population Structure of Wheat Germplasm for Grain Nutritional Quality Using Haplotypes and KASP Markers. Agriculture 2025, 15, 1986. https://doi.org/10.3390/agriculture15181986
Yan Q, Zeng Z, Wang C, Li J, Song J, Li Q, Zhao Y, Liu C, Jing X. Genetic Diversity and Population Structure of Wheat Germplasm for Grain Nutritional Quality Using Haplotypes and KASP Markers. Agriculture. 2025; 15(18):1986. https://doi.org/10.3390/agriculture15181986
Chicago/Turabian StyleYan, Qunxiang, Zhankui Zeng, Chunping Wang, Jiachuang Li, Junqiao Song, Qiong Li, Yue Zhao, Chang Liu, and Xueyan Jing. 2025. "Genetic Diversity and Population Structure of Wheat Germplasm for Grain Nutritional Quality Using Haplotypes and KASP Markers" Agriculture 15, no. 18: 1986. https://doi.org/10.3390/agriculture15181986
APA StyleYan, Q., Zeng, Z., Wang, C., Li, J., Song, J., Li, Q., Zhao, Y., Liu, C., & Jing, X. (2025). Genetic Diversity and Population Structure of Wheat Germplasm for Grain Nutritional Quality Using Haplotypes and KASP Markers. Agriculture, 15(18), 1986. https://doi.org/10.3390/agriculture15181986
