Rooting Patterns and Aucubin Content in Plantago lanceolata
Abstract
1. Introduction
2. Materials and Methods
2.1. Experimental Sites
2.2. Root Sampling and Measurements
- Location Frick (Switzerland)
2.3. Collection of Leaf Samples and Aucubin Measurements of Leaves and Roots—Frick (Switzerland)
- Location: Struppen (Germany)
2.4. Statistical Analyses
3. Results
3.1. Total Leaf Dry Matter Yield
3.2. Morphometric Characteristics of the Roots of the Plantago lanceolata Genotypes Tested at Frick
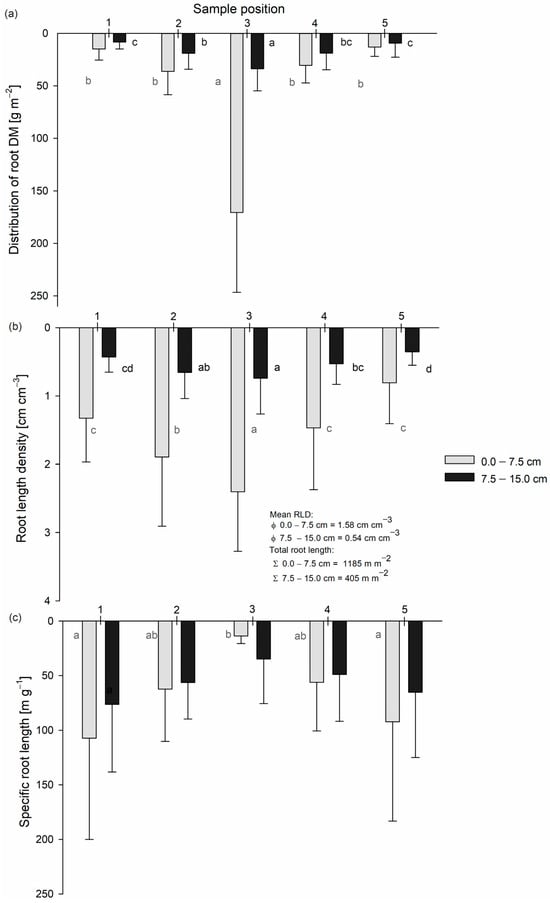
3.3. Rooting Depth and Root Length Density of Tested Genotype at Struppen
3.4. Aucubin Content in Leaves and Roots at Frick
4. Discussion
4.1. Leaf Yield
4.2. Root System Characteristics
4.3. Leaf and Root Aucubin Content
5. Conclusions
Author Contributions
Funding
Institutional Review Board Statement
Data Availability Statement
Acknowledgments
Conflicts of Interest
References
- Lyu, S.; Mei, Q.; Liu, H.; Wang, B.; Wang, J.; Lambers, H.; Wang, Z.; Dong, B.; Liu, Z.; Deng, S. Genome assembly of the pioneer species Plantago major L. (Plantaginaceae) provides insight into its global distribution and adaptation to metal-contaminated soil. DNA Res. 2023, 30, dsad013. [Google Scholar] [CrossRef]
- Latzel, V.; Janeček, Š.; Doležal, J.; Klimešová, J.; Bossdorf, O. Adaptive transgenerational plasticity in the perennial Plantago lanceolata. Oikos 2014, 123, 41–46. [Google Scholar] [CrossRef]
- Pol, M.; Schmidtke, K.; Lewandowska, S. Plantago lanceolata—An overview of its agronomically and healing valuable features. Open Agric. 2021, 6, 479–488. [Google Scholar] [CrossRef]
- Vi, C.; Kemp, P.D.; Saggar, S.; Navarrete, S.; Horne, D.J. Effective proportion of plantain (Plantago lanceolata L.) in mixed pastures for botanical stability and mitigating nitrous oxide emissions from cow urine patches. Agronomy 2023, 13, 1447. [Google Scholar] [CrossRef]
- Simon, P.L.; de Klein, C.A.M.; Worth, W.; Rutherford, A.J.; Dieckow, J. The efficacy of Plantago lanceolata for mitigating nitrous oxide emissions from cattle urine patches. Sci. Total Environ. 2019, 691, 430–441. [Google Scholar] [CrossRef]
- Peterson, M.E.; Fraser, P.M.; Curtin, D.; van Klink, J.W.; Joyce, N.I. Soil nitrification inhibition by urine of sheep consuming plantain (Plantago lanceolata). Biol. Fertil. Soils 2022, 58, 265–276. [Google Scholar] [CrossRef]
- Khan, M.; Mohammad, F. Eutrophication: Challenges and Solutions. In eutrophication: Causes, Consequences and Control; Ansari, A., Gill, S., Eds.; Springer: Dordrecht, The Netherlands, 2014; Chapter 1. [Google Scholar] [CrossRef]
- Pijlman, J.; Berger, S.J.; Lexmond, F.; Bloem, J.; van Groenigen, J.W.; Visser, E.J.W.; Erisman, J.W.; van Eekeren, N. Can the temperate forage herb plantain (Plantago lanceolata L.) decrease nitrous oxide emissions from grassland on peat soils? Grassl. Sci. Eur. 2020, 25, 538–540. [Google Scholar]
- Rauber, R.; Liebenau, S.; Friedrichs, E.; Schmidtke, K. Agronomic effects of underseeding ribwort plantain (Plantago lanceolata L.) in organically grown potatoes. Pflanzenbauwiss 2008, 12, 32–40. [Google Scholar]
- Barberon, M.; Geldner, N. radial transport of nutrients: The plant root as a polarized epithelium. Plant Physiol. 2014, 166, 528–537. [Google Scholar] [CrossRef] [PubMed]
- Vadez, V. Root hydraulics: The forgotten side of roots in drought adaptation. Field Crops Res. 2014, 165, 15–24, ISSN 0378-4290. [Google Scholar] [CrossRef]
- Earl-Goulet, S.; Talbot, W.D.; Cameron, K.C.; Di, H.J. Effects of plantain in pasture on nitrous oxide emissions from cattle urine patches, as affected by urine deposition timing and soil type. N. Z. J. Agric. Res. 2023, 66, 44–60. [Google Scholar] [CrossRef]
- Stewart, A.; Judson, G.; Bennett, S. Plantain forage herb, a New Zealand perspective. In Information Day 2019 Milk Production from Planted Pastures; [Internet]; Elsenburg: Western Cape, South Africa, 2019; p. 38. Available online: https://www.elsenburg.com/wp-content/uploads/2022/08/Information-Day-2019-Booklet.pdf (accessed on 8 August 2024).
- Luo, J.; Balvert, S.F.; Wise, B.; Welten, B.; Ledgard, S.F.; de Klein, C.A.M.; Lindsey, S.; Judge, A. Using alternative forage species to reduce emissions of the greenhouse gas nitrous oxide from cattle urine deposited onto soil. Sci. Total Environ. 2018, 1, 1271–1280. [Google Scholar] [CrossRef] [PubMed]
- Carlton, A.J.; Cameron, K.C.; Di, H.J.; Edwards, G.R.; Clough, T.J. Nitrate leaching losses are lower from ryegrass/white clover forages containing plantain than from ryegrass/white clover forages under different irrigation. N. Z. J. Agric. Res. 2018, 62, 150–172. [Google Scholar] [CrossRef]
- Sans, F.X.; Berner, A.; Armengot, L.; Mäder, P. Tillage effects on weed communities in an organic winter wheat–sunflower–spelt cropping sequence. Weed Res. 2011, 51, 413–421. [Google Scholar] [CrossRef]
- Sadowski, A. Uprawa ziół i Możliwości ich Wykorzystania; Wydawnictwo Uniwersytetu w Białymstoku: Białystok, Poland, 2013. [Google Scholar]
- Shahzad, Z.; Kellermeier, F.; Armstrong, E.M.; Rogers, S.; Lobet, G.; Amtmann, A.; Hills, A. EZ-Root-VIS—A software pipeline for the visual reconstruction of averaged root system architecture. Plant Physiol. 2018, 177, 1368–1381. [Google Scholar] [CrossRef]
- Weemstra, M.; Kiorapostolou, N.; van Ruijven, J.; Mommer, L.; de Vries, J.; Sterck, F. The role of fine-root mass, specific root length and life span in tree performance: A whole-tree exploration. Funct. Ecol. 2020, 34, 575–585. [Google Scholar] [CrossRef]
- Carvalho, P.; Foulkes, M.J. Roots and Uptake of Water and Nutrients. In Sustainable Food Production; Christou, P., Savin, R., Costa-Pierce, B.A., Misztal, I., Whitelaw, C.B.A., Eds.; Springer: New York, NY, USA, 2013. [Google Scholar] [CrossRef]
- Böhm, W. Profile Wall methods. In Methods of Studying Root Systems; Springer: Berlin/Heidelberg, Germany, 1979; pp. 48–60. [Google Scholar]
- Kołodziej, B. The effect of mineral fertilization on the yield of ribwort plantain (Plantago lanceolata L.). Acta Agrophys. 2006, 8, 637–647. [Google Scholar]
- Liu, L.; Gan, Y.; Bueckert, R.; Van Rees, K. Rooting systems of oilseed and pulse crops. II: Vertical distribution patterns across the soil profile. Field Crops Res. 2011, 122, 248–255. [Google Scholar] [CrossRef]
- Leuschner, C.; Gebel, S.; Rose, L. Root trait responses of six temperate grassland species to intensive mowing and NPK fertilisation: A field study in a temperate grassland. Plant Soil 2013, 373, 687–698. [Google Scholar] [CrossRef]
- Durand, J.-L.; Bariac, T.; Ghesquiere, M.; Brion, P.; Richard, P.; Humphreys, M.; Zwierzykowski, Z.; Biron, P. Ranking of the depth of water extraction by individual grass plants, using natural 18O isotope abundance. Environ. Exp. Bot. 2007, 60, 137–144. [Google Scholar] [CrossRef]
- Jacques, W.A. Root development in some common New Zealand pasture plants II. Perennial ryegrass (Lolium perenne), cocksfoot (Dactylis glomerata), and white clover (Trifolium repens). N. Z. J. Sci. Technol. 1943, A25, 91–117. [Google Scholar]
- Gibbs, R.J. Changes in Soil Structure under Different Cropping Systems. Ph.D. Thesis, University of Canterbury, Christchurch, New Zealand, 1986. [Google Scholar]
- McCallum, M.H.; Connor, D.J.; O’Leary, G.J. Water use by lucerne and effect on crops in the Victorian Wimmera. Aust. J. Agric. Res. 2001, 52, 193–201. [Google Scholar] [CrossRef]
- Hofer, D.; Suter, M.; Haughey, E.; Finn, J.A.; Hoekstra, N.J.; Buchmann, N.; Lüscher, A. Yield of temperate forage grassland species is either largely resistant or resilient to experimental summer drought. J. Appl. Ecol. 2016, 53, 1023–1032. [Google Scholar] [CrossRef]
- Gardiner, C.A.; Clough, T.; Cameron, K.C.; Di, H.J.; Edwards, G.R. Ruminant urine patch nitrification and N2O flux: Effects of urine aucubin rate in a laboratory trial. N. Z. J. Agric. Res. 2019, 63, 65–72. [Google Scholar] [CrossRef]
- Al-Marashdeh, O.; Cameron, K.; Hodge, S.; Gregorini, P.; Edwards, G. Integrating Plantain (Plantago lanceolata L.) and Italian Ryegrass (Lolium multiflorum Lam.) into New Zealand grazing dairy system: The effect on farm productivity, profitability, and nitrogen losses. Animals 2021, 11, 376. [Google Scholar] [CrossRef] [PubMed]
- Tamura, Y.; Nishibe, S. Changes in the concentrations of bioactive compounds in plantain leaves. J. Agric. Food Chem. 2002, 50, 2514–2518. [Google Scholar] [CrossRef] [PubMed]
- Grigore, A.; Bubueanu, C.; Pirvu, L.; Ionita, L.; Toba, G. Plantago lanceolata L. crops—Source of valuable raw material for various industrial applications. Sci. Pap. Ser. A Agron. 2015, 58, 207–214. [Google Scholar]
- European Medicine Agency. Assessment Report on Plantago lanceolata L., folium, Draft, Community Herbal Monograph on Plantago lanceolata L. 2010, Folium; European Medicine Agency: Amsterdam, The Netherlands, 2011. [Google Scholar]
- Miehe-Steier, A.; Roscher, C.; Reichelt, M.; Gershenzon, J.; Unsicker, S.B. Light and nutrient dependent responses in secondary metabolites of Plantago lanceolata Offspring Are Due to Phenotypic Plasticity in Experimental Grasslands. PLoS ONE 2015, 10, e0136073. [Google Scholar] [CrossRef]
- Waterman, P.G.; Mole, S. Extrinsic factors influencing production of secondary metabolites in plants. In Insect-Plant Interactions; Bernays, E.A., Ed.; CRC Press: Boca Raton, FL, USA, 1989; pp. 107–134. [Google Scholar]
- Briske, D.D.; Camp, B.J. Water stress increases alkaloid concentration in threadleaf groundsel (Senecio longilobus). Weed Sci. 1982, 30, 106–114. [Google Scholar] [CrossRef]
- Bowers, M.D.; Stamp, N.E. Chemical variation within and between individuals of Plantago lanceolata (Plantaginaceae). J. Chem. Ecol. 1992, 18, 985–995. [Google Scholar] [CrossRef]
- Lynn, S.; Adler, J.S.; Bowers, M.D. Genetic variation in defensive chemistry in Plantago lanceolata (Plantaginaceae) and its effect on the specialist herbivore Junonia coenia (Nymphalidae). Oecologia 1995, 101, 75–85. [Google Scholar]
- Klockars, G.K.; Bowers, M.D.; Cooney, B. Leaf variation in iridoid glycoside content of Plantago lanceolata (Plantaginaceae) and oviposition of the buckeye, Junonia coenia (Nymphalidae). Chemoecology 1993, 4, 72–78. [Google Scholar] [CrossRef]





| No. | Variety/Genotype Name | Origin of Seeds | Supplier | 1000 Seed Weight [g] |
|---|---|---|---|---|
| 1 | Lot: 14981a | Switzerland | Sativa Rheinau AG (Rheinau, Switzerland) | 2.92 |
| 2 | Lot: 90245 | Switzerland | Sativa Rheinau AG (Rheinau, Switzerland) | 2.40 |
| 3 | Lot: 21583a | Switzerland | Sativa Rheinau AG (Rheinau, Switzerland) | 2.63 |
| 4 | Genotype A | Poland | HerbFarm Edwin Lewczuk (Dawidy, Poland) | 1.39 |
| 5 | Genotype B | Poland | HerbFarm Edwin Lewczuk (Dawidy, Poland) | 1.58 |
| 6 | Genotype C | Poland | Agros S.C. (Okonek, Poland) | 1.16 |
| 7 | Libor | Czech Republic | PHARMASAAT Arznei- und Gewürzpflanzen Saatzucht GmbH (Artern, Germany) | 2.57 |
| 8 | BIO | Germany | PHARMASAAT Arznei- und Gewürzpflanzen Saatzucht GmbH (Artern, Germany) | 2.35 |
| 9 | Boston | New Zealand | Norwest Seed (Ashburton, New Zealand) | 1.35 |
| 10 | Tonic | New Zealand | PGG Wrightson Seeds Limited (Christchurch, New Zealand) | 2.07 |
Disclaimer/Publisher’s Note: The statements, opinions and data contained in all publications are solely those of the individual author(s) and contributor(s) and not of MDPI and/or the editor(s). MDPI and/or the editor(s) disclaim responsibility for any injury to people or property resulting from any ideas, methods, instructions or products referred to in the content. |
© 2024 by the authors. Licensee MDPI, Basel, Switzerland. This article is an open access article distributed under the terms and conditions of the Creative Commons Attribution (CC BY) license (https://creativecommons.org/licenses/by/4.0/).
Share and Cite
Pol, M.; Potterat, O.; Tröber, F.; Lewandowska, S.; Schmidtke, K. Rooting Patterns and Aucubin Content in Plantago lanceolata. Agriculture 2024, 14, 1352. https://doi.org/10.3390/agriculture14081352
Pol M, Potterat O, Tröber F, Lewandowska S, Schmidtke K. Rooting Patterns and Aucubin Content in Plantago lanceolata. Agriculture. 2024; 14(8):1352. https://doi.org/10.3390/agriculture14081352
Chicago/Turabian StylePol, Michal, Olivier Potterat, Florian Tröber, Sylwia Lewandowska, and Knut Schmidtke. 2024. "Rooting Patterns and Aucubin Content in Plantago lanceolata" Agriculture 14, no. 8: 1352. https://doi.org/10.3390/agriculture14081352
APA StylePol, M., Potterat, O., Tröber, F., Lewandowska, S., & Schmidtke, K. (2024). Rooting Patterns and Aucubin Content in Plantago lanceolata. Agriculture, 14(8), 1352. https://doi.org/10.3390/agriculture14081352

