Exogenous Application of Applied Microbial Agents to Alleviate Salt Stress on ‘Pinot Noir’ Grapes and Improve Fruit Yield and Quality
Abstract
1. Introductory
2. Materials and Methods
2.1. Overview of the Trial Site
2.2. Experimental Materials
2.3. Experimental Methods
2.3.1. Field Trial Design
2.3.2. Sample Collection
2.4. Determination of Parameters
2.4.1. Determination of Soil Nutrients
2.4.2. Soil Enzyme Activity
2.4.3. Leaf Physical and Chemical Indicators
2.4.4. Determination of Antioxidant Substances in Leaves
2.4.5. Fruit Yield and Quality
2.5. Statistical Analysis
3. Results
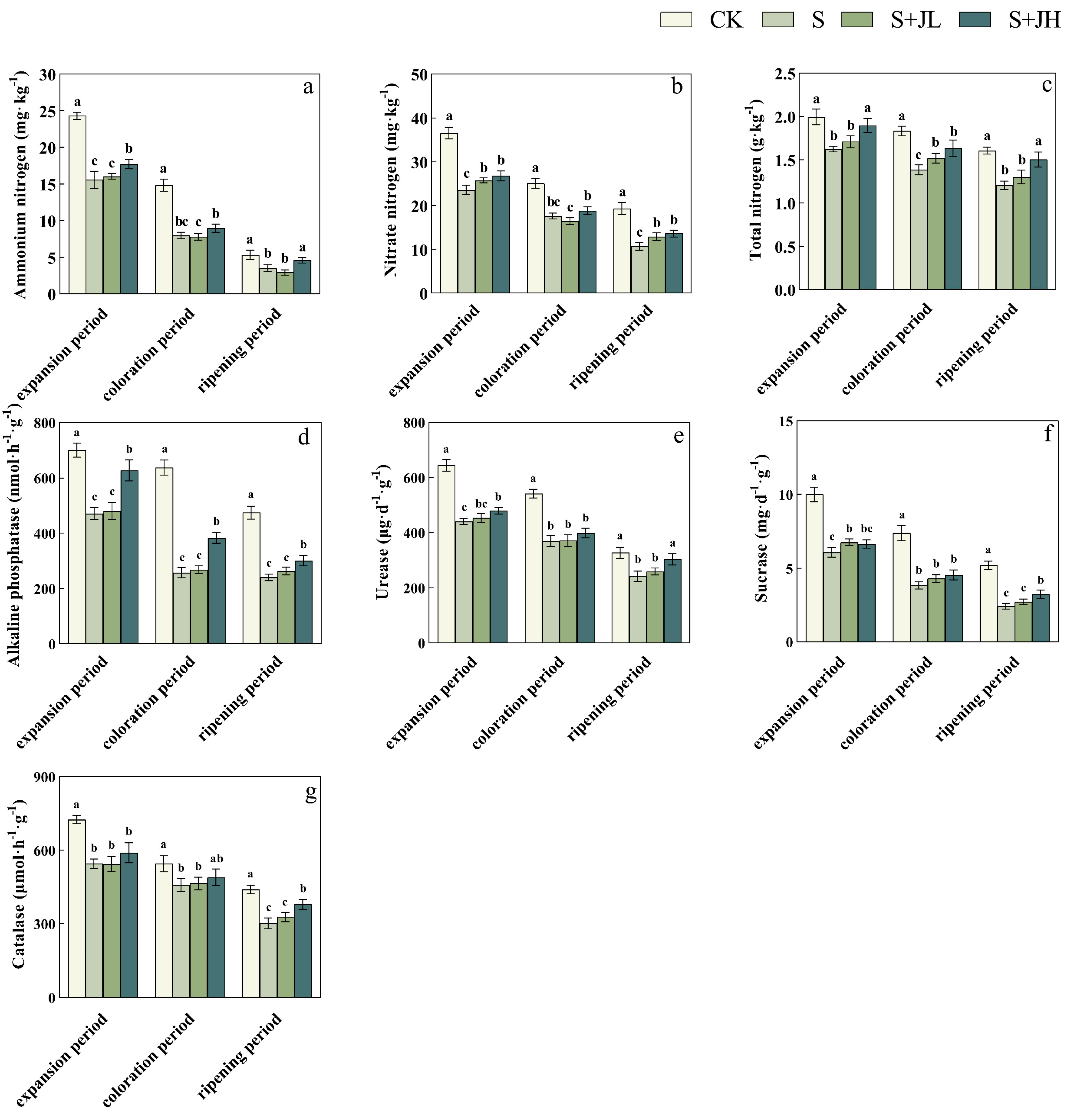
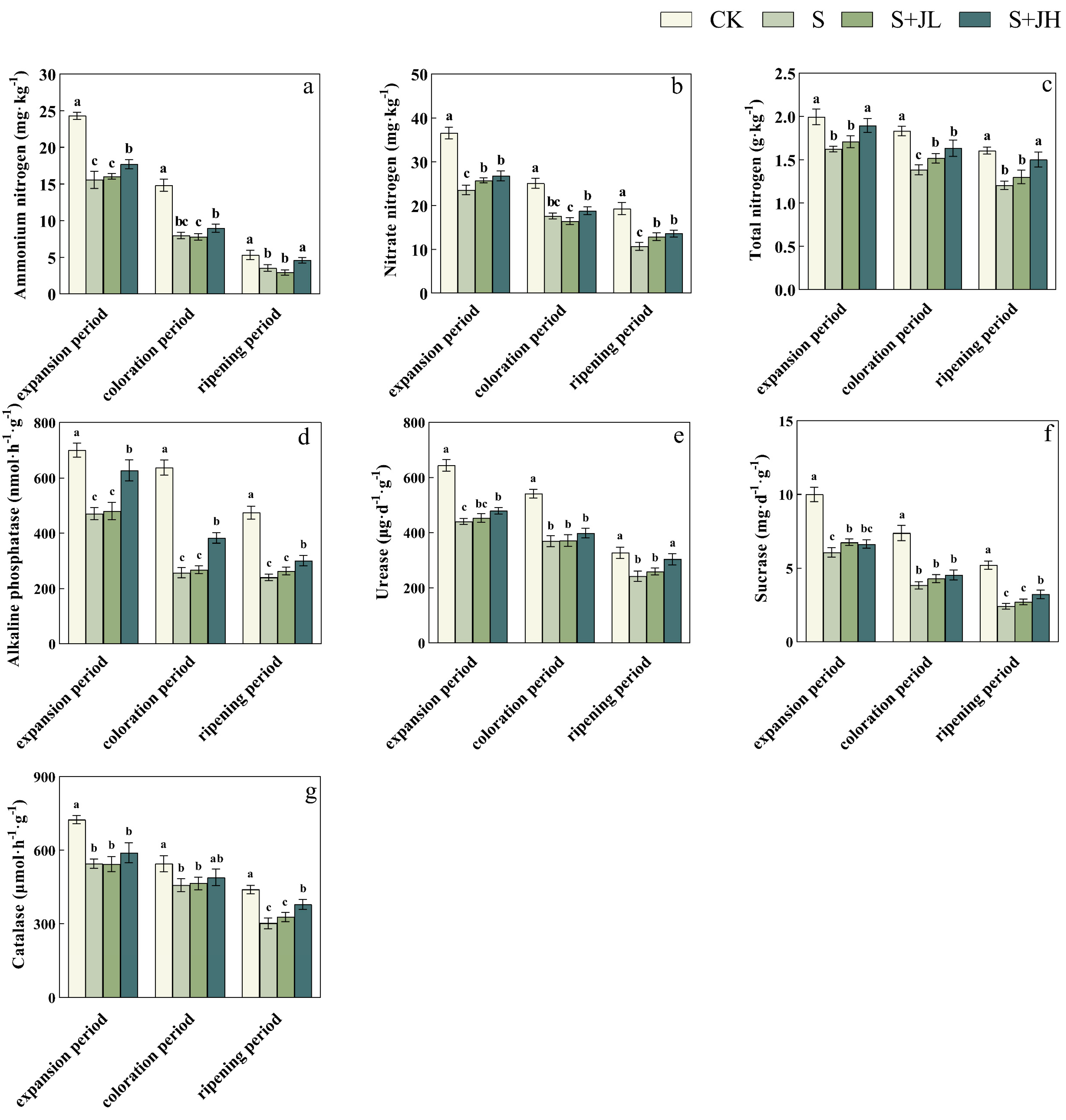
3.1. Effect of Different Concentrations of Microbial Inoculants on Soil Nitrogen Nutrients and Soil Enzyme Activity During the Late Growth Stage of Grapes Under Salt Stress
3.2. Effect of Different Concentrations of Microbial Inoculants on Sodium and Potassium Ion Content and Sodium–Potassium Ion Ratio in Grape Leaves During the Late Growth Stage Under Salt Stress
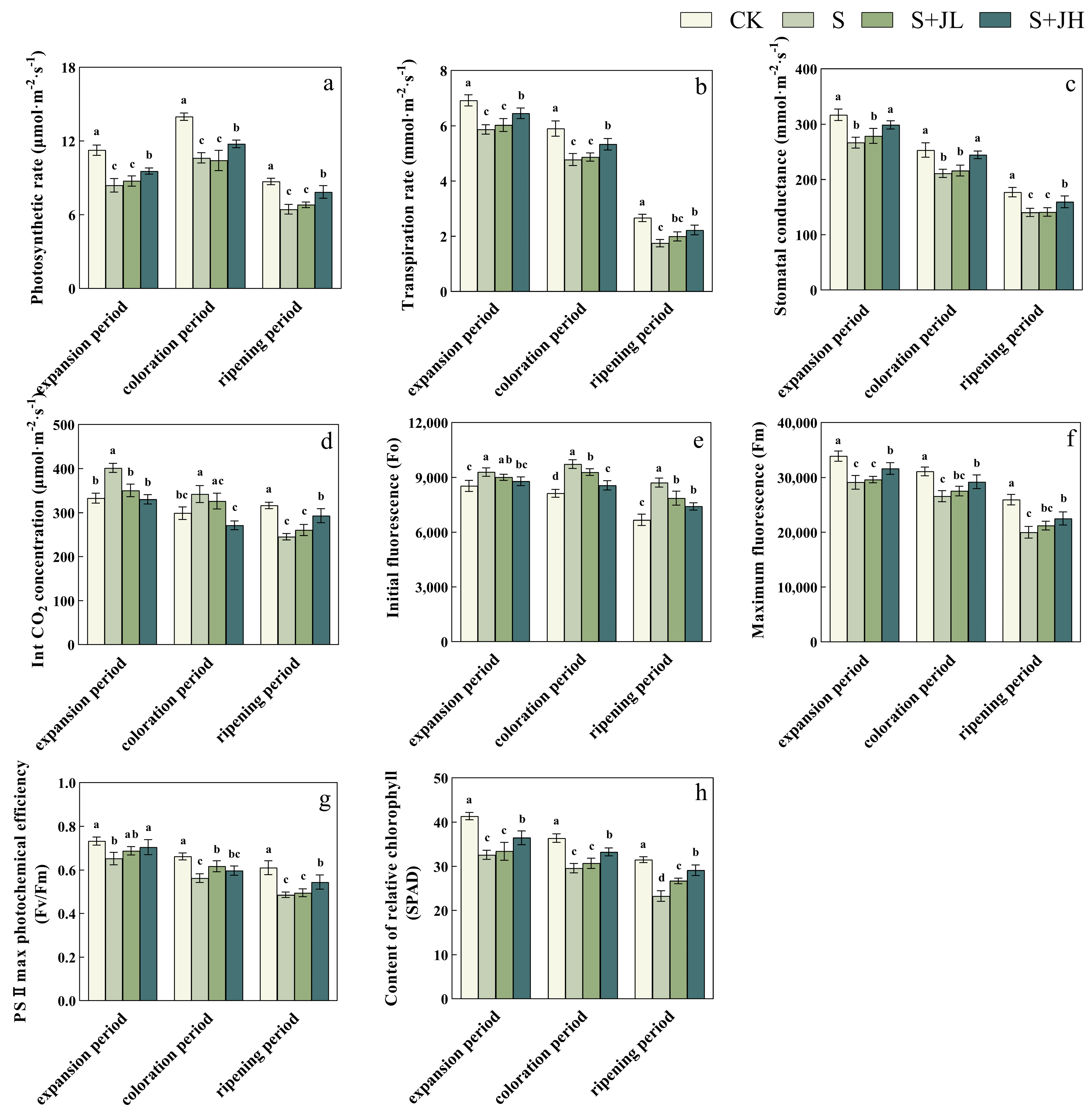
3.3. Effects of Different Concentrations of Microbial Inoculants on Photosynthetic Characteristics of Grape Leaves During the Late Growth Stage Under Salt Stress
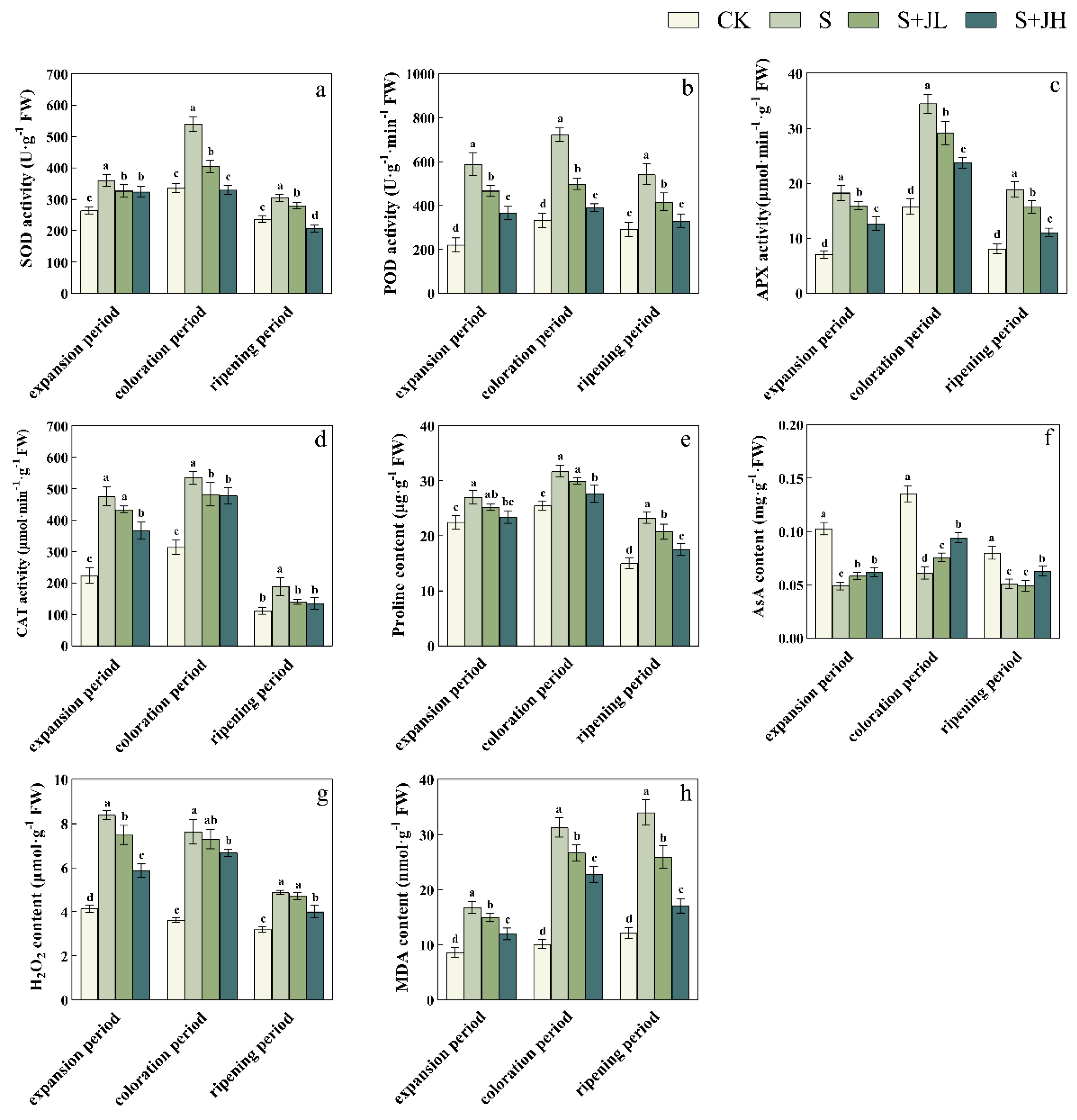
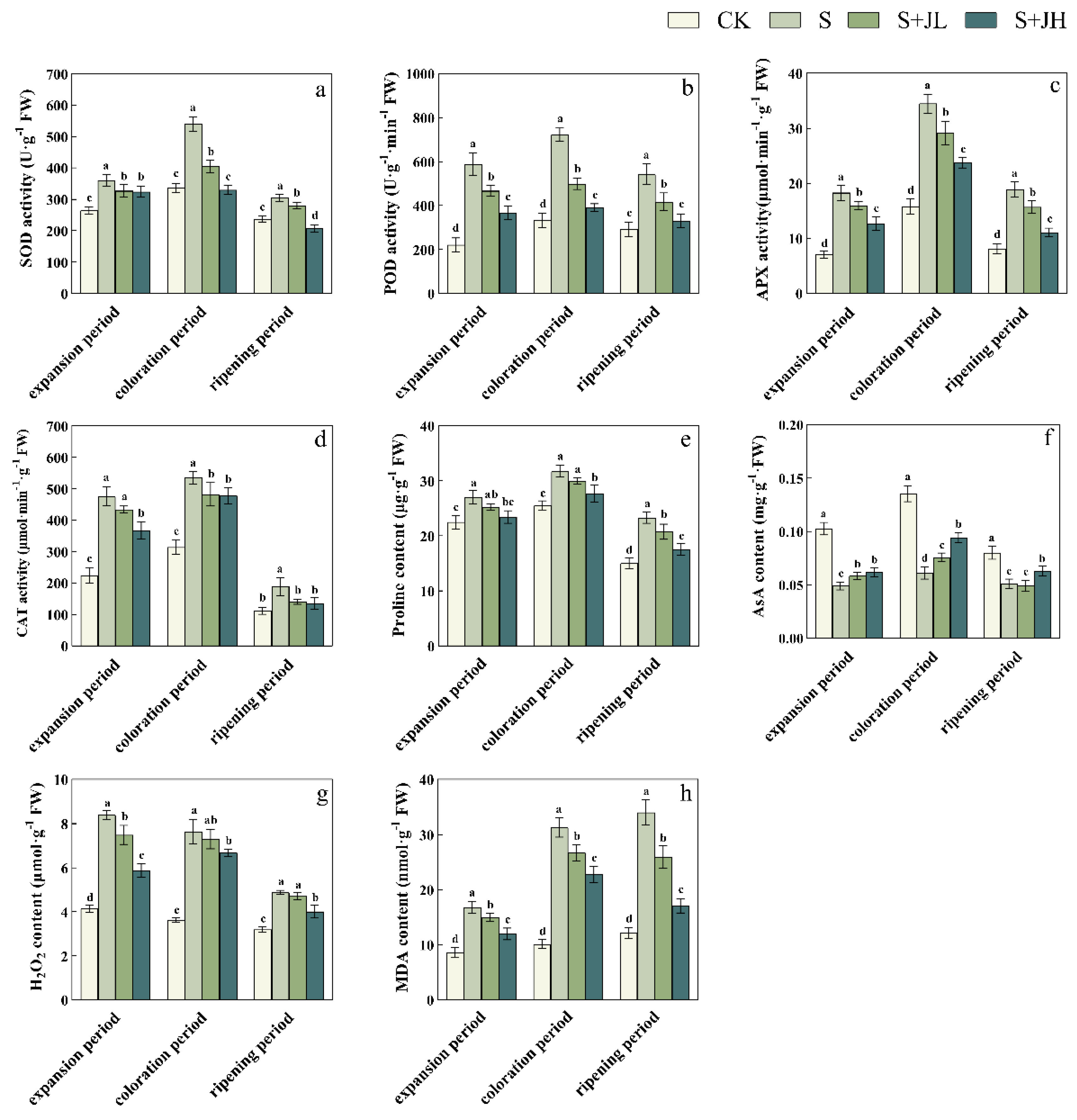
3.4. Effects of Different Concentrations of Microbial Inoculants on Antioxidant Substances, Osmotic Regulatory Substances, and Oxidative Damage-Related Substances in Grape Leaves During the Late Growth Stage Under Salt Stress
3.5. Effect of Different Concentrations of Microbial Inoculants on the Yield per Vine of Mature Grapes Under Salt Stress
3.6. Effect of Different Concentrations of Microbial Inoculants on Fruit Yield Components in the Late Growth Stage of Grapes Under Salt Stress
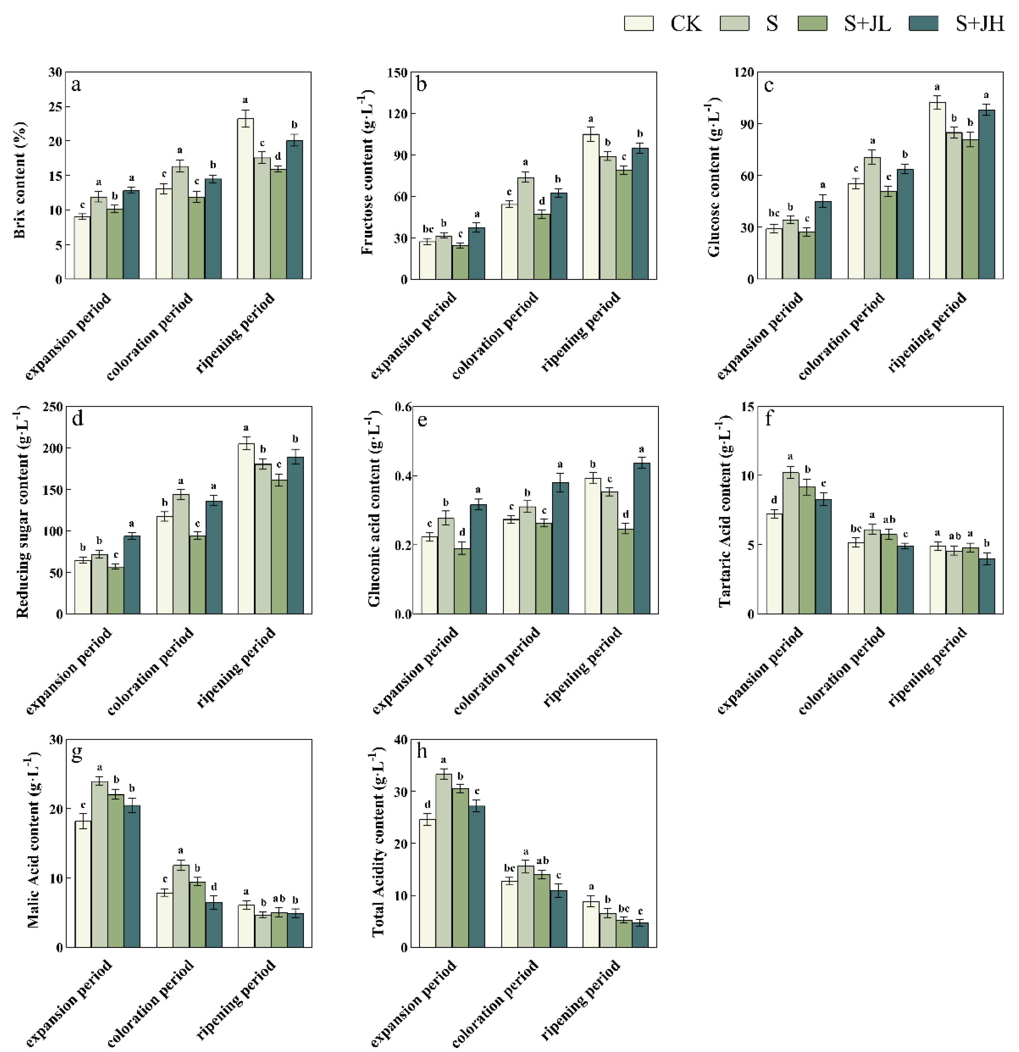
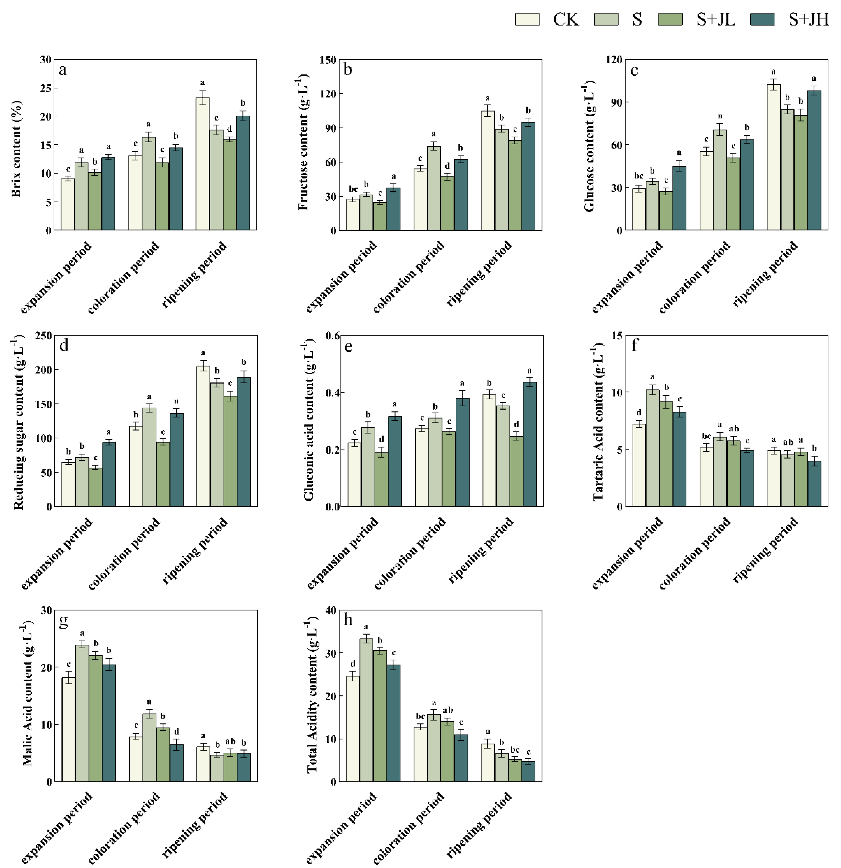
3.7. Effect of Different Concentrations of Microbial Agents on Sugar and Acid Content in Grape Fruits Under Salt Stress
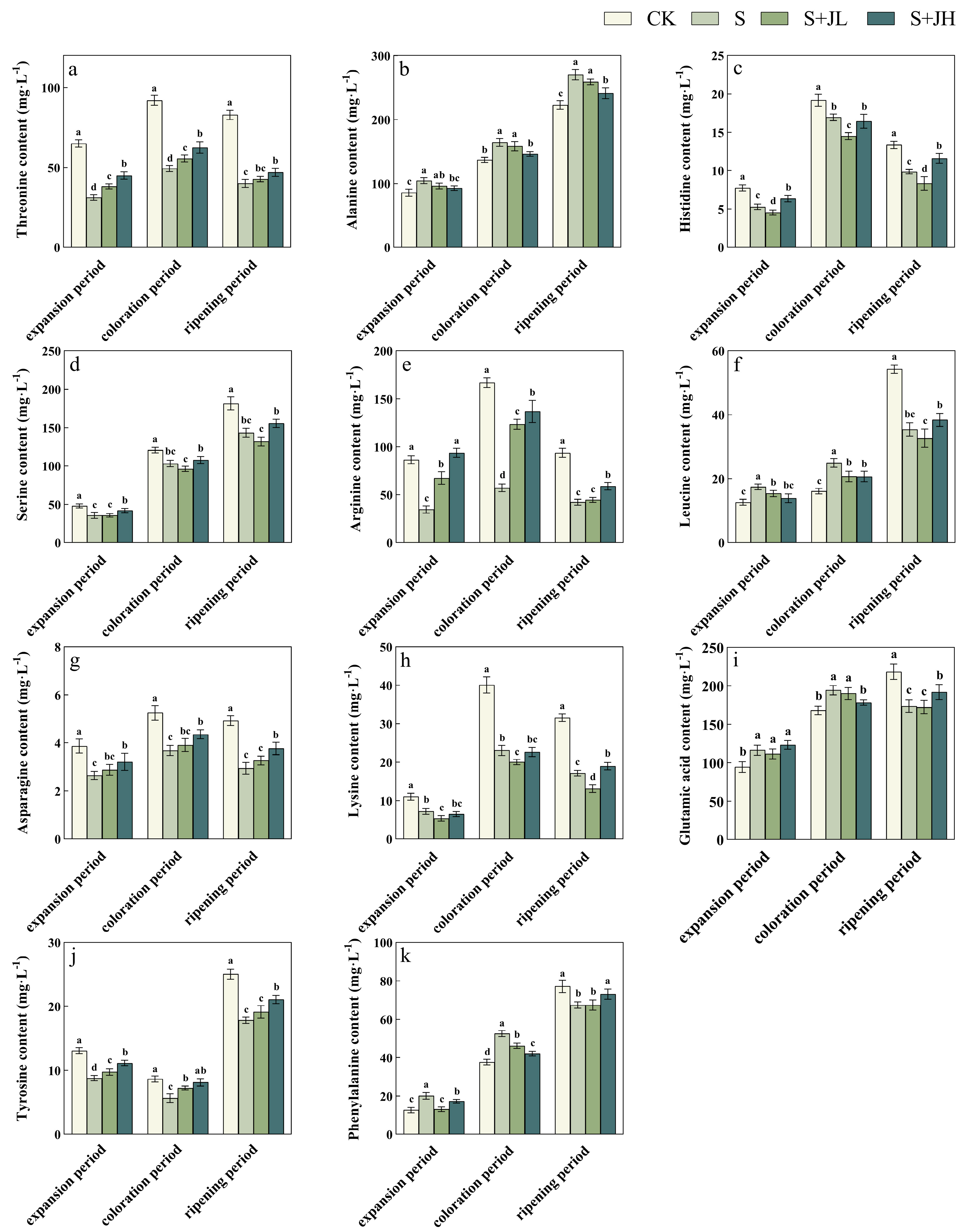
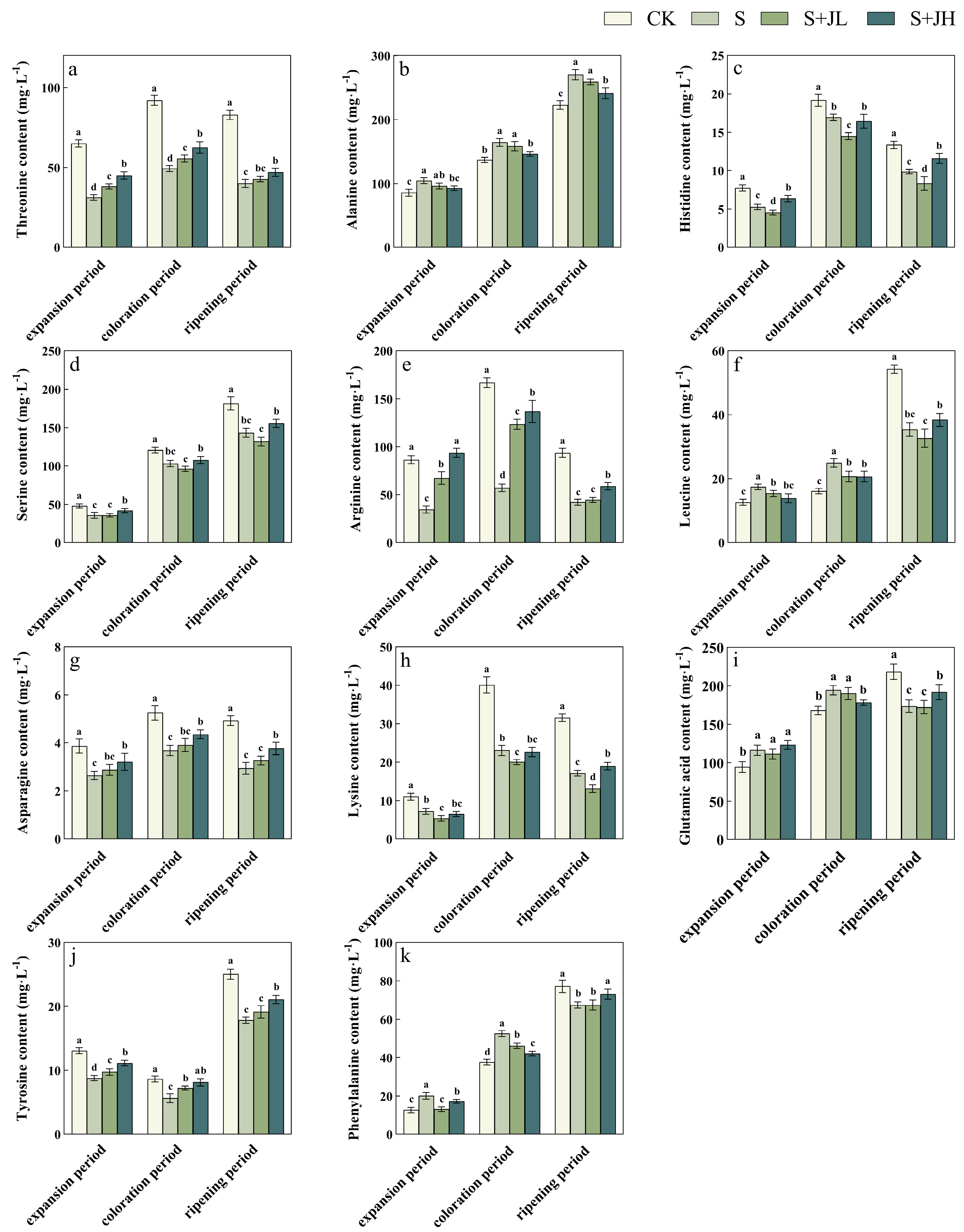
3.8. Effect of Different Concentrations of Microbial Inoculants on Free Amino Acids in Grape Fruits Under Salt Stress
3.9. Correlation Analysis of Soil Nutrient Indicators and Fruit Quality in ‘Pinot Noir’ at Maturity Stage Under Salt Stress Treated with Different Microbial Inoculant Concentrations
3.10. Correlation Analysis of Leaf Physicochemical Indicators and Fruit Quality in ‘Pinot Noir’ at Maturity Stage Under Salt Stress Treated with Different Microbial Inoculant Concentrations
3.11. Comprehensive Evaluation of the Yield and Quality of Mature ‘Pinot Noir’ Grapes Under Salt Stress Treated with Different Concentrations of Bacterial Agents
4. Discussion
4.1. Effects of Microbial Inoculants on Soil Properties Under Salt Stress
4.2. Regulation of Ion Homeostasis and Photosynthesis
4.3. Modulation of Fruit Metabolism and Quality
4.4. Comprehensive Evaluation and Future Perspectives
5. Conclusions
Author Contributions
Funding
Data Availability Statement
Acknowledgments
Conflicts of Interest
References
- Joey, L.; Cai, M.F.; Emily, T.; Caitlin, F. The journal of wine research: A 30-year bibliographic analysis. J. Wine Res. 2020, 31, 176–193. [Google Scholar] [CrossRef]
- Shaw, B.T. A climatic analysis of wine regions growing pinot noir. J. Wine Res. 2012, 23, 203–228. [Google Scholar] [CrossRef]
- Xing, Z.G. Study on the Physiological Responses of Grafted Seedlings of Different Rootstocks of Sunlight Rose to Combined Stress of Salt and Low Temperature; Northwest A&F University: Yangling, China, 2023. [Google Scholar]
- Shi, X.; Zhang, B.; Niu, J.M.; Liu, Q.; Li, N.; Chen, X.R.; Wang, K.L.; Ma, T.Z.; Han, S.Y. Determination of polyphenols in ‘Pinot Noir’ grapes at different stages of maturity in the Wuwei region of Gansu province. Food Ferment. Ind. 2020, 46, 258–265. [Google Scholar]
- Feng, Q.; Yin, X.W.; Zhu, M.; Zhang, J.T.; Liu, W.; Xi, H.Y.; Yu, T.F.; Yang, L.S.; Liu, W.; Lu, Z.X. Coordinated Promotion of comprehensive management and utilization of saline-alkali land in northwest China: Current situation, challenges, and policy recommendations. Chin. Acad. Sci. Bull. 2024, 39, 2060–2073. [Google Scholar]
- Yan, K.H.; Zhang, C.C.; Nai, J.G.; Ma, L.; Lai, Y.; Pu, Z.H.; Ma, S.Y.; Li, S. Microbial inoculant GB03 increased the yield and quality of grape fruit under salt-alkali stress by changing rhizosphere microbial communities. Foods 2025, 14, 711. [Google Scholar] [CrossRef] [PubMed]
- Sofy, R.M.; Elhawat, N.; Alshaal, T. Glycine betaine counters salinity stress by maintaining high K+/Na+ ratio and antioxidant defense via limiting Na+ uptake in common bean (Phaseolus vulgaris L.). Ecotoxicol. Environ. Saf. 2020, 200, 110732. [Google Scholar] [CrossRef]
- Li, J.; Pu, L.; Han, M.; Han, M.F.; Zhu, M.; Zhang, R.S.; Xiang, Y.Z. Soil salinization research in China: Advances and prospects. J. Geogr. Sci. 2014, 24, 943–960. [Google Scholar] [CrossRef]
- Zhao, W.; Zhou, Q.; Tian, Z.; Cui, Y.T.; Liang, Y.; Wang, H.Y. Apply biochar to ameliorate soda saline-alkali land, improve soil function and increase corn nutrient availability in the Songnen Plain. Sci. Total Environ. 2020, 722, 137428. [Google Scholar] [CrossRef]
- Hao, W.; Tetsuo, T.; Shen, K.L. Screening and evaluation of saline-alkaline tolerant germplasm of rice (Oryza sativa L.) in soda saline-alkali soil. Agronomy 2018, 8, 205. [Google Scholar]
- Kopittke, M.P.; Menzies, W.N.; Wang, P.; McKenna, A.B.; Lombi, E. Soil and the intensification of agriculture for global food security. Environ. Int. 2019, 132, 105078. [Google Scholar] [CrossRef]
- Zhen, Y.; Jin, L.L.; Lu, N.L.; Qi, X.; Na, S. Photosynthetic regulation under salt stress and salt-tolerance mechanism of sweet sorghum. Front. Plant Sci. 2019, 10, 1722. [Google Scholar]
- Chand, K.K.; Barkha, S.; Sharon, N.; Ajay, K.; Shalini, T.; Madhavan, R.N. Plant growth-promoting rhizobacteria: Salt stress alleviators to improve crop productivity for sustainable agriculture development. Front. Plant Sci. 2023, 13, 1101862. [Google Scholar] [CrossRef]
- Wu, Q.; Chen, Y.; Dou, X.; Liao, D.X.; Li, K.Y.; An, C.C.; Li, G.H.; Dong, Z. Microbial fertilizers improve soil quality and crop yield in coastal saline soils by regulating soil bacterial and fungal community structure. Sci. Total Environ. 2024, 949, 175127. [Google Scholar] [CrossRef]
- Poulomi, C.; Kumar, R.S.; Rupsa, R.; Abhrajyoti, G.; Debasish, M.; Prosun, T. Bioaugmentation of soil with Enterobacter cloacae AKS7 enhances soil nitrogen content and boosts soil microbial functional-diversity. 3 Biotech 2019, 9, 253. [Google Scholar] [CrossRef]
- Beatrice, B.; Susanne, B.; Silke, R. The plant growth-promoting bacterium Kosakonia radicincitans improves fruit yield and quality of Solanum lycopersicum. J. Sci. Food Agric. 2017, 97, 4865–4871. [Google Scholar]
- Liang, L.; Ning, L.; Zi, H.F.; Liu, M.H.; Zhang, X.X.; Tian, J.; Yu, Y.J.; Lin, H.H.; Huang, Y.; Kong, Z.S. A novel PGPR strain, Streptomyces lasalocidi JCM 3373T, alleviates salt stress and shapes root architecture in soybean by secreting indole-3-carboxaldehyde. Plant Cell Environ. 2024, 47, 1941–1956. [Google Scholar]
- Li, Y.; Zhang, C.; Lu, X.; Yan, H.K.; Nai, G.J.; Gong, M.S.; Lai, Y.; Pu, Z.H.; Wei, L.; Ma, S.Y.; et al. Impact of exogenous melatonin foliar application on physiology and fruit quality of wine grapes (Vitis vinifera) under salt stress. Funct. Plant Biol. 2024, 51, FP24019. [Google Scholar] [CrossRef] [PubMed]
- Coombe, B.G. Growth Stages of the Grapevine: Adoption of a system for identifying grapevine growth stages. Aust. J. Grape Wine Res. 1995, 1, 104–110. [Google Scholar] [CrossRef]
- Zhang, C.; Liu, G.; Xue, S.; Song, Z.L. Rhizosphere soil microbial activity under different vegetation types on the Loess Plateau, China. Geoderma 2010, 161, 115–125. [Google Scholar] [CrossRef]
- Wei, H.L.; Qi, Z.L.; Peng, C. Effect of long-term continuous cropping of strawberry on soil bacterial community structure and diversity. J. Integr. Agric. 2018, 17, 2570–2582. [Google Scholar] [CrossRef]
- Qin, L.; Huang, S.Q.; Zhong, L.L.; Zhou, H.; Zhao, S.; Xiang, B.; Lei, S.R. Comparative study of the Dumas combustion method and the Kjeldahl method in the detection of total nitrogen in soil. Chin. J. Soil Fertil. 2020, 4, 258–265. [Google Scholar]
- Acevedo, O.C.; Ortega, F.S.; Fuentes, S. Effects of grapevine (Vitis vinifera L.) water status on water consumption, vegetative growth and grape quality: An irrigation scheduling application to achieve regulated deficit irrigation. Agric. Water Manag. 2010, 97, 956–964. [Google Scholar] [CrossRef]
- He, S.S.; Zhao, C. Evaluation of morphological characteristics and flavor quality of Guizhou small garlic germplasm resources. J. Huazhong Agric. Univ. 2023, 42, 19–26. [Google Scholar]
- Rady, M.M. Effect of 24-epibrassinolide on growth, yield, antioxidant system and cadmium content of bean (Phaseolus vulgaris L.) plants under salinity and cadmium stress. Sci. Hortic. 2011, 129, 232–237. [Google Scholar] [CrossRef]
- Lu, H.L.; Meng, Y.L.; Zhou, L.L.; Zhang, G.W.; Zhou, Z.G. Effects of salt stress on soil microbial biomass and soil nutrients in cotton fields. J. Soil Water Conserv. 2011, 25, 197–201. [Google Scholar]
- Pan, C.; Liu, C.; Zhao, H.; Wang, Y. Changes of soil physico-chemical properties and enzyme activities in relation to grassland salinization. Eur. J. Soil Biol. 2013, 55, 13–19. [Google Scholar] [CrossRef]
- Liu, C.; Gong, X.; Dang, K.; Li, J.; Yang, P.; Gao, X.L.; Deng, X.P.; Feng, B.L. Linkages between nutrient ratio and the microbial community in rhizosphere soil following fertilizer management. Environ. Res. 2020, 184, 109261. [Google Scholar] [CrossRef]
- Ning, J.; Li, J.; Shu, Y.W.; Li, J.W.; Liu, F.H.; Liu, Z.C.; Luo, S.L.; Wu, Y.; Lyu, J.; Yu, J.H. Reduced chemical fertilizer combined with bio-organic fertilizer affects the soil microbial community and yield and quality of lettuce. Front. Microbiol. 2022, 13, 863325. [Google Scholar] [CrossRef]
- Hua, P.Z.; Hai, F.S.; Yong, Q.Y.; Xi, X.F.; Xi, C.; Fei, X.; Hong, H.L.; Yan, G. Insights into plant salt stress signaling and tolerance. J. Genet. Genom. 2023, 51, 16–34. [Google Scholar] [CrossRef] [PubMed]
- Dong, H.; Wang, Y.; Di, Y.; Qiu, Y.Y.; Ji, Z.L.; Zhou, T.F.; Shen, S.S.; Du, N.S.; Zhang, T.; Dong, X.X.; et al. Plant growth-promoting rhizobacteria Pseudomonas aeruginosa HG28-5 improves salt tolerance by regulating Na+/K+ homeostasis and ABA signaling pathway in tomato. Microbiol. Res. 2024, 283, 127707. [Google Scholar] [CrossRef]
- Akhtar, A.; Veselin, P.; Dae, J.Y.; Tsanko, G. Revisiting plant salt tolerance: Novel components of the SOS pathway. Trends Plant Sci. 2023, 28, 1060–1069. [Google Scholar] [CrossRef]
- Liu, C.F.; Qi, L.; Dong, Q.Z.; Ming, Y.J.; Zhuang, Z.L.; Zhao, Q.H.; Quan, J.R.; Sheng, D.J.; Shi, F.S.; Shi, P.L.; et al. B. subtilis CNBG-PGPR-1 induces methionine to regulate ethylene pathway and ROS scavenging for improving salt tolerance of tomato. Plant J. Cell Mol. Biol. 2023, 117, 193–211. [Google Scholar]
- Cong, C.Z.; Xu, L.; Hao, K.Y.; Mei, S.G.; Wen, H.W.; Bai, H.C.; Shao, Y.M.; Sheng, L. Nitrogen application improves salt tolerance of grape seedlings via regulating hormone metabolism. Physiol. Plant. 2023, 175, e13896. [Google Scholar] [CrossRef] [PubMed]
- Mittova, V.; Tal, M.; Volokita, M.; Guy, M. Up-regulation of the leaf mitochondrial and peroxisomal antioxidative systems in response to salt-induced oxidative stress in the wild salt-tolerant tomato species Lycopersicon pennellii. Plant Cell Environ. 2003, 26, 845–856. [Google Scholar] [CrossRef]
- Hui, M.Z.; Xi, T.X.; Mi, S.K.; Dmytro, A.K.; Scott, H.; Paul, P. Soil bacteria augment Arabidopsis photosynthesis by decreasing glucose sensing and abscisic acid levels in planta. Plant J. 2008, 56, 264–273. [Google Scholar] [CrossRef]
- Neshat, M.; Abbasi, A.; Hosseinzadeh, A.; Sarikhani, M.R.; Chavan, D.D.; Rasoulnia, A. Plant growth promoting bacteria (PGPR) induce antioxidant tolerance against salinity stress through biochemical and physiological mechanisms. Physiol. Mol. Biol. Plants 2022, 28, 347–361. [Google Scholar] [CrossRef]
- Ma, X.; Ouyang, Z.; Luo, H.; Shang, W.; Ma, H.; Zhu, M.; Dong, H.; Guo, Z.; Dong, X.; Piao, F.; et al. Bacillus velezensis HR6-1 enhances salt tolerance in tomato by increasing endogenous cytokinin content and improving ROS scavenging. Microbiol. Res. 2025, 296, 128143. [Google Scholar] [CrossRef] [PubMed]
- Keutgen, J.A.; Pawelzik, E. Quality and nutritional value of strawberry fruit under long term salt stress. Food Chem. 2007, 107, 1413–1420. [Google Scholar] [CrossRef]
- Sato, S.; Sakaguchi, S.; Furukawa, H.; Ikeda, H. Effects of NaCl application to hydroponic nutrient solution on fruit characteristics of tomato (Lycopersicon esculentum Mill.). Sci. Hortic. 2006, 109, 248–253. [Google Scholar] [CrossRef]
- Shi, H.M.; Zhu, X.X.; Lu, L.X.; Ye, J.R. Effect of microbial inoculants endowed with multifarious plant growth-promoting traits on grape growth and fruit quality under organic fertilization scenarios. Agronomy 2024, 14, 491. [Google Scholar] [CrossRef]
- Xiao, L.W.; Qiu, Y.J.; Sheng, X.J.; Bin, B.G.; Jing, R.L.; Gui, Y.L.; Hong, B.G. Gamma-aminobutyric acid (GABA) alleviates salt damage in tomato by modulating Na+ uptake, the GAD gene, amino acid synthesis and reactive oxygen species metabolism. BMC Plant Biol. 2020, 20, 465. [Google Scholar] [CrossRef] [PubMed]










| Treatment Group | Principal Component Scores | Comprehensive Evaluation | ||
|---|---|---|---|---|
| U1 | U2 | D | Sort | |
| CK | 2.41 | 3.81 | 2.63 | 1 |
| S | 0.91 | 3.03 | 1.24 | 3 |
| S+JL | 0.81 | 4.08 | 1.31 | 4 |
| S+JH | 1.51 | 1.39 | 1.49 | 2 |
Disclaimer/Publisher’s Note: The statements, opinions and data contained in all publications are solely those of the individual author(s) and contributor(s) and not of MDPI and/or the editor(s). MDPI and/or the editor(s) disclaim responsibility for any injury to people or property resulting from any ideas, methods, instructions or products referred to in the content. |
© 2025 by the authors. Licensee MDPI, Basel, Switzerland. This article is an open access article distributed under the terms and conditions of the Creative Commons Attribution (CC BY) license (https://creativecommons.org/licenses/by/4.0/).
Share and Cite
Li, Z.; Ma, L.; Nai, G.; Pu, Z.; Zhang, J.; Li, S.; Wu, B.; Ma, S. Exogenous Application of Applied Microbial Agents to Alleviate Salt Stress on ‘Pinot Noir’ Grapes and Improve Fruit Yield and Quality. Agriculture 2025, 15, 1960. https://doi.org/10.3390/agriculture15181960
Li Z, Ma L, Nai G, Pu Z, Zhang J, Li S, Wu B, Ma S. Exogenous Application of Applied Microbial Agents to Alleviate Salt Stress on ‘Pinot Noir’ Grapes and Improve Fruit Yield and Quality. Agriculture. 2025; 15(18):1960. https://doi.org/10.3390/agriculture15181960
Chicago/Turabian StyleLi, Zhilong, Lei Ma, Guojie Nai, Zhihui Pu, Jingrong Zhang, Sheng Li, Bing Wu, and Shaoying Ma. 2025. "Exogenous Application of Applied Microbial Agents to Alleviate Salt Stress on ‘Pinot Noir’ Grapes and Improve Fruit Yield and Quality" Agriculture 15, no. 18: 1960. https://doi.org/10.3390/agriculture15181960
APA StyleLi, Z., Ma, L., Nai, G., Pu, Z., Zhang, J., Li, S., Wu, B., & Ma, S. (2025). Exogenous Application of Applied Microbial Agents to Alleviate Salt Stress on ‘Pinot Noir’ Grapes and Improve Fruit Yield and Quality. Agriculture, 15(18), 1960. https://doi.org/10.3390/agriculture15181960

