Research on Spatial–Temporal Differences and Convergence Characteristics of Ecological Total Factor Productivity of Cultivated Land Use in China
Abstract
1. Introduction
2. Materials and Methods
2.1. Study Area
2.2. Methodology
2.2.1. EBM–GML Model
- EBM model
- 2.
- GML index
2.2.2. Spatial Mismatch Index
2.2.3. Dagum’s Gini Coefficient
2.2.4. Convergence Models
2.3. Indicator Selection and Data Sources
3. Results
3.1. Time-Series Characteristics of the ETFPCLU
3.2. Spatial Characteristics of the ETFPCLU
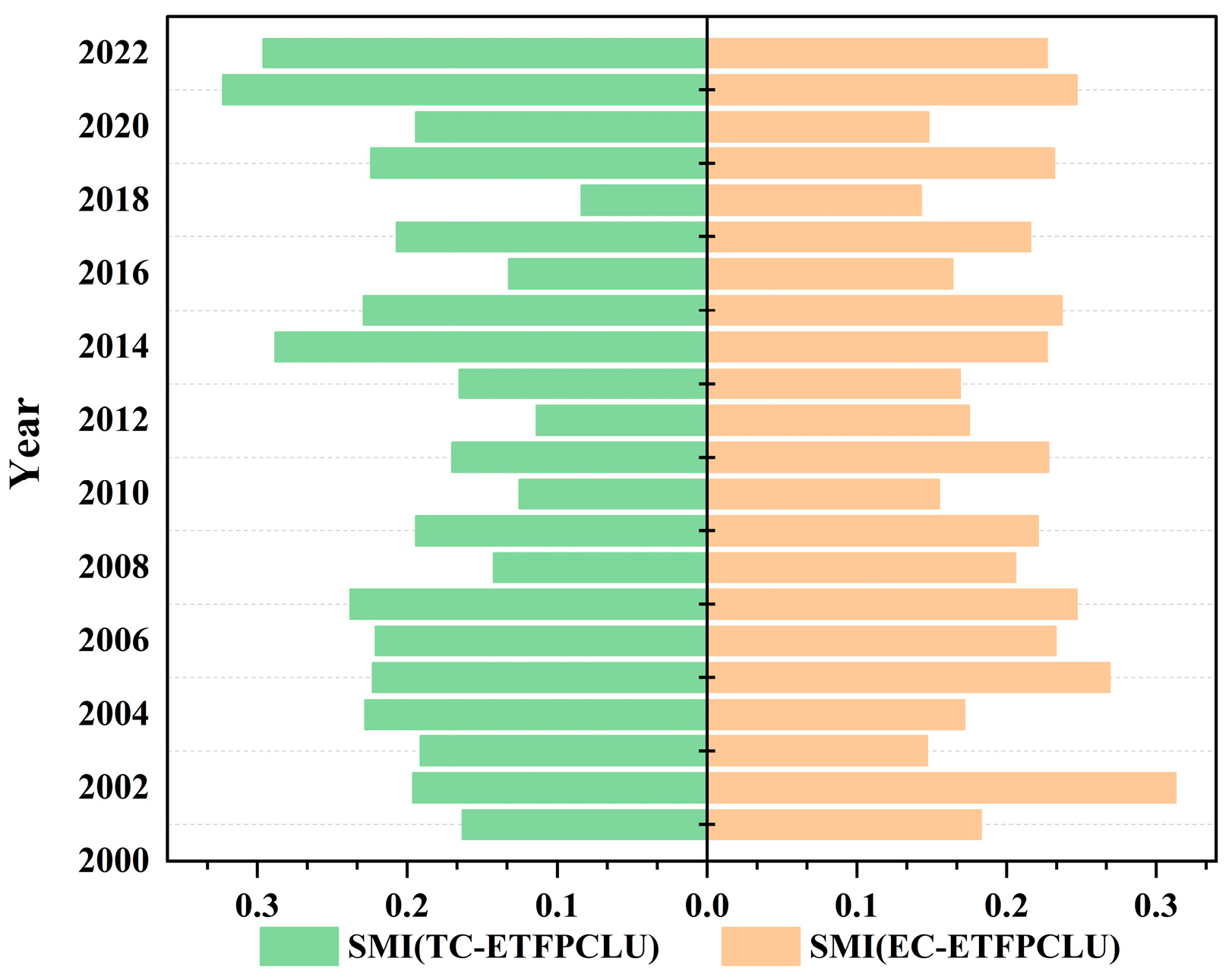
3.2.1. Analysis of Spatial Mismatch Patterns
3.2.2. Characterization of Regional Differences
3.3. Convergence Analysis of the ETFPCLU
3.3.1. σ-Convergence
3.3.2. β-Convergence
4. Discussion
5. Conclusions and Policy Recommendations
5.1. Conclusions
- (1)
- Regarding time-series characteristics, the Chinese ETFPCLU exhibited an overall growth trend during the sample period. This growth has primarily been driven by advancements in cultivated land ecological technology, with the contribution of ecological technical efficiency being relatively limited. Significant spatial imbalances exist in the ETFPCLU across China’s four major regions. In recent years, most provinces have demonstrated weak effective growth in the ETFPCLU, largely due to a reliance on a single-wheel drive mode of technical efficiency.
- (2)
- Regarding spatial characteristics, the distribution of China’s ETFPCLU resembles that of EC and TC. The regional gap in the ETFPCLU has generally narrowed over the sample period. Notably, the spatial mismatch between ETFPCLU and EC is predominantly a low-median mismatch type, while the spatial mismatch with TC indicates an increasing number of median-mismatch provinces and a decreasing number of low-mismatch provinces. Notably, with the exception of the eastern region, intra-regional disparities in ETFPCLU have been decreasing, and inter-regional differences in ETFPCLU across all regions exhibit a convergence trend. These inter-regional variations constitute the predominant driver of disparities between areas.
- (3)
- Regarding convergence characteristics, robust empirical evidence of σ-convergence in ETFPCLU is detected throughout China and its predominant regions over the analyzed timeframe, with findings empirically validating the coexistence of absolute and conditional β-convergence manifestations. The σ value of the ETFPCLU in China shows an ‘M’-shaped fluctuating and decreasing trend, reflecting a ‘catching-up effect’ of lagging provinces toward developed provinces. Overall, there is a tendency for the ETFPCLU to converge toward its own steady-state level across the country and within each province across the four regions.
5.2. Policy Recommendations
Author Contributions
Funding
Institutional Review Board Statement
Data Availability Statement
Conflicts of Interest
References
- Cai, Y.L.; Huo, Y.L. Reevaluating Cultivated Land in China: Method and Case Studies. Acta. Geogr. Sin. 2006, 10, 1084–1092. [Google Scholar]
- Yang, G.Q.; Sun, X.Y. China’s Land Consolidation Policies from the Perspective of Supply-demand and Resilience: Changes, Evolutive Logic and Policy Orientation. Rural. Econ. 2024, 3, 44–53. [Google Scholar]
- Qstheory.cn. Xi Jinping: Hold High the Great Banner of Socialism with Chinese Characteristics and Unite to Strive for the Comprehensive Construction of a Modern Socialist Country—Report at the 20th National Congress of the Communist Party of China. Available online: http://www.qstheory.cn/yaowen/2022-10/25/c_1129079926.htm (accessed on 16 October 2022).
- Xinhua News Agency. The Third National Land Resource Survey. Available online: https://www.gov.cn/xinwen/2021-08/26/content_5633497.htm (accessed on 26 August 2021).
- Ministry of Agriculture of the People’s Republic of China. Bulletin on the Quality Grades of Cultivated Land in China in 2019. Available online: http://www.ntjss.moa.gov.cn/zcfb/202006/P020200622573390595236.pdf (accessed on 6 May 2020).
- Zhang, B.Y.; Chen, T.L.; Wang, B. Effects of Long-term Uses of Chemical Fertilizers on Soil Quality. Chin. Agr. Sci. Bull. 2010, 26, 182–187. [Google Scholar]
- Kong, X.B.; Chen, W.G.; Dang, Y.X. Current Situation, Challenges and Transformation of Cultivated Land Protection in China. J. Soc. Sci. Hunan Norm. Univ. 2023, 52, 31–41. [Google Scholar]
- Nie, Y. Analysis of the Contribution of Cultivated Land to China’s Food Security. Economist 2015, 01, 83–93. [Google Scholar]
- Chen, Y.L.; Liu, Y. Market-based Allocation of Data Factors and Total Factor Productivity: Evidence from the Establishment of Data Trading Platforms. J. Zhongnan Univ. Econ. Law 2024, 6, 131–143. [Google Scholar] [CrossRef]
- Schaltegger, S.; Sturm, A. Ökologische rationalität: Ansatzpunkte zur ausgestaltung von ökologieorientierten managementinstrumenten. Die Unternehm. 1990, 44, 273–290. [Google Scholar]
- Yang, B.; Wang, Z.; Zou, L.; Zou, L.L.; Zhang, H.W. Exploring the eco-efficiency of cultivated land utilization and its influencing factors in China’s Yangtze River Economic Belt, 2001–2018. J. Environ. Manag. 2021, 294, 112939. [Google Scholar] [CrossRef]
- Reith, C.C.; Guidry, M.J. Eco-efficiency analysis of an agricultural research complex. J. Environ. Manag. 2003, 68, 219–229. [Google Scholar] [CrossRef]
- Cao, W.; Zhou, W.; Wu, T.; Wang, X.C.; Xu, J.H. Spatial-temporal characteristics of cultivated land use eco-efficiency under carbon constraints and its relationship with landscape pattern dynamics. Ecol. Indic. 2022, 141, 109140. [Google Scholar] [CrossRef]
- Coluccia, B.; Valente, D.; Fusco, G.; Leo, F.D.; Porrini, D. Assessing agricultural eco-efficiency in Italian Regions. Ecol. Indic. 2020, 116, 106483. [Google Scholar] [CrossRef]
- Fan, Y.; Ning, W.; Liang, X.; Wang, L.; Lv, L.; Li, Y.; Wang, J. Spatial—Temporal Characteristics and Influencing Factors of Eco-Efficiency of Cultivated Land Use in the Yangtze River Delta Region. Land 2024, 13, 219. [Google Scholar] [CrossRef]
- Li, S.; Mu, N.; Ren, Y.; Glauben, T. Spatiotemporal characteristics of cultivated land use eco-efficiency and its influencing factors in China from 2000 to 2020. J. Arid. Land 2024, 16, 396–414. [Google Scholar] [CrossRef]
- Barbosa, J.A.; Bragança, L.; Mateus, R. Assessment of land use efficiency using BSA tools: Development of a new index. J. Urban. Plan. Dev. 2015, 141, 04014020. [Google Scholar] [CrossRef]
- Ke, X.; Zhang, Y.; Zhou, T. Spatio-temporal characteristics and typical patterns of eco-efficiency of cultivated land use in the Yangtze River Economic Belt, China. J. Geogr. Sci. 2023, 33, 357–372. [Google Scholar] [CrossRef]
- Feng, L.; Lei, G.; Nie, Y. Exploring the eco-efficiency of cultivated land utilization and its influencing factors in black soil region of Northeast China under the goal of reducing non-point pollution and net carbon emission. Environ. Earth Sci. 2023, 82, 94. [Google Scholar] [CrossRef]
- Picazo-Tadeo, A.J.; Gómez-Limón, J.A.; Reig-Martínez, E. Assessing farming eco-efficiency: A data envelopment analysis approach. J. Environ. Manag. 2011, 92, 1154–1164. [Google Scholar] [CrossRef]
- Yin, Y.; Hou, X.; Liu, J.; Zhou, X.; Zhang, D.J. Detection and attribution of changes in cultivated land use ecological efficiency: A case study on Yangtze River Economic Belt, China. Ecol. Indic. 2022, 137, 108753. [Google Scholar] [CrossRef]
- Zhu, Q.; Liu, C.; Li, X.; Zhou, D.Q. The total factor carbon emission productivity in China’s industrial Sectors: An analysis based on the global Malmquist-Luenberger index. Sustain. Energy Technol. Assess. 2023, 56, 103094. [Google Scholar] [CrossRef]
- Yang, S.; Shen, J.; Deng, X.; Lu, K.; Liu, Z.R.; Cheng, B.Q. Digital economy revolutionizing green total factor productivity in construction industry. Technol. Forecast. Soc. Change 2024, 206, 123564. [Google Scholar] [CrossRef]
- Guo, Y.; Tong, L.; Mei, L. Spatiotemporal characteristics and influencing factors of agricultural eco-efficiency in Jilin agricultural production zone from a low carbon perspective. Environ. Sci. Pollut. Res. 2022, 29, 29854–29869. [Google Scholar] [CrossRef] [PubMed]
- Fan, Z.; Deng, C.; Fan, Y.; Zhang, P.W.; Lu, H. Spatial-temporal pattern and evolution trend of the cultivated land use eco-efficiency in the National Pilot Zone for ecological conservation in China. Int. J. Environ. Res. Public Health 2021, 19, 111. [Google Scholar] [CrossRef] [PubMed]
- Kuang, B.; Lu, X.; Zhou, M.; Chen, D.L. Provincial cultivated land use efficiency in China: Empirical analysis based on the SBM-DEA model with carbon emissions considered. Technol. Forecast. Soc. Change 2020, 151, 119874. [Google Scholar] [CrossRef]
- Liao, J.J.; Yu, C.Y.; Feng, Z.; Zhao, H.F.; Wu, K.N.; Ma, X.Y. Spatial differentiation characteristics and driving factors of agricultural eco-efficiency in Chinese provinces from the perspective of ecosystem services. J. Clean. Prod. 2021, 288, 125466. [Google Scholar] [CrossRef]
- Su, X.; Fan, Y.; Wen, C. Systematic coupling and multistage interactive response of the urban land use efficiency and ecological environment quality. J. Environ. Manag. 2024, 365, 121584. [Google Scholar] [CrossRef]
- Geng, Y.; Li, X.; Chen, J. Integration of land use resilience and efficiency in China: Analysis of spatial patterns, differential impacts on SDGs, and adaptive management strategies. Appl. Geogr. 2025, 175, 103490. [Google Scholar] [CrossRef]
- Wang, Y.; Yang, S.; Ahmad, F.; Chandio, A.A. Agricultural eco-efficiency and sustainable agricultural development influential factors and heterogeneities: Exclusive evidence from Chinese cities. Environ. Dev. Sustain. 2024, 1–25. [Google Scholar] [CrossRef]
- Hou, X.H.; Liu, J.M.; Zhang, D.J.; Zhao, M.J.; Xia, C.Y. Impact of urbanization on the eco-efficiency of cultivated land utilization: A case study on the Yangtze River Economic Belt, China. J. Clean. Prod. 2019, 238, 117916. [Google Scholar] [CrossRef]
- National Bureau of Statistics of the People’s Republic of China. The Classification Method of Eastern, Central and Northeastern Regions. Available online: https://www.stats.gov.cn/zt_18555/zthd/sjtjr/dejtjkfr/tjkp/202302/t20230216_1909741.htm (accessed on 13 June 2011).
- Wang, W.L.; Wang, J.L.; Wu, H.T. The impact of energy-consuming rights trading on green total factor productivity in the context of digital economy: Evidence from listed firms in China. Energy Econ. 2024, 131, 107342. [Google Scholar] [CrossRef]
- Zhai, X.Q.; Xue, R.; He, B.; Yang, D.; Pei, X.Y.; Li, X.; Shan, Y.L. Dynamic changes and convergence of China’s regional green productivity: A dynamic spatial econometric analysis. Adv. Clim. Change Res. 2022, 13, 266–278. [Google Scholar] [CrossRef]
- Tone, K.; Tsutsui, M. An epsilon-based measure of efficiency in DEA—A third pole of technical efficiency. Eur. J. Oper. Res. 2010, 207, 1554–1563. [Google Scholar] [CrossRef]
- Xia, W.; Ruan, Z.; Ma, S.; Zhao, J.; Yan, J.L. Can the digital economy enhance carbon emission efficiency? Evidence from 269 cities in China. Int. Rev. Econ. Financ. 2025, 97, 103815. [Google Scholar] [CrossRef]
- Oh, D. A global Malmquist-Luenberger productivity index. J. Prod. Anal. 2010, 34, 183–197. [Google Scholar] [CrossRef]
- Yan, J.; Jie, Q. Mechanisms of policy intervention for China’s transformation of the low-carbon economy. J. Clean. Prod. 2025, 487, 144550. [Google Scholar] [CrossRef]
- Martin, R.W. Spatial mismatch and the structure of American metropolitan areas, 1970–2000. J. Regional. Sci. 2004, 44, 467–488. [Google Scholar] [CrossRef]
- Feng, Y.; Lv, X.; Tian, Y.; Zhuo, L.; Xue, J.Y.; Chen, Y.L. A study on the spatial differences between the tourism network attention and tourism flow in Shanghai, China. Heliyon 2024, 10, e31990. [Google Scholar] [CrossRef]
- Dagum, C. A new approach to the decomposition of the Gini income inequality ratio. Empir. Econ. 1997, 22, 515–531. [Google Scholar] [CrossRef]
- Zhan, X.; Zhao, Y.; Zhang, H.; Long, Y.H.; Shao, C.F. Spatiotemporal variation and regional disparities analysis of county-level sustainable development in China. Sustain. Prod. Consum. 2025, 57, 1–15. [Google Scholar] [CrossRef]
- Zhao, P.Y.; Lu, Z.G.; Kou, J.L.; Du, J. Regional differences and convergence of green innovation efficiency in China. J. Environ. Manag. 2023, 325, 116618. [Google Scholar] [CrossRef]
- Tiwari, A.K.; Nasir, M.A.; Shahbaz, M.; Raheem, I.D. Convergence and club convergence of CO2 emissions at state levels: A nonlinear analysis of the USA. J. Clean. Prod. 2020, 288, 125093. [Google Scholar] [CrossRef]
- Xia, R.; Wei, D.Q.; Jiang, H.T.; Yi, D.; Luo, X.Y.; Yin, J. Research on the coordinated development and convergence characteristics of China’s urban competitiveness and green total factor productivity. Ecol. Indic. 2024, 161, 111954. [Google Scholar] [CrossRef]
- Bai, P.W.; Xu, J. Capital Stockand the Rate of Return to Capital in the Three Industries and the Convergence Hypothesis in China: 1978–2013. China. Econ. Q. 2018, 17, 1171–1206. [Google Scholar]
- Yang, Z.Y.; Peng, L.W.; Yan, Z.F. Dynamic Evolution and Convergence Analysis of Green Developmentlevel of Freshwater Aquaculture in China: From the Perspective of Green Total Factor Productivity. J. Agro. Econ. 2023, 12, 57–77. [Google Scholar]
- Chen, Y.F.; Hao, G.; Chen, M.H. What drives urban land green use efficiency in China: A global meta-frontier Malmquist Index approach. Ecol. Indic. 2025, 175, 113550. [Google Scholar] [CrossRef]
- Li, Z.Q.; Ye, W.J.; Jiang, H.Y.; Song, H.Q.; Zheng, C.W. Impact of the eco-efficiency of food production on the water–land–food system coordination in China: A discussion of the moderation effect of environmental regulation. Sci. Total Environ. 2023, 857, 159641. [Google Scholar] [CrossRef]
- He, P.; Zhang, J.; Li, W. The role of agricultural green production technologies in improving low-carbon efficiency in China: Necessary but not effective. J. Environ. Manag. 2021, 293, 112837. [Google Scholar] [CrossRef]
- Jin, B.Y.; Cui, C.; Wen, L.; Shi, R.; Zhao, M.J. Regional differences and convergence of agricultural carbon efficiency in China: Embodying carbon sink effect. Ecol. Indic. 2024, 169, 112929. [Google Scholar] [CrossRef]
- Huang, J.; Han, W.; Zhang, Z.F.; Ning, S.S.; Zhang, X.L. The decoupling relationship between land use efficiency and carbon emissions in China: An analysis using the Socio-Ecological Systems (SES) framework. Land Use Policy 2024, 138, 107055. [Google Scholar] [CrossRef]
- Sun, X.T.; Zhao, Y.; Wang, Z.H. Promotion Path of Agricultural Eco-Efficiency Under the Background of Low Carbon Pilot Policy. Pol. J. Environ. Stud. 2023, 32, 755–771. [Google Scholar] [CrossRef]
- Zhai, R.Z.; Lou, Z.H. Chinese agricultural output and TFP: 1661–2019. Econ. Lett. 2022, 213, 110415. [Google Scholar] [CrossRef]
- Nuruzzaman, M.; Md, M.B.; Ravi, N. Diffuse soil pollution from agriculture: Impacts and remediation. Sci. Total Environ. 2025, 962, 178398. [Google Scholar] [CrossRef] [PubMed]
- Liu, Y.; Zou, L.; Wang, Y. Spatial-temporal characteristics and influencing factors of agricultural eco-efficiency in China in recent 40 years. Land Use Policy 2020, 97, 104794. [Google Scholar] [CrossRef]
- Lv, T.G.; Fu, S.F.; Zhang, X.M.; Hu, H.; Zhang, Y.W. Spatiotemporal evolution and convergence of agricultural eco-efficiency in the middle reaches of the Yangtze River. Phys. Chem. Earth Parts A B C 2023, 131, 103438. [Google Scholar] [CrossRef]
- Han, Z.Y.; Meng, Y.L.; Xu, J.; Wu, Y.; Zhou, Z.G. Temporal and Spatial Difference in Carbon Footprint of Regional Farmland Ecosystem—Taking Jiangsu Province as a Case. J. Agro-Environ. Sci. 2012, 31, 1034–1041. [Google Scholar]
- Schneider, J.M.; Delzeit, R.; Neumann, C.; Heimann, T.; Seppelt, R.; Schuenemann, F.; Söder, M.; Mauser, W.; Zabel, F. Effects of profit-driven cropland expansion and conservation policies. Nat. Sustain. 2024, 7, 1335–1347. [Google Scholar] [CrossRef]
- Adu, J.T.; Kumarasamy, M.V. Assessing non-point source pollution models: A review. Pol. J. Environ. Stud. 2018, 27, 1913–1922. [Google Scholar] [CrossRef]
- Cheng, K.; Pan, G.; Smith, P.; Luo, T.; Li, L.Q.; Zheng, J.W.; Zhang, X.H.; Han, X.J.; Yan, M. Carbon footprint of China’s crop production—An estimation using agro-statistics data over 1993–2007. Agr. Ecosyst. Environ. 2011, 142, 231–237. [Google Scholar] [CrossRef]
- Johnson, J.M.F.; Franzluebbers, A.J.; Weyers, S.L.; Reicosky, D.C. Agricultural opportunities to mitigate greenhouse gas emissions. Environ. Pollut. 2007, 150, 107–124. [Google Scholar] [CrossRef]
- Yun, T.; Zhang, J.; He, Y. Research on spatial-temporal characteristics and driving factor of agricultural carbon emissions in China. J. Integr. Agr. 2014, 13, 1393–1403. [Google Scholar]
- Chen, Y.; Miao, J.; Zhu, Z. Measuring green total factor productivity of China’s agricultural sector: A three-stage SBM-DEA model with non-point source pollution and CO2 emissions. J. Clean. Prod. 2021, 318, 128543. [Google Scholar] [CrossRef]
- Liu, T.; Shang, X.F.; Su, Y.Y.; Huo, J.J. Green Utilization Efficiency, Convergence, and Influencing Factors of Cultivated Land in Lower Yellow River Under “Double Carbon” Target. Bull. Soil. Water. Conserv. 2023, 43, 291–299. [Google Scholar]
- Chen, X.; Tzeng, S.J.; Wang, D. Green Productivity growth in Chinese Agriculture Industry—A novel approach and its empirical verification. Econ. Anal. Policy 2025, 86, 2001–2018. [Google Scholar] [CrossRef]
- Fang, L.; Hu, R.; Mao, H.; Chen, S.J. How crop insurance influences agricultural green total factor productivity: Evidence from Chinese farmers. J. Clean. Prod. 2021, 321, 128977. [Google Scholar] [CrossRef]
- Jiang, Y.K.; Han, G.H.; Yu, D. Digital finance and agricultural green total factor productivity: The mediating role of digital village development. Financ. Res. Lett. 2024, 67, 105948. [Google Scholar] [CrossRef]
- Addo, F.; Klaus, S. Transient and persistent technical efficiency and its determinants: The case of crop farms in Austria. Appl. Econ. 2022, 54, 2916–2932. [Google Scholar] [CrossRef]
- Zhuang, W.; Wang, Y.; Lu, C.C.; Chen, X. The green total factor productivity and convergence in China. Energy. Sci. Eng. 2022, 10, 2794–2807. [Google Scholar] [CrossRef]
- Koiry, S.; Huang, W. Do ecological protection approaches affect total factor productivity change of cropland production in Sweden? Ecol. Econ. 2023, 209, 107829. [Google Scholar] [CrossRef]
- Yue, S.; Shen, Y.; Yuan, J. Sustainable total factor productivity growth for 55 states: An application of the new malmquist index considering ecological footprint and human development index. Resour. Conserv. Recycl. 2019, 146, 475–483. [Google Scholar] [CrossRef]
- Shah, S.M.; Liu, G.; Yang, Q.; Wang, X.Q.; Casazza, M.; Agostinho, F.; Lombardi, G.V.; Giannetti, B.F. Emergy-based valuation of agriculture ecosystem services and dis-services. J. Clean. Prod. 2019, 239, 118019. [Google Scholar] [CrossRef]
- Liu, J.; Jin, X.; Xu, W.Y.; Sun, R.; Han, B.; Yang, X.H.; Gu, Z.M.; Xu, C.L.; Sui, X.Y.; Zhou, Y.K. Influential factors and classification of cultivated land fragmentation, and implications for future land consolidation: A case study of Jiangsu Province in eastern China. Land Use Policy 2019, 88, 104185. [Google Scholar] [CrossRef]
- Li, X.; Wu, K.N.; Yang, Q.J.; Hao, S.H.; Feng, Z.; Ma, J.L. Quantitative assessment of cultivated land use intensity in Heilongjiang Province, China, 2001–2015. Land Use Policy 2023, 125, 106505. [Google Scholar] [CrossRef]
- Zhang, J.Y.; Yang, F.; Duan, N.; Zheng, B.H.; Xiong, S.W.; Xu, Y.M. Spatial transition and obstacle factor diagnosis based on the evaluation of the quality of arable land use in plain Lake Areas: A case study of the Dongting Lake region. Ecol. Indic. 2024, 169, 112881. [Google Scholar] [CrossRef]
- Luo, Y.S.; Lu, Z.N.; Salman, M.; Song, S.F. Impacts of heterogenous technological innovations on green productivity: An empirical study from 261 cities in China. J. Clean. Prod. 2022, 334, 130241. [Google Scholar] [CrossRef]
- Unay-Gailhard, İ.; Bojnec, Š. The impact of green economy measures on rural employment: Green jobs in farms. J. Clean. Prod. 2019, 208, 541–551. [Google Scholar] [CrossRef]
- Valenzuela, V.G.; Holl, A. Growth and decline in rural Spain: An exploratory analysis. Eur. Plan. Stud. 2024, 32, 430–453. [Google Scholar] [CrossRef]









| SMI | Positive | Negative |
|---|---|---|
| High Mismatch | SMI > 1 | SMI ≤ −1 |
| Medium Mismatch | 0.2 < SMI ≤ 1 | −1 < SMI ≤ −0.2 |
| Low Misalignment | 0 < SMI ≤ 0.2 | −0.2 < SMI ≤ 0 |
| Indicator | Variable | Variable Description | Unit |
|---|---|---|---|
| Input | Cultivated land inputs | Total sown area of crops | 103 hm2 |
| Labor inputs | Primary industry employees×(agricultural output value/agricultural, forestry, animal husbandry and fishery output value) | 104 person | |
| Machinery inputs | Total power of agricultural machinery | 104 kw | |
| Fertilizer inputs | Agricultural fertilizer application quantity | 104 tons | |
| Pesticide inputs | Pesticide usage | 104 tons | |
| Agricultural film inputs | Agricultural film usage | 104 tons | |
| Irrigation inputs | Effective irrigated area | 103 hm2 | |
| Energy inputs | Agricultural diesel usage | ton | |
| Desired output | Economic outputs | Gross agricultural output value | 108 yuan |
| Social outputs | Total food production | 104 tons | |
| Ecological outputs | Total carbon sinks on cultivated land | 104 tons | |
| Non-desired output | Carbon emissions from cultivated land | Total carbon emissions from cultivated land | 104 tons |
| Cultivated land non-point source pollution | Total non-point source pollution | 104 tons |
| Crop Variety n | Carbon Absorption Rate C | Economic Coefficient E | Moisture Content M |
|---|---|---|---|
| Rice | 0.414 | 0.45 | 0.12 |
| Wheat | 0.485 | 0.4 | 0.12 |
| Maize | 0.471 | 0.4 | 0.13 |
| Beans | 0.45 | 0.34 | 0.13 |
| Potatoes | 0.423 | 0.7 | 0.7 |
| Variable | National | East | Central | West | Northeast | |||||
|---|---|---|---|---|---|---|---|---|---|---|
| (1) | (2) | (3) | (4) | (5) | (6) | (7) | (8) | (9) | (10) | |
| β | −0.952 *** (0.029) | −1.145 *** (0.042) | −0.909 *** (0.029) | −1.145 *** (0.045) | −1.165 *** (0.094) | −1.332 *** (0.081) | −0.922 *** (0.014) | −1.131 *** (0.088) | −0.814 *** (0.074) | −1.185 *** (0.117) |
| α | 0.017 *** (0.002) | −0.041 ** (0.016) | 0.027 *** (0.005) | −0.068 ** (0.030) | −0.002 (0.010) | −0.077 *** (0.019) | 0.015 *** (0.002) | −0.034 (0.025) | 0.0002 (0.006) | 0.100 (0.041) |
| R2 | 0.408 | 0.590 | 0.261 | 0.623 | 0.434 | 0.780 | 0.431 | 0.595 | 0.170 | 0.872 |
| Number of Obs | 682 | 651 | 220 | 210 | 132 | 126 | 264 | 252 | 66 | 63 |
Disclaimer/Publisher’s Note: The statements, opinions and data contained in all publications are solely those of the individual author(s) and contributor(s) and not of MDPI and/or the editor(s). MDPI and/or the editor(s) disclaim responsibility for any injury to people or property resulting from any ideas, methods, instructions or products referred to in the content. |
© 2025 by the authors. Licensee MDPI, Basel, Switzerland. This article is an open access article distributed under the terms and conditions of the Creative Commons Attribution (CC BY) license (https://creativecommons.org/licenses/by/4.0/).
Share and Cite
Li, S.; Wu, Y.; Dai, G.; Chen, X. Research on Spatial–Temporal Differences and Convergence Characteristics of Ecological Total Factor Productivity of Cultivated Land Use in China. Agriculture 2025, 15, 1172. https://doi.org/10.3390/agriculture15111172
Li S, Wu Y, Dai G, Chen X. Research on Spatial–Temporal Differences and Convergence Characteristics of Ecological Total Factor Productivity of Cultivated Land Use in China. Agriculture. 2025; 15(11):1172. https://doi.org/10.3390/agriculture15111172
Chicago/Turabian StyleLi, Shanwei, Yongchang Wu, Guangxuan Dai, and Xueyuan Chen. 2025. "Research on Spatial–Temporal Differences and Convergence Characteristics of Ecological Total Factor Productivity of Cultivated Land Use in China" Agriculture 15, no. 11: 1172. https://doi.org/10.3390/agriculture15111172
APA StyleLi, S., Wu, Y., Dai, G., & Chen, X. (2025). Research on Spatial–Temporal Differences and Convergence Characteristics of Ecological Total Factor Productivity of Cultivated Land Use in China. Agriculture, 15(11), 1172. https://doi.org/10.3390/agriculture15111172

