Influence of Information Sources on Technology Adoption in Apple Production in China
Abstract
1. Introduction
- (1)
- Identify farmers’ preferences for different agricultural information sources;
- (2)
- Examine how demographic and orchard characteristics influence these preferences;
- (3)
- Evaluate the impact of information source types on the adoption of key modern technologies; and
- (4)
- Assess the potential contribution of these technologies to economic performance, as measured by gross margins (defined as revenue minus direct costs).
2. Literature Review
3. Materials and Methods
3.1. Study Area
3.2. Preference in Information Sources
3.3. Management Decisions During the Growing Season
3.4. Questionnaire Design
3.5. Survey Implementation
3.6. Data Analysis
3.7. Variable Definition and Measurement
- Technology adoption was measured using two binary variables: whether the farmer adopted virus-free seedlings and whether they adopted the densely planted dwarfing system. A value of 1 indicates adoption, and 0 indicates non-adoption.
- Information source use was collected via a multiple-choice question, allowing farmers to select more than one source. For each information source—including agri-chemical dealers, agricultural technology extension service centers, local experts, farmer cooperatives, farmer peers, mass media and personal experience—a separate binary variable was created (1 = used, 0 = not used).
- Orchard output was measured using the average selling price (CNY/kg) and average commercial fruit revenue per mu (where 1 hectare = 15 mu), both based on farmer-reported data.
- Pest and disease pressure was quantified as the number of distinct pest or disease types reported by each farmer.
- Input use frequency referred to the average number of pesticide and fertilizer applications per mu per year, based on growers’ responses.
- Production costs were limited to annual variable costs, including expenses on pesticides (average annual input per mu, using the midpoint of reported ranges), fertilizers (same as above), irrigation, fruit bags, and labor for bagging and unbagging. Fixed costs such as land rent and total labor expenses were not included.
4. Results
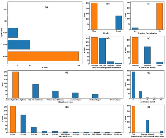
4.1. Demographic and Orchard Characteristics of Respondents
4.2. Farmers’ Preferences of Information Sources
4.3. Factors Affecting Farmers’ Preferences of Information Sources
4.4. Influence of Information Source on the Farmers’ Adoption of New Technologies
4.5. Impact of Modern Agricultural Technology Adoption on Orchard Performance
5. Discussion
5.1. Differences in Preference for Information Sources and Their Implications
5.2. Who Chose Which Information Source, and Implications for Technology Extension
5.3. How Preference for Information Source Impacts Modern Agricultural Technology Adoption
5.4. Impacts of Adopting New Technology on Orchard Performance
6. Conclusions
Author Contributions
Funding
Institutional Review Board Statement
Data Availability Statement
Acknowledgments
Conflicts of Interest
References
- FAOSTAT. FAOSTAT Crops and Livestock Products; Food and Agriculture Organization: Rome, Italy, 2022. [Google Scholar]
- Jiang, S.; Yang, C.; Guo, Y.; Jiao, X. Integrated Horticultural Practices for Improving Apple Supply Chain Sustainability: A Case Study in the North China Plain. Agronomy 2021, 11, 1975. [Google Scholar] [CrossRef]
- Snyder, F.; Ni, L. Chinese Apples and the Emerging World Food Trade Order: Food Safety, International Trade, and Regulatory Collaboration Between China and the European Union. Chin. J. Comp. Law 2017, 5, 253–307. [Google Scholar] [CrossRef]
- Chen, X.; Han, M.; Su, G.; Liu, F.; Guo, G.; Jiang, Y.; Mao, Z.; Peng, F.; Shu, H. Discussion on Today’s World Apple Industry Trends and the Suggestions on Sustainable and Efficient Development of Apple Industry in China. J. Fruit Sci. 2010, 27, 598–604. [Google Scholar]
- Wang, N.; Wolf, J.; Zhang, F. Towards Sustainable Intensification of Apple Production in China—Yield Gaps and Nutrient Use Efficiency in Apple Farming Systems. J. Integr. Agric. 2016, 15, 716–725. [Google Scholar] [CrossRef]
- Cui, S.; Pathera, D.; Li, Y.; Jiao, X. The Impact of Social Network and Resource Endowment of Smallholders on Sustainable Apple Production. China Agric. Econ. Rev. 2025, 17, 22–41. [Google Scholar] [CrossRef]
- Li, T.; Fan, J.; Fang, J.; Wang, P.; Gao, Z. Production Status of Apple Production and the Planning for Different Main Producing Areas in Beijing. In Proceedings of the 2018 11th International Conference on Intelligent Computation Technology and Automation (ICICTA), Changsha, China, 22–23 September 2018; pp. 52–56. [Google Scholar]
- Sun, Y.; Lu, Y.; Wang, Z.; Li, M. Production Efficiency and Change Characteristics of China’s Apple Industry in Terms of Planting Scale. PLoS ONE 2021, 16, e0254820. [Google Scholar] [CrossRef]
- Gao, Y.; Zhao, D.; Yu, L.; Yang, H. Influence of a New Agricultural Technology Extension Mode on Farmers’ Technology Adoption Behavior in China. J. Rural Stud. 2020, 76, 173–183. [Google Scholar] [CrossRef]
- Hayat, F.; Iqbal, S.; Coulibaly, D.; Razzaq, M.K.; Nawaz, M.A.; Jiang, W.; Shi, T.; Gao, Z. An Insight into Dwarfing Mechanism: Contribution of Scion-Rootstock Interactions Toward Fruit Crop Improvement. Fruit Res. 2021, 1, 3. [Google Scholar] [CrossRef]
- Robinson, T.L. Recent Advances and Future Directions in Orchard Planting Systems. Acta Hortic. 2007, 732, 367–381. [Google Scholar] [CrossRef]
- Walsh, B.D.; MacKenzie, A.F.; Salmins, S.; Buszard, D.J. Impact of Soil Management Systems on Organic Dwarf Apple Orchards and Soil Aggregate Stability, Bulk Density, Temperature and Water Content. Can. J. Soil Sci. 1996, 76, 203–209. [Google Scholar] [CrossRef]
- Hu, D.; Wang, L.; Jiang, X.; Wang, N.; Gu, L. The RT-PCR Identification and Sequence Analysis of Apple Chlorotic Leaf Spot Virus from Apple Cultivars in Jiaodong Peninsula, China. Biotechnol. Biotechnol. Equip. 2014, 28, 238–241. [Google Scholar] [CrossRef] [PubMed]
- Chavas, J.; Nauges, C. Uncertainty, Learning, and Technology Adoption in Agriculture. Appl. Econ. Perspect. Policy 2020, 42, 42–53. [Google Scholar] [CrossRef]
- Hyland, J.J.; Heanue, K.; McKillop, J.; Micha, E. Factors Influencing Dairy Farmers’ Adoption of Best Management Grazing Practices. Land Use Policy 2018, 78, 562–571. [Google Scholar] [CrossRef]
- Mohammed, K.; Batung, E.; Saaka, S.A.; Kansanga, M.M.; Luginaah, I. Determinants of Mechanized Technology Adoption in Smallholder Agriculture: Implications for Agricultural Policy. Land Use Policy 2023, 129, 106666. [Google Scholar] [CrossRef]
- Cen, Y.; Li, L.; Guo, L.; Li, C.; Jiang, G. Organic Management Enhances Both Ecological and Economic Profitability of Apple Orchard: A Case Study in Shandong Peninsula. Sci. Hortic. 2020, 265, 109201. [Google Scholar] [CrossRef]
- Legun, K. Tiny Trees for Trendy Produce: Dwarfing Technologies as Assemblage Actors in Orchard Economies. Geoforum 2015, 65, 314–322. [Google Scholar] [CrossRef]
- Li, C.; Sun, M.; Xu, X.; Zhang, L. Characteristics and Influencing Factors of Mulch Film Use for Pollution Control in China: Microcosmic Evidence from Smallholder Farmers. Resour. Conserv. Recycl. 2021, 164, 105222. [Google Scholar] [CrossRef]
- Zhao, D.; Yuan, J.; Xu, K.; Cheng, C.; Li, H. Selection of Morphological, Physiological and Biochemical Indices: Evaluating Dwarfing Apple Interstocks in Cold Climate Zones. N. Z. J. Crop Hortic. Sci. 2016, 44, 291–311. [Google Scholar] [CrossRef]
- Demiryürek, K. Information Systems and Communication Networks for Agriculture and Rural People. Agric. Econ. Zemědělská Ekon. 2010, 56, 209–214. [Google Scholar] [CrossRef]
- Tyrychtr, J.; Vostrovsky, V. The Current State of the Issue of Information Needs and Dispositions Among Small Czech Farms. Agric. Econ. Zemědělská Ekon. 2017, 63, 164–174. [Google Scholar] [CrossRef]
- Bavorová, M.; Unay-Gailhard, İ.; Ponkina, E.V.; Pilařová, T. How Sources of Agriculture Information Shape the Adoption of Reduced Tillage Practices? J. Rural Stud. 2020, 79, 88–101. [Google Scholar] [CrossRef]
- Jha, S.; Kaechele, H.; Sieber, S. Factors Influencing the Adoption of Agroforestry by Smallholder Farmer Households in Tanzania: Case Studies from Morogoro and Dodoma. Land Use Policy 2021, 103, 105308. [Google Scholar] [CrossRef]
- Perosa, B.; Newton, P.; Carrer, M.J. Access to Information Affects the Adoption of Integrated Systems by Farmers in Brazil. Land Use Policy 2021, 106, 105459. [Google Scholar] [CrossRef]
- Villamil, M.B.; Alexander, M.; Silvis, A.H.; Gray, M.E. Producer Perceptions and Information Needs Regarding Their Adoption of Bioenergy Crops. Renew. Sustain. Energy Rev. 2012, 16, 3604–3612. [Google Scholar] [CrossRef]
- Zhou, Y.; Li, X.; Liu, Y. Rural Land System Reforms in China: History, Issues, Measures and Prospects. Land Use Policy 2020, 91, 104330. [Google Scholar] [CrossRef]
- Ruzzante, S.; Labarta, R.; Bilton, A. Adoption of Agricultural Technology in the Developing World: A Meta-Analysis of the Empirical Literature. World Dev. 2021, 146, 105599. [Google Scholar] [CrossRef]
- Rogers, E.M. A Prospective and Retrospective Look at the Diffusion Model. J. Health Commun. 2004, 9, 13–19. [Google Scholar] [CrossRef]
- Sahin, I. Detailed Review of Rogers’ Diffusion of Innovations Theory and Educational Technology-Related Studies Based on Rogers’ Theory. Turk. Online J. Educ. Technol. 2006, 5, 14–23. [Google Scholar]
- Greiner, R.; Patterson, L.; Miller, O. Motivations, Risk Perceptions and Adoption of Conservation Practices by Farmers. Agric. Syst. 2009, 99, 86–104. [Google Scholar] [CrossRef]
- Kassem, H.S.; Alotaibi, B.A.; Ghoneim, Y.A.; Diab, A.M. Mobile-Based Advisory Services for Sustainable Agriculture: Assessing Farmers’ Information Behavior. Inf. Dev. 2021, 37, 483–495. [Google Scholar] [CrossRef]
- Lamontagne-Godwin, J.; Williams, F.E.; Aslam, N.; Cardey, S.; Dorward, P.; Almas, M. Gender Differences in Use and Preferences of Agricultural Information Sources in Pakistan. J. Agric. Educ. Ext. 2018, 24, 419–434. [Google Scholar] [CrossRef]
- Ali, J. Factors Affecting the Adoption of Information and Communication Technologies (ICTs) for Farming Decisions. J. Agric. Food Inf. 2012, 13, 78–96. [Google Scholar] [CrossRef]
- Nikam, V.; Ashok, A.; Pal, S. Farmers’ Information Needs, Access and Its Impact: Evidence from Different Cotton Producing Regions in the Maharashtra State of India. Agric. Syst. 2022, 196, 103317. [Google Scholar] [CrossRef]
- Msoffe, G.E.P.; Ngulube, P. Information Sources Preference of Poultry Farmers in Selected Rural Areas of Tanzania. J. Librariansh. Inf. Sci. 2017, 49, 82–90. [Google Scholar] [CrossRef]
- Mittal, S.; Mehar, M. Socio-Economic Factors Affecting Adoption of Modern Information and Communication Technology by Farmers in India: Analysis Using Multivariate Probit Model. J. Agric. Educ. Ext. 2016, 22, 199–212. [Google Scholar] [CrossRef]
- Rezvanfar, A.; Samiee, A.; Faham, E. Analysis of Factors Affecting Adoption of Sustainable Soil Conservation Practices among Wheat Growers. World Appl. Sci. J. 2009, 6, 644–651. [Google Scholar]
- Ayalew, H.; Chamberlin, J.; Newman, C. Site-Specific Agronomic Information and Technology Adoption: A Field Experiment from Ethiopia. J. Dev. Econ. 2022, 156, 102788. [Google Scholar] [CrossRef] [PubMed]
- Makate, C.; Makate, M. Interceding Role of Institutional Extension Services on the Livelihood Impacts of Drought Tolerant Maize Technology Adoption in Zimbabwe. Technol. Soc. 2019, 56, 126–133. [Google Scholar] [CrossRef]
- Mekonnen, D.K.; Yimam, S.; Arega, T.; Matheswaran, K.; Schmitter, P.M.V. Relatives, Neighbors, or Friends: Information Exchanges Among Irrigators on New on-Farm Water Management Tools. Agric. Syst. 2022, 203, 103492. [Google Scholar] [CrossRef]
- Momodu, M.O. Information Needs and Information Seeking Behaviour of Rural Dwellers in Nigeria: A Case Study of Ekpoma in Esan West Local Government Area of Edo State, Nigeria. Libr. Rev. 2002, 51, 406–410. [Google Scholar] [CrossRef]
- Wilkins, E.J.; Miller, H.M.; Tilak, E.; Schuster, R.M. Communicating Information on Nature-Related Topics: Preferred Information Channels and Trust in Sources. PLoS ONE 2018, 13, e0209013. [Google Scholar] [CrossRef]
- Islam, M.S.; Ahmed, S.M.Z. The Information Needs and Information-Seeking Behaviour of Rural Dwellers: A Review of Research. IFLA J. 2012, 38, 137–147. [Google Scholar] [CrossRef]
- Solano, C.; León, H.; Pérez, E.; Herrero, M. The Role of Personal Information Sources on the Decision-Making Process of Costa Rican Dairy Farmers. Agric. Syst. 2003, 76, 3–18. [Google Scholar] [CrossRef]
- Stuart, D.; Denny, R.C.H.; Houser, M.; Reimer, A.P.; Marquart-Pyatt, S. Farmer Selection of Sources of Information for Nitrogen Management in the US Midwest: Implications for Environmental Programs. Land Use Policy 2018, 70, 289–297. [Google Scholar] [CrossRef]
- Makate, C.; Makate, M.; Mutenje, M.; Mango, N.; Siziba, S. Synergistic Impacts of Agricultural Credit and Extension on Adoption of Climate-Smart Agricultural Technologies in Southern Africa. Environ. Dev. 2019, 32, 100458. [Google Scholar] [CrossRef]
- Freeman, K.; Qin, H. The Role of Information and Interaction Processes in the Adoption of Agriculture Inputs in Uganda. Agronomy 2020, 10, 202. [Google Scholar] [CrossRef]
- Hamilton, A.; Hudson, J. The Perceived Impact of Agricultural Advice in Ethiopia. J. Agric. Educ. Ext. 2017, 23, 159–173. [Google Scholar] [CrossRef]
- Khan, N.; Ray, R.L.; Kassem, H.S.; Ihtisham, M.; Siddiqui, B.N.; Zhang, S. Can Cooperative Supports and Adoption of Improved Technologies Help Increase Agricultural Income? Evidence from a Recent Study. Land 2022, 11, 361. [Google Scholar] [CrossRef]
- China National Bureau of Statistics. China Statistical Yearbook; China Statistics Press: Beijing, China, 2019.
- Diekmann, F.; Loibl, C.; Batte, M.T. The Economics of Agricultural Information: Factors Affecting Commercial Farmers’ Information Strategies in Ohio. Appl. Econ. Perspect. Policy 2009, 31, 853–872. [Google Scholar] [CrossRef]
- Opara, U.N. Agricultural Information Sources Used by Farmers in Imo State, Nigeria. Inf. Dev. 2008, 24, 289–295. [Google Scholar] [CrossRef]
- Dillman, D.A.; Smyth, J.D.; Christian, L.M. Internet, Phone, Mail, and Mixed-Mode Surveys: The Tailored Design Method; Wiley: Hoboken, NJ, USA, 2014; ISBN 978-1-118-45614-9. [Google Scholar]
- Sun, Z.-J.; Zhu, L.; Liang, M.; Xu, T.; Lang, J. The Usability of a WeChat-Based Electronic Questionnaire for Collecting Participant-Reported Data in Female Pelvic Floor Disorders: A Comparison with the Traditional Paper-Administered Format. Menopause 2016, 23, 856–862. [Google Scholar] [CrossRef]
- Pohlmann, J.T.; Leitner, D.W. A Comparison of Ordinary Least Squares and Logistic Regression (1). Ohio J. Sci. 2003, 103, 118–126. [Google Scholar]
- Seabold, S.; Perktold, J. Statsmodels: Econometric and Statistical Modeling with Python. In Proceedings of the 9th Python in Science Conference, Austin, TX, USA, 28 June–3 July 2010; Volume 57, pp. 10–25080. [Google Scholar]
- Conley, T.; Christopher, U. Social Learning Through Networks: The Adoption of New Agricultural Technologies in Ghana. Am. J. Agric. Econ. 2001, 83, 668–673. [Google Scholar] [CrossRef]
- Crabtree, B.; Chalmers, N.; Barron, N.-J. Information for Policy Design: Modelling Participation in a Farm Woodland Incentive Scheme. J. Agric. Econ. 1998, 49, 306–320. [Google Scholar] [CrossRef]
- Wynn, G.; Crabtree, B.; Potts, J. Modelling Farmer Entry into the Environmentally Sensitive Area Schemes in Scotland. J. Agric. Econ. 2008, 52, 65–82. [Google Scholar] [CrossRef]
- Jenkins, A.; Velandia, M.; Lambert, D.M.; Roberts, R.K.; Larson, J.A.; English, B.C.; Martin, S.W. Factors Influencing the Selection of Precision Farming Information Sources by Cotton Producers. Agric. Resour. Econ. Rev. 2011, 40, 307–320. [Google Scholar] [CrossRef]
- Gilli, M.; Nicolli, F.; Farinelli, P. Behavioural Attitudes towards Waste Prevention and Recycling. Ecol. Econ. 2018, 154, 294–305. [Google Scholar] [CrossRef]
- Virtanen, P.; Gommers, R.; Oliphant, T.E.; Haberland, M.; Reddy, T.; Cournapeau, D.; Burovski, E.; Peterson, P.; Weckesser, W.; Bright, J.; et al. SciPy 1.0: Fundamental Algorithms for Scientific Computing in Python. Nat. Methods 2020, 17, 261–272. [Google Scholar] [CrossRef]
- Jin, S.; Bluemling, B.; Mol, A.P.J. Information, Trust and Pesticide Overuse: Interactions Between Retailers and Cotton Farmers in China. NJAS Wagening. J. Life Sci. 2015, 72–73, 23–32. [Google Scholar] [CrossRef]
- Fan, L.; Niu, H.; Yang, X.; Qin, W.; Bento, C.P.; Ritsema, C.J.; Geissen, V. Factors Affecting Farmers’ Behaviour in Pesticide Use: Insights from a Field Study in Northern China. Sci. Total Environ. 2015, 537, 360–368. [Google Scholar] [CrossRef] [PubMed]
- Pan, Y.; Ren, Y.; Luning, P.A. Factors Influencing Chinese Farmers’ Proper Pesticide Application in Agricultural Products–A Review. Food Control 2021, 122, 107788. [Google Scholar] [CrossRef]
- Hu, Z.; Zhang, Q.F.; Donaldson, J.A. Farmers’ Cooperatives in China: A Typology of Fraud and Failure. China J. 2017, 78, 1–24. [Google Scholar] [CrossRef]
- Niyazmetov, D.; Soliev, I.; Theesfeld, I. Ordered to Volunteer? Institutional Compatibility Assessment of Establishing Agricultural Cooperatives in Uzbekistan. Land Use Policy 2021, 108, 105538. [Google Scholar] [CrossRef]
- Sun, X.; Zhang, Z.; Zhang, Y. Factors Influencing Farmer’s Decision-Making Behavior on Rural Construction Land Transformation. Sustainability 2018, 10, 4288. [Google Scholar] [CrossRef]
- Zhang, X.X.; Kempenaar, C. Agricultural Extension System in China; Plant Research International: Wageningen, The Netherlands, 2009. [Google Scholar]
- Hu, R.; Yang, Z.; Kelly, P.; Huang, J. Agricultural Extension System Reform and Agent Time Allocation in China. Spec. Issue Agric. Transit. 2009, 20, 303–315. [Google Scholar] [CrossRef]
- Isaya, E.L.; Agunga, R.; Sanga, C.A. Sources of Agricultural Information for Women Farmers in Tanzania. Inf. Dev. 2018, 34, 77–89. [Google Scholar] [CrossRef]
- Norton, G.W.; Alwang, J. Changes in Agricultural Extension and Implications for Farmer Adoption of New Practices. Appl. Econ. Perspect. Policy 2020, 42, 8–20. [Google Scholar] [CrossRef]
- Han, H.W.; Han, S.W.; Sung Kim, J.; Jin Kim, K. Assessment of Programs and Operation for Consumer Horticultural Education at Agricultural Extension Service Centers in Korea. J. People Plants Environ. 2017, 20, 407–419. [Google Scholar] [CrossRef]
- Mathijs, E. Social Capital and Farmers’ Willingness to Adopt Countryside Stewardship Schemes. Outlook Agric. 2003, 32, 13–16. [Google Scholar] [CrossRef]
- Tata, J.S.; McNamara, P.E. Impact of ICT on Agricultural Extension Services Delivery: Evidence from the Catholic Relief Services SMART Skills and Farmbook Project in Kenya. J. Agric. Educ. Ext. 2018, 24, 89–110. [Google Scholar] [CrossRef]
- Tucker, M.; Napier, T.L. Preferred Sources and Channels of Soil and Water Conservation Information Among Farmers in Three Midwestern US Watersheds. Agric. Ecosyst. Environ. 2002, 92, 297–313. [Google Scholar] [CrossRef]
- Yiridoe, E.K.; Atari, D.O.A.; Gordon, R.; Smale, S. Factors Influencing Participation in the Nova Scotia Environmental Farm Plan Program. Land Use Policy 2010, 27, 1097–1106. [Google Scholar] [CrossRef]
- Boyer, T.A.; Tong, B.; Sanders, L.D. Soil and Water Conservation Method Adoption in a Highly Erosive Watershed: The Case of Southwest Oklahoma’s Fort Cobb Watershed. J. Environ. Plan. Manag. 2018, 61, 1828–1849. [Google Scholar] [CrossRef]
- Genius, M.; Pantzios, C.J.; Tzouvelekas, V. Information Acquisition and Adoption of Organic Farming Practices. J. Agric. Resour. Econ. 2006, 31, 91–113. [Google Scholar] [CrossRef]
- Austen, E.A.; Sale, P.W.G.; Clark, S.G.; Graetz, B. A Survey of Farmers’ Attitudes, Management Strategies and Use of Weather and Seasonal Climate Forecasts for Coping with Climate Variability in the Perennial Pasture Zone of South-East Australia. Aust. J. Exp. Agric. 2002, 42, 173. [Google Scholar] [CrossRef]
- Ebrahimi Sarcheshmeh, E.; Bijani, M.; Sadighi, H. Adoption Behavior Towards the Use of Nuclear Technology in Agriculture: A Causal Analysis. Technol. Soc. 2018, 55, 175–182. [Google Scholar] [CrossRef]
- Ji, Y.; Hu, X.; Zhu, J.; Zhong, F. Demographic Change and Its Impact on Farmers’ Field Production Decisions. China Econ. Rev. 2017, 43, 64–71. [Google Scholar] [CrossRef]
- Adhiguru, P.; Birthal, P.S.; Kumar, B.G. Strengthening Pluralistic Agricultural Information Delivery Systems in India. Agric. Econ. Res. Rev. 2009, 22, 71–79. [Google Scholar] [CrossRef]
- Yusuf, S.F.G.; Masika, P.; Ighodaro, D.I. Agricultural Information Needs of Rural Women Farmers in Nkonkobe Municipality: The Extension Challenge. J. Agric. Sci. 2013, 5, 107. [Google Scholar] [CrossRef]
- Arunrat, N.; Wang, C.; Pumijumnong, N.; Sereenonchai, S.; Cai, W. Farmers’ Intention and Decision to Adapt to Climate Change: A Case Study in the Yom and Nan Basins, Phichit Province of Thailand. J. Clean. Prod. 2017, 143, 672–685. [Google Scholar] [CrossRef]
- Marini, R.P.; Fazio, G. Apple Rootstocks: History, Physiology, Management, and Breeding. Hortic. Rev. 2018, 45, 197–312. [Google Scholar] [CrossRef]
- Atkinson, C.; Else, M. Understanding How Rootstocks Dwarf Fruit Trees. Compact Fruit Tree 2001, 34, 46–49. [Google Scholar]
- Webster, T. Dwarfing Rootstocks: Past, Present and Future. Compact Fruit Tree 2002, 35, 67–72. [Google Scholar]
- Allahyari, M.S.; Mohammadzadeh, M.; Nastis, S.A. Agricultural Experts’ Attitude towards Precision Agriculture: Evidence from Guilan Agricultural Organization, Northern Iran. Inf. Process. Agric. 2016, 3, 183–189. [Google Scholar] [CrossRef]
- Charness, G.; Rabin, M. Understanding Social Preferences with Simple Tests. Q. J. Econ. 2002, 117, 817–869. [Google Scholar] [CrossRef]
- Kahneman, D.; Tversky, A. Prospect Theory: An Analysis of Decision under Risk. Econometrica 1979, 47, 263–292. [Google Scholar] [CrossRef]
- Grimová, L.; Winkowska, L.; Konrady, M.; Ryšánek, P. Apple Mosaic Virus. Phytopathol. Mediterr. 2016, 55, 1–19. [Google Scholar] [CrossRef]
- Songsermsawas, T.; Baylis, K.; Chhatre, A.; Michelson, H. Can Peers Improve Agricultural Revenue? World Dev. 2016, 83, 163–178. [Google Scholar] [CrossRef]
- Niu, Z.; Chen, C.; Gao, Y.; Wang, Y.; Chen, Y.; Zhao, K. Peer Effects, Attention Allocation and Farmers’ Adoption of Cleaner Production Technology: Taking Green Control Techniques as an Example. J. Clean. Prod. 2022, 339, 130700. [Google Scholar] [CrossRef]
- Dwiastuti, M.E.; Wuryantini, S.; Sugiyatno, A.; Supriyanto, A. Seed Health Evaluation in the Process of Free-Virus Citrus Seed Production on Kampar Regency, Riau Province of Indonesia. Russ. J. Agric. Socio-Econ. Sci. 2019, 86, 273–282. [Google Scholar] [CrossRef]
- Venema, J.H.; Elzenga, J.T.M.; Bouwmeester, H.J. Selection and Breeding of Robust Rootstocks as a Tool to Improve Nutrient-Use Efficiency and Abiotic Stress Tolerance in Tomato. Acta Hortic. 2011, 915, 109–115. [Google Scholar] [CrossRef]
- Weber, M.S. Optimizing the Tree Density in Apple Orchards on Dwarf Rootstocks. Acta Hortic. 2001, 557, 229–234. [Google Scholar] [CrossRef]
- Cembali, T.; Folwell, R.J.; Wandschneider, P.; Eastwell, K.C.; Howell, W.E. Economic Implications of a Virus Prevention Program in Deciduous Tree Fruits in the US. Crop Prot. 2003, 22, 1149–1156. [Google Scholar] [CrossRef]
- Majid, I.; Khalil, A.; Nazir, N.; Majid, I. Economic Analysis of High Density Orchards. Int. J. Adv. Res. Sci. Eng. 2020, 7, 821–829. [Google Scholar] [CrossRef]
- Kendall, H.; Clark, B.; Li, W.; Jin, S.; Jones, G.D.; Chen, J.; Taylor, J.; Li, Z.; Frewer, L.J. Precision Agriculture Technology Adoption: A Qualitative Study of Small-Scale Commercial “Family Farms” Located in the North China Plain. Precis. Agric. 2022, 23, 319–351. [Google Scholar] [CrossRef]
- Fang, P.; Wang, Y.; Abler, D.; Lin, G. Effects of Aging on Labor-Intensive Crop Production from the Perspectives of Landform and Life Cycle Labor Supply: Evidence from Chinese Apple Growers. Agriculture 2023, 13, 1523. [Google Scholar] [CrossRef]
- Musacchi, S.; Serra, S. Apple Fruit Quality: Overview on Pre-Harvest Factors. Sci. Hortic. 2018, 234, 409–430. [Google Scholar] [CrossRef]
- Peck, G.M.; Andrews, P.K.; Reganold, J.P.; Fellman, J.K. Apple Orchard Productivity and Fruit Quality Under Organic, Conventional, and Integrated Management. HortScience 2006, 41, 99–107. [Google Scholar] [CrossRef]
- Harker, F.R.; Gunson, F.A.; Jaeger, S.R. The Case for Fruit Quality: An Interpretive Review of Consumer Attitudes, and Preferences for Apples. Postharvest Biol. Technol. 2003, 28, 333–347. [Google Scholar] [CrossRef]







| Information Source | Abbreviation | Quality | Availability | Description |
|---|---|---|---|---|
| Agri-chemical dealers | ACDs | Uneven | Widely available | Dealers normally have a store in the village to sell agricultural inputs such as seeds, fertilizer, and pesticides. They often give agronomic advice during sales efforts. |
| Agricultural technology extension service centers | ATESCs | Good | Varies across regions | These are official government agencies whose responsibility is to promote new agricultural technologies and varieties to farmers in towns and villages. |
| Local experts | EXPs | Good | Rarely available | Experts are normally trained and well-educated local farmers who have great knowledge of various orchard practices. |
| Farmer cooperatives | FCs | Good | Varies due to accessibility | Non-governmental organizations have a special team that is responsible for establishing linkages between farmer cooperatives and supermarkets. |
| Farmer peers | FPs | Uneven | Widely available | Friends, neighbors, and partners associated with farmers. |
| Mass media | MM | Uneven | Varies due to access availability | Radio, television, newspapers, and mobile phones. |
| Personal experience | PE | Uneven | Widely available | Farmers summarize their rules and experience gained through farming practice. |
| Category | Variable | Variable Type | Question No. | Abbreviation | Description |
|---|---|---|---|---|---|
| Farmers’ demographic background | Gender | Male/Female | 2 | GE | Gender of respondent |
| Age | Integer | 3 | AG | Age of respondent | |
| Education level | Integer | 4 | EDU | Number of years of formal schooling | |
| Training | Binary (Yes/No) | 10 | TRA | Had the farmer participated in apple growing training? | |
| Identity | Binary (Yes/No) | 14 | ID | Was the responding person a full-time apple farmer? | |
| Farmer cooperative | Binary (Yes/No) | 15 | WFC | Had the farmer joined a farmer cooperative? | |
| Orchard characteristics | Planting area | Measurement unit (mu) | 8 | AR | Area of apple orchard |
| Tree age | Integer | 12 | TAG | Age of apple trees | |
| Information choice and management decisions | Disease | Integer | 30 | Source of agronomic information and the number of disease species found in the orchard | |
| Insect pest | Integer | 31 | Source of agronomic information and the number of insect species found in the orchard | ||
| Pesticide use | Integer | 34 | Source of agronomic information and the number of pesticides used in the growing season | ||
| Fertilizer use | Integer | 56 | Source of agronomic information and the number of fertilizer applications in the growing season | ||
| Agronomic inputs | Pesticide cost | Integer (CNY/mu) | 48 | Cost of pesticides for the unit area over the entire growing season | |
| Fertilizer cost | Integer (CNY/mu) | 58 | Cost of fertilizers for the unit area over the entire growing season | ||
| Fruit bag cost | Integer (CNY/mu) | 61 | Cost of fruit bags for the unit area over the entire growing season | ||
| Economic index | Economic returns | Integer (CNY/mu) | 88 | Economic returns for the unit area | |
| Gross margin | Integer (CNY/year) | Via calculation | The gross margin of the apple orchard per year |
| Variables | ACD | ATESC | EXP | FC | FP | MM | PE |
|---|---|---|---|---|---|---|---|
| Gender | −0.760 * (0.468) | 0.562 * (1.753) | −0.940 *** (0.391) | ||||
| Age | 0.061 *** (1.063) | −0.059 *** (0.943) | −0.034 ** (0.967) | ||||
| Education | 0.151 *** (1.163) | −0.144 ** (0.866) | 0.148 ** (1.160) | −0.190 *** (0.827) | |||
| Planting area | 0.002 ** (1.002) | −0.002 ** (0.998) | |||||
| Training | 1.025 *** (2.786) | −0.943 *** (1.364) | −0.824 ** (0.439) | 1.155 *** (3.173) | |||
| Tree age | 0.122 ** (1.129) | −0.138 * (0.871) | −0.096 * (0.909) | ||||
| Part-time/Full-time | −0.629 ** (0.533) | 1.037 *** (2.821) | −0.774 ** (0.461) | ||||
| Farmer cooperative | 1.071 *** (2.920) | −1.574 *** (0.207) | −0.772 ** (0.462) | −0.768 ** (0.464) |
| Dwarf Rootstock | Virus-Free Seedlings | |||||||
|---|---|---|---|---|---|---|---|---|
| Adopters (181, 58.5%) | Non-Adopters (129, 41.5%) | p-Value | Cohen’s d | Adopters (101, 32.5%) | Non-Adopters (210, 67.5%) | p-Value | Cohen’s d | |
| Gross margin | 81% | 79% | Not significant | 0.144 | 82% | 79% | p < 0.1 | 0.192 |
| Number of disease species | 2.33 | 2.80 | p < 0.01 | −0.357 | 2.09 | 2.73 | p < 0.01 | −0.496 |
| Number of insect species | 1.77 | 2.41 | p < 0.01 | −0.590 | 1.31 | 2.39 | p < 0.01 | −1.065 |
| Number of pesticides used | 6.05 | 6.81 | p < 0.01 | −0.381 | 5.85 | 6.61 | p < 0.01 | −0.379 |
| Number of fertilizers used | 3.92 | 3.47 | p < 0.05 | 0.272 | 4.34 | 3.45 | p < 0.01 | 0.550 |
Disclaimer/Publisher’s Note: The statements, opinions and data contained in all publications are solely those of the individual author(s) and contributor(s) and not of MDPI and/or the editor(s). MDPI and/or the editor(s) disclaim responsibility for any injury to people or property resulting from any ideas, methods, instructions or products referred to in the content. |
© 2025 by the authors. Licensee MDPI, Basel, Switzerland. This article is an open access article distributed under the terms and conditions of the Creative Commons Attribution (CC BY) license (https://creativecommons.org/licenses/by/4.0/).
Share and Cite
Yao, L.; Zhao, G.; Yan, C.; Srivastava, A.K.; Tian, Q.; Jin, N.; Qu, J.; Yin, L.; Yao, N.; Webber, H.; et al. Influence of Information Sources on Technology Adoption in Apple Production in China. Agriculture 2025, 15, 1785. https://doi.org/10.3390/agriculture15161785
Yao L, Zhao G, Yan C, Srivastava AK, Tian Q, Jin N, Qu J, Yin L, Yao N, Webber H, et al. Influence of Information Sources on Technology Adoption in Apple Production in China. Agriculture. 2025; 15(16):1785. https://doi.org/10.3390/agriculture15161785
Chicago/Turabian StyleYao, Linjia, Gang Zhao, Changqing Yan, Amit Kumar Srivastava, Qi Tian, Ning Jin, Junjie Qu, Ling Yin, Ning Yao, Heidi Webber, and et al. 2025. "Influence of Information Sources on Technology Adoption in Apple Production in China" Agriculture 15, no. 16: 1785. https://doi.org/10.3390/agriculture15161785
APA StyleYao, L., Zhao, G., Yan, C., Srivastava, A. K., Tian, Q., Jin, N., Qu, J., Yin, L., Yao, N., Webber, H., Luedeling, E., & Yu, Q. (2025). Influence of Information Sources on Technology Adoption in Apple Production in China. Agriculture, 15(16), 1785. https://doi.org/10.3390/agriculture15161785

