Next Article in Journal
Determination of Soft Partitioning Thresholds for Reservoir Drought Warning Levels Under Socio-Hydrological Drought
Previous Article in Journal
Yield and Quality of New Strawberry Advanced Breeding Selections and Commercial Cultivars, Grown Under Warm-Temperate Climatic Conditions
 
 
Font Type:
Arial Georgia Verdana
Font Size:
Aa Aa Aa
Line Spacing:
Column Width:
Background:
Article

Effects of Exogenous Plant Hormones on Agronomic Traits and Physiological Responses of Elymus sibiricus

1
Laboratory of Grassland Ecosystem of Ministry of Education, College of Grassland Science, Gansu Agricultural University, Lanzhou 730070, China
2
Laboratory of Superior Forage Germplasm in the Qinghai-Tibetan Plateau, Qinghai Academy of Animal Science and Veterinary Medicine, Qinghai University, Xining 810016, China
*
Author to whom correspondence should be addressed.
Agriculture 2025, 15(13), 1407; https://doi.org/10.3390/agriculture15131407
Submission received: 24 May 2025 / Revised: 26 June 2025 / Accepted: 27 June 2025 / Published: 30 June 2025
(This article belongs to the Section Crop Production)

Abstract

As key endogenous signal molecules regulating plant growth processes, plant hormones have significant applications in forage breeding. The experiment used ‘Elymus sibiricus Qingmu No. 2’ as the test material, and the effects of foliar applied phytohormones of gibberellin (GA3: 50, 100, 200, and 300 mg/L), cytokinin (6-BA: 1, 10, 100, and 150 mg/L), epibrassinolide (EBR: 0.01, 0.1, 1, and 10 mg/L), zeatin (ZT: 1, 10, 20, and 100 mg/L), and auxin (IAA: 10, 50, 100, and 150 mg/L) on growth and physiological responses in Elymus sibiricus were investigated. The results indicated that GA3 at 200 mg/L significantly enhanced biomass by 38.19%, plant height by 75.11%, and leaf area by 40.58% compared to controls. IAA (150 mg/L) specifically increased stem diameter by 38.25%, while 6-BA (100 mg/L) elevated chlorophyll content and antioxidant enzyme activities, indicating dual photoprotective and stress-mitigating roles. EBR (1 mg/L) and ZT (20 mg/L) moderately enhanced growth metrics. All treatments universally boosted stress tolerance via soluble sugar/protein accumulation and antioxidant system activation. Through comprehensive analysis, we recommend GA3 (200 mg/L) for effective grassland improvement, propose synergistic combinations of 6-BA and IAA to overcome morphological limitations, and highlight ultra-low EBR (0.01–0.1 mg/L) as a priority for future research.

1. Introduction

Elymus sibiricus L., a perennial tufted herb in the Poaceae family, is renowned for its exceptional ecological adaptability, including cold, drought, and salt tolerance, as well as vigorous tillering and robust fibrous root systems [1]. These traits make it a key species for artificial grassland establishment and natural grassland restoration on the Qinghai–Tibetan Plateau [2]. Valued for its lush foliage, high nutritional quality, palatability, and biomass yield, Elymus sibiricus also exhibits remarkable resilience in arid and desert environments [3,4]. Beyond its agricultural significance, this species plays a critical ecological role in soil conservation, windbreak stabilization, and grassland rehabilitation, effectively mitigating soil erosion and reducing economic losses from environmental degradation [5]. Consequently, breeding high-yielding, superior-quality Elymus sibiricus germplasm is of significant ecological and economic importance.
Although Elymus sibiricus shows strong ecological adaptability, its growth still faces many challenges. Artificial grasslands and semi-artificial grasslands have small planting scales because of low yield, poor quality, and short utilization periods. Environmental factors such as high altitude, low temperature, and reduced oxygen levels limit its growth rate and reduce yield. Furthermore, most of the soil in this region is poor or saline–alkali. The combination of a short growing season, cold climate, and significant temperature fluctuations between day and night on the Qinghai–Tibet Plateau, along with frequent droughts in northwest China further shorten its growth cycle and negatively impact its productivity [6]. To address these challenges, breeders have not only developed adaptable varieties to enhance growth rates and cold tolerance but have also employed soil improvement and fertilization techniques to boost nutrient levels and stabilize soils. However, breeding new varieties is a long, complex process [7], and excessive fertilizer use disrupts soil element balance, leading to environmental issues and ecosystem instability [8]. Traditional optimization methods are difficult to manage and slow to take effect [9].
In this context, the application of plant growth regulators (PGRs) provides a more efficient alternative, significantly improving stress tolerance, yield, and quality in plants. Research has demonstrated the regulatory roles of exogenous plant hormones on diverse plant species. For example, Fujii H et al. [10] investigated the effects of plant hormones on citrus peel coloration, and also Lu et al. [11] studied their roles in enhancing the alfalfa’s adaptation to water and soil conditions. Studies on Leymus chinensis revealed that the application of gibberellin, auxin, and cytokinin could significantly improve the seed setting rate and yield [12]. Furthermore, the GA signaling pathway has been shown to critically regulate plant height and yield-related traits of rice [13]. Plant hormones have a variety of functional effects on a wide range of plants, but there are few studies on the growth and physiology of Elymus sibiricus, and there are no comparative results for various hormones, and the most suitable hormones and concentrations for the growth of Elymus sibiricus have not been sought.
Plant hormones play pivotal roles in regulating plant growth, development, and response to environmental stress through complex interactions [14,15,16]. For instance, 6-benzyl adenine (6-BA) elevates endogenous cytokinin levels and enhances metabolic activities [17]. Indole acetic acid (IAA) exerts a crucial role in growth and fruit development [18]. GAs promotes seed germination, stem elongation, and photosynthetic efficiency [19].
Understanding hormone regulatory networks is essential for improving crop yields, quality, and resilience to environmental stress [20]. These phytohormones function through complex synergistic and antagonistic interactions to coordinately regulate plant growth and defense responses [21]. Major plant hormones including auxin (AUX), GAs, cytokinin (CKs), abscisic acid (ABA), and ethylene (ET) can coordinately regulate plant adaptive capacity under environmental stresses [22]. Auxin stimulates cell division but often exhibits antagonistic with ABA. Salicylic acid (SA) and jasmonic acid (JA) play essential roles in growth and defense [23]. This sophisticated hormonal network ensures plants can balance growth and stress responses, effectively adapting to changing environments [24] GA3, 6-BA, EBR, ZT, and IAA are mainly involved in plant growth, development, and differentiation, which usually promote plant growth. As mentioned above, the reason for choosing these five hormones is because of their known roles in growth and development, which is consistent with our experimental objectives. Other plant hormones, such as ABA, SA, JA, etc., are mainly related to stress response, disease defense, and other processes, and cannot directly promote the growth of E. sibiricus.
To investigate the effects of exogenous hormones on the growth and adaptation of E. sibiricus, our group preliminary explored the impacts of exogenous phytohormones on the growth and development of Elymus sibiricus. Results showed that exogenous hormones can significantly affect the plant’s growth and nutrient absorption [25,26]. However, previous research only focused on IAA and 6-BA, and further investigation is needed to determine which specific hormone(s) at particular concentrations exert the most pronounced effects on plant growth and development. In this study, Elymus sibiricus ‘Qingmu No. 2’ was employed as the experimental material to systematically evaluate the effects of exogenous hormone types and concentration gradients on aboveground morphological traits, key physiological parameters as well as endogenous hormone levels. The research aims to enhance E. sibiricus yield and provide theoretical support for further artificial grassland cultivation optimization.

2. Materials and Methods

2.1. Plant Materials and Growth Conditions

The experiment was conducted in 2024 at the Research Station of Gansu Agricultural University, Lanzhou, Gansu Province, China (36°30′ N, 103°52′ E), using E. sibiricus cv. Qing mu No. 2 as the test material. Seeds were prepared in September and germinated in Petri dishes. Then, 15-day-old seedlings were transplanted into pots (15 cm diameter) with 400 g of soil, and each pot contained 60 plants with three replicates per treatment, totaling 180 plants. The planting soil (Gansu Green Energy Agricultural Science and Technology Co., Ltd., Pingliang, Gansu, China) is a green nutrient matrix, which contains conventional nutrients N, P, K, and some trace elements, and the pH content is about 6.5. During the whole growth period of Elymus sibiricus, the plants were irrigated with distilled water and Hoagland nutrient solution (McLean Biochemical Technology Co., Ltd., Shanghai, China), and the illumination time per day was 14 h (if the illumination was insufficient at a certain time, it was supplemented by supplementary light).
At the three-leaf stage, the seedlings were sprayed with hormones at eight o ‘clock in the morning, and the next treatment was performed every 24 h for three consecutive days. Treatments included different concentrations of auxin (IAA), cytokinin (6-BA), epibrassinolide (EBR), zeatin (ZT), and gibberellin (GA3) (Yuanye Biotechnology Co., Ltd., Shanghai, China). The screening of plant hormone concentrations, based on the research: Jia found that 150 mg/L GA3 and 30 mg/L IAA hormone concentration were the most suitable for Elymus sibiricus; Chen pointed out that spraying 0.15 mg/L exogenous EBR treatment could significantly increase the number of grains per panicle and effectively increase rice yield. Zhou pointed out that spraying 20 mg/L 6-BA solution had the best mitigation effect on low temperature stress of wheat. Li found that 10–20 mg/L zeatin significantly promoted the growth traits of black fescue under drought stress [27,28,29,30]. Hormone solutions were prepared according to established concentration ratios and applied by foliar spraying (15 mL per pot). As shown in Table 1, Hormone concentrations in this study were adjusted based on optimal hormone levels reported for other Triticeae plants species. This approach aimed to identify the most effective hormone type and concentration for promoting E. sibiricus growth.
Three weeks after treatments, morphological indices were measured, and leaf samples were collected from the top to the penultimate leaf of each plant to ensure consistency across treatment groups. The leaves were immediately separated from the stem, flash-frozen in liquid nitrogen, and stored at −80 °C for subsequent analysis.

2.2. Morphological Indicator Measurements

At the end of the culture period, 15 plants were randomly selected from each treatment group (five plants per pot) for morphological measurements. Plant height was recorded as the distance from the rhizome base to the tip of the nearest spreading leaf. The basal stem diameter was measured using a vernier caliper, and the average value was calculated. A steel ruler was used to measure the length from the base to the tip of the penultimate leaf. Leaf width was determined using a vernier caliper. Leaf area was calculated using the formula: leaf area = leaf length × leaf width × 0.75 [27].

2.3. Physiological Indices Determination

Fresh leaves (0.5 g) from each pot were cut into small sections, frozen in liquid nitrogen, and ground into a fine powder. The sample was mixed with 5 mL of 95% ethanol and extracted in complete darkness for 24 h at 4 °C. The filtrate was obtained by filtering the leaf residue. Ethanol served as the blank sample, and absorbance was measured at 665, 649, and 470 nm, respectively, using a spectrophotometer to calculate chlorophyll content [31].
The content of soluble sugar was determined by anthrone colorimetry [32]. Specifically, 0.2 g fresh sample was finely cut and thoroughly mixed with 5 mL of distilled water. The mixture was sealed with plastic film and extracted in boiling water for 30 min. The extract was filtered into a 25 mL volumetric flask and adjusted to the volume with distilled water. Subsequently, 0.5 mL extract solution was combined with 1.5 mL distilled water, followed by the addition of 0.5 mL anthranone reagent and 5 mL concentrated sulfuric acid. The mixture was shaken thoroughly and incubated in a 100 °C water bath for one hour until the reaction liquid turned dark green or blue. After cooling to room temperature, absorbance was measured at 620 nm. The sugar content was calculated using the standard glucose curve.
Soluble protein content was determined using the Coomassie Brilliant Blue G-250 method [33]. Firstly, 0.5 g fresh plant sample was cut and extracted by grinding homogenate with 7 mL phosphate buffer to obtain protein solution. After centrifugation at 4000 r/min for 20 min, the clarified supernatant was obtained. A total of 3 mL supernatant was mixed with an equal volume of Coomassie Brilliant Blue G-250 dye solution, and incubated for 10–15 min to form a stable blue color. Absorbance was measured at 595 nm. Protein content was calculated using the standard curve.
Malondialdehyde (MDA) content in leaves was determined using the thiobarbituric acid (TBA) colorimetric method [34]. A 0.3 g fresh sample was homogenized in 5 mL TCA buffer. After centrifugation at 3000 r/min for 10 min, impurities and cell debris were removed, and the supernatant containing soluble substances was collected. Subsequently, 2 mL thiobarbituric acid reagent was added to 2 mL the sample and heated in a 100 °C water bath for 30 min to form a stable red MDA-TBA complex. After cooling to room temperature, absorbance was recorded at 450, 532, and 600 nm, respectively.
Proline content was determined using the ninhydrin colorimetric method [35]. A 0.5 g fresh sample was treated in 5 mL sulfonsalicylic acid and extracted in a boiling water bath for 10 min. After cooling, the mixture was filtered into a test tube to obtain the extraction solution. Then, 2 mL sample solution was mixed with 2 mL ninhydrin acid solution and heated in a 100 °C water bath for 15–20 min. After cooling to room temperature, absorbance was recorded at 570 nm and used to calculate proline concentration based on a calibration curve.

2.4. Antioxidant Enzyme Activity Determination

Superoxide dismutase (SOD) activity was determined using the nitrogen blue tetrazolium (NBT) colorimetric method [36]. A 0.3 g sample was ground and mixed with 5 mL phosphate buffer for homogenization. The supernatant was obtained by centrifugation at 4000 r/min for 10 min to remove cell debris. A reaction mixture was prepared by combining 2.5 mL hydrogen peroxide solution with 2.5 mL supernatant and incubating in a water bath at 30 °C for 10 min. Absorbance was measured at 560 nm to calculate the SOD activity based on a calibration curve derived from a serial of standard SOD solutions.
Peroxidase (POD) activity was determined using the guaiacol colorimetric method [36]. A 0.2 g plant sample was ground and extracted using phosphate buffer. The extract was mixed with guaiacol and hydrogen peroxide, then incubated in 37 °C for 3–10 min. Absorbance was measured at 470 nm, and POD activity was calculated using the Beer-Lambert Law.
Catalase (CAT) activity was determined using the ultraviolet absorption method [36]. This method measures the decomposition of hydrogen peroxide by CAT, with potassium permanganate (KMnO4) to quantify residual H2O2. A 0.3 g sample was ground and mixed with 5 mL phosphate buffer for homogenization. The supernatant was obtained by centrifugation at 4000 r/min for 10 min to remove cell debris. Then 0.3 mL sample solution, 0.9 mL NBT solution, 0.9 mL Met solution, 0.9 mL sodium nitrite solution, and 3 mL phosphoric acid buffer were added to the test tube and incubated at 25 °C for 20 to 30 min. The remaining H2O2 was titrated with 0.01 M KMnO4 until the solution turned to light pink, indicating complete reaction. The volume of KMnO4 consumed was recorded to calculate the CAT activity.

2.5. Data Analysis

SPSS 27.0 was employed for correlation and principal component analyses of the morphological and physiological indicators of E. sibiricus under different treatments. One-way ANOVA model was used to assess the effects of varying hormone levels, followed by Duncan’s multiple range test for pairwise comparisons when statistically significance was detected (p < 0.05). Subordinate function values were calculated for each index across treatments, and the comprehensive evaluation value of aboveground biomass was determined using an integrated index evaluation [37]. Results were presented as means and standard error of the mean (SEM).
The membership function of each index in different treatments was calculated according to Reference [25], and the calculation formula is
(1)
If the index is positively correlated with the growth characteristics, then
μ x j = x j x m i n / x m a x x m i n . j = 1 , 2 , 3 , , n
(2)
If the index is negatively correlated with the growth characteristics, then
μ x j = 1 x j x m i n / x m a x x m i n . j = 1 , 2 , 3 , , n
(3)
The weight of each comprehensive index:
W i = P i / j = 1 n P i . j = 1 , 2 , 3 , , n
(4)
The comprehensive growth evaluation value of each treatment:
D = j = 1 N n μ x j × W j
The membership function values of each comprehensive index are obtained by using the Formulas (1) and (2). In Formulas (1)–(4): x j represents the jth comprehensive index, x m a x represents the maximum value of the jth comprehensive index, x m i n represents the jth comprehensive index. W i represents the weight of the jth comprehensive index; P j is the contribution rate of the jth comprehensive index under each treatment. D value is the comprehensive evaluation value of aboveground growth of Elymus sibiricus obtained by comprehensive index evaluation under each treatment.

3. Results

3.1. The Effect of Phytohormones on Morphological Character of E. sibiricus

The effects of various hormone levels on plant morphological indices are shown in Figure 1. The GA3 treatment significantly increased plant height compared to the control (CK). In particular, GA3 concentrations of 50 mg/L and 100 mg/L had highly significant effects on plant height (p < 0.001), which increased 20.93% and 61.31% over the control, respectively. And also, the 100 mg/L GA3 treatment significantly promoted stem diameter 21.65%. The 200 mg/L GA3 treatment produced the peak biomass (15.498 g), representing a 38.19% increase over the control (p < 0.001). This optimal concentration simultaneously enhanced other growth parameters, with plant height, stem diameter, and leaf area increasing by 75.11%, 19.25%, and 40.58% over the control (CK), respectively. Although the 300 mg/L treatment also significantly increased plant height, stem diameter, leaf area, and biomass compared to the control (p < 0.001), all measured parameters remained lower than those achieved at the optimal 200 mg/L concentration.
The 6-BA treatments had no significant effect on leaf area (p = 0.403, p = 0.190, p = 0.664), except for a reduction at 1 mg/L (p < 0.05). At 1 mg/L, there was no significant impact on plant height, stem diameter, and biomass (p = 0.172, p = 0.909, p = 0.327). Plant height peaked at 6-BA concentrations of 10, 100, and 150 mg/L, stem diameter peaked at 10, and 150 mg/L, while biomass reached the highest at 100 and 150 mg/L. These values were all significantly higher than the control (p < 0.05). At 100 mg/L, plant height and biomass increased by 20.25% and 24.75%, respectively, compared to the control.
The EBR treatment significantly increased the biomass only at 1 mg/L compared to the control, and it was 21.63% higher than the control. Plant height and leaf area showed a dose-dependent increase with EBT concentrations ranged from 0.01 to 0.1 mg/L, but declined in 1 mg/L compared to 0.1 mg/L. Stem diameter reached the highest at 1 mg/L, and it increased by 21.63% compared to the control.
The ZT treatment significantly increased the biomass at 20 and 100 mg/L compared to the control, increasing by 24.49% and 16.61%, respectively. Plant height increased significantly at 1, 10, and 20 mg/L, while stem diameter increased only in 100 mg/L. Leaf areas were significantly larger at 1, 10, and 20 mg/L compared to the control.
The IAA treatment significantly increased the biomass at 100 and 150 mg/L, with the highest values observed at 150 mg/L, increasing by 23.51% compared to the control. The hormone treatment significantly enhanced plant height, stem diameter, and leaf area compared to the control, with peak values at 100 mg/L for plant height and leaf area and 150 mg/l for stem diameter. At 150 mg/L, plant height, stem diameter, leaf area, and biomass increased by 22.14%, 38.25%, 24.55%, and 23.62%, respectively, compared to the control.

Effects of the Most-Effective Hormone Levels on Plant Morphological Indices

To compare relative effects of various hormones on the plant morphological indices, the most-effective hormone dose was determined primarily based on biomass, as well as plant height, stem diameter, and leaf area, as shown in Figure 2. The identified most-effective doses were GA3 200 mg/L, 6-BA 100 mg/L, EBR 1 mg/L, ZT 20 mg/L and IAA 150 mg/L. Their effects are summarized in Table 2. Among these, GA3 had the strongest effects on biomass and overall growth, while EBR, ZT, and IAA increased biomass, 6-BA enhanced plant height, IAA primarily promoted stem diameter, and both 6-BA and IAA enlarged leaf area.

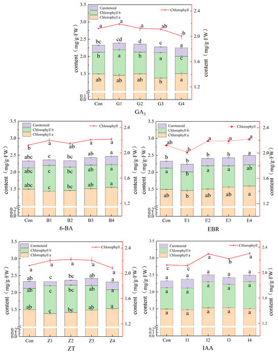
3.2. The Effect of Phytohormones on Chlorophyll Content of E. sibiricus

As shown in Figure 3, compared to the control, GA3 at 300 mg/L significantly reduced chlorophyll content (the sum of chlorophyll a, b, and carotenoid). In contrast to GA3, all tested concentrations of 6-BA except for 10 mg/L, EBR at 10 mg/L, and IAA at concentrations higher than 10 mg/L significantly increased chlorophyll content, whereas ZT had no significant effect on it. Specifically, chlorophyll a content significantly increased under treatments with 6-BA at 150 mg/L and EBA at 10 mg/L treatment (p < 0.05). Moreover, chlorophyll b content reduced by 20.46% than CK under GA3 treatment at 300 mg/L (p < 0.05). Carotenoid levels showed significant elevation with GA3 (300 mg/L) and EBR (100 and 150 mg/L) applications. These results demonstrated that 6-BA, EBR, and IAA effectively enhanced chlorophyll biosynthesis at specific concentrations.

3.3. The Effect of Phytohormones on Plant Physiological Character of E. sibiricus

3.3.1. Soluble Sugar and Soluble Protein

As shown in Figure 4, compared to the control, there were no significant differences in soluble sugar (SS) content in E. sibiricus leaves when gibberellin concentration was 50 mg/L, EBR concentration was 0.01 mg/L, and zeatin was 1 mg/L (p > 0.05). However, the highest soluble sugar (SS) content in E. sibiricus was achieved with the following hormone concentrations: GA3 (200 mg/L), 6-BA (150 mg/L), EBR (10 mg/L), IAA (100 mg/L), and ZT (20 mg/L). At 200 mg/L GA3, SS increased by 83.35% compared to the control, while 150 mg/L 6-BA resulted in a 95.45% increase. Treatments with EBR (10 mg/L), ZT (20 mg/L), and IAA (100 mg/L) significantly increased soluble sugar (SS) content in Elymus sibiricus by 74.57%, 95.57%, and 70.85%, respectively, compared to the control (p < 0.05). All other treatments also showed significant or extremely significant effect on SS enhancements (p < 0.05).
From the change in soluble protein (SP) content in Elymus sibiricus leaves, the SP content was the highest under the treatment of gibberellin concentration of 200 mg/L, which was 65.00% higher than that of the control. Compared to the control, the content of SP was significantly increased by 44.16%, 33.09%, 28.14%, and 43.37% (p < 0.01) under the treatments of gibberellin at 100 mg/L, 6-BA at 150 mg/L, EBR at 10 mg/L, and auxin at 150 mg/L, respectively. At an auxin concentration of 100 mg/L, the treatment significantly increased SP content by 27.03% compared to the control (p < 0.05), while no significant differences were observed among other treatments.

3.3.2. MDA and Proline Content

As shown in Figure 5, compared to the control, from the change in malondialdehyde (MDA) content in the leaves of Elymus sibiricus, the treatment of gibberellin concentration at 300 mg/L and auxin concentration at 150 mg/L significantly increased the content of MDA (p < 0.05). It showed that the application of extremely high concentration of gibberellin and auxin can increase the MDA content in the leaves of Elymus sibiricus, and damage the cell membrane structure, which is not conducive to the growth of Elymus sibiricus.
From the changes in proline (Pro) content in the leaves of Elymus sibiricus, only the treatment at 200 mg/L had the highest Pro content, which was significantly higher than that of the control 63.39% (p < 0.01). The PRO content of 0.01 mg/LEBR was the lowest, which was 52.257 mg/g. In the high concentration treatment of plant exogenous hormones, except for the treatment of zeatin 100 mg/L, other treatments promoted the Pro accumulation (p < 0.05). It showed that spraying low concentration of EBR inhibited the Pro content of Elymus sibiricus, whereas high concentration of plant exogenous hormones significantly increased it. This stabilization may contribute to the metabolic process of protoplast colloid and tissue.

3.3.3. Antioxidant Enzyme Activity

As shown in Table 3, plant antioxidant enzymes, compared to the control, except for the treatments with ZT and IAA concentrations at 100 mg/L and 150 mg/L, other high concentration treatments significantly or extremely significantly increased the superoxide dismutase (SOD) of Elymus sibiricus (p < 0.01). In other treatments, EBR content of 0.01 mg/L and auxin content of 10 mg/L significantly reduced SOD activity (p < 0.001). In addition to these treatments, when spraying low concentrations of exogenous hormones, the SOD activity of Elymus sibiricus was not significantly promoted compared to the control.
The CAT content was significantly higher than that of the control by 33.24% with the treatment at 200 mg/L (p < 0.001). In contrast, the CAT content was lowest under the treatment of gibberellin at the 50 mg/L. In the low concentration treatment of plant exogenous hormones, except for the treatments of gibberellin 100 mg/L, EBR 0.10 mg/L, and auxin 50 mg/L, other treatments had no significant effects on the CAT activity (p < 0.05). It showed that the high concentration of plant exogenous hormones had a significant effect on the CAT content of Elymus sibiricus.
The peroxidase (POD) activity in Elymus sibiricus leaves increased significantly (p < 0.001) compared to the control under the following treatments: Gibberellin at 200 mg/L, Cytokinin 6-BA at 100 and 150 mg/L, EBR at 0.10 and 1 mg/L, Zeatin at 100 mg/L, as well as IAA at 100 and 150 mg/L. Only the treatment with gibberellin concentration at 300 mg/L was significantly increased by 13.91% compared to the control (p < 0.05). Other treatments had no significant effect on POD activity (p > 0.05). The above results indicated that under the condition of partial high concentration of plant hormone utilization, the increase in POD activity is better than that of low concentration hormone, which is helpful to improve the POD activity in leaves and thus enhance the stress resistance of Elymus sibiricus.

3.4. Correlation and Principal Component Analyses on Plant Indices Influenced by Plant Hormones

3.4.1. Correlation Analysis

Correlation analysis among various morphological and physiological indices was performed using Pearson’s correlation coefficients, with results visualized in a lower-triangle heatmap (Figure 6). Significance levels were indicated in the upper triangle (* p < 0.05, ** p < 0.01, *** p < 0.001). Chlorophyll, MDA, plant height and other indicators showed weak correlation. Key significant correlations included that SP showed strong positive correlations with Pro (r = 0.83, p < 0.001) and stem diameter (r = 0.75, p < 0.001), as well as significant associations with SOD and biomass (p < 0.01), SS, CAT, and leaf area (p < 0.05). Pro was significantly correlated with stem diameter (r = 0.70, p < 0.001), SOD, SS, and leaf area (p < 0.01), and with CAT and biomass (p < 0.05). CAT demonstrated strong positive correlations with SOD (r = 0.76, p < 0.001) and SS (r = 0.72, p < 0.001), and significant links with biomass, leaf area, and POD (p < 0.01). SOD was closely associated with SS (r = 0.74, p < 0.001) and biomass (p < 0.01), and weakly with stem diameter and POD (p < 0.05). SS correlated strongly with biomass (r = 0.73, p < 0.001) and moderately with stem diameter and POD (p < 0.05). Biomass was positively linked to leaf area and stem diameter (p < 0.05), while leaf area also correlated with stem diameter (p < 0.05). These findings indicate that assessing the growth of E. sibiricus under different treatments using a single indicator would be neither accurate nor comprehensive. Therefore, principal component analysis (PCA) is necessary for a more in-depth evaluation.

3.4.2. Principal Components Analysis

The correlation between the indicators is strong, but the number of indicators is large. Therefore, the principal component analysis (PCA) method is used to transform the original related individual indicators into a new set of unrelated comprehensive indicators. It is the basis for the next calculation of membership function. Principal component analysis (PCA) was employed to transform the original correlated individual indices into a new set of uncorrelated comprehensive indicators. Based on the eigenvalues and contribution rates derived from E. sibiricus shoot data under different treatments (Table 4), the first five principal components (PCs) were selected, collectively explaining 89.836% of the total variance (exceeding the 85% cumulative threshold). PC1 (49.389% contribution) was strongly associated with biomass (0.802), Pro (0.801), SS (0.807), SP (0.831), and SOD (0.867). Higher PC1 scores indicated greater values for these traits. PC2 (14.034%) primarily reflected plant height (0.582), Chlorophyl (−0.513), and MDA (0.505), with larger scores corresponding to increased plant height and MDA but reduced chlorophyll (negative loading). PC3 (11.58%) was dominated by MDA (0.709) and chlorophyll (0.629). PC4 (9.991%) showed mixed loadings for chlorophyll (−0.428) and MDA (0.547, 0.528). PC5 (5.841%) highlighted SS (−0.442) and peroxidase (POD) (0.405).

3.4.3. Comprehensive Membership Function Evaluation

The membership function value µxj of the comprehensive growth index was calculated and presented in Table 5. Based on the contribution rate of each principal component, its corresponding weight was determined, and the D value representing the comprehensive growth of plants was calculated using these weights. The treatments were ranked according to the D values, reflecting their growth performance. The highest D value (0.768) was observed at GA3 concentration of 200 mg/L, whereas the lowest (0.182) occurred under 6-BA concentration of 1 g/L, indicating significantly suppressed above-ground growth.

4. Discussion

Exogenous phytohormones are widely used to regulate plant growth, development, and stress tolerance. However, different phytohormones, such as auxin, gibberellin, and other growth-promoting hormones, play unique roles in plant morphology and physiology. The optimal hormone types and concentrations for promoting plant growth, adaptation, and delaying senescence varies depending on plant species, tissue type, and environmental conditions. The results of this study showed that the application of most plant growth promoting hormones tended to improve the growth indicators and physiological traits of E. sibiricus. Although this effect was highly concentration-dependent and significantly different between different hormone types, not all treatments or measurements were significantly improved. Importantly, these results only represent the response under our specific pot experiment conditions and need to be verified in field practice.
GA3 enhances cell elongation by activating expansions and xyloglucan endotransglucosylases (XETs), leading to increased internode length [38]. Some research showed that rice stems elongated by 30–50% under 3.35–33.46 mg/L GA3 [39]. Consistent with the overall positive trend observed for many GA3 treatments in our study, the significant increase in biomass of E. sibiricus enhanced by 38.19%, plant height by 75.11%, and leaf area by 40.58% compared to controls under 200 mg/L GA3 treatment (Figure 1). However, it is worth noting that the lower (50 mg/L) GA3 concentration had no significant effect on leaf area, biomass, and most physiological indicators (Figure 1, Figure 4 and Figure 5), indicating that GA3 in plant hormones has a significant concentration dependence. Contrary to our findings, a study on wheat reported no biomass enhancement by GA3 beyond 100 mg/L [40], possibly due to species-specific sensitivity thresholds. Under the conditions of this experiment, 200 mg/L GA3 was the best concentration for the growth of E. sibiricus, which could provide reference for future field experiments to improve stress resistance and yield, but its efficacy needed to be further verified.
6-BA is a synthetic cytokinin widely used in agriculture due to its role in cell division, shoot regeneration, delay of senescence, and stress mitigation. A total of 100 mg/L 6-BA could elevate chlorophyll content and antioxidant enzyme activities of E. sibiricus. Comprehensive analysis indicated 150 mg/L 6-BA had better effect on plant growth and physiological character. This is in contrast to the effective concentration in other species. Studies have shown that 6-BA promoted the induction of axillary bud in the internodes of Acacia confusa [41]. A total of 25 mg/L 6-BA promoted chlorophyll synthesis in wheat [42]. An amount of 20 mg/L 6-BA improved the low temperature tolerance of wheat by increasing the Pro content and SOD activity [29].
The effects of EBR on plant growth are more complex. EBR promotes root and stem development at low concentrations, whereas at high concentrations, it may inhibit growth [43]. Foliar 0.05 mg/L EBR increases chlorophyll content 14.51% and photosynthetic rate 29.21% in maize under salt stress, and it also reduces ROS by 37% and enhances SOD, CAT, and APX activity in alfalfa under salt stress [44,45]. In our study, EBR-mediated chlorophyll accumulation of 40.58% may correlate with its protection of chloroplast membranes under oxidative stress, as evidenced by reduced MDA levels and improved antioxidant enzyme activity. EBR at 1 mg/L moderately enhanced growth metrics and physiological traits of E. sibiricus. However, other low concentrations of EBR tested showed non-significant effects on growth characteristics and physiological indicators (Figure 1, Figure 3 and Figure 4) compared with the control, which again emphasized the key importance of dose optimization.
ZT and IAA play crucial roles in cell division, senescence delay, and stress responses. The number of elongated buds induced by 4.43 mg/L zeatin treatment was the highest [46]. However, our results showed that a higher concentration (20 mg/L ZT) was required in E. sibiricus to significantly enhance plant growth and stress adaptability (Figure 1 and Figure 3 and Table 3). And also, in E. sibiricus, 20 mg/L ZT significantly enhanced plant growth and stress adaptability. Foliar application of 1.75–17.50 mg/L IAA can delay leaf senescence by suppressing ethylene biosynthesis and reactive oxygen species (ROS) accumulation. IAA primarily enhanced plant growth through regulating cell elongation, and at a concentration of 150 mg/L, it significantly improved growth of E. sibiricus. Proline content peaked at 150 mg/L IAA (Figure 5), indicating auxin’s role in osmotic adjustment. The species specificity of the optimal hormone concentration was further emphasized.
The present correlation analysis revealed intricate interdependencies among morphological and physiological indices in E. sibiricus under varying treatments, with significant correlations observed between most indices. The significant correlations observed between most indices. This aligns with previous studies demonstrating coordinated resource allocation strategies in perennial grasses under stress conditions [47]. The weak correlation between chlorophyll content and other indices presents an intriguing paradox worthy of further study. The PCA effectively resolved multicollinearity, condensing 10 indices into 5 principal components (PCs), accounting for 89.836% cumulative variance (Table 4) and exceeding the recommended 85% threshold. PC1 (48.39%) likely represents biomass allocation and antioxidant enzyme activity. PC2–PC5 (14.03–5.84%) capture specialized adaptations in stress mitigation. The principal component components with low explained variance also carry corresponding indicators, such as POD enzyme activity. In this way, the calculated D value covers > 89% of the variation, making my evaluation results more comprehensive and reliable.
The comprehensive growth index (D-value) derived from PCA-weighted membership functions provided a novel quantitative framework for evaluating E. sibiricus performance across treatments. As for E. sibiricus, consistent with the concentration-dependence observed for individual hormones, the high concentration hormones had a better effect on agronomic traits and physiological responses. In particular, G3, I4, B4, and G4 had higher subordinate function values than E1, Z1, I1, and B1. And also, the highest D value at GA3 concentration of 200 mg/L was higher by 3.4-fold than the lowest D-values of 6-BA concentration of 1 g/L. This study demonstrates that exogenous application of specific hormones (GA3, 6-BA, EBR, ZT, IAA) at optimized concentrations can enhance certain growth indices and physiological traits, potentially improving stress resistance, in E. sibiricus under indoor conditions. These findings contribute to a better understanding of hormone-mediated plant development and provide valuable insights for optimizing growth conditions in agricultural and ecological applications.

5. Conclusions

The application of 200 mg/L GA3 significantly enhanced key growth parameters in Elymus sibiricus. By assigning biologically informed weights to principal components (PC1 = 48.4%, PC2 = 14.0%, etc.), we derived a composite growth index (D-value) that objectively ranked treatment efficacy. This analysis identified 200 mg/L GA3 as optimal for comprehensive growth performance. A total of 150 mg/L IAA increased stem diameter by 38.25%, highlighting its specific role in promoting vascular tissue development. A total of 100 mg/L 6-BA simultaneously elevated chlorophyll content and antioxidant enzyme activities demonstrating its dual role in photoprotection and oxidative stress mitigation. Totals of 1 mg/L EBR and 20 mg/L zeatin ZT moderately improved growth metrics, suggesting their auxiliary regulatory functions. All phytohormone treatments universally enhanced stress resilience through the accumulation of soluble sugars and proteins, and the activation of antioxidant enzyme systems. GA3 at 200 mg/L is recommended as a cost-effective solution for grassland improvement, balancing growth promotion and stress adaptation.

Author Contributions

Q.Y.: investigation, data curation, methodology, writing—original draft, writing—review and editing. J.Q. and W.L.: supervision, funding acquisition, writing—review and editing. M.L. and W.D.: conducting experiments. All authors have read and agreed to the published version of the manuscript.

Funding

This study was supported by the earmarked fund for CARS (CARS-34), the Qinghai Innovation Platform Construction Project (2025) and the National Natural Science Foundation of China (grant number 31660684).

Data Availability Statement

All data are contained within the article. Further inquiries can be directed to the corresponding authors.

Acknowledgments

I thank the teachers of the College of Prataculture, Gansu Agricultural University for providing some support.

Conflicts of Interest

The authors declare that they have no competing financial interests or personal relationships that could have influenced the work reported in this paper.

References

  1. Li, L. Introduction of four perennial grasses. Acta Grassl. Sin. 2018, 26, 264–266. [Google Scholar]
  2. Liu, W.; Liu, X.; Lei, Y.; Zhou, Q.; Liu, Z.; Wang, P. A comprehensive evaluation of cold resistance and the physiological response of Elymus sibiricus genotypes. Acta Prataculturae Sin. 2023, 32, 152–163. [Google Scholar]
  3. Wang, W.; Liang, G.; Liu, W.; Wang, F.; Li, W. Comprehensive evaluation on agronomic characters and production performance of 8 Elymus sibiricus resources in Qinghai-Tibet Plateau. J. Pratacultural Sci. 2025, 34, 123–132. [Google Scholar]
  4. Ma, Y.; Yan, W.; Xu, Z.; Tian, Q.; Shi, W.; Jiang, C.; Wang, K.; Li, L. Investigation and collection of wild forage germplasm resources in Sichuan and Tibet. Chin. Wild Plant Resour. 2014, 33, 36–39. [Google Scholar]
  5. Yi, S.; Xi, X.Y.; Chang, H.L.; XIE, Y.L. Physiological adaptability of three gramineae plants under various vegetation restoration models in mining area of Qinghai-Tibet Plateau. J. Plant Physiol. 2022, 276, 153760. [Google Scholar]
  6. Liu, X. Spatial and Temporal Changes of Water Use Efficiency and Its Driving Mechanism in Typical Ecosystems of Mongolia Plateau; Inner Mongolia Normal University: Inner Mongolia, China, 2024. [Google Scholar]
  7. Voss-Fels, K.P.; Stahl, A.; Hickey, L.T. Q&A: Modern crop breeding for future food security. BMC Biol. 2019, 17, 18. [Google Scholar] [CrossRef]
  8. Liu, L.; Zheng, X.; Wei, X.; Kai, Z.; Xu, Y. Excessive application of chemical fertilizer and organophosphorus pesticides induced total phosphorus loss from planting causing surface water eutrophication. Sci. Rep. 2021, 11, 23015. [Google Scholar] [CrossRef]
  9. Pan, X.; Chen, J. The optimization path of agricultural industry structure and intelligent transformation by deep learning. Sci. Rep. 2024, 14, 29548. [Google Scholar] [CrossRef]
  10. Fujii, H.; Shimada, T.; Sugiyama, A.; Endo, T.; Nishikawa, F. Profiling gibberellin (GA3)-responsive genes in mature mandarin fruit using a citrus 22K oligoarray. Sci. Hortic. 2008, 116, 291–298. [Google Scholar] [CrossRef]
  11. Lu, H.; LI, Q.; Kan, H.; Xu, H.; Pang, Z.; Zhang, G.; Wang, Y.; Chen, C. Effects of plant hormones on hydrotropism and geotropism of alfalfa root tips. J. Grassl. Sci. 2025, 1–15. [Google Scholar]
  12. Han, Z.; Li, X.; Zhang, J.; Mu, C. Effects of exogenous plant hormones on flowering habits and fruit bearing characteristics of Leymus chinensis. Chin. Agric. Sci. Bull. 2019, 35, 124–128. [Google Scholar]
  13. Fan, Z.; Zhang, L. Research progress on molecular mechanism of gibberellin in rice. J. Life Sci. 2025, 29, 49–55. [Google Scholar]
  14. Letham, D.S.; Wilson, M.M.; Parker, C.W.; Jenkins, I.D.; Macleod, J.K.; Summons, R.E. Regulators of cell division in plant tissue. XXIII. The identity of an unusual metabolite of 6-benzylaminopurine. Biochim. Biophys. Acta 1975, 399, 61–70. [Google Scholar] [CrossRef] [PubMed]
  15. Hirsch, A.M.; Fang, Y.; Asad, S.; Kapulnik, Y. The role of phytohormones in plant-microbe symbioses. Plant Soil 1997, 194, 171–184. [Google Scholar] [CrossRef]
  16. Wen, Q.; Zhao, J.C.; Li, P.L.; Hu, Y.R. Effects of five plant hormones on the mycelial growth of Pleurotus ostreatus under drought and high temperature stress. Acta Fungi 2025, 1–13. Available online: https://kns.cnki.net/kcms2/article/abstract?v=qvsDeM7pbdlUsOj2TGk4cTVF0kJLpFisRiTcCx0ni23mEgv8AXSDEKSQ5lY-8AMxROn7pSr0zmd2oHGpCbZ4pfOMWcXBmmrnYOpHNFHColkCNgaUhbXnVC7targ3ZPK8kQNjJmdaXAGCyPru0-Wbj0hrKlZye1Wjk96j7yEXprZTXwC6P4TkcA==&uniplatform=NZKPT&language=CHS (accessed on 28 June 2025).
  17. Wang, Y.; Yang, M.Z.; Zhang, F.Q.; Li, J.L. Enhanced chilling tolerance in Zoysia matrella by pre-treatment with salicylic acid, calcium chloride, hydrogen peroxide or 6-benzylaminopurine. Biol. Plant. 2009, 53, 179–182. [Google Scholar] [CrossRef]
  18. Karcz, W. Regulation of growth, development and whole organism physiology. A comparison of the effects of IAA and 4-Cl-IAA on growth, proton secretion and membrane potential in maize coleoptile segments. J. Exp. Bot. 2002, 53, 10. [Google Scholar] [CrossRef]
  19. Zhou, C.; Wang, P.; Song, D.; Wang, H.; Fang, F.; Li, J.; Sun, X.; Ding, S. Effect of different gibberellin and soaking time on rooting of long ear shoots of tea tree. J. Northwest A F Univ. 2025, 53, 1–9. [Google Scholar]
  20. Takashi, H.; Keiichi, M. Plant hormotomids: A key tool for deep physiological phenotyping to improve crop productivity. Plant Cell Physiol. 2022, 63, 1826–1839. [Google Scholar] [CrossRef]
  21. Zhang, Y. Effect Mechanism of Endogenous Cytokinin on Strong and Weak Development of Rice. Master’s Thesis, Yangzhou University, Yangzhou, China, 2022. [Google Scholar]
  22. Ding, P.; Ding, Y. Stories of salicylic acid: A plant defense hormone. Trends Plant Sci. 2020, 25, 549–565. [Google Scholar] [CrossRef]
  23. Vivek, V.; Pratibha, R.; Prakash, P.K. Plant hormone-mediated regulation of stress responses. BMC Plant Biol. 2016, 16, 86. [Google Scholar] [CrossRef]
  24. Zhao, B.Q.; Liu, Q.Y.; Wang, B.S.; Yuan, F. Roles of phytohormones and their signaling pathways in leaf development and stress responses. J. Agric. Food Chem. 2021, 69, 3566–3584. [Google Scholar] [CrossRef] [PubMed]
  25. Jin, X.; Qi, J.; Liu, W.; Wu, Z.; Zheng, Y.; Yang, H.; Su, J.; Li, M. Effects of combined application of exogenous hormones indoleacetic acid, 6-benzyladenine and nitrogen on aboveground growth of Elymus sibiricus seedlings. Pratacultural Sci. 2021, 38, 277–287. [Google Scholar]
  26. Yang, H.; Qi, J.; Li, Y.; Liu, Y.; Wu, Z.; Jin, X. Effects of combined application of exogenous hormones and phosphorus on the growth characteristics and nutritional quality of Elymus sibiricus. J. Grassl. Sci. 2020, 28, 1015–1023. [Google Scholar]
  27. Jia, Y.W.; Qi, J.; Sai, N.G.; Du, S.; Lu, X.; Li, X. Effects of exogenous gibberellin and indoleacetic acid on the growth, physiological characteristics and chromosome telomere of Elymus sibiricus. J. Grassl. Sci. 2023, 31, 456–463. [Google Scholar]
  28. Chen, Y.H.; Wang, J.K.; Wang, Y.L.; Chen, H.Z. effects of exogenous spraying of 2,4-epibrassinolide on yield and quality of Zhehex-iang 2 under high temperature during filling stage. China Rice 2022, 28, 66–69. [Google Scholar]
  29. Zhou, Q.; Zhao, M.; Yang, L.; Luan, J.; Gao, Y.; Huang, Z.; Ma, S.; Zhang, Y.; Zhang, W. Effects of exogenous 6-BA on flag leaf physiology, yield and quality of wheat after low temperature stress at booting stage. Appl. Ecol. 2024, 35, 1573–1582. [Google Scholar]
  30. Li, L.J.; Guo, W.E.; Chang, Z.Z. Effects of Zeatin on Drought Resistance of Tall Fescue and Perennial Ryegrass. Grassl. Lawn 2017, 37, 61–66. [Google Scholar]
  31. Liang, H.; Li, X.; Wang, G.; Chen, J.; Zhang, J. Effects of exogenous methyl jasmonate on physiology of jujube seedlings under salt stress. Northwest Agric. J. 2025, 45, 1–8. [Google Scholar]
  32. Ding, X.; Zhang, X.; Zhao, Y.; Tan, Z.; Li, Y.; Wang, P.; Tang, H.; Cong, Y.; Bao, G.; Ma, J.; et al. Improvement of experimental method for determination of soluble sugar content by anthracone colorimetry. Heilongjiang Anim. Husb. Vet. Med. 2014, 230–233. Available online: https://kns.cnki.net/kcms2/article/abstract?v=qvsDeM7pbdmIlZ6CbGN0WKJC2C7tF3DqfjvEMa1q-rXvnH4p3jyAX5-2ZT_8nMnaeOg3JDvnIKEcIAA6KCxxUQqESXrdzplipjAMdSR2fG9kgeJVSlU7cidCw9CpJzqVFaSdvMojlHzY4J0-bsJYGkN-oSnli9MM16YxB3LP5XBJttMGpzyuQQ==&uniplatform=NZKPT&language=CHS (accessed on 28 June 2025).
  33. Jiao, J. Determination of soluble protein in alfalfa by Coomassie bright Blue G-250 staining. Agric. Eng. Technol. 2016, 36, 33–34. [Google Scholar]
  34. Wang, W.; Shi, S.; Kang, W.; Du, Y.; Yin, C. Physiological response of alfalfa to exogenous spermidine under drought stress. Sci. Agric. Sin. 2025, 58, 676–691. [Google Scholar]
  35. Gao, B.; Shi, S.; Yao, J.; Wang, S.; Zhang, J.; Wang, S.; He, W. Effects of exogenous melatonin on growth and physiological charac-teristics of wheat seedlings under lead stress. Crop Res. 2025, 39, 11–15. [Google Scholar]
  36. Wang, S.; Zhang, H.; He, Q. Effects of copper stress on antioxidant system of alfalfa seedlings. Chin. J. Appl. Ecol. 2011, 22, 2285–2290. [Google Scholar]
  37. Tao, X. Preliminary Application of Fuzzy Mathematics in Agricultural Science. J. Shenyang Agric. Coll. 1982, 2, 96–107. [Google Scholar]
  38. Wang, B.; Smith, M.S.; Li, J. Genetic Regulation of Shoot Architecture. Annu. Rev. Plant Biol. 2018, 69, 437–468. [Google Scholar] [CrossRef]
  39. Hedden, P.; Thomas, S.G. Gibberellin biosynthesis and its regulation. Biochem. J. 2012, 444, 11–25. [Google Scholar] [CrossRef]
  40. Ghulam, S.; Tauseef, A.; Mehvish, M.; Rehman, H.; Danish, S.; Alahmadi, T.A.; Ansari, M.J. Evaluation of potassium-enriched biochar and GA3 effectiveness for Improving wheat growth under drought stress. BMC Plant Biol. 2023, 23, 615. [Google Scholar] [CrossRef]
  41. Ho, W.J.; Huang, Y.K.; Huang, W.W.; Huang, Y.C.; Chung, J.P. Effective in vitro culture using dormant bud of nodal sections from a mature Acacia tree. In Vitro Cell. Dev. Biol. Plant 2021, 58, 437–466. [Google Scholar] [CrossRef]
  42. Luo, Y.; Yang, D.; Yin, Y.; Cui, Z.; Li, Y.; Chen, J.; Zheng, M.; Wang, Y.; Pang, D.; Li, Y. Effects of exogenous 6-BA and different amounts of nitrogen fertilizer on the function and fluorescence characteristics of wheat leaves after anthesis. China Agric. Sci. 2016, 49, 1060–1083. [Google Scholar]
  43. Hao, W.; Li, H.; Li, Y.; Zhao, X.; Cao, J.; Xu, G. Effects of exogenous brassinolide and different water treatments on growth physiology, yield and nitrogen utilization of rice. Agric. Res. Arid. Areas 2024, 42, 54–64. [Google Scholar]
  44. Wu, C.; Hu, Z.; Lu, H.; Ke, Y.; Wang, Y.; Gong, Z. Effects of EBR on photosynthesis and antioxidant system of maize seedlings under salt stress. Jiangsu Agric. Sci. 2023, 51, 109–116. [Google Scholar]
  45. Kou, J.; Shi, S. Mitigation effect of 2,4-epibrassinolide on root growth inhibition and oxidative damage of alfalfa seedlings under NaCl stress. Chin. J. Eco-Agric. 2015, 23, 1010–1019. [Google Scholar]
  46. Ewald, D.; Hu, J. Effects of cytokinin and ammonium nitrate on adventitious bud elongation of Picea abies. For. Sci. 2007, 43, 28–34. [Google Scholar]
  47. Monson, R.K.; Trowbridge, A.M.; Lindroth, R.L.; Richard, L.L.; Manuel, T.L. Coordinated resource allocation to plant growth-defense tradeoffs. New Phytol. 2022, 233, 1051–1066. [Google Scholar] [CrossRef]
Figure 1. Effects of various concentrations of exogenous hormones on morphological indices of Elymus sibiricus. Note: Based on Tukeys test. Different lowercase letters indicate significant differences between various hormone levels (p < 0.05). G1, G2, G3, and G4 denote GA3 concentrations of 50, 100, 200, and 300 mg/mL, respectively; B1, B2, B3, and B4 stand for 6-BA concentrations of 1,10,100, and 150 mg/mL; E1, E2, E3, and E4 represent EBR concentrations of 0.01, 0.1, 1, and 10 mg/mL; Z1, Z2, Z3, and Z4 indicate ZT concentrations of 1, 10, 20, and 100 mg/L; I1, I2, I3, and I4 refer to IAA concentrations of 10, 50, 100, and 150 mg/mL, the same as below.
Figure 1. Effects of various concentrations of exogenous hormones on morphological indices of Elymus sibiricus. Note: Based on Tukeys test. Different lowercase letters indicate significant differences between various hormone levels (p < 0.05). G1, G2, G3, and G4 denote GA3 concentrations of 50, 100, 200, and 300 mg/mL, respectively; B1, B2, B3, and B4 stand for 6-BA concentrations of 1,10,100, and 150 mg/mL; E1, E2, E3, and E4 represent EBR concentrations of 0.01, 0.1, 1, and 10 mg/mL; Z1, Z2, Z3, and Z4 indicate ZT concentrations of 1, 10, 20, and 100 mg/L; I1, I2, I3, and I4 refer to IAA concentrations of 10, 50, 100, and 150 mg/mL, the same as below.
Agriculture 15 01407 g001
Figure 2. Pot morphology of different hormones.
Figure 2. Pot morphology of different hormones.
Agriculture 15 01407 g002
Figure 3. Chlorophyll contents of Elymus sibiricus treated with various hormone levels. Note: Based on Tukeys test. Different lower-case letters indicate significant differences between hormone levels (p < 0.05).
Figure 3. Chlorophyll contents of Elymus sibiricus treated with various hormone levels. Note: Based on Tukeys test. Different lower-case letters indicate significant differences between hormone levels (p < 0.05).
Agriculture 15 01407 g003
Figure 4. Effects of different concentrations of plant exogenous hormones on sugar and soluble protein contents of Elymus sibiricus. Note: Based on Tukeys test. The lowercase letters indicate that there was a significant difference in soluble protein (p < 0.05) between hormones. Capital letters indicate that there were differences in soluble sugar levels between hormones (p < 0.05).
Figure 4. Effects of different concentrations of plant exogenous hormones on sugar and soluble protein contents of Elymus sibiricus. Note: Based on Tukeys test. The lowercase letters indicate that there was a significant difference in soluble protein (p < 0.05) between hormones. Capital letters indicate that there were differences in soluble sugar levels between hormones (p < 0.05).
Agriculture 15 01407 g004
Figure 5. Effects of plant exogenous hormones on MDA and Pro contents of Elymus sibiricus. Note: Based on Tukeys test. Different lowercase letters indicate significant differences between hormone levels (p < 0.05).
Figure 5. Effects of plant exogenous hormones on MDA and Pro contents of Elymus sibiricus. Note: Based on Tukeys test. Different lowercase letters indicate significant differences between hormone levels (p < 0.05).
Agriculture 15 01407 g005
Figure 6. Correlation analysis among various morphological and physiological indices. Note: SP: Soluble protein; PRO: Proline; CAT, catalase; SOD, superoxide dismutase; SS: Soluble sugar; POD, peroxidase; MDA: Malondialdehyde. *, ** and *** significant at 5%, 1% and 0.1% levels, respectively.
Figure 6. Correlation analysis among various morphological and physiological indices. Note: SP: Soluble protein; PRO: Proline; CAT, catalase; SOD, superoxide dismutase; SS: Soluble sugar; POD, peroxidase; MDA: Malondialdehyde. *, ** and *** significant at 5%, 1% and 0.1% levels, respectively.
Agriculture 15 01407 g006
Table 1. Plant hormones and their concentration.
Table 1. Plant hormones and their concentration.
PhytohormoneConcentration (mg/L)
GA30, 50, 100, 200, 300;
6-BA0, 1, 10, 100, 150;
EBR0, 0.01, 0.1, 1,10;
ZT0, 1, 10, 20, 100;
IAA0, 10, 50, 100, 150;
Table 2. Effects of the most-effective hormone levels on plant morphological indices.
Table 2. Effects of the most-effective hormone levels on plant morphological indices.
TreatmentPlant Height
(cm)
Stem Diameter
(cm)
Leaf Area
(cm2)
Above-Ground Biomass
(g)
GA3 (200 mg/L)51.78 a1.07 b11.89 a15.50 a
6-BA (100 mg/L)35.55 bc0.86 c8.92 cd13.99 ab
EBR (1 mg/L)38.08 b0.85 c11.42 a12.90 b
ZT (20 mg/L)32.48 cd0.85 c9.43 c13.96 ab
IAA (150 mg/L)36.11 d1.15 a10.54 b13.86 ab
Control29.57 e0.83 c8.4 d11.21 c
SEM1.1010.0240.2970.537
p value<0.001<0.001<0.0010.003
Note: Based on Tukeys test. Different lowercase letters indicate significant differences between treatments (p < 0.05).
Table 3. Effects of exogenous plant hormones on antioxidant enzyme activities in plant leaves.
Table 3. Effects of exogenous plant hormones on antioxidant enzyme activities in plant leaves.
TreatmentSOD
(U/g)
CAT
(U/g)
POD
(U/g)
GA3Con132.64 c0.34 cd5.70 c
G1132.57 c0.34 d5.91 bc
G2142.98 b0.38 bc5.89 bc
G3149.61 a0.45 a7.56 a
G4143.76 ab0.40 b6.50 b
SEM1.3860.0080.152
p value<0.001<0.001<0.001
6-BACon132.64 b0.34 c5.70 c
B1130.06 b0.38 bc5.69 c
B2137.27 ab0.40 b6.14 bc
B3136.53 b0.41 ab6.92 b
B4145.09 a0.45 a10.03 a
SEM1.7530.010.213
p value0.001<0.001<0.001
EBRCon132.64 bc0.34 c5.70 b
E1121.24 d0.37 bc5.25 b
E2131.58 c0.38 abc7.02 a
E3139.88 ab0.43 a7.95 a
E4142.11 a0.40 ab5.17 b
SEM1.5850.0120.264
p value<0.0010.004<0.001
ZTCon132.64 b0.34 b5.70 b
Z1131.84 b0.36 b6.21 b
Z2136.71 ab0.36 b6.33 ab
Z3139.96 a0.39 a5.60 b
Z4130.68 b0.37 ab7.38 a
SEM1.5130.0060.242
p value0.0080.0030.003
IAACon132.64 b0.34 b5.70 b
I1116.07 c0.36 b5.77 b
I2132.77 b0.39 ab5.61 b
I3150.45 a0.46 a7.97 a
I4129.52 b0.38 b7.12 a
SEM2.3190.0180.267
p value0.0010.004<0.001
Note: SOD, superoxide dismutase; CAT, catalase; POD, peroxidase. Based on Tukeys test. Different lowercase letters indicate significant differences between hormone levels (p < 0.05).
Table 4. Eigenvectors and percentage of accumulated contribution of principal components.
Table 4. Eigenvectors and percentage of accumulated contribution of principal components.
CharactersCharacter 1Character 2Character 3Character 4Character 5
Plant height0.6440.582−0.196−0.1870.36
Biomass0.8020.098−0.1360.174−0.241
Chlorophyl0.103−0.5130.709−0.4280.005
Pro0.8010.3280.224−0.272−0.102
MDA−0.0840.5050.6290.547−0.05
SS0.807−0.207−0.0940.231−0.442
SP0.8310.2510.293−0.1910.03
SOD0.867−0.136−0.109−0.0830.011
POD0.574−0.4110.1540.5280.405
CAT0.836−0.369−0.150.0370.152
Eigen value4.8391.4031.1580.9910.584
Contribution ratio/%48.38914.03411.589.9915.841
Cumulative contribution ratio/%48.38962.42374.00483.99589.836
Table 5. The value of membership function and comprehensive evaluation under different treatments.
Table 5. The value of membership function and comprehensive evaluation under different treatments.
TreatmentSubordinate Function ValuesValue of Comprehensive Growth EvaluationRank
μx1μx2μx3μx4μx5D1D2D3D4D5D
G32.4281.2690.7300.4390.6221.0000.8280.0740.3440.8000.7681
I40.3590.9963.0840.7000.4290.4590.7531.0000.6710.5370.6032
B41.2621.7120.7211.8460.7990.6950.0000.4271.0000.8440.5963
G40.5271.6501.0371.7540.5120.5030.9340.0000.9740.5160.5594
I31.306−1.1000.2040.3470.5740.7070.1700.3010.3710.7880.5385
G20.7331.8870.4451.4830.8230.5571.0000.1440.0440.8500.5356
E30.3120.8950.4190.4461.4230.4470.2270.1500.5981.0000.4277
Z30.3920.2510.0900.3232.5780.4680.4060.2730.3780.0000.3938
B30.2830.7410.5410.4710.1550.4390.2700.1200.3350.6830.3769
Z40.3940.1190.2071.7681.1260.2620.4430.2010.9780.3630.36910
E40.4610.4730.3681.2972.0010.4860.3440.1620.0980.1440.35711
G11.0730.9971.2130.1120.8470.0840.7530.5460.4380.8560.33812
I20.3530.2511.4161.6380.1160.2730.4060.5950.0000.6730.33113
Z20.5520.4640.3500.0240.4810.2210.3470.3370.4630.5240.30214
E20.4060.7370.6690.1760.5660.2590.2710.0890.4200.7860.29115
B20.2870.5971.0170.2970.0240.2900.3100.0050.3850.6380.29016
E11.3821.1000.9941.0020.0370.0040.7810.0100.7580.6350.25117
Z11.1890.2600.1740.1791.0670.0540.4030.2940.4190.9110.23618
I11.3960.4920.3050.1850.3320.0000.6120.1780.4170.7270.21219
B11.0320.7920.5200.5440.1380.0950.2560.1260.3140.6100.18220
Note: μx is the membership function value of each comprehensive index, D value is the comprehensive evaluation value of aboveground growth of Elymus sibiricus obtained by comprehensive index evaluation under each treatment. Computing formula: μ x j = x j x m i n / x m a x x m i n .   j = 1 , 2 , 3 n , if the index is positively correlated with the growth characteristics. μ x j = 1 x j x m i n / x m a x x m i n .   j = 1 , 2 , 3 n , if the index is negatively correlated with the growth characteristics W i = P i / j = 1 n P i .   j = 1 , 2 , 3 , , n , the weight of each comprehensive index D = j = 1 N n μ x j × W j , the comprehensive growth evaluation value of each treatment.
Disclaimer/Publisher’s Note: The statements, opinions and data contained in all publications are solely those of the individual author(s) and contributor(s) and not of MDPI and/or the editor(s). MDPI and/or the editor(s) disclaim responsibility for any injury to people or property resulting from any ideas, methods, instructions or products referred to in the content.

Share and Cite

MDPI and ACS Style

Yuan, Q.; Qi, J.; Liu, W.; Du, W.; Li, M. Effects of Exogenous Plant Hormones on Agronomic Traits and Physiological Responses of Elymus sibiricus. Agriculture 2025, 15, 1407. https://doi.org/10.3390/agriculture15131407

AMA Style

Yuan Q, Qi J, Liu W, Du W, Li M. Effects of Exogenous Plant Hormones on Agronomic Traits and Physiological Responses of Elymus sibiricus. Agriculture. 2025; 15(13):1407. https://doi.org/10.3390/agriculture15131407

Chicago/Turabian Style

Yuan, Qi, Juan Qi, Wenhui Liu, Wangyi Du, and Mingjie Li. 2025. "Effects of Exogenous Plant Hormones on Agronomic Traits and Physiological Responses of Elymus sibiricus" Agriculture 15, no. 13: 1407. https://doi.org/10.3390/agriculture15131407

APA Style

Yuan, Q., Qi, J., Liu, W., Du, W., & Li, M. (2025). Effects of Exogenous Plant Hormones on Agronomic Traits and Physiological Responses of Elymus sibiricus. Agriculture, 15(13), 1407. https://doi.org/10.3390/agriculture15131407

Note that from the first issue of 2016, this journal uses article numbers instead of page numbers. See further details here.

Article Metrics

Back to TopTop