Competitiveness and Nitrogen Fixation Efficiency Analysis of Rhizobium leguminosarum Strains in Different Field Pea (Pisum sativum L.) Genotypes
Abstract
1. Introduction
2. Materials and Methods
2.1. R. leguminosarum Strains Biological Nitrogen Fixation Efficiency Evaluation
2.1.1. R. leguminosarum Strains’ Biological Nitrogen Fixation Efficiency Evaluation in Sterile Vermiculite–Sand Mixture
2.1.2. R. leguminosarum Strains Biological Nitrogen Fixation Efficiency Evaluation in Non–Sterilized Soil
2.2. Rhizobium leguminosarum Strains Competition Analysis
2.2.1. R. leguminosarum Strains Marking with gusA Reporter Gene
2.2.2. Coinoculation with Two R. leguminosarum Strains
2.3. Statistical Analysis
3. Results
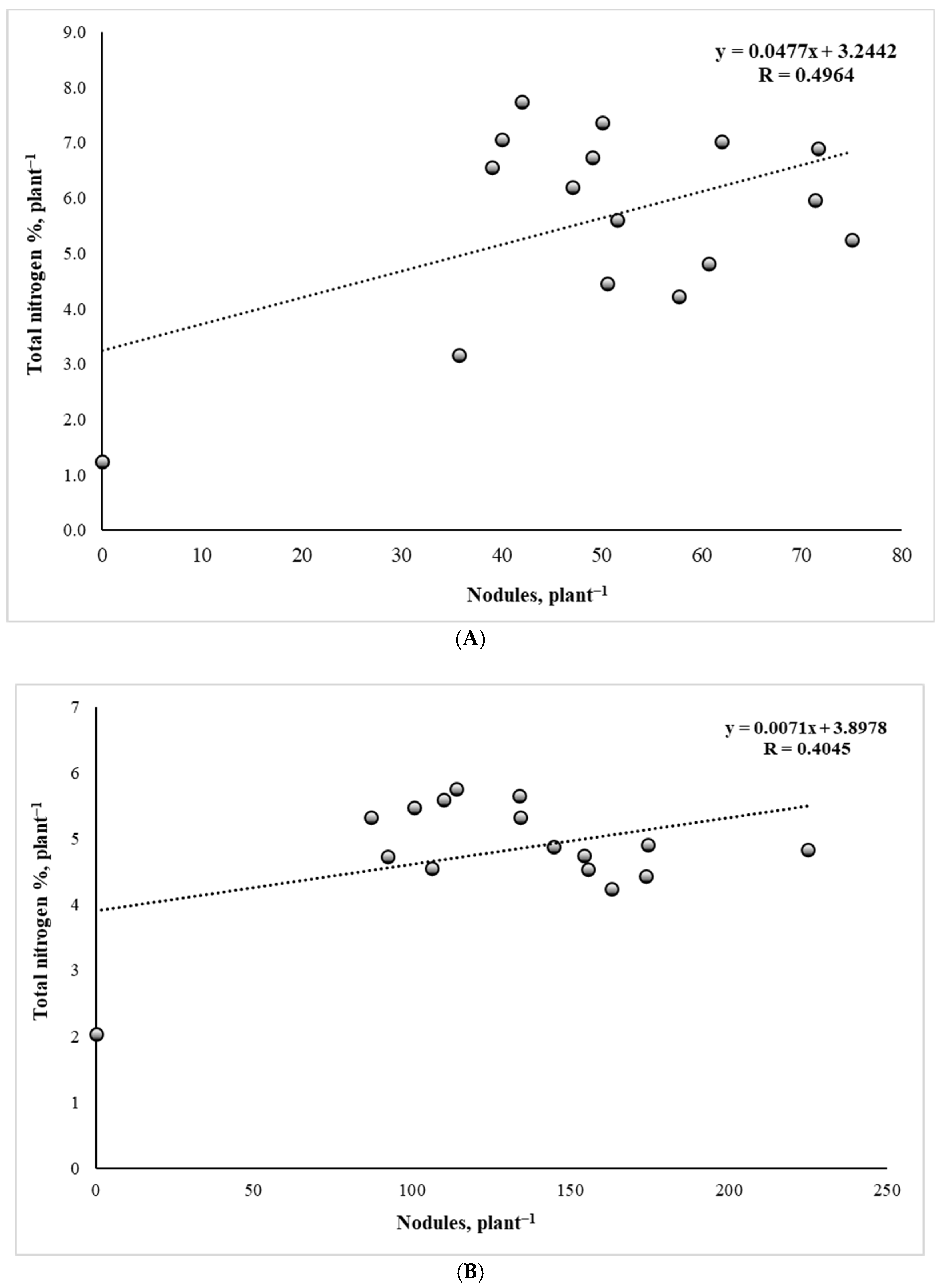
3.1. R. leguminosarum Strains’ Biological Nitrogen Fixation Efficiency Evaluation in Different Substrates
3.2. R. leguminosarum Strains’ Biological Nitrogen Fixation Efficiency and Competition Analysis in Different Pea Genotypes
4. Discussion
Supplementary Materials
Author Contributions
Funding
Data Availability Statement
Conflicts of Interest
References
- Farshi, P.; Mirmohammadali, S.N.; Rajpurohit, B.; Smith, J.S.; Li, Y. Pea protein and starch: Functional properties and applications in edible films. J. Agric. Food Res. 2024, 15, 100927. [Google Scholar] [CrossRef]
- Wu, D.T.; Li, W.X.; Wan, J.J.; Hu, Y.C.; Gan, R.Y.; Zou, L. A Comprehensive Review of Pea (Pisum sativum L.): Chemical Composition, Processing, Health Benefits, and Food Applications. Foods 2023, 12, 2527. [Google Scholar] [CrossRef]
- Rubiales, D.; Annicchiarico, P.; Vaz Patto, M.C.; Julier, B. Legume Breeding for the Agroecological Transition of Global Agri-Food Systems: A European Perspective. Front. Plant Sci. 2021, 12, 782574. [Google Scholar] [CrossRef] [PubMed]
- Lu, Z.X.; He, J.F.; Zhang, Y.C.; Bing, D.J. Composition, physicochemical properties of pea protein and its application in functional foods. Crit. Rev. Food Sci. Nutr. 2020, 60, 2593–2605. [Google Scholar] [CrossRef] [PubMed]
- Kumari, T.; Deka, S.C. Potential health benefits of garden pea seeds and pods: A review. Legume Sci. 2021, 3, e82. [Google Scholar] [CrossRef]
- Skoufogianni, E.; Giannoulis, K.; Bartzialis, D.; Danalatos, N. Relations between crop rotation with pea and soil structure. Bulg. J. Agric. Sci. 2019, 25, 1205–1210. [Google Scholar]
- Kebede, E. Contribution, Utilization, and Improvement of Legumes-Driven Biological Nitrogen Fixation in Agricultural Systems. Front. Sustain. Food Syst. 2021, 5, 7. [Google Scholar] [CrossRef]
- Chen, C.; Neill, K.; Burgess, M.; Bekkerman, A. Agronomic benefit and economic potential of introducing fall-seeded pea and lentil into conventional wheat-based crop rotations. Agron. J. 2012, 104, 215–224. [Google Scholar] [CrossRef]
- Lupwayi, N.Z.; Lafond, G.P.; May, W.E.; Holzapfel, C.B.; Lemke, R.L. Intensification of field pea production: Impact on soil microbiology. Agron. J. 2012, 104, 1189–1196. [Google Scholar] [CrossRef]
- Domagała-Świątkiewicz, I.; Siwek, P. Effect of field pea (Pisum sativum subsp. arvense (L.) Asch.) and pea-oat (Avena sativa L.) biculture cover crops on high tunnel vegetable under organic production system. Org. Agric. 2022, 12, 91–106. [Google Scholar] [CrossRef]
- Abd-Alla, M.H.; Al-Amri, S.M.; El-Enany, A.W.E. Enhancing Rhizobium–Legume Symbiosis and Reducing Nitrogen Fertilizer Use Are Potential Options for Mitigating Climate Change. Agriculture 2023, 13, 2092. [Google Scholar] [CrossRef]
- Wang, Q.; Liu, J.; Zhu, H. Genetic and molecular mechanisms underlying symbiotic specificity in legume-rhizobium interactions. Front. Plant Sci. 2018, 9, 313. [Google Scholar] [CrossRef] [PubMed]
- Mabrouk, Y.; Hemissi, I.; Salem IBen Mejri, S.; Saidi, M.; Belhadj, O. Potential of Rhizobia in Improving Nitrogen Fixation and Yields of Legumes. Symbiosis 2018, 107, 1–16. [Google Scholar]
- Lindström, K.; Mousavi, S.A. Effectiveness of nitrogen fixation in rhizobia. Microb. Biotechnol. 2020, 13, 1314–1335. [Google Scholar] [CrossRef]
- Heder Asdrubal Montañez Valencia HFAJMNDSA. Rhizobia inoculation increases pea grain yield: An overview and challenges. Biosci. J. 2024, 40, 1981–3163. [Google Scholar] [CrossRef]
- Rapčan, I.; Milaković, Z.; Šarić, G.K.; Šeput, J.; Subašić, D.G. Reaction of garden pea (Pisum sativum L.) to inoculation and nitrogen fertilization in Eastern Croatia. J. Cent. Eur. Agric. 2017, 18, 889–901. [Google Scholar] [CrossRef]
- Argaw, A.; Mnalku, A. Symbiotic effectiveness of Rhizobium leguminosarum bv. vicieae isolated from major highland pulses on field pea(Pisum sativum L.) in soil with abundant rhizobial population. Ann. Agrar. Sci. 2017, 15, 410–419. [Google Scholar] [CrossRef]
- Aleksander, W.M.; Murilo, D.C.; Enilson LSde, S.; Ana Edemar, B. Symbiotic efficiency of pea (Pisum sativum) rhizobia association under field conditions. Afr. J. Agric. Res. 2017, 12, 2582–2585. [Google Scholar] [CrossRef]
- Flores-Félix, J.D.; Carro, L.; Cerda-Castillo, E.; Squartini, A.; Rivas, R.; Velázquez, E. Analysis of the interaction between pisum sativum l. And rhizobium laguerreae strains nodulating this legume in Northwest Spain. Plants 2020, 9, 1755. [Google Scholar] [CrossRef]
- Tripolskaja, L.; Kazlauskaite-Jadzevice, A.; Razukas, A. Organic Carbon, Nitrogen Accumulation and Nitrogen Leaching as Affected by Legume Crop Residues on Sandy Loam in the Eastern Baltic Region. Plants 2023, 12, 2478. [Google Scholar] [CrossRef]
- Li, G.; Tang, X.; Hou, Q.; Li, T.; Xie, H.; Lu, Z.; Zhang, T.; Liao, Y.; Wen, X. Response of soil organic carbon fractions to legume incorporation into cropping system and the factors affecting it: A global meta-analysis. Agric. Ecosyst. Environ. 2023, 342, 108231. [Google Scholar] [CrossRef]
- Yeboah, S.; Zhang, R.; Cai, L.; Li, L.; Xie, J.; Luo, Z.; Liu, J.; Wu, J. Tillage effect on soil organic carbon, microbial biomass carbon and crop yield in spring wheat-field pea rotation. Plant Soil. Environ. 2016, 62, 279–285. [Google Scholar] [CrossRef]
- Wysokinski, A.; Lozak, I.; Kuziemska, B. Sources of nitrogen for winter triticale (Triticosecale wittm. ex a.camus) succeeding pea (Pisum sativum L.). Agronomy 2021, 11, 527. [Google Scholar] [CrossRef]
- Kaziūnienė, J.; Pini, F.; Shamshitov, A.; Razbadauskienė, K.; Frercks, B.; Gegeckas, A.; Mažylytė, R.; Lapinskienė, L.; Supronienė, S. Genetic Characterization of Rhizobium spp. Strains in an Organic Field Pea (Pisum sativum L.). Field Lithuania. Plants 2024, 13, 1888. [Google Scholar] [CrossRef] [PubMed]
- Sainju, U.M.; Lenssen, A.; Caesar-Thonthat, T.; Waddell, J. Carbon Sequestration in Dryland Soils and Plant Residue as Influenced by Tillage and Crop Rotation. J. Environ. Qual. 2006, 35, 1341–1347. [Google Scholar] [CrossRef] [PubMed]
- Naseer, I.; Ahmad, M.; Nadeem, S.M.; Ahmad, I.; Najm-ul-Seher Zahir, Z.A. Rhizobial Inoculants for Sustainable Agriculture: Prospects and Applications. In Biofertilizers for Sustainable Agriculture and Environment; Springer: Cham, Switzerland, 2019. [Google Scholar]
- Ma, Y.; Suo, Y.; Qi, H.; Tang, F.; Wang, M. Effects of Rhizobium Inoculation on Rhizosphere Soil Microbial Communities, Physicochemical Properties, and Enzyme Activities in Caucasian Clover Under Field Conditions. Agronomy 2024, 14, 2880. [Google Scholar] [CrossRef]
- Barros-Rodríguez, A.; Rangseekaew, P.; Lasudee, K.; Pathom-aree, W.; Manzanera, M. Regulatory risks associated with bacteria as biostimulants and biofertilizers in the frame of the European Regulation (EU) 2019/1009. Sci. Total Environ. 2020, 740, 140239. [Google Scholar] [CrossRef] [PubMed]
- Buntić, A.V.; Stajković-Srbinović, O.S.; Knežević, M.M.; Kuzmanović, D.; Rasulić, N.V.; Delić, D.I. Development of liquid rhizobial inoculants and pre-inoculation of alfalfa seeds. Arch. Biol. Sci. 2019, 71, 379–387. [Google Scholar] [CrossRef]
- Arora, N.K.; Verma, M.; Mishra, J. Rhizobial Bioformulations: Past, Present and Future. In Microorganisms for Sustainability; Springer: Singapore, 2017. [Google Scholar]
- Allito, B.; Nana, E.M.; Alemneh, A. Rhizobia Strain and Legume Genome Interaction Effects on Nitrogen Fixation and Yield of Grain Legume: A Review. Mol. Soil Biol. 2015, 6. [Google Scholar] [CrossRef]
- Goyal, R.K.; Mattoo, A.K.; Schmidt, M.A. Rhizobial–host interactions and symbiotic nitrogen fixation in legume crops toward agriculture sustainability. Front. Microbiol. 2021, 12, 669404. [Google Scholar] [CrossRef]
- Oparah, I.A.; Hartley, J.C.; Deaker, R.; Gemell, G.; Hartley, E.; Kaiser, B.N. Symbiotic effectiveness, abiotic stress tolerance and phosphate solubilizing ability of new chickpea root-nodule bacteria from soils in Kununurra Western Australia and Narrabri New South Wales Australia. Plant Soil 2024, 495, 371–389. [Google Scholar] [CrossRef]
- Janczarek, M.; Kozieł, M.; Adamczyk, P.; Buczek, K.; Kalita, M.; Gromada, A.; Mordzińska-Rak, A.; Polakowski, C.; Bieganowski, A. Symbiotic efficiency of Rhizobium leguminosarum sv. trifolii strains originating from the subpolar and temperate climate regions. Sci. Rep. 2024, 14, 6264. [Google Scholar] [CrossRef] [PubMed]
- Stephens, J.H.G.; Rask, H.M. Inoculant production and formulation. Field Crops Res. 2000, 65, 249–258. [Google Scholar] [CrossRef]
- Somasegaran, P.; Hoben, H.J. Analyzing Nodule Occupancy Using Antibiotic-Resistant Markers. In Handbook for Rhizobia; Springer: New York, NY, USA, 1994. [Google Scholar]
- Ramos, H.J.O.; Souza, E.M.; Soares-Ramos, J.R.L.; Pedrosa, F.O. Determination of bean nodule occupancy by Rhizobium tropici using the double gfp and gusA genetic markers constitutively expressed from a new broad-host-range vector. World J. Microbiol. Biotechnol. 2007, 23, 713–717. [Google Scholar] [CrossRef]
- Schneider, M.; De Bruijn, F.J. Rep-PCR mediated genomic fingerprinting of rhizobia and computer-assisted phylogenetic pattern analysis. World J. Microbiol. Biotechnol. 1996, 12, 163–174. [Google Scholar] [CrossRef]
- Howieson, J.G.; Dilworth, M.J. Working with Rhizobia; Australian Centre for International Agricultural Research: Canberra, ACT, Australia, 2016. [Google Scholar]
- Sessitsch, A.; Hardarson, G.; De Vos, W.M.; Wilson, K.J. Use of marker genes in competition studies of Rhizobium. Plant Soil 1998, 204, 35–45. [Google Scholar] [CrossRef]
- Xiong, A.-S.; Peng, R.-H.; Cheng, Z.-M.; Li, Y.; Liu, J.-G.; Zhuang, J.; Gao, F.; Xu, F.; Qiao, Y.-S.; Zhang, Z.; et al. Concurrent mutations in six amino acids in β-glucuronidase improve its thermostability. Protein Eng. Des. Sel. 2007, 20, 319–325. [Google Scholar] [CrossRef]
- Xiong, A.-S.; Peng, R.-H.; Zhuang, J.; Liu, J.-G.; Xu, F.; Cai, B.; Guo, Z.-K.; Qiao, Y.-S.; Chen, J.-M.; Zhang, Z.; et al. Directed evolution of beta-galactosidase from Escherichia coli into beta-glucuronidase. J. Biochem. Mol. Biol. 2007, 40, 419–425. [Google Scholar] [CrossRef][Green Version]
- Yeom, S.-J.; Han, G.H.; Kim, M.; Kwon, K.K.; Fu, Y.; Kim, H.; Lee, H.; Lee, D.-H.; Jung, H.; Lee, S.-G.; et al. Controlled aggregation and increased stability of β-glucuronidase by cellulose binding domain fusion. PLoS ONE 2017, 12, e0170398. [Google Scholar] [CrossRef]
- Callanan, M.J.; Russell, W.M.; Klaenhammer, T.R. Modification of Lactobacillus β-glucuronidase activity by random mutagenesis. Gene 2007, 389, 122–127. [Google Scholar] [CrossRef]
- Wang, Y.C.; Yu, M.; Shih, P.Y.; Wu, H.Y.; Lai, E.M. Stable pH Suppresses Defense Signaling and is the Key to Enhance Agrobacterium-Mediated Transient Expression in Arabidopsis Seedlings. Sci. Rep. 2018, 8, 17071. [Google Scholar] [CrossRef] [PubMed]
- Ullah, Z.; Iqbal, J.; Abbasi, B.A.; Akhtar, W.; Kanwal, S.; Ali, I.; Chalgham, W.; El-Sheikh, M.A.; Mahmood, T. Assessment of Gus Expression Induced by Anti-Sense OsPPO Gene Promoter and Antioxidant Enzymatic Assays in Response to Drought and Heavy Metal Stress in Transgenic Arabidopsis thaliana. Sustainability 2023, 15, 12783. [Google Scholar] [CrossRef]
- Li, G.; Li, B.; Dong, G.; Feng, X.; Kronzucker, H.J.; Shi, W. Ammonium-induced shoot ethylene production is associated with the inhibition of lateral root formation in Arabidopsis. J. Exp. Bot. 2013, 64, 1413–1425. [Google Scholar] [CrossRef]
- Shtratnikova, V.Y.; Kulaeva, O.N. Cytokinin-dependent expression of the ARR5::GUS construct during transgenic arabidopsis growth. Russ. J. Plant Physiol. 2008, 55, 756–764. [Google Scholar] [CrossRef]
- Wang, Y.; Yang, Z.; Kong, Y.; Li, X.; Li, W.; Du, H.; Zhang, C. GmPAP12 Is Required for Nodule Development and Nitrogen Fixation Under Phosphorus Starvation in Soybean. Front. Plant Sci. 2020, 11, 450. [Google Scholar] [CrossRef]
- Žydrė, K.; Monika, T.; Kristyna, R.; Lina, Š.; Irena, D.; Skaidrė, S.; Roma, S.; Aušra, A. Selection of New Field Pea Varieties for the Organic and Conventional Farming Systems in the Nemoral Climatic Zone. Agriculture 2025, 15, 687. [Google Scholar] [CrossRef]
- Ramachandran, V.K.; East, A.K.; Karunakaran, R.; Downie, J.A.; Poole, P.S. Adaptation of Rhizobium leguminosarum to pea, alfalfa and sugar beet rhizospheres investigated by comparative transcriptomics. Genome Biol. 2011, 12, R106. [Google Scholar] [CrossRef]
- Beringer, J.E. R factor transfer in Rhizobium leguminosarum. J. Gen. Microbiol. 1974, 84, 188–198. [Google Scholar] [CrossRef]
- Suproniene, S.; Decorosi, F.; Pini, F.; Bellabarba, A.; Calamai, L.; Giovannetti, L.; Bussotti, F.; Kadziuliene, Z.; Razbadauskiene, K.; Toleikiene, M.; et al. Selection of Rhizobium strains for inoculation of Lithuanian Pisum sativum breeding lines. Symbiosis 2021, 83, 193–208. [Google Scholar] [CrossRef]
- Couchoud, M.; Salon, C.; Girodet, S.; Jeudy, C.; Vernoud, V.; Prudent, M. Pea Efficiency of Post-drought Recovery Relies on the Strategy to Fine-Tune Nitrogen Nutrition. Front. Plant Sci. 2020, 11, 204. [Google Scholar] [CrossRef]
- Mendoza-Suárez, M.A.; Geddes, B.A.; Sánchez-Cañizares, C.; Ramírez-González, R.H.; Kirchhelle, C.; Jorrin, B.; Poole, P.S. Optimizing Rhizobium-legume symbioses by simultaneous measurement of rhizobial competitiveness and N2 fixation in nodules. Proc. Natl. Acad. Sci. USA 2020, 117, 9822–9831. [Google Scholar] [CrossRef]
- Mwenda, G.M.; Hill, Y.J.; O’Hara, G.W.; Reeve, W.G.; Howieson, J.G.; Terpolilli, J.J. Competition in the Phaseolus vulgaris-Rhizobium symbiosis and the role of resident soil rhizobia in determining the outcomes of inoculation. Plant Soil 2023, 487, 61–77. [Google Scholar] [CrossRef] [PubMed]
- Nelson, D.W.; Sommers, L.E. Total Nitrogen Analysis of Soil and Plant Tissues. J. AOAC Int. 1980, 63, 770–778. [Google Scholar] [CrossRef]
- SAS Institute Inc. SAS Software 9.4; SAS Institute Inc.: Cary, NC, USA, 2014. [Google Scholar]
- Abd-Alla, M.H.; Nafady, N.A.; Bashandy, S.R.; Hassan, A.A. Mitigation of effect of salt stress on the nodulation, nitrogen fixation and growth of chickpea (Cicer arietinum L.) by triple microbial inoculation. Rhizosphere 2019, 10, 100148. [Google Scholar] [CrossRef]
- Abd-Alla, M.H.; Bagy, M.K.; El-enany, A.W.E.S.; Bashandy, S.R. Activation of Rhizobium tibeticum with flavonoids enhances nodulation, nitrogen fixation, and growth of fenugreek (Trigonella foenum-graecum L.) grown in cobalt-polluted soil. Arch. Environ. Contam. Toxicol. 2014, 66, 303–315. [Google Scholar] [CrossRef]
- Herliana, O.; Harjoso, T.; Anwar, A.H.S.; Fauzi, A. The Effect of Rhizobium and N Fertilizer on Growth and Yield of Black Soybean (Glycine max (L) Merril). In IOP Conference Series: Earth and Environmental Science; IOP: London, UK, 2019. [Google Scholar]
- Brito-Santana, P.; Duque-Pedraza, J.J.; Bernabéu-Roda, L.M.; Carvia-Hermoso, C.; Cuéllar, V.; Fuentes-Romero, F.; Acosta-Jurado, S.; Vinardell, J.M.; Soto, M.J. Sinorhizobium meliloti DnaJ Is Required for Surface Motility, Stress Tolerance, and for Efficient Nodulation and Symbiotic Nitrogen Fixation. Int. J. Mol. Sci. 2023, 24, 5848. [Google Scholar] [CrossRef]
- Yang, C.; Bueckert, R.; Schoenau, J.; Diederichsen, A.; Zakeri, H.; Warkentin, T.D. Evaluation of growth and nitrogen fixation of pea nodulation mutants in western Canada. Can. J. Plant Sci. 2017, 97, 1121–1129. [Google Scholar] [CrossRef]
- Paulino, V.T.; Olivares, J.; Bedmar, E.J. Nodulation and nitrogenase activity of pea nodules as affected by low pH and aluminium. Plant Soil 1987, 101, 299–302. [Google Scholar] [CrossRef]
- Abera, T.; Abebe, Z. Effects of Fertilizer, Rhizobium Inoculation and Lime Rate on Growth and Yields Field Pea in Horro and Gedo Highlands. Adv. Crop Sci. Technol. 2018, 6, 397. [Google Scholar] [CrossRef]
- Zavalin, A.A.; Sokolov, O.A.; Shmyreva NYa Lukin, S.V. Legume reaction to soil acidity. Amazon. Investig. 2019, 8, 162–170. [Google Scholar]
- Bogino, P.; Nievas, F.; Banchio, E.; Giordano, W. Increased competitiveness and efficiency of biological nitrogen fixation in peanut via in-furrow inoculation of rhizobia. Eur. J. Soil. Biol. 2011, 47, 188–193. [Google Scholar] [CrossRef]
- Zahran, H.H. Rhizobium -Legume Symbiosis and Nitrogen Fixation under Severe Conditions and in an Arid Climate. Microbiol. Mol. Biol. Rev. 1999, 63, 968–989. [Google Scholar] [CrossRef] [PubMed]
- Liu, S.; Jiao, J.; Tian, C.F. Adaptive Evolution of Rhizobial Symbiosis beyond Horizontal Gene Transfer: From Genome Innovation to Regulation Reconstruction. Genes 2023, 14, 274. [Google Scholar] [CrossRef] [PubMed]
- Batstone, R.T.; Ibrahim, A.; MacLean, L.T. Microbiomes: Getting to the root of the rhizobial competition problem in agriculture. Curr. Biol. 2023, 33, R777–R780. [Google Scholar] [CrossRef]
- Mendoza-Suárez, M.; Andersen, S.U.; Poole, P.S.; Sánchez-Cañizares, C. Competition, Nodule Occupancy, and Persistence of Inoculant Strains: Key Factors in the Rhizobium-Legume Symbioses. Front. Plant Sci. 2021, 12, 1–16. [Google Scholar] [CrossRef]
- Pastor-Bueis, R.; Sánchez-Cañizares, C.; James, E.K.; González-Andrés, F. Formulation of a Highly Effective Inoculant for Common Bean Based on an Autochthonous Elite Strain of Rhizobium leguminosarum bv. phaseoli, and Genomic-Based Insights Into Its Agronomic Performance. Front. Microbiol. 2019, 10, 2724. [Google Scholar] [CrossRef]
- Albareda, M.; Dardanelli, M.S.; Sousa, C.; Megías, M.; Temprano, F.; Rodríguez-Navarro, D.N. Factors affecting the attachment of rhizospheric bacteria to bean and soybean roots. FEMS Microbiol. Lett. 2006, 259, 67–73. [Google Scholar] [CrossRef]
- Iturralde, E.T.; Covelli, J.M.; Alvarez, F.; Pérez-Giménez, J.; Arrese-Igor, C.; Lodeiro, A.R. Soybean-nodulating strains with low intrinsic competitiveness for nodulation, good symbiotic performance, and stress-tolerance isolated from soybean-cropped soils in Argentina. Front. Microbiol. 2019, 10, 1061. [Google Scholar] [CrossRef]
- Horácio, E.H.; Gavilanes, F.E.Z.; Feliciano, M.V.; de Moraes, J.G.; Zucareli, C.; Andrade, D.S.; Maddela, N.R.; Prasad, R. Exploring the interaction effects between common bean cultivars and rhizobia inoculation on plant growth and yield. J. Agric. Food Res. 2024, 15, 100926. [Google Scholar] [CrossRef]
- Burghardt, L.T.; Epstein, B.; Hoge, M.; Trujillo, D.I.; Tiffin, P. Host-Associated Rhizobial Fitness: Dependence on Nitrogen, Density, Community Complexity, and Legume Genotype. Appl. Environ. Microbiol. 2022, 88, e0052622. [Google Scholar] [CrossRef]
- Koutroubas, S.D.; Damalas, C.A.; Fotiadis, S.; Markopoulos, T. Species, Cultivar and Seasonal Effects on Nodulation and Nitrogen Utilization of Spring Mediterranean Grain Legumes. J. Soil. Sci. Plant Nutr. 2023, 23, 4463–4473. [Google Scholar] [CrossRef]
- Hossain, Z.; Wang, X.; Hamel, C.; Gan, Y. Nodulation and nitrogen accumulation in pulses vary with species, cultivars, growth stages, and environments. Can. J. Plant Sci. 2017, 98, 527–542. [Google Scholar] [CrossRef]
- Bourion, V.; Heulin-Gotty, K.; Aubert, V.; Tisseyre, P.; Chabert-Martinello, M.; Pervent, M.; Delaitre, C.; Vile, D.; Siol, M.; Duc, G.; et al. Co-inoculation of a pea core-collection with diverse rhizobial strains shows competitiveness for nodulation and efficiency of nitrogen fixation are distinct traits in the interaction. Front. Plant Sci. 2018, 8, 2249. [Google Scholar] [CrossRef] [PubMed]
- Baudoin, E.; Benizri, E.; Guckert, A. Metabolic fingerprint of microbial communities from distinct maize rhizosphere compartments. Eur. J. Soil. Biol. 2001, 37, 85–93. [Google Scholar] [CrossRef]
- Yang, C.H.; Crowley, D.E. Rhizosphere microbial community structure in relation to root location and plant iron nutritional status. Appl. Environ. Microbiol. 2000, 66, 345–351. [Google Scholar] [CrossRef]
- Yeremko, L.; Czopek, K.; Staniak, M.; Marenych, M.; Hanhur, V. Role of Environmental Factors in Legume-Rhizobium Symbiosis: A Review. Biomolecules 2025, 15, 118. [Google Scholar] [CrossRef]
- Rodrigo da-Silva, J.; Alexandre, A.; Brígido, C.; Oliveira, S. Can stress response genes be used to improve the symbiotic performance of rhizobia? AIMS Microbiol. 2017, 3, 365–382. [Google Scholar] [CrossRef]
- Yang, C.; Bueckert, R.; Schoenau, J.; Diederichsen, A.; Zakeri, H.; Warkentin, T. Symbiosis of selected Rhizobium leguminosarum bv. viciae strains with diverse pea genotypes: Effects on biological nitrogen fixation. Can. J. Microbiol. 2017, 63, 909–919. [Google Scholar] [CrossRef]
- Abi-Ghanem, R.; Carpenter-Boggs, L.; Smith, J.L. Cultivar effects on nitrogen fixation in peas and lentils. Biol Fertil Soils. 2011, 47, 115–120. [Google Scholar] [CrossRef]
- Lagunas, B.; Richards, L.; Sergaki, C.; Burgess, J.; Pardal, A.J.; Hussain, R.M.F.; Richmond, B.L.; Baxter, L.; Roy, P.; Pakidi, A.; et al. Rhizobial nitrogen fixation efficiency shapes endosphere bacterial communities and Medicago truncatula host growth. Microbiome 2023, 11, 146. [Google Scholar] [CrossRef]
- Khaitov, B.; Kurbonov, A.; Abdiev, A.; Adilov, M. Effect of chickpea in association with Rhizobium to crop productivity and soil fertility. Eurasian J. Soil. Sci. 2016, 5, 105–112. [Google Scholar] [CrossRef]
- Voisin, A.S.; Prudent, M.; Duc, G.; Salon, C. Pea nodule gradients explain N nutrition and limited symbiotic fixation in hypernodulating mutants. Agron. Sustain. Dev. 2015, 35, 1529–1540. [Google Scholar] [CrossRef]
- Lau, J.A.; Bowling, E.J.; Gentry, L.E.; Glasser, P.A.; Monarch, E.A.; Olesen, W.M.; Waxmonsky, J.; Young, R.T. Direct and interactive effects of light and nutrients on the legume-rhizobia mutualism. Acta Oecologica 2012, 39, 80–86. [Google Scholar] [CrossRef]
- Regus, J.U.; Gano, K.A.; Hollowell, A.C.; Sofish, V.; Sachs, J.L. Lotus hosts delimit the mutualism-parasitism continuum of Bradyrhizobium. J. Evol. Biol. 2015, 28, 447–456. [Google Scholar] [CrossRef]
- Calvert, M.B.; Hoque, M.; Wood, C.W. Genotypic variation in resource exchange, use, and production traits in the legume–rhizobia mutualism. Ecol. Evol. 2024, 14, e70245. [Google Scholar] [CrossRef]
- Raposeiras, R.; Marriel, I.E.; Scotti Muzzi, M.R.; Paiva, E.; Pereira Filho, I.A.; Costa Carvalhais, L.; Passos, R.V.M.; Pinto, P.P.; de Sá, N.M.H. Rhizobium strains competitiveness on bean nodulation in Cerrado soils. Pesqui. Agropecu. Bras. 2006, 41, 439–447. [Google Scholar] [CrossRef]
- Morel Revetria, M.A.; Berais-Rubio, A.; Giménez, M.; Sanjuán, J.; Signorelli, S.; Monza, J. Competitiveness and Phylogenetic Relationship of Rhizobial Strains with Different Symbiotic Efficiency in Trifolium repens: Conversion of Parasitic into Non-Parasitic Rhizobia by Natural Symbiotic Gene Transfer. Biology 2023, 12, 243. [Google Scholar] [CrossRef]
- Den Herder, G.; Parniske, M. The unbearable naivety of legumes in symbiosis. Curr. Opin. Plant Biol. 2009, 12, 491–499. [Google Scholar] [CrossRef]
- Irisarri, P.; Cardozo, G.; Tartaglia, C.; Reyno, R.; Gutiérrez, P.; Lattanzi, F.A.; Rebuffo, M.; Monza, J. Selection of competitive and efficient rhizobia strains for white clover. Front. Microbiol. 2019, 10, 768. [Google Scholar] [CrossRef]
- Abdel-Lateif, K.; Bogusz, D.; Hocher, V. The role of flavonoids in the establishment of plant roots endosymbioses with arbuscular mycorrhiza fungi, rhizobia and Frankia bacteria. Plant Signal. Behav. 2012, 7, 636–641. [Google Scholar] [CrossRef]
- Kidaj, D.; Krysa, M.; Susniak, K.; Matys, J.; Komaniecka, I.; Sroka-Bartnicka, A. Biological activity of Nod factors. Acta Biochim. Pol. 2020, 67, 435–440. [Google Scholar] [CrossRef]
- Geurts, R.; Fedorova, E.; Bisseling, T. Nod factor signaling genes and their function in the early stages of Rhizobium infection. Curr. Opin. Plant Biol. 2005, 8, 346–352. [Google Scholar] [CrossRef] [PubMed]
- Blanco, A.R.; Sicardi, M.; Frioni, L. Competition for nodule occupancy between introduced and native strains of Rhizobium leguminosarum biovar trifolii. Biol. Fertil. Soils 2010, 46, 419–425. [Google Scholar] [CrossRef]
- Gano-Cohen, K.A.; Wendlandt, C.E.; Stokes, P.J.; Blanton, M.A.; Quides, K.W.; Zomorrodian, A.; Adinata, E.S.; Sachs, J.L.; Johnson, N. Interspecific conflict and the evolution of ineffective rhizobia. Ecol. Lett. 2019, 22, 914–924. [Google Scholar] [CrossRef] [PubMed]
- Rahman, A.; Manci, M.; Nadon, C.; Perez, I.A.; Farsamin, W.F.; Lampe, M.T.; Le, T.H.; Torres Martínez, L.; Weisberg, A.J.; Chang, J.H.; et al. Competitive interference among rhizobia reduces benefits to hosts. Curr. Biol. 2023, 33, 2988–3001.e4. [Google Scholar] [CrossRef]
- Roper, W.R.; Duckworth, O.W.; Grossman, J.M.; Israel, D.W. Rhizobium leguminosarum strain combination effects on nodulation and biological nitrogen fixation with Vicia villosa. Appl. Soil. Ecol. 2020, 156, 103703. [Google Scholar] [CrossRef]
- Fesenko, A.N.; Provorov, N.A.; Orlova, I.F.; Orlov, V.P.; Simarov, B.V. Selection of Rhizobium leguminosarum bv. viceae strains for inoculation of Pisum sativum L. cultivars: Analysis of symbiotic efficiency and nodulation competitiveness. Plant Soil 1995, 172, 189–198. [Google Scholar] [CrossRef]






| R. leguminosarum Strain | Host Plant | Host Plant Genotype | Symbiovar | Genospecies Based on Concatenated Alignment of recA and atpD Gene Sequences | Genetica Relation Based on nodC Gene Phylogenetic Analysis | Reference |
|---|---|---|---|---|---|---|
| ASTR03 | Pisum sativum L. | “Astronaute” | R. leguminosarum sv. viciae | R. leguminosarum bv. viciae 3841 (B) | R. ruizaguesonis UPM1133 | [24] |
| ASTR08 | “Astronaute” | R. leguminosarum bv. viciae 3841 (B) | R. leguminosarum bv. viciae BIHB 1164 | |||
| BAGOO07 | “Bagoo” | R. leguminosarum bv. viciae 3841 (B) | R. leguminosarum bv. viciae BIHB 1164 | |||
| EGLE03 | “Egle DS” | R. leguminosarum bv. viciae 3841 (B) | R. leguminosarum bv. viciae BIHB 1164 | |||
| EGLE04 | “Egle DS” | R. leguminosarum bv. viciae 3841 (B) | R. leguminosarum bv. viciae BIHB 1164 | |||
| EGLE05 | “Egle DS” | R. leguminosarum bv. viciae 3841 (B) | R. leguminosarum bv. viciae BIHB 1164 | |||
| EGLE06 | “Egle DS” | R. leguminosarum bv. viciae 3841 (B) | R. leguminosarum bv. viciae li29 | |||
| EGLE07 | “Egle DS” | R. leguminosarum bv. viciae 3841 (B) | R. leguminosarum bv. viciae BIHB 1164 | |||
| EGLE09 | “Egle DS” | R. leguminosarum bv. viciae 3841 (B) | R. leguminosarum bv. viciae vd14 | |||
| EGLE10 | “Egle DS” | R. leguminosarum USDA 2370T (E) | R. KNa13 | |||
| LIN03 | “Lina DS” | R. leguminosarum bv. viciae 3841 (B) | R. leguminosarum bv. viciae BIHB 1164 | |||
| LIN04 | “Lina DS” | R. leguminosarum bv. viciae 3841 (B) | R. leguminosarum bv. viciae BIHB 1164 | |||
| LIN06 | “Lina DS” | R. leguminosarum bv. viciae 3841 (B) | R. leguminosarum bv viciae 3841 | |||
| LIN07 | “Lina DS” | R. leguminosarum bv. viciae 3841 (B) | R. leguminosarum bv. viciae BIHB 1192 | |||
| LIN08 | “Lina DS” | R. leguminosarum USDA 2370T (E) | R. leguminosarum bv. viciae BIHB 1164 | |||
| LIN09 | “Lina DS” | R. leguminosarum bv. viciae 3841 (B) | R. leguminosarum bv. viciae 3841 | |||
| LIN10 | “Lina DS” | R. leguminosarum bv. viciae 3841 (B) | R. leguminosarum bv. viciae BIHB 1164 | |||
| RSP05 | “Respect” | R. leguminosarum bv. viciae 3841 (B) | R. leguminosarum bv. viciae BIHB 1164 | |||
| RSP08 | “Respect” | R. leguminosarum bv. viciae 3841 (B) | R. leguminosarum bv. viciae BIHB 1164 |
| Properties | ||||||
|---|---|---|---|---|---|---|
| Sample | Granulometric Composition | Humus, % | pH | Nmin, mg kg−1 | Mobile Phosphorus P2O5, mg kg−1 | Mobile Potassium K2O, mg kg−1 |
| SOIL15, 0–30 cm | Heavy loam | 2.80 | 6.7 | 10.42 | 230 | 220 |
| Field Pea | |||||||
|---|---|---|---|---|---|---|---|
| Strains marked with gusA | |||||||
| K | EGLE07 | BAGOO07 | ASTR08 | EGLE10 | LIN06 | ||
| K | Not inoculated | x | x | x | x | x | |
| Not marked strains | LIN06 | x | x | x | x | x | |
| EGLE07 | x | x | x | x | |||
| BAGOO07 | x | x | x | ||||
| ASTR08 | x | x | |||||
| EGLE10 | x | ||||||
| Pea Genotype | R. leguminosarum Strains | ||||
|---|---|---|---|---|---|
| LIN06 | EGLE07 | BAGOO07 | ASTR08 | EGLE10 | |
| “Egle DS” | LN/HC | AN/AC | AN/LC | HN/LC | LN/LC |
| “Respect” | LN/LC | HN/AC | AN/AC | AN/AC | HN/HC |
| df | MS | SS | F | |
|---|---|---|---|---|
| Strain | 1 | 6.32583889 | 94.88758333 | 10.55 *** |
| Genotype | 15 | 14.04540000 | 14.04540000 | 23.42 *** |
| G × S | 15 | 3.37420000 | 50.61300000 | 5.63 *** |
Disclaimer/Publisher’s Note: The statements, opinions and data contained in all publications are solely those of the individual author(s) and contributor(s) and not of MDPI and/or the editor(s). MDPI and/or the editor(s) disclaim responsibility for any injury to people or property resulting from any ideas, methods, instructions or products referred to in the content. |
© 2025 by the authors. Licensee MDPI, Basel, Switzerland. This article is an open access article distributed under the terms and conditions of the Creative Commons Attribution (CC BY) license (https://creativecommons.org/licenses/by/4.0/).
Share and Cite
Kaziūnienė, J.; Gegeckas, A.; Lapinskienė, L.; Razbadauskienė, K.; Mažylytė, R.; Supronienė, S. Competitiveness and Nitrogen Fixation Efficiency Analysis of Rhizobium leguminosarum Strains in Different Field Pea (Pisum sativum L.) Genotypes. Agriculture 2025, 15, 1784. https://doi.org/10.3390/agriculture15161784
Kaziūnienė J, Gegeckas A, Lapinskienė L, Razbadauskienė K, Mažylytė R, Supronienė S. Competitiveness and Nitrogen Fixation Efficiency Analysis of Rhizobium leguminosarum Strains in Different Field Pea (Pisum sativum L.) Genotypes. Agriculture. 2025; 15(16):1784. https://doi.org/10.3390/agriculture15161784
Chicago/Turabian StyleKaziūnienė, Justina, Audrius Gegeckas, Laura Lapinskienė, Kristyna Razbadauskienė, Raimonda Mažylytė, and Skaidrė Supronienė. 2025. "Competitiveness and Nitrogen Fixation Efficiency Analysis of Rhizobium leguminosarum Strains in Different Field Pea (Pisum sativum L.) Genotypes" Agriculture 15, no. 16: 1784. https://doi.org/10.3390/agriculture15161784
APA StyleKaziūnienė, J., Gegeckas, A., Lapinskienė, L., Razbadauskienė, K., Mažylytė, R., & Supronienė, S. (2025). Competitiveness and Nitrogen Fixation Efficiency Analysis of Rhizobium leguminosarum Strains in Different Field Pea (Pisum sativum L.) Genotypes. Agriculture, 15(16), 1784. https://doi.org/10.3390/agriculture15161784

