Microbial Community Dynamics and Rice Adaptation in Saline–Alkali Soils: Insights into Plant-Microbe Interactions
Abstract
1. Introduction
2. Materials and Methods
2.1. Experimental Site and Material
2.2. Soil Sample Collection
2.3. Experimental Design
2.4. Measurement of Physiochemical Properties of Soil
Sodium Adsorption Ratio (SAR)
2.5. Soil DNA Extraction, PCR Amplification, and High-Throughput Sequencing
2.6. Isolation, Screening, and Functional Identification of Potential PGPM
2.6.1. Phosphorus (P) Solubilization
2.6.2. ACC Deaminase Activity
2.6.3. IAA Production Capacity
2.6.4. Ammonia Production
2.7. Assessment of Growth-Promoting Ability of Potential PGPM in Salt-Stressed Rice
2.7.1. Measurement of Rice Growth Parameters
- Plant height was determined by measuring the vertical distance from the base of the stem to the highest leaf collar using a digital vernier caliper (accuracy ±0.01 cm). Measurements were performed on naturally extended seedlings, with 15 randomly selected plants per treatment group. This standardized protocol ensures precise and reproducible phenotyping data collection [35].
- After 25 days of growth, 15 uniformly growing plants were randomly selected per treatment. Bulk soil was gently removed from roots by rinsing with tap water while maintaining root system integrity. In the laboratory, residual particles were further cleaned using deionized water. After brief surface moisture removal (30 s blotting with absorbent paper), fresh weight was determined using a precision analytical balance, with values recorded to four decimal places (0.0001 g) [36].
- Whole seedlings were rinsed with deionized water, blotted dry with filter paper for 30 s, and oven-dried at 80 °C for 48 h until constant weight was achieved. After cooling in a desiccator for 30 min, samples were weighed using an analytical balance with 0.0001 g precision (n = 15) [37].
2.7.2. Measurement of Rice Physiological Parameters
2.8. Bioinformatics Analysis
2.9. Statistical Analysis and Data Availability
3. Results
3.1. Soil Nutrients
3.2. Soil Microbial Diversity and Community Composition
3.3. Correlation-Based Network Analysis of Soil Microbial Communities
3.4. Correlation Analysis Between Soil Microorganisms and Environmental Factors
3.5. Results of the Isolation, Screening, and Functional Identification of PGPM
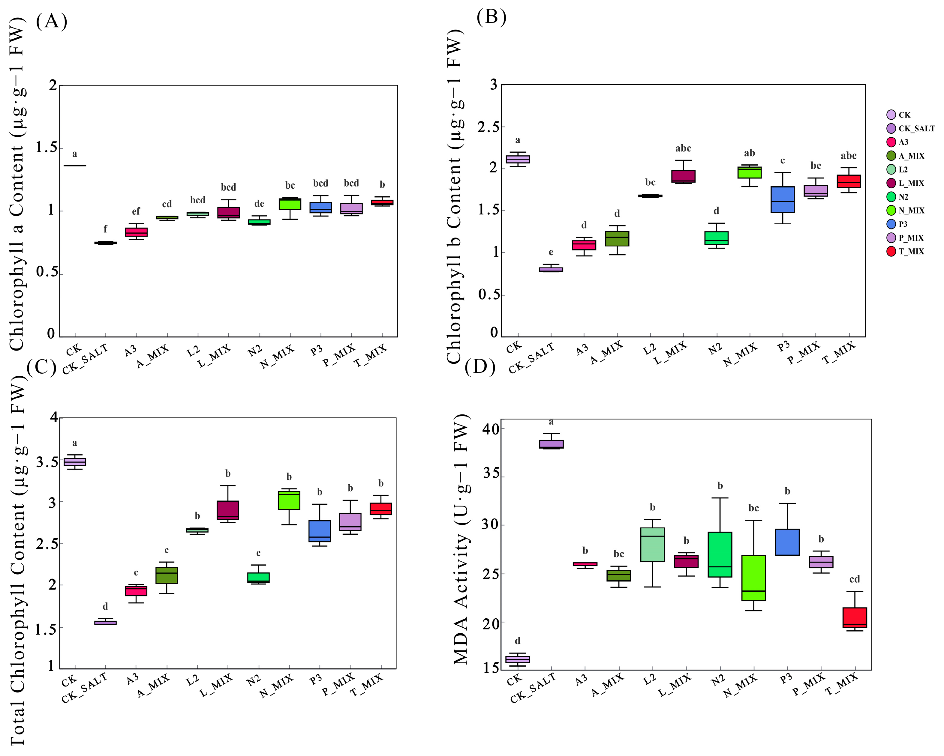
3.6. Effects of Potential PGPM on the Growth and Physicochemical Properties of M58
4. Discussion
4.1. The Impact of Salinity on Soil Microorganisms and Their Adaptive Mechanisms
4.2. The Role of the Rhizosphere and Beneficial Microorganisms in Plant Adaptation to Salt Stress
5. Conclusions
Supplementary Materials
Author Contributions
Funding
Institutional Review Board Statement
Data Availability Statement
Conflicts of Interest
References
- Abubakar, I. The future of migration, human populations, and global health in the Anthropocene. Lancet 2020, 396, 1133–1134. [Google Scholar] [CrossRef]
- Bhattacharjee, N.V.; Schumacher, A.E.; Aali, A.; Abate, Y.H.; Abbasgholizadeh, R.; Abbasian, M.; Abbasi-Kangevari, M.; Ab bastabar, H.; Abd ElHafeez, S.; Abd-Elsalam, S. Global fertility in 204 countries and territories, 1950–2021, with forecasts to 2100: A comprehensive demographic analysis for the Global Burden of Disease Study 2021. Lancet 2024, 403, 2057–2099. [Google Scholar] [CrossRef]
- Díaz, S.; Settele, J.; Brondízio, E.S.; Ngo, H.T.; Agard, J.; Arneth, A.; Balvanera, P.; Brauman, K.A.; Butchart, S.H.M.; Chan, K.M.A.; et al. Pervasive human-driven decline of life on Earth points to the need for transformative change. Science 2019, 366, eaax3100. [Google Scholar] [CrossRef] [PubMed]
- Du, Y.; Liu, X.; Zhang, L.; Zhou, W. Drip irrigation in agricultural saline-alkali land controls soil salinity and improves crop yield: Evidence from a global meta-analysis. Sci. Total Environ. 2023, 880, 163226. [Google Scholar] [CrossRef] [PubMed]
- Weaver, P.; Jansen, L.; Van Grootveld, G.; Van Spiegel, E.; Vergragt, P. Sustainable Technology Development; Routledge: Oxfordshire, UK, 2017. [Google Scholar]
- van Zelm, E.; Zhang, Y.; Testerink, C. Salt Tolerance Mechanisms of Plants. Annu. Rev. Plant Biol. 2020, 71, 403–433. [Google Scholar] [CrossRef] [PubMed]
- Dutta, J. Genetically modified (GM) foods: The food security dilemma. In Food Safety in the 21st Century; Elsevier: Amsterdam, The Netherlands, 2017; pp. 507–514. [Google Scholar]
- Kinnunen, P.; Guillaume, J.H.; Taka, M.; D’odorico, P.; Siebert, S.; Puma, M.J.; Jalava, M.; Kummu, M. Local food crop production can fulfil demand for less than one-third of the population. Nat. Food 2020, 1, 229–237. [Google Scholar] [CrossRef]
- Verslues, P.E.; Bailey-Serres, J.; Brodersen, C.; Buckley, T.N.; Conti, L.; Christmann, A.; Dinneny, J.R.; Grill, E.; Hayes, S.; Heckman, R.W. Burning questions for a warming and changing world: 15 unknowns in plant abiotic stress. Plant Cell 2023, 35, 67–108. [Google Scholar] [CrossRef]
- Cushman, J.C.; Denby, K.; Mittler, R. Plant responses and adaptations to a changing climate. Plant J. 2022, 109, 319–322. [Google Scholar] [CrossRef]
- Changjie, J.; Zhengwei, L.; Xianzhi, X. Priming for saline-alkaline tolerance in rice: Current knowledge and future challenges. Rice Sci. 2023, 30, 417–425. [Google Scholar] [CrossRef]
- Admassie, M.; Woldehawariat, Y.; Alemu, T.; Gonzalez, E.; Jimenez, J.F. The role of plant growth-promoting bacteria in alleviating drought stress on pepper plants. Agric. Water Manag. 2022, 272, 107831. [Google Scholar] [CrossRef]
- Fukuda, A.; Nakamura, A.; Hara, N.; Toki, S.; Tanaka, Y. Molecular and functional analyses of rice NHX-type Na+/H+ antiporter genes. Planta 2011, 233, 175–188. [Google Scholar] [CrossRef]
- Sheng, W.; Zhang, G.; Zhai, L.; Xu, J. Candidate genes for alkali tolerance identified by genome-wide association study at the seedling stage in rice (Oryza sativa L.). Sci. Rep. 2024, 14, 30063. [Google Scholar] [CrossRef]
- Shen, T.; Xu, F.; Chen, D.; Yan, R.; Wang, Q.; Li, K.; Zhang, G.; Ni, L.; Jiang, M. AB-box transcription factor OsBBX17 regulates saline-alkaline tolerance through the MAPK cascade pathway in rice. New Phytol. 2024, 241, 2158–2175. [Google Scholar] [CrossRef]
- Dizon, F.; Costa, S.; Rock, C.; Harris, A.; Husk, C.; Mei, J. Genetically Modified (GM) Foods and Ethical Eating. J. Food Sci. 2016, 81, R287–R291. [Google Scholar] [CrossRef]
- Nan, L.; Guo, Q.; Cao, S.; Zhan, Z. Diversity of bacterium communities in saline-alkali soil in arid regions of Northwest China. BMC Microbiol. 2022, 22, 11. [Google Scholar] [CrossRef] [PubMed]
- Adeyeye, S.A.O.; Idowu-Adebayo, F. Genetically modified and biofortified crops and food security in developing countries: A review. Nutr. Food Sci. 2019, 49, 978–986. [Google Scholar] [CrossRef]
- Zhang, G.; Bai, J.; Zhai, Y.; Jia, J.; Zhao, Q.; Wang, W.; Hu, X. Microbial diversity and functions in saline soils: A review from a biogeochemical perspective. J. Adv. Res. 2024, 59, 129–140. [Google Scholar] [CrossRef]
- Kiani, M.Z.; Ali, A.; Sultan, T.; Ahmad, R.; Hydar, S.I. Plant growth promoting rhizobacteria having 1-aminocyclopropane-1-carboxylic acid deaminase to induce salt tolerance in sunflower (Helianthus annus L.). Nat. Resour. 2015, 6, 391–397. [Google Scholar] [CrossRef]
- Nghia, N.K.; Tien, T.T.M.; Oanh, N.T.K.; Nuong, N.H.K. Isolation and characterization of indole acetic acid producing halophilic bacteria from salt affected soil of rice–shrimp farming system in the Mekong Delta, Vietnam. Agric. For. Fish. 2017, 9, 69–77. [Google Scholar] [CrossRef]
- AbuQamar, S.F.; El-Saadony, M.T.; Saad, A.M.; Desoky, E.-S.M.; Elrys, A.S.; Abd El-Mageed, T.A.; Semida, W.M.; Abdelkhalik, A.; Mosa, W.F.; Al Kafaas, S.S. Halotolerant plant growth-promoting rhizobacteria improve soil fertility and plant salinity tolerance for sustainable agriculture—A review. Plant Stress 2024, 12, 100482. [Google Scholar] [CrossRef]
- Afzal, A.; Khan, M.Y.; Zahir, Z.A.; Asghar, H.N.; Muhmood, A.; Rashid, M.; Aslam, Z.; Javed, S.A.; Nadeem, S.M. Plant growth-promoting bacterial consortia improved the physiology and growth of maize by regulating osmolytes and antioxidants balance under salt-affected field conditions. Heliyon 2023, 9, e17816. [Google Scholar] [CrossRef]
- Upadhyay, S.K.; Srivastava, A.K.; Rajput, V.D.; Chauhan, P.K.; Bhojiya, A.A.; Jain, D.; Chaubey, G.; Dwivedi, P.; Sharma, B.; Minkina, T. Root exudates: Mechanistic insight of plant growth promoting rhizobacteria for sustainable crop production. Front. Microbiol. 2022, 13, 916488. [Google Scholar] [CrossRef] [PubMed]
- Wang, J.; Liu, G.; Zhang, C.; Wang, G.; Fang, L.; Cui, Y. Higher temporal turnover of soil fungi than bacteria during long-term secondary succession in a semiarid abandoned farmland. Soil. Tillage Res. 2019, 194, 104305. [Google Scholar] [CrossRef]
- Kumawat, K.C.; Nagpal, S.; Sharma, P. Potential of plant growth-promoting rhizobacteria-plant interactions in mitigating salt stress for sustainable agriculture: A review. Pedosphere 2022, 32, 223–245. [Google Scholar] [CrossRef]
- Yuan, Y.; Feng, Z.; Yan, S.; Zhang, J.; Song, H.; Zou, Y.; Jin, D. The Effect of the Application of Chemical Fertilizer and Arbuscular MyCorrhizal Fungi on Maize Yield and Soil Microbiota in Saline Agricultural Soil. J. Fungi 2025, 11, 319. [Google Scholar] [CrossRef]
- Zhang, Y. Soil, Water, and Plant Physicochemical Analysis Tutorial, 1st ed.; China Forestry Publishing House: Beijing, China, 2011; pp. 132–153. [Google Scholar]
- Wang, G.; Weng, L.; Huang, Y.; Ling, Y.; Zhen, Z.; Lin, Z.; Hu, H.; Li, C.; Guo, J.; Zhou, J.L.; et al. Microbiome-metabolome analysis directed isolation of rhizobacteria capable of enhancing salt tolerance of Sea Rice 86. Sci. Total Environ. 2022, 843, 156817. [Google Scholar] [CrossRef] [PubMed]
- Damo, J.L.C.; Ramirez, M.D.A.; Agake, S.I.; Pedro, M.; Brown, M.; Sekimoto, H.; Yokoyama, T.; Sugihara, S.; Okazaki, S.; Ohkama-Ohtsu, N. Isolation and Characterization of Phosphate Solubilizing Bacteria from Paddy Field Soils in Japan. Microbes Environ. 2022, 37, ME21085. [Google Scholar] [CrossRef]
- Lebrazi, S.; Niehaus, K.; Bednarz, H.; Fadil, M.; Chraibi, M.; Fikri-Benbrahim, K. Screening and optimization of indole-3-acetic acid production and phosphate solubilization by rhizobacterial strains isolated from Acacia cyanophylla root nodules and their effects on its plant growth. J. Genet. Eng. Biotechnol. 2020, 18, 71. [Google Scholar] [CrossRef]
- Ratnaningsih, H.R.; Noviana, Z.; Dewi, T.K.; Loekito, S.; Wiyono, S.; Gafur, A.; Antonius, S. IAA and ACC deaminase producing-bacteria isolated from the rhizosphere of pineapple plants grown under different abiotic and biotic stresses. Heliyon 2023, 9, e16306. [Google Scholar] [CrossRef]
- Dey, R.; Raghuwanshi, R. Comprehensive assessment of growth parameters for screening endophytic bacterial strains in Solanum lycopersicum (Tomato). Heliyon 2020, 6, e05325. [Google Scholar] [CrossRef] [PubMed]
- Duan, F.; Wu, F.; Li, Z.; Zhang, K.; Ma, Q. Response of young rice panicles to salt stress: Insights based on phenotype and transcriptome analysis. Front. Plant Sci. 2024, 15, 1451469. [Google Scholar] [CrossRef] [PubMed]
- Sarker, P.K.; Karmoker, D.; Shohan, M.U.S.; Saha, A.K.; Rima, F.S.; Begum, R.A.; Islam, M.R.; Seraj, Z.I. Effects of multiple halotolerant rhizobacteria on the tolerance, growth, and yield of rice plants under salt stress. Folia Microbiol. 2023, 68, 55–72. [Google Scholar] [CrossRef]
- Mahmud, F.M.A.; Islam, M.A.; Rubel, M.H.; Mukharjee, S.K.; Kumar, M.; Bhattacharya, P.; Ahmed, F. Effects of halotolerant rhizobacteria on rice seedlings under salinity stress. Sci. Total Environ. 2023, 892, 163774. [Google Scholar] [CrossRef]
- Kumar, A.; Singh, S.; Mukherjee, A.; Rastogi, R.P.; Verma, J.P. Salt-tolerant plant growth-promoting Bacillus pumilus strain JPVS11 to enhance plant growth attributes of rice and improve soil health under salinity stress. Microbiol. Res. 2021, 242, 126616. [Google Scholar] [CrossRef]
- Edgar, R.C. Updating the 97% identity threshold for 16S ribosomal RNA OTUs. Bioinformatics 2018, 34, 2371–2375. [Google Scholar] [CrossRef]
- Dong, Y.; Chen, R.; Graham, E.B.; Yu, B.; Bao, Y.; Li, X.; You, X.; Feng, Y. Eco-evolutionary strategies for relieving carbon limitation under salt stress differ across microbial clades. Nat. Commun. 2024, 15, 6013. [Google Scholar] [CrossRef]
- Wu, D.; Wang, W.; Yao, Y.; Li, H.; Wang, Q.; Niu, B. Microbial interactions within beneficial consortia promote soil health. Sci. Total Environ. 2023, 900, 165801. [Google Scholar] [CrossRef]
- Li, Q.; Zhang, D.; Song, Z.; Ren, L.; Jin, X.; Fang, W.; Yan, D.; Li, Y.; Wang, Q.; Cao, A. Organic fertilizer activates soil beneficial microorganisms to promote strawberry growth and soil health after fumigation. Environ. Pollut 2022, 295, 118653. [Google Scholar] [CrossRef]
- Zheng, Y.; Xu, Z.; Liu, H.; Liu, Y.; Zhou, Y.; Meng, C.; Ma, S.; Xie, Z.; Li, Y.; Zhang, C.S. Patterns in the Microbial Community of Salt-Tolerant Plants and the Functional Genes Associated with Salt Stress Alleviation. Microbiol. Spectr. 2021, 9, e0076721. [Google Scholar] [CrossRef] [PubMed]
- Xiong, R.; He, X.; Gao, N.; Li, Q.; Qiu, Z.; Hou, Y.; Shen, W. Soil pH amendment alters the abundance, diversity, and composition of microbial communities in two contrasting agricultural soils. Microbiol. Spectr. 2024, 12, 0416523. [Google Scholar] [CrossRef] [PubMed]
- Saccò, M.; White, N.E.; Harrod, C.; Salazar, G.; Aguilar, P.; Cubillos, C.F.; Meredith, K.; Baxter, B.K.; Oren, A.; Anufriieva, E. Salt to conserve: A review on the ecology and preservation of hypersaline ecosystems. Biol. Rev. 2021, 96, 2828–2850. [Google Scholar] [CrossRef]
- Jia, J.; Zhang, J.; Li, Y.; Koziol, L.; Podzikowski, L.; Delgado-Baquerizo, M.; Wang, G.; Zhang, J. Relationships between soil biodiversity and multifunctionality in croplands depend on salinity and organic matter. Geoderma 2023, 429, 116273. [Google Scholar] [CrossRef]
- Xing, Q.; Mesbah, N.M.; Wang, H.; Zhang, Y.; Li, J.; Zhao, B. Tandem mass tag-based quantitative proteomics reveals osmotic adaptation mechanisms in Alkalicoccus halolimnae BZ-SZ-XJ29T, a halophilic bacterium with a broad salinity range for optimal growth. Environ. Microbiol. 2023, 25, 1967–1987. [Google Scholar] [CrossRef] [PubMed]
- Gregory, G.J.; Boyd, E.F. Stressed out: Bacterial response to high salinity using compatible solute biosynthesis and uptake systems, lessons from Vibrionaceae. Comput. Struct. Biotechnol. J. 2021, 19, 1014–1027. [Google Scholar] [CrossRef]
- Xu, Q.; Long, S.; Liu, X.; Duan, A.; Du, M.; Lu, Q.; Leng, L.; Leu, S.Y.; Wang, D. Insights into the Occurrence, Fate, Impacts, and Control of Food Additives in Food Waste Anaerobic Digestion: A Review. Environ. Sci. Technol. 2023, 57, 6761–6775. [Google Scholar] [CrossRef] [PubMed]
- Abdullaeva, Y.; Ambika Manirajan, B.; Honermeier, B.; Schnell, S.; Cardinale, M. Domestication affects the composition, diversity, and co-occurrence of the cereal seed microbiota. J. Adv. Res. 2020, 31, 75–86. [Google Scholar] [CrossRef]
- Raynaud, T.; Blouin, M.; Devers-Lamrani, M.; Garmyn, D.; Spor, A. Assessing the importance of interspecific interactions in the evolution of microbial communities. Ecol. Evol. 2022, 12, e9494. [Google Scholar] [CrossRef] [PubMed]
- Jiao, S.; Chen, W.; Wang, J.; Du, N.; Li, Q.; Wei, G. Soil microbiomes with distinct assemblies through vertical soil profiles drive the cycling of multiple nutrients in reforested ecosystems. Microbiome 2018, 6, 146. [Google Scholar] [CrossRef]
- Alcalá-Corona, S.A.; Sandoval-Motta, S.; Espinal-Enríquez, J.; Hernández-Lemus, E. Modularity in Biological Networks. Front. Genet. 2021, 12, 701331. [Google Scholar] [CrossRef]
- Ma, B.; Wang, Y.; Ye, S.; Liu, S.; Stirling, E.; Gilbert, J.A.; Faust, K.; Knight, R.; Jansson, J.K.; Cardona, C.; et al. Earth microbial co-occurrence network reveals interconnection pattern across microbiomes. Microbiome 2020, 8, 82. [Google Scholar] [CrossRef]
- Cornell, C.R.; Zhang, Y.; Ning, D.; Xiao, N.; Wagle, P.; Xiao, X.; Zhou, J. Land use conversion increases network complexity and stability of soil microbial communities in a temperate grassland. ISME J. 2023, 17, 2210–2220. [Google Scholar] [CrossRef]
- Zhang, J.; Zhang, Q.; Zhang, C.; Wang, R.; Wang, H.; Zheng, P. Vegetation succession enhances microbial diversity, network complexity, and stability in coastal wetlands, underscoring the pivotal role of soil salinity and key microbial species. J. Environ. Manag. 2025, 388, 125997. [Google Scholar] [CrossRef]
- Rath, K.M.; Fierer, N.; Murphy, D.V.; Rousk, J. Linking bacterial community composition to soil salinity along environmental gradients. ISME J. 2019, 13, 836–846. [Google Scholar] [CrossRef]
- Wang, X.; Sun, R.; Tian, Y.; Guo, K.; Sun, H.; Liu, X.; Chu, H.; Liu, B. Long-Term Phytoremediation of Coastal Saline Soil Reveals Plant Species-Specific Patterns of Microbial Community Recruitment. mSystems 2020, 5, e00741-19. [Google Scholar] [CrossRef]
- Sultana, S.; Paul, S.C.; Parveen, S.; Alam, S.; Rahman, N.; Jannat, B.; Hoque, S.; Rahman, M.T.; Karim, M.M. Isolation and identification of salt-tolerant plant-growth-promoting rhizobacteria and their application for rice cultivation under salt stress. Can. J. Microbiol. 2020, 66, 144–160. [Google Scholar] [CrossRef] [PubMed]
- Nilsson, R.H.; Larsson, K.H.; Taylor, A.F.S.; Bengtsson-Palme, J.; Jeppesen, T.S.; Schigel, D.; Kennedy, P.; Picard, K.; Glöckner, F.O.; Tedersoo, L.; et al. The UNITE database for molecular identification of fungi: Handling dark taxa and parallel taxonomic classifications. Nucleic Acids Res. 2019, 47, D259–D264. [Google Scholar] [CrossRef]
- Comeau, D.; Balthazar, C.; Novinscak, A.; Bouhamdani, N.; Joly, D.L.; Filion, M. Interactions Between Bacillus spp., Pseudomonas spp. and Cannabis sativa Promote Plant Growth. Front. Microbiol. 2021, 12, 715758. [Google Scholar] [CrossRef]
- Lu, L.; Chang, M.; Han, X.; Wang, Q.; Wang, J.; Yang, H.; Guan, Q.; Dai, S. Beneficial effects of endophytic Pantoea ananatis with ability to promote rice growth under saline stress. J. Appl. Microbiol. 2021, 131, 1919–1931. [Google Scholar] [CrossRef] [PubMed]
- Cohen, A.C.; Bottini, R.; Pontin, M.; Berli, F.J.; Moreno, D.; Boccanlandro, H.; Travaglia, C.N.; Piccoli, P.N. Azospirillum brasilense ameliorates the response of Arabidopsis thaliana to drought mainly via enhancement of ABA levels. Physiol. Plant 2015, 153, 79–90. [Google Scholar] [CrossRef] [PubMed]
- Bouremani, N.; Cherif-Silini, H.; Silini, A.; Bouket, A.C.; Luptakova, L.; Alenezi, F.N.; Baranov, O.; Belbahri, L. Plant Growth-Promoting Rhizobacteria (PGPR): A Rampart against the Adverse Effects of Drought Stress. Water 2023, 15, 418. [Google Scholar] [CrossRef]
- He, M.; Li, D.; Peng, S.; Wang, Y.; Ding, Q.; Wang, Y.; Zhang, J. Reduced soil ecosystem multifunctionality is associated with altered complexity of the bacterial-fungal interkingdom network under salinization pressure. Environ. Res. 2025, 269, 120863. [Google Scholar] [CrossRef]
- Ali, Q.; Ayaz, M.; Mu, G.; Hussain, A.; Yuanyuan, Q.; Yu, C.; Xu, Y.; Manghwar, H.; Gu, Q.; Wu, H.; et al. Revealing plant growth-promoting mechanisms of Bacillus strains in elevating rice growth and its interaction with salt stress. Front. Plant Sci. 2022, 13, 994902. [Google Scholar] [CrossRef]
- Xie, X.; Gan, L.; Wang, C.; He, T. Salt-tolerant plant growth-promoting bacteria as a versatile tool for combating salt stress in crop plants. Arch. Microbiol. 2024, 206, 341. [Google Scholar] [CrossRef] [PubMed]
- Chieb, M.; Gachomo, E.W. The role of plant growth promoting rhizobacteria in plant drought stress responses. BMC Plant Biol. 2023, 23, 407. [Google Scholar] [CrossRef]
- Orozco-Mosqueda, M.D.C.; Duan, J.; DiBernardo, M.; Zetter, E.; Campos-García, J.; Glick, B.R.; Santoyo, G. The Production of ACC Deaminase and Trehalose by the Plant Growth Promoting Bacterium pseudomonas sp. UW4 Synergistically Protect Tomato Plants Against Salt Stress. Front. Microbiol. 2019, 10, 1392. [Google Scholar] [CrossRef]
- Prittesh, P.; Avnika, P.; Kinjal, P.; Jinal, H.N.; Sakthivel, K.; Amaresan, N. Amelioration effect of salt-tolerant plant growth-promoting bacteria on growth and physiological properties of rice (Oryza sativa) under salt-stressed conditions. Arch. Microbiol. 2020, 202, 2419–2428. [Google Scholar] [CrossRef] [PubMed]
- Wang, G.; Zhang, L.; Zhang, S.; Li, B.; Li, J.; Wang, X.; Zhang, J.; Guan, C.; Ji, J. The combined use of a plant growth promoting Bacillus sp. strain and GABA promotes the growth of rice under salt stress by regulating antioxidant enzyme system, enhancing photosynthesis and improving soil enzyme activities. Microbiol. Res. 2023, 266, 127225. [Google Scholar] [CrossRef]
- Abdelkrim, S.; Jebara, S.H.; Jebara, M. Antioxidant systems responses and the compatible solutes as contributing factors to lead accumulation and tolerance in Lathyrus sativus inoculated by plant growth promoting rhizobacteria. Ecotoxicol. Environ. Saf. 2018, 166, 427–436. [Google Scholar] [CrossRef]
- Ma, C.; Yuan, S.; Xie, B.; Li, Q.; Wang, Q.; Shao, M. IAA Plays an Important Role in Alkaline Stress Tolerance by Modulating Root Development and ROS Detoxifying Systems in Rice Plants. Int. J. Mol. Sci. 2022, 23, 14817. [Google Scholar] [CrossRef] [PubMed]
- Tuong, H.M.; Méndez, S.G.; Vandecasteele, M.; Willems, A.; Iancheva, A.; Ngoc, P.B.; Phat, D.T.; Ha, C.H.; Goormachtig, S. A novel Microbacterium strain SRS2 promotes the growth of Arabidopsis and MicroTom (S. lycopersicum) under normal and salt stress conditions. Planta 2024, 260, 79. [Google Scholar] [CrossRef]
- Akram, W.; Aslam, H.; Ahmad, S.R.; Anjum, T.; Yasin, N.A.; Khan, W.U.; Ahmad, A.; Guo, J.; Wu, T.; Luo, W.; et al. Bacillus megaterium strain A12 ameliorates salinity stress in tomato plants through multiple mechanisms. J. Plant Interact. 2019, 14, 506–518. [Google Scholar] [CrossRef]
- Siddika, A.; Rashid, A.A.; Khan, S.N.; Khatun, A.; Karim, M.M.; Prasad, P.V.V.; Hasanuzzaman, M. Harnessing plant growth-promoting rhizobacteria Bacillus subtilis and B. aryabhattai to combat salt stress in rice: A study on the regulation of antioxidant defense, ion homeostasis, and photosynthetic parameters. Front. Plant Sci. 2024, 15, 1419764. [Google Scholar] [CrossRef]
- De la Vega-Camarillo, E.; Sotelo-Aguilar, J.; Rios-Galicia, B.; Mercado-Flores, Y.; Arteaga-Garibay, R.; Villa-Tanaca, L.; Hernández-Rodríguez, C. Promotion of the growth and yield of Zea mays by synthetic microbial communities from Jala maize. Front. Microbiol. 2023, 14, 1167839. [Google Scholar]
- Wahab, A.; Batool, F.; Abdi, G.; Muhammad, M.; Ullah, S.; Zaman, W. Role of plant growth-promoting rhizobacteria in sustainable agriculture: Addressing environmental and biological challenges. J. Plant Physiol. 2025, 307, 154455. [Google Scholar] [CrossRef] [PubMed]













Disclaimer/Publisher’s Note: The statements, opinions and data contained in all publications are solely those of the individual author(s) and contributor(s) and not of MDPI and/or the editor(s). MDPI and/or the editor(s) disclaim responsibility for any injury to people or property resulting from any ideas, methods, instructions or products referred to in the content. |
© 2025 by the authors. Licensee MDPI, Basel, Switzerland. This article is an open access article distributed under the terms and conditions of the Creative Commons Attribution (CC BY) license (https://creativecommons.org/licenses/by/4.0/).
Share and Cite
Zhang, K.; Duan, F.; Li, Z.; Deng, X.; Ma, Q. Microbial Community Dynamics and Rice Adaptation in Saline–Alkali Soils: Insights into Plant-Microbe Interactions. Agriculture 2025, 15, 1869. https://doi.org/10.3390/agriculture15171869
Zhang K, Duan F, Li Z, Deng X, Ma Q. Microbial Community Dynamics and Rice Adaptation in Saline–Alkali Soils: Insights into Plant-Microbe Interactions. Agriculture. 2025; 15(17):1869. https://doi.org/10.3390/agriculture15171869
Chicago/Turabian StyleZhang, Kai, Fanrui Duan, Zhen Li, Xinglong Deng, and Qilin Ma. 2025. "Microbial Community Dynamics and Rice Adaptation in Saline–Alkali Soils: Insights into Plant-Microbe Interactions" Agriculture 15, no. 17: 1869. https://doi.org/10.3390/agriculture15171869
APA StyleZhang, K., Duan, F., Li, Z., Deng, X., & Ma, Q. (2025). Microbial Community Dynamics and Rice Adaptation in Saline–Alkali Soils: Insights into Plant-Microbe Interactions. Agriculture, 15(17), 1869. https://doi.org/10.3390/agriculture15171869
