Next Article in Journal
Genome-Wide Identification and Expression Analysis of the Broad-Complex, Tramtrack, and Bric-à-Brac Domain-Containing Protein Gene Family in Potato
Previous Article in Journal
Bacterial Endophytes and Their Contributions to Alleviating Drought and Salinity Stresses in Wheat: A Systematic Review of Physiological Mechanisms
 
 
Font Type:
Arial Georgia Verdana
Font Size:
Aa Aa Aa
Line Spacing:
Column Width:
Background:
Article

Climate Change Risks for the Mediterranean Agri-Food Sector: The Case of Greece

1
Institute for Environmental Research & Sustainable Development, National Observatory of Athens, I. Metaxa & Vas. Pavlou, GR-15236 Palea Penteli, Greece
2
FACE3TS S.A., Agiou Isidorou 1, GR-11471 Athens, Greece
3
RethinkAg S.P., Eirinis 81, Agia Paraskevi, GR-15341 Attiki, Greece
4
Department of Management Science & Technology, Hellenic Mediterranean University, P.O. Box 128, GR-72100 Agios Nikolaos Crete, Greece
5
Laboratory of Animal Breeding & Husbandry, Department of Animal Science, School of Animal Sciences, Agricultural University of Athens, 75, Iera Odos Str., GR-11855 Athens, Greece
6
Accel Ltd., Chrisostomou Smirnis 27, Imittos, GR-17237 Athens, Greece
*
Author to whom correspondence should be addressed.
Agriculture 2024, 14(5), 770; https://doi.org/10.3390/agriculture14050770
Submission received: 29 April 2024 / Revised: 14 May 2024 / Accepted: 15 May 2024 / Published: 16 May 2024
(This article belongs to the Special Issue Mediterranean Agriculture under Climate Change)

Abstract

The study assesses the direct effects of climate change by 2060, including extreme events, on the productivity of regional crop farming and livestock in Greece, and the broader socio-economic effects on the agri-food and other sectors. Different approaches (i.e., agronomic models, statistical regression models, and equations linking thermal stress to livestock output) were combined to estimate the effects on productivity from changes in the average values of climatic parameters, and subsequently the direct economic effects from this long-term climate change. Recorded damages from extreme events together with climatic thresholds per event and crop were combined to estimate the direct economic effects of these extremes. The broader socio-economic effects were then estimated through input–output analysis. Under average levels of future extreme events, the total direct economic losses for Greek agriculture due to climate change will be significant, from EUR 437 million/year to EUR 1 billion/year. These losses approximately double when indirect effects on other sectors using agricultural products as inputs (e.g., food and beverage, hotels, and restaurants) are considered, and escalate further under a tenfold impact of extreme events. Losses in the GDP and employment are moderate at the national level, but significant in regions where the contribution of agriculture is high.

1. Introduction

The agri-food sector is one of the most important economic sectors where climate change can have a major impact. In crop farming, the change in climatic conditions (temperatures, rainfall, etc.) directly affects the development of crops and consequently their yields and product quality, with consequences on the income of farmers and the availability of food [1]. Climate change impacts are also felt in livestock farming, both directly through thermal stress of animals and related changes in their health, physiology, and productivity, as well as indirectly through changes in the availability of feed crops and water and in the activity of pathogens, which both affect livestock productivity and consequently the income of livestock farmers and workers [1,2,3]. Furthermore, all these impacts affect other sectors of the economy that depend on agriculture and livestock products, such as food and beverage production, wholesale and retail trade of agricultural products, and tertiary sector services using these products as inputs (e.g., hotels and restaurants) [4,5].
These risks from climate change are even more prominent in southern Europe and the Mediterranean region where, according to the recent findings of the 6th Assessment Report of the Intergovernmental Panel on Climate Change (IPCC) [6,7], a considerable further increase in ambient temperatures and of the duration and intensity of heatwaves and drought are expected. In addition, agriculture and livestock represent important sources of income for many local economies in this geographical area, and thus any adverse climate change impacts can significantly threaten economic development and prosperity. Thus, a comprehensive assessment of climate change risks, including economic implications, is particularly important for the planning of efficient adaptation actions.
Greece, a southern European country located within the Mediterranean basin, represents a very interesting case for studying the direct and indirect effects of climate change on the agri-food sector, since its economy highly depends on agriculture. According to the data from the Hellenic Statistical Authority (ELSTAT), the crop farming–livestock–forestry–fishing sector produced 4.5% of the Greek Gross Value Added (GVA) in 2022, while its participation in some prefectures of the country is much higher and reaches 16–25% of the GVA. Therefore, any future reductions in crop yields and livestock productivity can have significant adverse effects on local economies and development.
To date, studies with quantitative estimates of the effects of climate change on agricultural activities in Greece, covering a wide range of crop cultivations, different geographical locations, and economic implications, are scarce. A study at the national level carried out by the Bank of Greece (2011) [8] provided semi- quantitative estimates (i.e., by order of magnitude) of changes in future crops in various Greek regions. However, these estimates were based mostly on findings from published regional assessments outside Greece and only to a very limited extent on impact assessment models adapted to Greek conditions. Furthermore, its projections derived from climate change scenarios which are no longer used in regional impact assessments. Giannakopoulos et al. (2011) [9] examined how climate indices with relevance to crop farming are expected to change in different Greek regions under the future climate but did not quantitatively assess the effect of these changes on crop yields, while also utilizing climate change scenarios that are no longer in use. Georgopoulou et al. (2017) [10] quantitatively estimated the effect of climate change on the yield of different crops in various Greek regions under different Representative Concentration Pathways (RCPs) scenarios of climate change, as well as the direct expected impacts on the farmers’ income, but did not assess the risks for many important cultivations (e.g., trees other than olive, orange, and peach trees, or fodder plants). Other studies are even more restricted in scope, covering only some Greek regions [11,12] and/or crops [13,14,15,16,17,18,19,20,21]. Also, all these past studies did not assess climate change risks for livestock.
Furthermore, all the above past studies did not assess the broader economic consequences for Greek regions and the national economy from the reduction in production in crop farming and livestock because of climate change. This knowledge gap is important, as many recent studies that examined such consequences at the national or global level have demonstrated a significant potential for large declines in welfare [22,23,24,25]. Another major gap of knowledge also exists with respect to the potential social consequences (e.g., changes in employment) in Greece from direct climate change effects on crop farming and livestock activities. As these and the whole agri-food chain are very important to the country’s economic system, such socio-economic consequences need to be assessed.
Our paper aims to address the above-mentioned critical knowledge gaps and to generate new knowledge to assist the development of future adaptation policies and measures. This general aim is accomplished through the combination of different methodological pathways with a clear added value. First, it is accomplished by quantitatively assessing the potential effects of climate change on the production of all major crop cultivations and livestock products, and in all Greek regions where these activities take place. Second, it is accomplished by examining the risks for these activities not only from long-term changes in climate conditions (e.g., increase in temperature, changes in rainfall, etc.) but also from changes in the frequency and intensity of extreme weather events. Third, it is accomplished by assessing not only the direct economic effects of climate change on the production value of crop farming and livestock, but also by assessing the broader consequences of these changes on regional and national output and employment. Fourth, it is accomplished by generating quantitative impact estimates through models and analytical tools ‘tailored’ to geographical characteristics, agricultural practices, and economic conditions in different regions in Greece, capturing in this way the regional and local dimensions of climate change risks. And, finally, it is accomplished by utilizing the most recent available climate projections for the Greek territory, covering also a sufficiently wide range of future climate change scenarios.
In the following sections, the paper presents the proposed risk assessment methodology, followed by the relevant results obtained and a subsequent discussion and conclusion.

2. Materials and Methods

2.1. Study Area

Climate change risks for crop cultivation and livestock activities were assessed for each of the 13 administrative regions in Greece (see Figure 1, where each region comprises a specific number of prefectures, whose boundaries are also schematically shown), covering the total country area.
It should be noted that statistical data provided by ELSTAT on cultivated areas and production volumes per crop, as well as on animal population and production of meat and dairy products, are reported at the prefecture level. However, the total number of prefectures is too large to carry out individual crop/livestock model simulations at this level, while production from these activities in some prefectures is very low. Therefore, the assessment of climate change risks and their economic and social implications in the context of this study was carried out at the level of administrative regions. To this end, statistical data from the prefectures of each region (e.g., on cultivated areas and crop production) were aggregated accordingly and used in model simulations. Within each region, a ‘dominant prefecture’ in terms of production per crop, meat, and dairy products was identified based on the most recent production data from ELSTAT, and the climate data of each ‘dominant prefecture’ per region were utilized to drive the relevant regional risk assessments.

2.2. Climate Simulations and Indicators

To assess the potential effects of future climate change on crop farming and livestock and the whole agri-food chain, climatic data for future years with a sufficiently high spatial and temporal resolution were used. The processing of these future climatic data provided various primary and secondary climate indices which describe both the evolution over time of primary meteorological parameters (e.g., mean, maximum, and minimum daily air temperature, average daily solar radiation, total daily precipitation, etc.) and the frequency and intensity of extreme weather events.
Daily climatic data estimates were derived from a wide set of climate simulations within the ‘Coordinated Downscaling Experiment - European Domain’ (EURO-CORDEX) research program [26]. Specifically, the results of five climate simulations were used (Table 1), combining three regional climate models with three global climate models. The horizontal analysis of the regional climate models is 0.11° (about 10 km).
Three time periods are covered by simulation data, namely the 1986–2005 period, used as the historical climate reference period, and two future periods (2021–2040 and 2041–2060). The choice of 1986–2005 to constitute the historical period was made to take into account in the simulations the climate change that has already occurred. Also, three RCPs scenarios for the evolution of greenhouse gas emissions (GHG) emissions are covered, namely RCP2.6, RCP4.5 and RCP8.5, to capture different levels of future climate change.
The parameters used as input for the models and equations that simulate the effects of climatic conditions on crops and livestock are the air temperature (average, minimum, and maximum), precipitation, solar radiation, and relative humidity, at a daily and/or monthly time step calculated at a representative location within each region for both the historical and future climate periods. For each region and crop, this representative location was assumed to be the capital of the prefecture with the largest amount of the crop production in the year 2019 (i.e., the most recent year for which detailed official production data from ELSTAT are available).
The production of crop farming and livestock is affected not only by long-term changes in the average values of climate parameters but also by changes in the frequency of occurrence and the intensity of extreme weather and climate events. In the context of this study, a distinct approach was followed to estimate the economic risks from such extremes, as simulation models for climate risk assessment use mostly average values of climatic parameters which reflect in a very limited way the occurrence of such events. The type of extremes considered are shown in Table 2, where one or more climatic indicators were assigned to each of these events to capture how weather conditions affect the probability/frequency of occurrence and the magnitude of these phenomena.
The values of these indicators for the historical climate reference period, as derived from the statistical processing of climate simulation data, were then related to historical damage data records, with the resulting relationships being subsequently utilized to assess the economic implications from these events under the future climate.

2.3. Assessment of Potential Effects on Crop Yields due to Long-Term Climate Change

Crop simulation models integrating local climate data, cultivation practices, properties of hybrids/varieties of cultivated plants, and other local characteristics, were used to assess the effects of long-term climate change on crop yields. As there is no numerical model covering all crops, different modelling approaches were followed:
  • For most annual crops (cereals, vegetables, cotton, rice, etc.), the assessment was carried out by means of the Decision Support System for Agrotechnology Transfer (DSSAT, Ver 4.8.0.027, DSSAT Foundation, Gainesville, FL, USA) [27], which comprises a set of crop growth simulation (agronomic) models. The tool was adapted as much as possible to Greek conditions and was calibrated based on historical crop yield data at the regional level (see Section 2.3.1).
  • For crops not included yet in the DSSAT (mainly perennial and arboreal crops), the assessment was carried out through statistical multi-variable regression models where regional crop yields are linked to local climatic parameters [10]. In the context of this study, new statistical models were developed for all major crops cultivated in the various Greek regions (see Section 2.3.2).
  • In viticulture, the assessment was carried out using the Agricultural Production Systems Simulator software tool (APSIM, Ver. 7.10, APSIM initiative, Queensland, AU) [28], which comprises a grape growth model that was adapted and applied for the first time to Greek vines (see Section 2.3.3).
As the risk assessment in this study covers 13 regions and 35 crops in total, regions with a low share in the national production of each crop were excluded from further analysis to avoid unnecessary numerical effort. The modelling approach per crop and the percentage of the national production finally covered (based on production data for the year 2019) are shown in Figure 2.

2.3.1. Crop Simulation Using the DSSAT Tool

The DSSAT Ver 4.8.0.027 [29] was used to simulate the effects of climate change on the growth of basic annual crops. Apart from daily values of climate parameters (maximum and minimum temperatures, rainfall, and solar radiation), the DSSAT requires input data on soil characteristics, irrigation, fertilization, and other agricultural practices per crop, as well as hybrids/varieties used with their characteristics. The following adjustments to the models’ inputs were made to incorporate as much as possible Greek conditions and practices:
(a)
Integration of types of Greek soils. Data from measurements of soil samples from different agricultural regions in Greece were collected from the European Soil Database v2.0, the only harmonized soil database for Europe. The soil analytical properties resulting from these measurements suitably cover main soil parameters required by the DSSAT (e.g., % clay/silt/sand, % carbon, % nitrogen, water content, etc., for each type of soil and at different soil depths). Based on these data, 14 types of Greek agricultural soils were identified and used in the crop simulations under the historical and future climate.
(b)
Introduction of cultivars used in Greece. The model’s input files were enriched with hybrids/varieties cultivated in Greece. For this purpose, data from market research were collected, together with data from the literature on the physiological behavior of cultivars (as expressed by their genetic coefficients), which are required to simulate the growth cycle of the crop in the context of the individual DSSAT agronomic models. In addition, where necessary, some coefficient adjustments were made in the light of the simulation results under the historical climate vis à vis field and market data on the characteristics of specific cultivars (e.g., flowering and harvest dates, plant life cycle duration, fruit weight in harvest, etc.). In cases where it was not possible to add cultivars that are used in Greece due to a lack of physiological data, an effort was made to use those cultivars from the DSSAT library whose growth cycle—as it emerged from the simulations carried out under the historical climate—was consistent with those observed in Greece.
(c)
Introduction of regional agricultural practices. The relevant input files for each crop were modified to better integrate the basic practices in Greece regarding sowing (e.g., planting dates, soil depth, row spacing/density), irrigation (frequency, method, and water quantity applied), fertilization (application dates, fertilizer type, and nutrients’ quantities), field preparation, and harvesting. Where necessary, practices were diversified per region to account for factors such as regional climatic conditions affecting sowing dates and irrigation requirements. Also, for crops where more than one major agricultural practice is in place (e.g., irrigated/dry cotton), separate simulations for each practice were performed.
(d)
Formulation of regional climate datasets.
Climatic parameter values (mean, mean maximum, and mean minimum temperature, rainfall, and solar radiation) for the representative locations per region and crop and for the three time periods considered were extracted from the climate simulation datasets mentioned in Section 2.2.
Before assessing the potential effects of future climatic conditions on crop yields, the DSSAT tool was calibrated based on the yields of the period of 2011–2019, which better reflect the present farming practices. To this end, area production data available in the database of ELSTAT for the agriculture–livestock–fisheries sector were collected and processed. The calibration utilized climate simulation data each year of the historical climate reference period, and crop simulations covered different combinations of cultivars and soil types per region. Only those combinations whose calculated deviations between the simulated crop yields and the observed yields in 2011–2019 were in the interval [−15%, +15%] were retained in the subsequent steps of risk assessment. The average (i.e., across all years, cultivars, and soil types) deviations of these retained combinations are shown in Table 3.
The calibration outcome was considered satisfactory, since most cases in Table 3 have an average deviation of ±10%, despite variations in the climatic conditions within the 20-year historical climate reference period.
Next, for each of the climate simulations and year of the future 20-year periods, the DSSAT tool was fed with the daily values of the required climate parameters (maximum and minimum temperature, precipitation, and solar radiation). Furthermore, crop yield simulations ran for each cultivar–soil type combination that had been retained at the end of the calibration process. Therefore, a total of more than 900 simulations (i.e., 3 × 20 years × 3 RCP scenarios × 5 climate simulations × N combinations of hybrid/variety-soil type) per crop and region were carried out. Due to the very large amount of input and output data, a special algorithm in the Python programming language was developed to handle them. As a particular approach was applied to assess the impacts of extreme events on crops, any extremely low values of simulated future crop yields were excluded to avoid double counting with extreme events. Then, for each crop in each region and for each climate simulation and RCP scenario, we calculated the average crop yield per each of the 20-year period and then the percentage change in each future period relative to the historical climate reference period. Finally, those percentage changes were averaged across the climate simulations, resulting in the final estimate of crop yield change per crop and region under each RCP and future period.

2.3.2. Crop Simulation Using Statistical Models

Statistical multi-variable regression models linking crop yields (dependent variable) with statistically significant climatic parameters (independent variables) were developed for each crop and region of Figure 2.
To this end, historical data on cultivated areas and annual production per crop and region for the period of 1980–2019 were collected (for 1980–2006 they derived from the corresponding ELSTAT Annual Agricultural Statistics reports and for the remaining years from the ELSTAT database for agriculture, livestock, and fisheries). Furthermore, monthly climate data (average, maximum and minimum air temperature, and rainfall) for the above-mentioned period were collected from different sources, namely (a) the free Climate Data Online datasets of the USA National Oceanic and Atmospheric Administration (NOAA), (b) the Europe-wide E-OBS Ensemble dataset [30] (i.e., the daily gridded observational dataset for precipitation, temperature and sea level pressure in Europe developed in the context of the ENSEMBLES project which was funded by the European Commission) that is freely available from the European Climate Assessment & Dataset (ECA&D), and (c) the climate datasets of the National Weather Service of Greece. For each Greek region, data from the meteorological station at the ‘dominant’ prefecture (or close to this prefecture) were used.
Also, for each crop, a detailed record of main agricultural practices (e.g., planting and harvest dates) and the characteristics of the crop varieties was developed, based on input from field experts and open access online information. These records, together with the outcome of the statistical analysis, supported the identification of statistically significant climatic variables per crop and region.
The developed statistical models are summarized in Table S1 (Supplementary Material). Overall, the performance of the models is very good, with the vast majority (77%) of them having a R2 value equal to or greater than 0.7, with all of them having a significance F value less than 0.05, and most of them having a significance F value less than 0.001.
Next, the models’ equations for each crop and region were fed with the average monthly values of the relevant climate parameters for each climate simulation (m1–m5 in Table 1 above), with each year of the 20-year time periods considered (i.e., the historical climate reference period of 1986–2005, and the two future time periods of 2021–2040 and 2041–2060), and each RCP scenario. Again, any extremely low values of simulated future crop yields were excluded from further risk assessment to avoid double counting. Then, average crop yield percentage changes between the historical climate reference period and the future periods were calculated as in the case of crop simulation through the DSSAT tool.

2.3.3. Crop Simulation Using the APSIM Tool

The APSIM (Agricultural Production Systems sIMulator) simulation model [31] is a tool developed to address the challenges in the areas of food safety, adaptation, and mitigation of climate change and greenhouse gas emissions. APSIM has the form of an integrated software model/platform, combining the economic and ecological results of agricultural practices and seeking to predict the impact of climate risk. In the context of this study, the model was calibrated for the Sauvignon Blanc variety (which is widely cultivated in Greece) in two representative wine-producing locations in northern and southern Greece, namely Drama in the region of Eastern Macedonia and Thrace and Corinth in the region of Peloponnese, respectively, to test the model in both agroclimatic zones. For the parameterization of the model, the data published by ELSTAT on annual grape production and cultivated areas during the period of 2011–2019 were used. Two climate simulations (i.e., m4 and m5) were selected out of the five in Table 1, as they were the ones which led to a lower standard deviation of vine yields, compared to the average of the observed values during 2011–2019. Next, a process like the one in the case of the DSSAT crop simulation was followed to estimate the future grape yields per region and the relevant changes from the historical climate reference period.

2.4. Assessment of Potential Effects on Livestock Productivity Due to Long-Term Climate Change

Climate change has both direct and indirect impacts on livestock. Climate conditions directly affect animal thermoregulation, metabolism, immune system function, and production traits, and indirectly through the effect of climate on pastures, forage production, water availability, and pest/pathogen populations [32]. Regarding direct effects, temperature is the climatic factor mostly affecting animal health and productivity, as, above a temperature threshold, animals suffer from heat stress, which can lead to a reduction in feed intake, milk/meat/egg production, and reproductive performance, as well as changes in the mortality rate and in immune system function [33]. Our study focused on the direct effects of climate change on livestock.
The degree of thermal stress in productive animals was evaluated by using the Temperature–Humidity Index (THI). For cattle (dairy, meat), dairy goats, pigs, and hens (egg, meat), the THI was calculated using the equation proposed by Ravagnolo et al. (2000) [34], which is considered the most suitable for regions with a subtropical climate such as the Mediterranean one [35], as follows:
T H I = 1.8 × T + 32 0.55 0.0055 × R H 1.8 × T 26
where T denotes the temperature (°C) and RH denotes the relative humidity (%).
For dairy sheep, the THI was calculated using the following equation suggested for Mediterranean regions [36,37]:
T H I = T 0.55 0.55 × R H T 14.4
The effects on milk production of dairy animals due to heat stress were estimated by equations which were proposed in the literature [36,38,39]:
cows:   M I L K C = 0.0695 × T H I m a x T H I T H R E S H O L D 2 × D
sheep:   M I L K S = 0.039 × T H I T H I T H R E S H O L D
goats:   M I L K G = 0.0336 × T H I + 5.3539
where MILKC, MILKS, and MILKG denote the change in milk production (kg/animal/day for cows and sheep, lt/animal/day for goats), THImax denotes the maximum THI during a day, THITHRESHOLD denotes the THI limit above which stress occurs (72 for cows, 23 for sheep, and 61 for goats), and D denotes the % of the day where THI > THITHRESHOLD.
Regarding meat production, the effects of heat stress on the daily intake of dry matter and the daily body weight loss of animals were calculated by the equations proposed by St-Pierre et al. (2003) [38]:
cattle:   G A I N C = 1.36 × 0.064 × T H I L O A D 100
pigs:   G A I N P = 0.00154 × T H I L O A D
hens:   G A I N H = 0.11 × T H I L O A D 168
where GAINC, GAINP, and GAINH denote a change in weight gain (kg/animal/day), THILOAD denotes the sum of THI above THITHRESHOLD and THITHRESHOLD is 72 for cattle, 78 for hens and 72 for pigs.
For hens’ eggs, the effects of heat stress on the dry matter intake and the egg production were estimated by the following equations [38]:
E G G = 0.048 0.8 0.00034 × T H I L O A D × 0.06 0.0000123 × T H I L O A D
where EGG denotes the change in egg production (kg/hen/day), and THITHRESHOLD is 70.
In the above equations, any changes in the animal population caused by exogenous factors such as extreme weather events or diseases that may lead to a reduction in production or the livestock itself are not included. Effects from changes in the animal populations due to extreme events were indirectly assessed through the approach for extreme events (see Section 2.5.2).

2.5. Assessment of the Socio-Economic Consequences of Climate Change

2.5.1. Estimation of Direct Economic Effects Due to Long-Term Climate Change

Future changes in crop yields and livestock productivity will directly affect the production value of crop farming and livestock activities and, consequently, the income of farmers. As the projection of future agricultural prices is a complicated task requiring, in many cases, a global scale analysis, in this study it is assumed that the future prices of agricultural products will remain at present levels.
To estimate the future changes in the production value of crop farming as a result of climate change, the projected crop yield changes, with respect to the historical climate reference period (in Section 2.3), were combined with crop production data for the most recent year available (i.e., 2019), the selling prices of crop products, and the purchase prices of the means of agricultural production (in the case of some fodder plants) both available for Greece from Eurostat. In the case of some products considered in this study which are not included in the Eurostat databases (e.g., alfalfa and raisins), wholesale prices from the Greek market were used. As prices fluctuate from year to year, average prices for the period of 2012–2022 were used in the calculations.
The estimation of future changes in the production value of livestock farming was undertaken by combining the estimated changes in climate parameters affecting livestock productivity, the productivity equations of Section 2.4, the number of animals, and the quantities of livestock products per region in the most recent year available (2021), and the selling prices of basic livestock products in Greece as available from Eurostat.

2.5.2. Estimation of Direct Economic Effects Due to Extreme Weather and Climate Events

First, data on annual damages (in EUR) from extreme weather events during the period of 2006–2021 that were compensated for by the Hellenic Organization of Agricultural Insurances (ELGA) were collected. It is noted that insurance from ELGA of all persons and legal entities who have full ownership or exploit agricultural holdings in Greece is compulsory, and thus the ELGA damage records on extreme weather events are the most comprehensive available. As the share of livestock in annual damages proved to be very small in all years of the examined 15-year period, the assessment was limited to damages on crop cultivation.
Based on the ELGA damage data, the types of crops that are most frequently and most severely affected by extreme weather events in Greece were identified. Next, for each crop, the thresholds of climate indicators beyond which the crop is damaged were specified based on the international literature [40,41,42,43,44,45,46,47,48,49,50,51,52,53,54,55,56,57,58,59,60,61,62,63,64,65,66,67,68,69,70,71,72,73,74,75,76,77,78,79,80,81,82,83] and by considering the main phenological stages of plant development. The selected indicators and their threshold values are shown in Table S2 (Supplementary Material). For heatwaves and frosts, the threshold values vary between crops as they greatly depend on cultivars and crop phenological stages, while, for the remaining extreme events (windstorms, extreme rainfall, and forest fires), common threshold values for all crops were used.
Subsequently, the values of those climate indicators were calculated for the historical climate reference period and the two future climate periods, as well as for the period of 2006–2021, which is covered by the ELGA damage records. The calculated indicators per crop and extreme phenomenon are the weighted average of the indicators’ values per geographical region, based on the regional share of crop production of the national total, as derived from the most recent data available from ELSTAT. Especially for the FWI fire risk indicator [84,85], data from the Copernicus Climate Data Store (CDS) service database were used.
Damage indices, Ii,j, per day of the extreme event were then calculated for each crop i and extreme event j for the period of 2006–2021, based on the following equation:
I i , j   = D i , j E i , j  
where Ii,j denotes the economic damages to crop i due to extreme event j (EUR/day of extreme event), Di,j denotes the average annual damages (EUR/year) in the period of 2006–2021 for extreme event j and crop i, and Ei,j denotes the average annual value of the extreme event indicator j and crop i for the period of 2006–2021.
Based on the values of the indicators per extreme event and crop, historical and future economic damages from extreme weather and climate events were calculated using the following equation:
D i , j , k   = I i , j   × E i , j , k
where Di,j,k denotes the average annual damages (EUR/year) per extreme event j and crop i for the k combination of RCP climate change scenario and period (k: hist, RCP2.6 2021–2040, …, RCP8.5 2041–2060); Ii,j denotes the damage value (in EUR) per extreme event indicator j and crop i from Equation (10); and Εi,j,k denotes the average annual value of the extreme event indicator j and crop i for the k combination of RCP scenario–time period.
The direct economic effects due to extreme weather and climate events were calculated as the difference between the average annual damages under the future periods and those under the historical climate reference period.

2.6. Assessment of the Broader Economic and Social Implications of Climate Change

To determine how changes in the production value of crop farming and livestock will affect the wider economy and employment, it is necessary to document in detail the productive relationships of the agricultural sector with other sectors and then assess the effects that will arise from the diffusion of these changes at intersectoral and interregional levels.
To carry out these steps, we applied input–output (I-O) analysis which, through appropriate multipliers, can capture the direct and indirect effects of changes in one sector on other sectors of the economy and on sectoral employment [86,87]. I-O analysis assesses the effects of exogenous disturbances on a sector of the economic system, whether the disturbance occurs on the supply side or the demand side. Thus, it allows for the investigation of changes in the economy’s supply chain that arise from changes in the supply of the agricultural sector, and to capture how these changes in the availability of agricultural products can affect the output levels of other sectors, as well as the final demand for goods and services.
An important parameter identified in the literature is the regional dimension of the economic impacts of climate change [88]. This parameter is also crucial in the case of Greece, as Greek regions show strong differentiation both in terms of the agricultural products they produce and in terms of the productive relations they develop. Therefore, the assessment of indirect effects in this study included both the national and the regional level.
To consider the regional dimension, the construction of regional I-O tables was necessary, as, in Greece, such tables are not drawn up by the statistical authorities. We used the Organization for Economic Co-operation and Development (OECD) Inter-Country Input–Output (ICIO) table for Greece and for the year 2018, which is the latest table available. The table includes the inter-country and inter-sectoral flows of intermediate and final goods and services for 66 countries (including all 27 member states of the European Union) and 45 sectors of economic activity, covering 93% of the global GDP and providing a complete record of global value chains. For the construction of the regional I-O tables for the Greek regions in 2018, the method of disaggregation of the national table at the regional level was used, adjusting the regional differences using the spatial location quotient (SQL) and the cross-industry location quotient (CILQ). The first indicator captures the degree to which a region is specialized in a particular industry relative to the national average, while the second captures the degree to which an industry is concentrated in a region relative to the national average [89].

3. Results

By following the different steps of the proposed methodology, the next sections present our estimates with respect to (a) the future changes in the values of climatic parameters in Greece, (b) the effect of long-term climate change on crop yields in Greece, (c) the direct economic effects of long-term climate change and extreme events on Greek crop farming and livestock, and (d) the broader socio-economic implications in Greece caused by direct economic effects of climate change. Further numerical details and information can be found in Tables S3–S9 and Figures S1–S4 of the Supplementary Material.

3.1. Estimates of Future Climatic Parameters

According to the results of the climate simulations, the expected climate changes in the average parameter values for each climate change scenario and period (i.e., long-term climate change) compared to the historical climate reference period are summarized as follows:
  • The average air temperature is increasing in all regions of the country compared to the historical climate of 1986–2005. In the short term (2021–2040), the increase is around 1 °C in all three RCP scenarios, while, in the period of 2041–2060, the increase ranges from 1.3 °C in the mild RCP2.6 scenario to more than 2 °C in the adverse RCP8.5 scenario. Corresponding changes are expected in the case of maximum and minimum temperatures, while increases are generally greater in continental areas than in coastal areas.
  • With regard to the intensity of solar radiation and wind speed, no significant changes in the average annual values are expected throughout the country for all climate simulations and all scenarios, and any variations are within the limits of the natural climate variability.
  • Relative humidity decreases slightly in all regions because of the average increase in air temperature.
  • In the case of rainfall, the estimated changes show large variations both in the region and between scenarios and climate simulations. In many cases, the model results show a difference even in the sign of the change, which indicates the greater uncertainty of the estimates of change in precipitation relative to temperature.
Regarding future extreme weather and climate events, based on the analysis of the results of the climate simulations used, in general, the following are observed:
  • An increase of 1.1–1.4 °C in the maximum year temperatures in 2021–2040 and an increase of 1.5–2.5 °C in 2041–2060, with greater increases in the case of the adverse scenario RCP8.5.
  • A more than doubling of consecutive days with very high temperatures (a maximum temperature of >35 °C).
  • Variations in model results in terms of changes in indicators related to extreme rainfall (maximum daily rainfall per year and number of days per year with daily precipitation of >10 mm).
  • A reduction in frost days.
  • Slight changes in drought periods.
  • Slight changes in days with strong winds.
  • An increase in days with a very high fire risk throughout the country, with increases being particularly high in the eastern and southern parts of the country and reaching up to 20% in the case of the adverse RCP8.5 scenario in the southern and eastern regions (Central Greece, Attica, Peloponnese, North and South Aegean, and Crete).

3.2. Effect of Long-Term Climate Change on Crop Yields in Greece

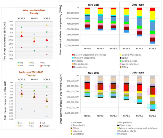
The estimated average crop yield changes, predicted using the developed statistical regression models, the DSSAT tool, and the APSIM tool, are presented in Figure 3.
Figure 3 shows that, for many crops and regions, significant yield reductions are expected as early as 2021–2040, particularly under the RCP4.5 and the RCP8.5 climate change scenarios. The adverse effects are more prominent for trees (for fruit, olive, and nuts), due to the reduction in accumulated chill and rainfall during critical phenological stages, as well as for vegetables (particularly those harvested in summer). On the other hand, yield increases were estimated for some cultivations, mainly in the northern regions due to the decrease in spring frost, as well as for some cultivations that profit from the reduced rainfall during their harvest stage (e.g., alfalfa).
Our findings are in agreement with those of recent research on climate change impacts on crops in southern Europe and the north-eastern Mediterranean, regarding wheat [90,91,92,93,94], barley [91], maize [90,92], rice [95], vegetables [10,91,96], potatoes [97], olives [91,98,99,100], vines [91,96,101,102], legumes [103], alfalfa [104,105], sunflower [106], fruit trees [107,108], and nut trees [109,110,111].

3.3. Direct Economic Effects of Long-Term Climate Change on Greek Crop Farming and Livestock

By applying the methodology described in Section 2.3, Section 2.4 and Section 2.5.1 and by using the average estimated crop yields’ changes presented in Section 3.1, we calculated the direct economic effects of long-term climate change on Greek crop farming and livestock, i.e., the changes in the production value of these activities because of altered climatic conditions. The results are presented in Figure 4 (crop farming) and Figure 5 (livestock).
Two regions, namely Thessaly and Central Macedonia, are expected to suffer the greatest direct economic losses in agriculture and livestock due to long-term climate change (cumulatively 46–51% of the total loss of the sector at the national level, depending on the period and the climate change scenario). It should be noted that a significant percentage of the examined crops and livestock products derive from these two regions.
Trees (olives, citrus, drupe and pome fruits, and nuts) account for approximately 55% of the estimated total direct economic losses in crop farming from long-term climate change, a fact that is particularly important as the adaptation possibilities of these crops are limited. In livestock activities, the largest part of the direct economic losses (more than 60% of the national total) derives from the reduced production of cow’s milk.
The changes in the production value of crop farming and livestock (Figure 4 and Figure 5, respectively) were calculated using the average of productivity changes across climate simulations. However, in many cases, the estimated changes significantly deviate between those simulations (see indicatively in Figure 6a), mainly because of large differences in the projected rainfall. If the most adverse productivity changes are considered, the direct economic losses escalate, particularly in 2041–2060 under the RCP4.5 and RCP8.5 scenarios. As shown in Figure 6b, the losses in crop farming approach EUR 1 billion/year in 2041–2060 under the RCP8.5 scenario (compared to about EUR 550 million/year when the average change between climate simulations is used).

3.4. Direct Economic Effects of Extreme Events on Greek Crop Farming and Livestock

The analysis of the ELGA damage compensation data for the period of 2006–2021 revealed that the regular compensations to crop farming for damage from adverse weather events (frost, hail, extreme rainfall, etc.) amounted to a total of EUR 2.6 billion, ranging from EUR 66.3 to EUR 318.7 million/year. In addition, EUR 1.5 billion was provided as compensation through state aid programs for large-scale extreme weather events (including forest fires). Based on the above, crop production compensations (without considering deflation rates, changes in the prices of agricultural products, etc.) amounted to an average of EUR 276.4 million/year, which covered damages from extreme rainfall and floods (34%), hail (27%), frost and snow (23%), and other causes such as extreme heat, fires, and windstorms (16%). The distribution of damages per crop and extreme event is shown in Figure 7. Peaches, cotton, vines, cherries, and olives account for almost 50% of the total annual damage.
Compensations for damages caused by weather factors to livestock were significantly lower, ranging from EUR 450,000 to EUR 14.3 million/year (an average of EUR 1.8 million/year) and EUR 27 million in total during 2006–2021. Recorded damages derived mainly from snowfall–cold, followed by floods and heatwaves, while 10% was due to lightning.
In general, based on the results of climate simulations, the following changes in extreme events are expected:
  • A reduction in days with very low temperatures and frost.
  • An increase in days with high temperatures.
  • A small change in days with strong winds.
Regarding extreme rainfall, there are differences in the projected changes both regionally and between RCP scenarios and climate models, and, thus, the damage estimates show higher uncertainty. For hail, due to the locality and complexity of the phenomenon, on the one hand, there are no relevant climate indicators provided by the climate simulations, and, on the other hand, it is not clear how climate change is expected to affect the frequency and intensity of the event. For this reason, in the context of this study it was considered that hail risk will change proportionally with the risk of extreme rainfall and floods.
The identified trends of the extreme event indicators were used to estimate the direct economic effects of extreme events on Greek crop farming (i.e., the future changes in its production value due to these events) following the methodology described in Section 2.5.2. The results obtained when aggregated at the national level (Table 4) led to the following findings: (a) a decrease in future annual economic losses from frost and snow, (b) a significant increase in future damages from extremely high temperatures (heatwaves) and from extreme rainfall, and (c) small increases in future damages from other extreme events. The average annual economic losses in crop farming from extreme events are expected to range from EUR 7 to EUR 25.2 million/year in the period of 2021–2040 depending on the RCP scenario, while, in the period of 2041–2060, a reduction in economic losses by EUR 10 million/year is estimated in the case of the mild RCP2.6 scenario and an increase in economic losses by EUR 45–69 million/year in the other two RCP scenarios. The distribution of expected direct economic effects per region and per crop category are presented in Figure 8.
As shown in Figure 8, although in 2021–2040 and in the mild RCP2.6 scenario in 2041–2060 there are some regions that will experience positive economic effects from extreme events, this is not the case anymore under the RCP4.5 and RCP8.5 during 2041–2060. High-production regions, particularly Thessaly, Eastern Macedonia and Thrace, Central Macedonia, and Western Greece, were found to be the most vulnerable in terms of future economic damages from climate change. The future evolution of extreme events is expected to generate economic benefits for citrus and drupe fruits (peaches and cherries) as these are adversely affected mainly by frosts, which are expected to decline under the future climate. On the other hand, significant direct economic losses are expected for vines and vegetables.

3.5. Broader Socio-Economic Implications Caused by Direct Economic Effects of Climate Change

By applying the I-O analysis described in Section 2.6, the socio-economic implications caused by the direct economic effects of climate change on Greek crop farming and livestock (i.e., the economic implications caused by changes in the production value of these activities because of future climatic conditions) were estimated. It should be noted that social implications in this study are limited to effects on sectoral employment. The results are summarized in Table 5 for the mild RCP2.6 scenario and the adverse RCP8.5 scenario. To better assess the magnitude of socio-economic implications from future extreme events, the I-O analysis was carried out with and without the contribution of those events.
It is noted that the change in gross production value in the total economy includes the change in value in the A01 NACE sector, and the same holds for employment. Thus, the indirect economic effects (in absolute figures) to the rest of the economy that are generated by the change in production value in crop farming and livestock due to climate change are the difference between the first and third line of the table (and between the fifth and seventh line of the table in the case of employment).
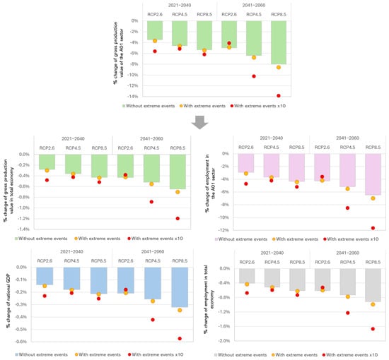
It is noted that our proposed methodology for estimating the direct economic effects of extreme weather and climate events is based on the recorded ELGA compensations, which show large fluctuations from year to year (from EUR 66.3 to 318.7 million/year during 2006–2021) depending on the events encountered and other factors. Also, some events can cause even greater losses, as was the case of the storm Daniel in September 2023, which caused record-breaking rainfall in Thessaly and damages of more than EUR 2 billion. For these reasons, we also estimated the broader socio-economic effects under tenfold direct damages (×10) of such events, i.e., under very severe extreme events. The results are shown in Figure 9.
The regional differences in the socio-economic effects of climate change under RCP8.5 are reflected in Figure 10. It is noted that approximately 78% of the reduction in the production of the A01 sector comes from six out of thirteen regions (namely Thessaly, Central Macedonia, Central Greece, Eastern Macedonia and Thrace, Peloponnese, and Crete), while 79% of the GDP reduction and 79% of the employment reduction are expected to occur in these six regions.
As shown in Table 5, in 2041–2060 and under the adverse RCP8.5 scenario, each decrease in the production value of the crop farming and livestock sector by EUR 1 million leads to a decrease in the GDP of the Greek economy by EUR 0.55 million and the loss of 39 jobs. As a result, the contraction of the production of the crop farming and livestock sector due to climate change in the RCP8.5 scenario is expected to reduce the GDP of the Greek economy by 0.22% (EUR 347 million) and 0.35% (EUR 554 million) per year in the years 2021–2040 and 2041–2060, respectively, with respect to the reference year of the I-O analysis (i.e., 2018) and under an average level of extreme events. When a tenfold impact of extreme events is considered, the GDP reduction reaches 0.57% (EUR 902 million) per year in 2041–2060. Regarding social effects, it was estimated that the decrease in employment of the Greek economy will reach 0.62% (24,600 jobs) per year in 2021–2040 and 0.99% (39,200 jobs) per year in 2041–2060, with a maximum potential decrease of 1.67% (66,125 jobs) when a tenfold impact of extreme events is considered.
These findings indicate a moderate contraction of the country’s crop farming and livestock sector due to climate change and a corresponding moderate reduction in the country’s GDP and employment. However, the regional impact analysis shown in Figure 10 highlights some regions where GDP impacts are significant and expected to exceed 1% of the regional GDP and/or regional employment, namely Thessaly, Eastern Macedonia and Thrace, Western Greece, Peloponnese, Central Greece, and Crete. This uneven distribution of the socio-economic effects at the regional level is related to the direct effects of climate change on regional crop farming and livestock, as well as to the contribution of these activities to the regional GDP.
At the same time, the results of the macroeconomic analysis also show that the contraction of Greek crop farming and livestock will reduce the intensity of the sectoral interconnections of the economy by reducing the production and employment multipliers of the crop farming–livestock sector, the food–beverage sector, and the hotels–restaurants sector, either due to a reduction in intermediate demand or due to substitution through imports. Specifically, we estimated a reduction in these sectors’ production multipliers of 0.63%, 0.79%, and 0.84%, respectively in the period 2021–2040, and of 0.86%, 1.09%, and 1.15%, respectively in the period 2041–2060. Also, we estimated a reduction in their employment multipliers of 0.61%, 1.76%, and 1.18%, respectively, in 2021–2040, and of 0.94%, 2.72%, and 1.81%, respectively, in 2041–2060. Therefore, the production and employment which will be created in the economy per unit of final demand will gradually decrease, further reducing the relatively weak productive linkages of the Greek economy.

4. Discussion

Our results regarding the expected changes in crop yields and livestock productivity in Greece because of climate change, and their consequent socio-economic effects on the agri-food sector and other economic sectors, are inevitably affected by the uncertainty caused by climate models. We have utilized data from five climate simulations to explore, to some extent, the effects of this uncertainty on the regional productivity of crop farming and livestock, but our findings are inevitably limited by the selection of these specific climate simulations. The use of an enlarged ensemble of climate models in a future extension of this research can shed more light on climate uncertainties and to what extent these affect the estimated agricultural productivity at the regional level and the associated socio-economic consequences.
Furthermore, our risk modelling was performed at the level of each of the thirteen Greek administrative regions, and under different climate simulations, RCP scenarios, time horizons, crop cultivars, agricultural soil types, and agricultural practices. Also, to not miss the effect of important climate variations across time, our crop modelling was first performed yearly and at the level of different cultivars and soil types, and the calculated productivity changes were then averaged per period and RCP scenario. This process resulted in a large dataset to be processed and created significant challenges with respect to the required numerical effort. Although we have developed specific software programming scripts that significantly reduced this effort, the exploration of large ensembles of climate models and regional data to produce comprehensive risk assessments for crop farming and livestock still represents a significant methodological challenge, especially when also considering the large number of available climate models and climate change/socio-economic scenarios. A potential methodological approach to respond to such challenges in future research could be to focus on and examine in more detail those climate models and scenarios which differ significantly with respect to the critical climatic variables for crops and livestock.
Our assessment of the effects of extreme weather events also shows significant uncertainties. First, although climate models simulate relatively accurately how increases in greenhouse gases affect average values of climate parameters, they are less accurate in simulating extreme events. Also, in the case of floods, factors other than climate play an important role in impacts (e.g., land use and local geomorphological characteristics), while, in the case of hailstorms, there is no precise estimate of how these will change in the future climate. Second, the ELGA’s damage compensation data for agriculture, which we used, do not include other financial damages that are either not insured or are indirectly affected by an extreme event (e.g., irrigation and transport infrastructure). Third, we assumed that the change in the frequency of extreme weather events will linearly affect the relevant economic damages, something which is not necessarily the case, as the magnitude of damages may depend also on other factors (e.g., geographical location and possible measures taken at the local level). This is the reason why the ELGA’s annual compensations fluctuate widely from year to year (from EUR 66.3 million/year to EUR 318.7 million/year), while individual events can cause even greater losses. To handle all these uncertainties to some extent, we explored the effects under tenfold weather extreme events which correspond to very extreme events, but still, this choice remains arbitrary and needs to be refined in future research. Recent mega-extreme events (e.g., the Daniel storm in September 2023 that caused very large damage in the agricultural sector and infrastructures in Thessaly) could be utilized to formulate cases of such future climatic extremes, which would allow us to obtain more reliable estimates of the potential effects on crop and livestock productivity in major agricultural areas.
Our estimates of crop yield changes because of climate change are based, in many cases, on statistical regression models instead of agronomic crop growth (agronomic) models, which can provide a much better simulation of climate impacts on the different phenological stages of crops. Also, in the assessment of the effects of climate change on livestock farming, any changes in the animal population caused by exogenous factors such as extreme weather events or diseases that may lead to a reduction in production or the livestock itself were not considered. In addition, changes in the spread and intensity of existing diseases due to amended climatic conditions were not estimated. All these issues represent areas for future research. In this context, crop growth simulation models for tree cultivations that are critical in terms of their value added (e.g., olive trees) could be developed, climate indicators’ values beyond which livestock population is affected could be identified based on the literature and on empirical data, and relationships between climatic parameters and crop/livestock diseases could be developed and applied for regionally important crops and livestock.

5. Conclusions

In this study we attempted a very detailed and integrated assessment of the effects of climate change, including extreme events, on Greek agriculture, as well as of the broader socio-economic implications of these effects on output and employment at the regional and national level. In doing so, we used data from recent climate model simulations which cover a broad range of climate futures. Also, we developed and applied a distinct approach for the assessment of the effects of future extreme weather and climate events, based on a large dataset of past damage records, which, together with the assessment of risks from changes in the average values of climatic parameters, allows for a comprehensive estimation of climate change risks on the agri-food and other economic sectors in Greece.
Our findings show that, under an average level of future extreme events, the direct economic losses in Greek crop farming and livestock due to climate change (both under average changes in climate parameters and extreme changes due to extreme events) are significant, ranging from EUR 437 million/year to 643 million/year in 2021–2040, and from EUR 579 million/year to EUR 1 billion/year in 2041–2060, depending on the intensity of climate change. These economic losses approximately double when the indirect economic effects on other sectors of the Greek economy are considered and escalate much further under a tenfold impact of extreme events. The estimated losses in the GDP and employment are moderate at the national level, but significant at the level of some regions (Thessaly, Eastern Macedonia and Thrace, Western Greece, Peloponnese, Central Greece, and Crete) where the contribution of crop farming and livestock to the regional economies is high, highlighting the unequal distribution of climate change risks at the regional level.
Under appropriate modifications in input data, our methodological approach can be applied to other countries of the Mediterranean region and beyond, generating additional valuable knowledge on the effects of climate change on the productivity of crop farming and livestock and their socio-economic consequences for the agri-food sector and other economic sectors.
Finally, a future extension of this work to consider major adaptation measures (e.g., changes in sowing dates, improvements in irrigation, and the use of cultivars better adapted to heat and drought) to ameliorate the adverse effects of climate change, including their cost and benefits, is now under consideration and would provide additional meaningful guidance to policy makers.

Supplementary Materials

The following supporting information can be downloaded at: https://www.mdpi.com/article/10.3390/agriculture14050770/s1. Table S1: statistical regression models linking crop yields to climatic parameters; Table S2: threshold values of climatic indicators associated with crop damages from extreme weather events; Table S3: estimated changes (average of climate simulations) in crop yields due to long-term climate change, compared to the historical climate of 1986–2005; Table S4: direct economic effects (in EUR/year) on Greek crop farming due to long-term climate change—average estimate per region; Table S5: direct economic effects (in EUR/year) on Greek crop farming due to long-term climate change—average estimate per crop; Table S6: direct economic effects (in EUR/year) on Greek livestock due to long-term climate change—average estimate per region; Table S7: direct economic effects (in EUR/year) on Greek livestock due to long-term climate change—average estimate per livestock product; Table S8: direct economic effects (in EUR/year) on Greek agriculture due to extreme weather and climate events—average estimate per crop; Table S9: direct economic effects (in EUR/year) on Greek agriculture due to extreme weather and climate events—average estimate per region. Figure S1: estimated values of selected indicators for heatwaves, frost, and windstorm events under the historical climate reference period and the future periods; Figure S2: estimated values of selected indicators for extreme rainfall and fire events under the historical climate reference period and the future periods; Figure S3: changes (% with respect to 2018) in regional output and employment which are generated by direct economic effects of (i.e., by changes in the gross production value due to) climate change under RCP2.6, without extreme events; Figure S4: changes (% with respect to 2018) in regional output and employment which are generated by direct economic effects of (i.e., by changes in the gross production value due to) climate change under RCP4.5, without extreme events.

Author Contributions

Conceptualization: E.G., N.G. and D.V.; methodology: E.G., N.G., D.P.L., D.V., M.M., I.B., G.P.L. and Y.S.; software: N.G., D.K., M.D. and M.M.; validation: E.G., D.V. and I.B.; data curation: Y.S., N.G., D.K., G.P.L., K.A. and M.D.; writing—original draft preparation: E.G., D.V., M.D., N.G., D.K., D.P.L., M.M., G.P.L., K.A. and I.T.; writing—review and editing: E.G., D.V., S.M., G.P.L. and I.B.; visualization: E.G., N.G., D.K. and M.M.; supervision: E.G. and N.G.; project administration: N.G.; funding acquisition: S.M. All authors have read and agreed to the published version of the manuscript.

Funding

This research was fully funded by Piraeus Financial Holdings S.A.

Institutional Review Board Statement

Not applicable as the study does not involve humans or animals.

Data Availability Statement

Data are contained within the article. Specifically, this study used publicly available climate data from the EURO-CORDEX program which are available for free download at the Earth System Grid Federation (ESGF) Federated ESGF Nodes (https://esgf.llnl.gov/nodes.html, accessed on 15 January 2023). It also used publicly available climate data from the Europe-wide E-OBS Ensemble dataset that are freely available from the European Climate Assessment & Dataset (ECA&D) (https://www.ecad.eu/download/ensembles/download.php#citation, accessed on 23 January 2023), and monthly climate values freely available from the Climate Data online climate datasets of the USA National Oceanic and Atmospheric Administration (NOAA) (https://www.ncei.noaa.gov/metadata/geoportal/rest/metadata/item/gov.noaa.ncdc:C00946/html, accessed on 20 January 2023), the Greek National Weather Service (https://www.emy.gr/emy/el/services/paroxi-ipiresion-elefthera-dedomena, accessed on 20 January 2023), and the ELSTAT annual Statistical Yearbooks of Greece (http://dlib.statistics.gr/portal/page/portal/ESYE/categoryyears?p_cat=10007369&p_topic=10007369, accessed on 15 June 2023). The study also used publicly available annual data on cultivated areas and production per crop and region from the ELSTAT Annual Agricultural Statistics reports (http://dlib.statistics.gr/portal/page/portal/ESYE/categoryyears?p_cat=10007963&p_topic=10007963, accessed on 15 June 2023) and the ELSTAT database for agriculture, livestock, and fisheries (https://www.statistics.gr/en/statistics/-/publication/SPG06/2018, accessed on 15 June 2023). Data on Greek soil qualities derived from the open access European Soil Database v2.0 (https://esdac.jrc.ec.europa.eu/content/european-soil-database-v20-vector-and-attribute-data, accessed on 15 February 2023). Data on annual damages from extreme weather events were collected from the Hellenic Organization of Agricultural Insurances (ELGA) (https://elga.gr/drastiriotites-elga/, accessed on 5 September 2023). The study also used publicly available data on the FWI fire risk indicator from the Copernicus Climate Data Store (https://cds.climate.copernicus.eu/cdsapp#!/dataset/sis-tourism-fire-danger-indicators?tab=form, accessed on 30 June 2023). Also, it used the OECD Inter-Country Input–Output (ICIO) Table for Greece and for the year 2018, which is publicly available online (https://stats.oecd.org/Index.aspx?DataSetCode=IOTSi4_2018, accessed on 10 June 2023). Finally, prices for agricultural products in the years 2012–2022 derived from Eurostat, namely selling prices of crop products (absolute prices) (https://ec.europa.eu/eurostat/databrowser/view/apri_ap_crpouta/default/table?lang=en, accessed on 4 September 2023), purchase prices of the means of agricultural production (absolute prices) (https://ec.europa.eu/eurostat/databrowser/view/apri_ap_ina/default/table?lang=en, accessed on 4 September 2023), and selling prices of animal products (absolute prices) (https://ec.europa.eu/eurostat/databrowser/view/apri_ap_anouta__custom_8504978/default/table, accessed on 15 September 2023).

Acknowledgments

We acknowledge the E-OBS dataset from the EU-FP6 (6th Research Framework Programme of the European Commission) project UERRA (‘Uncertainties in Ensembles of Regional Re-analysis’) (http://www.uerra.eu), and the Copernicus Climate Change Service, and the data providers in the ECA&D project (https://www.ecad.eu). Acknowledgment is also made to the APSIM Initiative which takes responsibility for quality assurance and a structured innovation program for APSIM’s modelling software, which is provided free for research and development use (see www.apsim.info for details. We also acknowledge DSSAT.net, which provides the DSSAT software tool and its user manuals.

Conflicts of Interest

Author Nikos Gakis, Dimitris Kapetanakis and Dimitris P. Lalas were employed by the company FACE3TS S.A. Author Dimitris Voloudakis and Markos Daskalakis were employed by the company RethinkAg S.P. Author Iordanis Tzamtzis was employed by the company Accel Ltd. The remaining authors declare that the research was conducted in the absence of any commercial or financial relationships that could be construed as a potential conflict of interest.

References

  1. Bezner Kerr, R.; Hasegawa, T.; Lasco, R.; Bhatt, I.; Deryng, D.; Farrell, A.; Gurney-Smith, H.; Ju, H.; Lluch-Cota, S.; Meza, F.; et al. Chapter 5: Food, Fibre, and Other Ecosystem Products. In Climate Change 2022: Impacts, Adaptation and Vulnerability. Contribution of Working Group II to the Sixth Assessment Report of the Intergovernmental Panel on Climate Change; Pörtner, H.-O., Roberts, D.C., Tignor, M., Poloczanska, E.S., Mintenbeck, K., Alegría, A., Craig, M., Langsdorf, S., Löschke, S., Möller, V., et al., Eds.; Cambridge University Press: Cambridge, UK; New York, NY, USA, 2022; pp. 713–906. [Google Scholar] [CrossRef]
  2. Godde, C.M.; Mason-D’Croz, D.; Mayberry, D.E.; Thornton, P.K.; Herrero, M. Impacts of climate change on the livestock food supply chain; a review of the evidence. Glob. Food Secur. 2021, 28, 100488. [Google Scholar] [CrossRef] [PubMed]
  3. Escarcha, J.F.; Lassa, J.A.; Zander, K.K. Livestock Under Climate Change: A Systematic Review of Impacts and Adaptation. Climate 2018, 6, 54. [Google Scholar] [CrossRef]
  4. Dellink, R.; Lanzi, E.; Chateau, J. The Sectoral and Regional Economic Consequences of Climate Change to 2060. Environ. Resour. Econ. 2019, 72, 309–363. [Google Scholar] [CrossRef]
  5. Malik, A.; Li, M.; Lenzen, M.; Fry, J.; Liyanapathirana, N.; Beyer, K.; Boylan, S.; Lee, A.; Raubenheimer, D.; Geschke, A.; et al. Impacts of climate change and extreme weather on food supply chains cascade across sectors and regions in Australia. Nat. Food 2022, 3, 631–643. [Google Scholar] [CrossRef] [PubMed]
  6. Bednar-Friedl, B.; Biesbroek, R.; Schmidt, D.N.; Alexander, P.; Børsheim, K.Y.; Carnicer, J.; Georgopoulou, E.; Haasnoot, M.; Le Cozzanet, G.; Lionello, P.; et al. Chapter 13: Europe. In Climate Change 2022: Impacts, Adaptation and Vulnerability. Contribution of Working Group II to the Sixth Assessment Report of the Intergovernmental Panel on Climate Change; Pörtner, H.-O., Roberts, D.C., Tignor, M., Poloczanska, E.S., Mintenbeck, K., Alegría, A., Craig, M., Langsdorf, S., Löschke, S., Möller, V., et al., Eds.; Cambridge University Press: Cambridge, UK; New York, NY, USA, 2022; pp. 1817–1927. [Google Scholar] [CrossRef]
  7. Ali, E.; Cramer, W.; Carnicer, J.; Georgopoulou, E.; Hilmi, N.J.M.; Le Cozannet, G.; Lionello, P. Cross-Chapter Paper 4: Mediterranean Region. In Climate Change 2022: Impacts, Adaptation and Vulnerability. Contribution of Working Group II to the Sixth Assessment Report of the Intergovernmental Panel on Climate Change; Pörtner, H.-O., Roberts, D.C., Tignor, M., Poloczanska, E.S., Mintenbeck, K., Alegría, A., Craig, M., Langsdorf, S., Löschke, S., Möller, V., et al., Eds.; Cambridge University Press: Cambridge, UK; New York, NY, USA, 2022; pp. 2233–2272. [Google Scholar] [CrossRef]
  8. Bank of Greece-Committee on Climate Change Impacts. The Environmental, Economic, and Social Impacts of Climate Change in Greece; Bank of Greece: Athens, Greece, 2011; pp. 204–2016. ISBN 978-960-7032-49-2. Available online: https://www.bankofgreece.gr/BogEkdoseis/Πληρης_Εκθεση.pdf (accessed on 15 January 2023). (In Greek)
  9. Giannakopoulos, C.; Kostopoulou, E.; Varotsos, K.V.; Tziotziou, K.; Plitharas, A. An integrated assessment of climate change impacts for Greece in the near future. Reg. Environ. Chang. 2011, 11, 829–843. [Google Scholar] [CrossRef]
  10. Georgopoulou, E.; Mirasgedis, S.; Sarafidis, Y.; Vitaliotou, M.; Lalas, D.P.; Theloudis, I.; Giannoulaki, K.-D.; Dimopoulos, D.; Zavras, V. Climate change impacts and adaptation options for the Greek agriculture in 2021–2050: A monetary assessment. Clim. Risk Manag. 2017, 16, 164–182. [Google Scholar] [CrossRef]
  11. Kitsara, G.; van der Schriek, T.; Varotsos, K.V.; Giannakopoulos, C. Future changes in climate indices relevant to agriculture in the Aegean islands (Greece). Euro-Mediterr. J. Environ. Integr. 2021, 6, 34. [Google Scholar] [CrossRef]
  12. Gkiza, I.G.; Nastis, S.A.; Manos, B.D.; Sartzetakis, E. The economic effects of climate change on cereal yield in Greece: A spatial analysis selection model. Int. J. Glob. Warm. 2021, 23, 311–330. [Google Scholar] [CrossRef]
  13. Pavlidis, V.; Kartsios, S.; Karypidou, M.C.; Katragkou, E. Future Evolution of Agroclimatic Indicators over a Viticulture Area in Greece. Environ. Sci. Proc. 2023, 26, 151. [Google Scholar] [CrossRef]
  14. Kalfas, I.; Anagnostopoulou, C.; Manios, E.M. The Impact of Climate Change on Olive Crop Production in Halkidiki, Greece. Environ. Sci. Proc. 2023, 26, 69. [Google Scholar] [CrossRef]
  15. Grillakis, M.G.; Kapetanakis, E.G.; Goumenaki, E. Climate change implications for olive flowering in Crete, Greece: Projections based on historical data. Clim. Chang. 2022, 175, 7. [Google Scholar] [CrossRef]
  16. Koufos, G.C.; Mavromatis, T.; Koundouras, S.; Jones, G.V. Adaptive capacity of winegrape varieties cultivated in Greece to climate change: Current trends and future projections. OENO One 2020, 54, 1201–1219. [Google Scholar] [CrossRef]
  17. Drogoudi, P.; Kazantzis, K.; Kunz, A.; Blanke, M.M. Effects of climate change on cherry production in Naoussa, Greece and Bonn, Germany: Adaptation strategies. Euro-Mediterr. J. Environ. Integr. 2020, 5, 12. [Google Scholar] [CrossRef]
  18. van der Schriek, T.; Giannakopoulos, C.; Varotsos, K.V. The impact of future climate change on bean cultivation in the Prespa Lake catchment, northern Greece. Euro-Mediterr. J. Environ. Integr. 2020, 5, 14. [Google Scholar] [CrossRef]
  19. Voloudakis, D.; Karamanos, A.; Economou, G.; Kapsomenakis, J.; Zerefos, C. A comparative estimate of climate change impacts on cotton and maize in Greece. J. Water Clim. Chang. 2018, 9, 643–656. [Google Scholar] [CrossRef]
  20. Voloudakis, D.; Karamanos, A.; Economou, G.; Kalivas, D.; Vahamidis, P.; Kotoulas, V.; Kapsomenakis, J.; Zerefos, C. Prediction of climate change impacts on cotton yields in Greece under eight climatic models using the AquaCrop crop simulation model and discriminant function analysis. Agric. Water Manag. 2015, 147, 116–128. [Google Scholar] [CrossRef]
  21. Tanasijevic, L.; Todorovic, M.; Pereira, L.S.; Pizzigalli, C.; Lionello, P. Impacts of climate change on olive crop evapotranspiration and irrigation requirements in the Mediterranean region. Agric. Water Manag. 2014, 144, 54–68. [Google Scholar] [CrossRef]
  22. Auffhammer, M.; Schlenker, W. Empirical studies on agricultural impacts and adaptation. Energy Econ. 2014, 46, 555–561. [Google Scholar] [CrossRef]
  23. Baldos UL, C.; Hertel, T.W.; Moore, F.C. Understanding the Spatial Distribution of Welfare Impacts of Global Warming on Agriculture and its Drivers. Am. J. Agric. Econ. 2019, 101, 1455–1472. [Google Scholar] [CrossRef]
  24. Hsiang, S.; Kopp, R.; Jina, A.; Rising, J.; Delgado, M.; Mohan, S.; Rasmussen, D.J.; Muir-Wood, R.; Wilson, P.; Oppenheimer, M.; et al. Estimating economic damage from climate change in the United States. Science 2017, 356, 1362–1369. [Google Scholar] [CrossRef]
  25. Takakura, J.; Fujimori, S.; Hanasaki, N.; Hasegawa, T.; Hirabayashi, Y.; Honda, Y.; Iizumi, T.; Kumano, N.; Park, C.; Shen, Z.; et al. Dependence of economic impacts of climate change on anthropogenically directed pathways. Nat. Clim. Chang. 2019, 9, 737–741. [Google Scholar] [CrossRef]
  26. Jacob, D.; Petersen, J.; Eggert, B.; Alias, A.; Christensen, O.B.; Bouwer, L.M.; Braun, A.; Colette, A.; Déqué, M.; Georgievski, G.; et al. EURO-CORDEX (2014), new high-resolution climate change projections for European impact research. Reg. Environ. Chang. 2014, 14, 563–578. [Google Scholar] [CrossRef]
  27. Jones, J.W.; Hoogenboom, G.; Porter, C.H.; Boote, K.J.; Batchelor, W.D.; Hunt, L.A.; Wilkens, P.W.; Singh, U.; Gijsman, A.J.; Ritchie, J.T. DSSAT Cropping System Model. Eur. J. Agron. 2003, 18, 235–265. [Google Scholar] [CrossRef]
  28. Zhu, J.; Parker, A.; Gou, F.; Agnew, R.; Yang, L.; Greven, M.; Raw, V.; Neal, S.; Martin, D.; Trought, M.C.; et al. Developing perennial fruit crop models in APSIM Next Generation using grapevine as an example. In Silico Plants 2021, 3, diab021. [Google Scholar] [CrossRef]
  29. Hoogenboom, G.; Porter, C.H.; Boote, K.J.; Shelia, V.; Wilkens, P.W.; Singh, U.; White, J.W.; Asseng, S.; Lizaso, J.I.; Moreno, L.P.; et al. The DSSAT crop modeling ecosystem. In Advances in Crop Modeling for a Sustainable Agriculture; Boote, K.J., Ed.; Burleigh Dodds Science Publishing: Cambridge, UK, 2019; pp. 173–216. [Google Scholar] [CrossRef]
  30. Cornes, R.C.; van der Schrier, G.; van den Besselaar, E.J.; Jones, P.D. An Ensemble Version of the E-OBS Temperature and Precipitation Datasets. J. Geophys. Res. Atmos. 2018, 123, 9391–9409. [Google Scholar] [CrossRef]
  31. Holzworth, D.P.; Huth, N.I.; deVoil, P.G.; Zurcher, E.J.; Herrmann, N.I.; McLean, G.; Chenu, K.; van Oosterom, E.J.; Snow, V.; Murphy, C.; et al. APSIM—Evolution towards a New Generation of Agricultural Systems Simulation. Environ. Model. Softw. 2014, 62, 327–350. [Google Scholar] [CrossRef]
  32. Collier, R.J.; Gebremedhin, K.; Macko, A.R.; Roy, K.S. Genes involved in the thermal tolerance of livestock. In Environmental Stress and Amelioration in Livestock Production; Sejian, V., Naqvi, S.M.K., Ezeji, T., Lakritz, J., Lal, R., Eds.; Springer: Berlin/Heidelberg, Germany, 2012; pp. 379–410. [Google Scholar]
  33. Cheng, M.; McCarl, B.; Fei, C. Climate Change and Livestock Production: A Literature Review. Atmosphere 2022, 13, 140. [Google Scholar] [CrossRef]
  34. Ravagnolo, O.; Misztal, I.; Hoogenboom, G. Genetic component of heat stress in dairy cattle, development of heat index function. J. Dairy Sci. 2000, 83, 2120–2125. [Google Scholar] [CrossRef] [PubMed]
  35. Bohmanova, J.; Misztal, I.; Cole, J.B. Temperature-Humidity Indices as indicator of milk production losses due to heat stress. J. Dairy Sci. 2007, 90, 1947–1956. [Google Scholar] [CrossRef]
  36. Finocchiaro, R.; Van Kaam, J.B.C.H.M.; Portolano, B.; Misztal, I. Effect of heat stress on production of Mediterranean dairy sheep. J. Dairy Sci. 2005, 88, 1855–1864. [Google Scholar] [CrossRef]
  37. Saab, S.A.; Sleiman, F.T.; Kallassy, N.; Darweesh, W.Y.; Aad, P.Y. Effect of Adaptation and Heat Stress on Reproductive Performances of Fat Tail Awassi Rams in Eastern Mediterranean. Leban. Sci. J. 2011, 12, 31–44. Available online: https://api.semanticscholar.org/CorpusID:109984507 (accessed on 3 July 2023).
  38. St-Pierre, N.R.; Cobanov, B.; Schnitkey, G. Economic losses from heat stress by US livestock industries. J. Dairy Sci. 2003, 86, E52–E77. [Google Scholar] [CrossRef]
  39. Salama, A.A.K.; Caja, G.; Hamzaoui, S.; Badaoui, B.; Castro-Costa, A.; Facanha, D.A.E.; Guilhermino, M.M.; Bozzi, R. Different levels of response to heat stress in dairy goats. Small Rumin. Res. 2014, 121, 73–79. [Google Scholar] [CrossRef]
  40. Sita, K.; Sehgal, A.; HanumanthaRao, B.; Nair, R.M.; Vara, P.P.V.; Kumar, S.; Gaur, P.M.; Farooq, M.; Siddique, K.H.M.; Varshney, R.K.; et al. Food Legumes and Rising Temperatures: Effects, Adaptive Functional Mechanisms Specific to Reproductive Growth Stage and Strategies to Improve Heat Tolerance. Front. Plant Sci. 2017, 8, 298433. [Google Scholar] [CrossRef] [PubMed]
  41. Kumari, V.V.; Roy, A.; Vijayan, R.; Banerjee, P.; Verma, V.C.; Nalia, A.; Pramanik, M.; Mukherjee, B.; Ghosh, A.; Reja, M.H.; et al. Drought and Heat Stress in Cool-Season Food Legumes in Sub-Tropical Regions: Consequences, Adaptation, and Mitigation Strategies. Plants 2021, 10, 1038. [Google Scholar] [CrossRef] [PubMed]
  42. Aleem, S.; Sharif, I.; Amin, E.; Tahir, M.; Parveen, N.; Aslam, R.; Najeebullah, M.; Shahid, M. Heat tolerance in vegetables in the current genomic era: An overview. Plant Growth Regul. 2020, 92, 497–516. [Google Scholar] [CrossRef]
  43. Luo, Q. Temperature thresholds and crop production: A review. Clim. Chang. 2011, 109, 583–598. [Google Scholar] [CrossRef]
  44. Lu, T.; Song, Y.; Yu, H.; Li, Q.; Xu, J.; Qin, Y.; Zhang, G.; Liu, Y.; Jiang, W. Cold Stress Resistance of Tomato (Solanum lycopersicum) Seedlings Is Enhanced by Light Supplementation from Underneath the Canopy. Front. Plant Sci. 2022, 13, 831314. [Google Scholar] [CrossRef]
  45. Elizondo, R.; Oyanedel, E. Field testing of tomato chilling tolerance under varying light and temperature conditions. Chil. J. Agric. Res. 2010, 70, 552–558. [Google Scholar] [CrossRef]
  46. Barrero-Gil, J.; Huertas, R.; Rambla, J.L.; Granell, A.; Salinas, J. Tomato plants increase their tolerance to low temperature in a chilling acclimation process entailing comprehensive transcriptional and metabolic adjustments. Plant Cell Environ. 2016, 39, 2303–2318. [Google Scholar] [CrossRef]
  47. Alsamir, M.; Mahmood, T.; Trethowan, R.; Ahmad, N. An overview of heat stress in tomato (Solanum lycopersicum L.). Saudi J. Biol. Sci. 2021, 28, 1654–1663. [Google Scholar] [CrossRef] [PubMed]
  48. Yan, C.; Zhang, N.; Wang, Q.; Fu, Y.; Wang, F.; Su, Y.; Xue, B.; Zhou, L.; Liao, H. The effect of low-temperature stress on the leaves and microRNA expression of potato seedlings. Front. Ecol. Evol. 2021, 9, 727081. [Google Scholar] [CrossRef]
  49. Trapero-Mozos, A.; Morris, W.L.; Ducreux, L.J.M.; McLean, K.; Stephens, J.; Torrance, L.; Bryan, G.J.; Hancock, R.D.; Taylor, M.A. Engineering heat tolerance in potato by temperature-dependent expression of a specific allele of HEAT-SHOCK COGNATE 70. Plant Biotechnol J. 2018, 16, 197–207. [Google Scholar] [CrossRef] [PubMed]
  50. Sonnewald, S.; van Harsselaar, J.; Ott, K.; Lorenz, J.; Sonnewald, U. How potato plants take the heat? Procedia Environ. Sci. 2017, 29, 97. [Google Scholar] [CrossRef]
  51. Tang, R.; Niu, S.; Zhang, G.; Chen, G.; Haroon, M.; Yang, Q.; Rajora, O.P.; Li, X.-Q. Physiological and growth responses of potato cultivars to heat stress. Botany 2018, 96, 897–912. [Google Scholar] [CrossRef]
  52. Weng, J.; Rehman, A.; Li, P.; Chang, L.; Zhang, Y.; Niu, Q. Physiological and Transcriptomic Analysis Reveals the Responses and Difference to High Temperature and Humidity Stress in Two Melon Genotypes. Int. J. Mol. Sci. 2022, 23, 734. [Google Scholar] [CrossRef] [PubMed]
  53. Baker, J.T.; Reddy, V.R. Temperature effects on phenological development and yield of muskmelon. Ann. Bot. 2001, 87, 605–613. [Google Scholar] [CrossRef]
  54. Liang, Y.; Wang, S.; Zhao, C.; Ma, X.; Zhao, Y.; Shao, J.; Li, Y.; Li, H.; Song, H.; Ma, H.; et al. Transcriptional regulation of bark freezing tolerance in apple (Malus domestica Borkh.). Hortic. Res. 2020, 7, 205. [Google Scholar] [CrossRef] [PubMed]
  55. Nesbitt, M.L.; Ebel, R.C.; Findley, D.; Wilkins, B.; Woods, F.; Himelrick, D. Assays to Assess Freeze Injury of Satsuma Mandarin. HortScience 2002, 37, 871–877. [Google Scholar] [CrossRef]
  56. Primo-Capella, A.; Martínez-Cuenca, M.-R.; Forner-Giner, M.Á. Cold Stress in Citrus: A Molecular, Physiological and Biochemical Perspective. Horticulturae 2021, 7, 340. [Google Scholar] [CrossRef]
  57. Demirsoy, H.; Demirsoy, L.; Lang, G.A. Research on spring frost damage in cherries. Hortic. Sci. 2022, 49, 89–94. [Google Scholar] [CrossRef]
  58. Szewczuk, A.; Gudarowska, E.; Deren, D. The estimation of frost damage of some peach and sweet cherry cultivars after winter 2005/2006. J. Fruit Ornam. Plant Res. 2007, 15, 55. [Google Scholar]
  59. Szalay, L.; Gyökös, I.G.; Békefi, Z. Cold hardiness of peach flowers at different phenological stages. Hortic. Sci. 2018, 45, 119–124. [Google Scholar] [CrossRef]
  60. Petruccelli, R.; Bartolini, G.; Ganino, T.; Zelasco, S.; Lombardo, L.; Perri, E.; Durante, M.; Bernardi, R. Cold Stress, Freezing Adaptation, Varietal Susceptibility of Olea europaea L.: A Review. Plants 2022, 11, 1367. [Google Scholar] [CrossRef]
  61. Koubouris, G.C.; Metzidakis, I.T.; Vasilakakis, M.D. Impact of temperature on olive (Olea europaea L.) pollen performance in relation to relative humidity and genotype. Environ. Exp. Bot. 2009, 67, 209–214. [Google Scholar] [CrossRef]
  62. Ozturk, M.; Altay, V.; Gönenç, T.M.; Unal, B.T.; Efe, R.; Akçiçek, E.; Bukhari, A. An Overview of Olive Cultivation in Turkey: Botanical Features, Eco-Physiology and Phytochemical Aspects. Agronomy 2021, 11, 295. [Google Scholar] [CrossRef]
  63. Pérez-López, D.; Ribas, F.; Moriana, A.; Rapoport, H.F.; De Juan, A. Influence of temperature on the growth and development of olive (Olea europaea L.) trees. J. Hortic. Sci. Biotechnol. 2008, 83, 171–176. [Google Scholar] [CrossRef]
  64. Ma, Y.; Tan, R.; Zhao, J. Chilling Tolerance in Maize: Insights into Advances—Toward Physio-Biochemical Responses’ and QTL/Genes’ Identification. Plants 2022, 11, 2082. [Google Scholar] [CrossRef]
  65. Sánchez, B.; Rasmussen, A.; Porter, J.R. Temperatures and the growth and development of maize and rice: A review. Glob. Chang. Biol. 2014, 20, 408–417. [Google Scholar] [CrossRef]
  66. Waqas, M.A.; Wang, X.; Zafar, S.A.; Noor, M.A.; Hussain, H.A.; Azher Nawaz, M.; Farooq, M. Thermal stresses in maize: Effects and management strategies. Plants 2021, 10, 293. [Google Scholar] [CrossRef]
  67. Sattar, A.; Singh, G.; Singh, S.V.; Kumar, M.; Kumar, P.V.; Bal, S.K. Evaluating temperature thresholds and optimizing sowing dates of wheat in Bihar. J. Agrometeorol. 2020, 22, 158–164. [Google Scholar] [CrossRef]
  68. Stratonovitch, P.; Semenov, M.A. Heat tolerance around flowering in wheat identified as a key trait for increased yield potential in Europe under climate change. J. Exp. Bot. 2015, 66, 3599–3609. [Google Scholar] [CrossRef]
  69. Sharma, S.; Singh, V.; Tanwar, H.; Mor, V.S.; Kumar, M.; Punia, R.C.; Dalal, M.S.; Khan, M.; Sangwan, S.; Bhuker, A.; et al. Impact of High Temperature on Germination, Seedling Growth and Enzymatic Activity of Wheat. Agriculture 2022, 12, 1500. [Google Scholar] [CrossRef]
  70. Poudel, P.B.; Poudel, M.R. Heat stress effects and tolerance in wheat: A review. J. Biol. Today’s World 2020, 9, 1–6. [Google Scholar]
  71. Zafar, S.A.; Noor, M.A.; Waqas, M.A.; Wang, X.; Shaheen, T.; Raza, M.; Mehboob-Ur-Rahman. Temperature Extremes in Cotton Production and Mitigation Strategies. In Past, Present and Future Trends in Cotton Breeding; Mehboob-Ur-Rahman, Zafar, Y., Eds.; InTechOpen: London, UK, 2018; Chapter 4; pp. 65–91. [Google Scholar] [CrossRef]
  72. Bange, M.; Nunn, C.; Mahan, J.; Payton, P.; Milroy, S.; Finger, N.; Caton, J.; Dodge, W.; Quinn, J. Improving temperature-based predictions of the timing of flowering in cotton. Agron. J. 2022, 114, 2728–2742. [Google Scholar] [CrossRef]
  73. Baytar, A.A.; Peynircioğlu, C.; Sezener, V.; Frary, A.; Doğanlar, S. Association analysis of germination level cold stress tolerance and candidate gene identification in Upland cotton (Gossypium hirsutum L.). Physiol. Mol. Biol. Plants 2022, 28, 1049–1060. [Google Scholar] [CrossRef]
  74. Speed, T.R. Genetic and Environmental Influences on Cold Tolerance of Cotton Seedling Germination. Doctoral Dissertation, Texas Tech University, Lubbock, TX, USA, 1995. Available online: http://hdl.handle.net/2346/17391 (accessed on 10 July 2023).
  75. Zahid, K.R.; Farhan, A.; Farooq, S.; Muhammad, Y.; Tariq, S.; Durri, S.; Waseem, H.; Zahoor, A.; Chao, Q.; Yanli, L.; et al. Response and tolerance mechanism of cotton Gossypium hirsutum L. to elevated temperature stress: A review. Front. Plant Sci. 2016, 7, 937. [Google Scholar] [CrossRef]
  76. Majeed, S.; Rana, I.A.; Mubarik, M.S.; Atif, R.M.; Yang, S.-H.; Chung, G.; Jia, Y.; Du, X.; Hinze, L.; Azhar, M.T. Heat Stress in Cotton: A Review on Predicted and Unpredicted Growth-Yield Anomalies and Mitigating Breeding Strategies. Agronomy 2021, 11, 1825. [Google Scholar] [CrossRef]
  77. Vitasse, Y.; Lenz, A.; Körner, C. The interaction between freezing tolerance and phenology in temperate deciduous trees. Front. Plant Sci. 2014, 5, 541. [Google Scholar] [CrossRef]
  78. Nabwire, S.; Wakholi, C.; Faqeerzada, M.A.; Arief, M.A.; Kim, M.S.; Baek, I.; Byoung-Kwan, C. Estimation of cold stress, plant age, and number of leaves in watermelon plants using image analysis. Front. Plant Sci. 2022, 13, 847225. [Google Scholar] [CrossRef]
  79. Zhou, X.; Muhammad, I.; Lan, H.; Xia, C. Recent advances in the analysis of cold tolerance in maize. Front. Plant Sci. 2022, 13, 866034. [Google Scholar] [CrossRef]
  80. Gusta, L.V.; O’Connor, B.J. Frost tolerance of wheat, oats, barley, canola and mustard and the role of ice-nucleating bacteria. Can. J. Plant Sci. 1987, 67, 1155–1165. Available online: https://cdnsciencepub.com/doi/pdf/10.4141/cjps87-155 (accessed on 10 July 2023). [CrossRef]
  81. Ye, C.; Li, X.; Redoña, E.; Ishimaru, T.; Jagadish, K. Genetics and breeding of heat tolerance in rice. In Rice Improvement: Physiological, Molecular Breeding and Genetic Perspectives; Ali, J., Wani, S.H., Eds.; Springer International Publishing: Cham, Switzerland, 2021; pp. 203–220. [Google Scholar] [CrossRef]
  82. Shakiba, E.; Edwards, J.D.; Jodari, F.; Duke, S.E.; Baldo, A.M.; Korniliev, P. Genetic architecture of cold tolerance in rice (Oryza sativa) determined through high-resolution genome-wide analysis. PLoS ONE 2017, 12, e0172133. [Google Scholar] [CrossRef]
  83. Cash, D.; Lockerman, R.; Bowman, H.; Welty, L. Growing Lentils in Montana. Montana State University Extension Guide MT199615; Montana State University: Bozeman, MT, USA, 2001; Available online: https://www.scribd.com/document/603663717/Growing-Lentils-in-Montana (accessed on 10 July 2023).
  84. van Wagner, C.E. Development and Structure of the Canadian Forest Fire Weather Index System-Forestry; Technical Report No. 35; Canadian Forest Service: Ottawa, ON, Canada, 1987. Available online: https://cfs.nrcan.gc.ca/pubwarehouse/pdfs/19927.pdf (accessed on 1 July 2023).
  85. Bedia, J.; Golding, N.; Casanueva, A.; Iturbide, M.; Buontempo, C.; Gurierez, J.M. Seasonal predictions of Fire Weather Index: Paving the way for their operational applicability in Mediterranean Europe. Clim. Serv. 2018, 9, 101–110. [Google Scholar] [CrossRef]
  86. Jensen, R.C.; Mandeville, T.D.; Karunaratne, N.D. Regional Economic Planning: Generation of Regional Input-Output Analysis, 1st ed.; Routledge Library Editions: London, UK, 2017; pp. 1–258. [Google Scholar] [CrossRef]
  87. Miller, R.E.; Blair, P.D. Input-Output Analysis: Foundations and Extensions, 3rd ed.; Cambridge University Press: Cambridge, UK, 2022; pp. 1–850. [Google Scholar]
  88. Liu, Y.; Li, N.; Zhang, Z.; Huang, C.; Chen, X.; Wang, F. Climate Change Effects on Agricultural Production: The Regional and Sectoral Economic Consequences in China. Earth’s Future 2020, 8, e2020EF001617. [Google Scholar] [CrossRef]
  89. Oosterhaven, J.; Polenske, K.R.; Hewings, G.J. Chapter 24: Modern regional input–output and impact analysis. In Handbook of Regional Growth and Development Theories, 2nd ed.; Capello, R., Nijkamp, P., Eds.; Edward Elgar Publishing: Cheltenham, UK, 2019; pp. 505–525. [Google Scholar] [CrossRef]
  90. Mereu, V.; Gallo, A.; Trabucco, A.; Carboni, G.; Spano, D. Modeling high-resolution climate change impacts on wheat and maize in Italy. Clim. Risk Manag. 2021, 33, 963. [Google Scholar] [CrossRef]
  91. Papadaskalopoulou, C.; Moriondo, M.; Lemesios, I.; Karali, A.; Konsta, A.; Dibari, C.; Brilli, L.; Varotsos, K.V.; Stylianou, A.; Loizidou, M.; et al. Assessment of Total Climate Change Impacts on the Agricultural Sector of Cyprus. Atmosphere 2020, 11, 608. [Google Scholar] [CrossRef]
  92. Hristov, J.; Toreti, A.; Pérez Domínguez, I.; Dentener, F.; Fellmann, T.; Elleby, C.; Ceglar, A.; Fumagalli, D.; Niemeyer, S.; Cerrani, I.; et al. Analysis of Climate Change Impacts on EU Agriculture by 2050; Publications Office of the European Union: Luxembourg, 2020; pp. 6–8, JRC119632. [Google Scholar] [CrossRef]
  93. Kheir, A.M.S.; El Baroudy, A.; Aiad, M.A.; Zoghdan, M.G.; Abd El-Aziz, M.A.; Ali MG, M.; Fullen, M.A. Impacts of rising temperature, carbon dioxide concentration and sea level on wheat production in North Nile delta. Sci. Total Environ. 2019, 651, 3161–3173. [Google Scholar] [CrossRef]
  94. Dettori, M.; Cesaraccio, C.; Duce, P. Simulation of climate change impacts on production and phenology of durum wheat in Mediterranean environments using CERES-Wheat model. Field Crops Res. 2017, 206, 43–53. [Google Scholar] [CrossRef]
  95. Bregaglio, S.; Hossard, L.; Cappelli, G.; Resmond, R.; Bocchi, S.; Barbier, J.-M.; Ruget, F.; Delmotte, S. Identifying trends and associated uncertainties in potential rice production under climate change in Mediterranean areas. Agric. For. Meteorol. 2017, 237–238, 219–232. [Google Scholar] [CrossRef]
  96. Moriondo, M.; Bindi, M.; Brilli, L.; Costafreda-Aumedes, S.; Dibari, C.; Leolini, L.; Padovan, G.; Trombi, G.; Karali, A.; Varotsos, K.V.; et al. Assessing climate change impacts on crops by adopting a set of crop performance indicators. Euro-Mediterr. J. Environ. Integr. 2021, 6, 1–18. [Google Scholar] [CrossRef]
  97. Zhao, G.; Webber, H.; Hoffmann, H.; Wolf, J.; Siebert, S.; Ewert, F. The implication of irrigation in climate change impact assessment: A European-wide study. Glob. Chang. Biol. 2015, 21, 4031–4048. [Google Scholar] [CrossRef] [PubMed]
  98. Bouregaa, T. Impact of climate change on yield and water requirement of rainfed crops in the Setif region. Manag. Environ. Qual. Int. J. 2019, 30, 851–863. [Google Scholar] [CrossRef]
  99. Brilli, L.; Lugato, E.; Moriondo, M.; Gioli, B.; Toscano, P.; Zaldel, A.; Leolini, L.; Cantini, C.; Caruso, G.; Gussi, R.; et al. Carbon sequestration capacity and productivity responses of Mediterranean olive groves under future climates and management options. Mitig. Adapt. Strateg. Glob. Chang. 2019, 24, 467–491. [Google Scholar] [CrossRef]
  100. Fraga, H.; Pinto, J.G.; Viola, F.; Santos, J.A. Climate change projections for olive yields in the Mediterranean Basin. Int. J. Climatol. 2020, 40, 769–781. [Google Scholar] [CrossRef]
  101. Naulleau, A.; Gary, C.; Prévot, L.; Berteloot, V.; Fabre, J.-C.; Crevoisier, D.; Gaudin, R.; Hossard, L. Participatory modeling to assess the impacts of climate change in a Mediterranean vineyard watershed. Environ. Model. Softw. 2022, 150, 105342. [Google Scholar] [CrossRef]
  102. Droulia, F.; Charalampopoulos, I. Future Climate Change Impacts on European Viticulture: A Review on Recent Scientific Advances. Atmosphere 2021, 12, 495. [Google Scholar] [CrossRef]
  103. Falconnier, G.N.; Vermue, A.; Journet, E.-P.; Christina, M.; Bedoussac, L.; Justes, E. Contrasted response to climate change of winter and spring grain legumes in southwestern France. Field Crops Res. 2020, 259, 107967. [Google Scholar] [CrossRef]
  104. Funes, I.; Savé, R.; de Herralde, F.; Biel, C.; Pla, E.; Pascual, D.; Zabalza, J.; Cantos, G.; Borràs, G.; Vayreda, J.; et al. Modeling impacts of climate change on the water needs and growing cycle of crops in three Mediterranean basins. Agric. Water Manag. 2021, 249, 106797. [Google Scholar] [CrossRef]
  105. Carozzi, M.; Martin, R.; Klumpp, K.; Massad, R.S. Effects of climate change in European croplands and grasslands: Productivity, greenhouse gas balance and soil carbon storage. Biogeosciences 2022, 19, 1726–4189. Available online: https://bg.copernicus.org/articles/19/3021/2022/bg-19-3021-2022.pdf (accessed on 15 June 2023). [CrossRef]
  106. Gurkan, H.; Shelia, V.; Bayraktar, N.; Yildirim, E.; Yesilekin, N.; Gunduz, A.; Boote, K.; Porter, C.; Hoogenboom, G. Estimating the potential impact of climate change on sunflower yield in the Konya province of Turkey. J. Agric. Sci. 2020, 158, 806–818. [Google Scholar] [CrossRef]
  107. Fraga, H.; Santos, J.A. Assessment of Climate Change Impacts on Chilling and Forcing for the Main Fresh Fruit Regions in Portugal. Front. Plant Sci. 2021, 12, 689121. [Google Scholar] [CrossRef] [PubMed]
  108. Rodríguez, A.; Pérez-López, D.; Centeno, A.; Ruiz-Ramos, M. Viability of temperate fruit tree varieties in Spain under climate change according to chilling accumulation. Agric. Syst. 2021, 186, 102961. [Google Scholar] [CrossRef]
  109. Freitas, T.R.; Santos, J.A.; Silva, A.P.; Fraga, H. Influence of Climate Change on Chestnut Trees: A Review. Plants 2021, 10, 1463. [Google Scholar] [CrossRef] [PubMed]
  110. Paź-Dyderska, S.; Jagodziński, A.M.; Dyderski, M.K. Possible changes in spatial distribution of walnut (Juglans regia L.) in Europe under warming climate. Reg Env. Chang. 2021, 21, 18. [Google Scholar] [CrossRef]
  111. Freitas, T.R.; Santos, J.A.; Silva, A.P.; Fraga, H. Reviewing the Adverse Climate Change Impacts and Adaptation Measures on Almond Trees (Prunus dulcis). Agriculture 2023, 13, 1423. [Google Scholar] [CrossRef]
Figure 1. Greek regions considered in climate change risk assessment.
Figure 1. Greek regions considered in climate change risk assessment.
Agriculture 14 00770 g001
Figure 2. Modelling approaches followed in this study to simulate the effect of climate condition on crop yields (ST: statistical model, AG: agronomic model, GM: grape model).
Figure 2. Modelling approaches followed in this study to simulate the effect of climate condition on crop yields (ST: statistical model, AG: agronomic model, GM: grape model).
Agriculture 14 00770 g002
Figure 3. Qualitative presentation of the estimated changes (average of climate simulations) in crop yields due to long-term climate change, compared to those under the historical climate of 1986–2005.
Figure 3. Qualitative presentation of the estimated changes (average of climate simulations) in crop yields due to long-term climate change, compared to those under the historical climate of 1986–2005.
Agriculture 14 00770 g003
Figure 4. Direct economic effects (in EUR/year) on Greek crop farming due to long-term climate change—average of climate simulations per region (left graph) and per crop category (right graph). A minus (−) sign indicates economic losses.
Figure 4. Direct economic effects (in EUR/year) on Greek crop farming due to long-term climate change—average of climate simulations per region (left graph) and per crop category (right graph). A minus (−) sign indicates economic losses.
Agriculture 14 00770 g004
Figure 5. Direct economic effects (in EUR/year) on Greek livestock due to long-term climate change—average of climate simulations per region (left graph) and per livestock product (right graph). A minus (−) sign indicates economic losses.
Figure 5. Direct economic effects (in EUR/year) on Greek livestock due to long-term climate change—average of climate simulations per region (left graph) and per livestock product (right graph). A minus (−) sign indicates economic losses.
Agriculture 14 00770 g005
Figure 6. Indicative deviations between climate simulations with respect to estimated crop yield changes due to long-term climate change (left graph), and direct economic effects (in EUR/year) on Greek crop farming due to long-term climate change—worst estimate per region and crop category (right graph). A minus (−) sign indicates economic losses.
Figure 6. Indicative deviations between climate simulations with respect to estimated crop yield changes due to long-term climate change (left graph), and direct economic effects (in EUR/year) on Greek crop farming due to long-term climate change—worst estimate per region and crop category (right graph). A minus (−) sign indicates economic losses.
Agriculture 14 00770 g006
Figure 7. Distribution of damage compensations per crop and extreme event based on the processing of ELGA compensation data for the period of 2006–2021.
Figure 7. Distribution of damage compensations per crop and extreme event based on the processing of ELGA compensation data for the period of 2006–2021.
Agriculture 14 00770 g007
Figure 8. Direct economic effects (in EUR/year) on Greek crop farming due to extreme weather and climate events—average estimate per region (left graph) and per crop category (right graph). A minus (−) sign indicates economic losses, while a positive (+) sign indicates economic benefits.
Figure 8. Direct economic effects (in EUR/year) on Greek crop farming due to extreme weather and climate events—average estimate per region (left graph) and per crop category (right graph). A minus (−) sign indicates economic losses, while a positive (+) sign indicates economic benefits.
Agriculture 14 00770 g008
Figure 9. Changes (% with respect to 2018) in output and employment which are generated by direct economic effects of (i.e., by changes in the gross production value due to) climate change under RCP8.5, without and with extreme events and including very severe (tenfold) extreme events.
Figure 9. Changes (% with respect to 2018) in output and employment which are generated by direct economic effects of (i.e., by changes in the gross production value due to) climate change under RCP8.5, without and with extreme events and including very severe (tenfold) extreme events.
Agriculture 14 00770 g009
Figure 10. Changes (% with respect to 2018) in regional output and employment which are generated by direct economic effects of (i.e., by changes in the gross production value due to) climate change under RCP8.5, without extreme events.
Figure 10. Changes (% with respect to 2018) in regional output and employment which are generated by direct economic effects of (i.e., by changes in the gross production value due to) climate change under RCP8.5, without extreme events.
Agriculture 14 00770 g010
Table 1. Climate simulations utilized in this study 1.
Table 1. Climate simulations utilized in this study 1.
Global Climate Models (GCMs)Regional Climate Models (RCMs) 2
DMI-HIRHAM5KNMI-RACMO22ESMHI-RCA4
ICHEC-EC-EARTH✓ (m1)✓ (m2)
MOHC-HadGEM2-ES ✓ (m3)✓ (m5)
MPI-M-MPI-ESM-LR ✓ (m4)
1 m1, m2, m3, m4, and m5 denote the short names of climate simulations performed, referred to hereafter in this paper. 2 DMI-HIRHAM5: fifth version of the climate model HIRHAM which has been developed in a collaboration between the Danish Climate Centre at the Danish Meteorological Institute (DMI) and the Potsdam Research Unit of the Alfred Wegener Institute Foundation for Polar and Marine Research. KNMI-RACMO22E: Regional Atmospheric Climate Model (RACMO) which has been developed by the Koninklijk Nederlands Meteorologisch Instituut (KNMI). SMHI -RCA4: fourth version of the Rossby Centre Regional Atmospheric Climate Model (RCA) which has been developed by the Swedish Meteorological and Hydrological Institute (SMHI).
Table 2. Extreme weather events considered in this study and selected climatic indicators with relevance to risks.
Table 2. Extreme weather events considered in this study and selected climatic indicators with relevance to risks.
Extreme EventClimatic Indicator
Floods, storms, etc. (extreme rainfalls)Highest yearly 5-day rainfall
Highest daily rainfall in a year
Days per year with rainfall > 10 mm
Number of 5-day periods with rainfall > 50 mm
Frost, snowfall (cold intrusions)Number of 5-day periods with minimum temperature < 0 °C
HeatwavesHighest temperature per year
Number of consecutive days with temperature > 35 °C
DroughtsNumber of 5-day periods with zero rainfall per year
WindstormsHigh wind (velocity > 19.5 m/sec—6 Beaufort) days per year
Forest firesNumber of days with fire weather index (FWI) > 50 (extreme forest fire risk)
Table 3. Average deviation (%) between crop yields simulated by means of the DSSAT tool and observed crop yields during 2011–2019.
Table 3. Average deviation (%) between crop yields simulated by means of the DSSAT tool and observed crop yields during 2011–2019.
Eastern Macedonia and ThraceCentral MacedoniaWestern MacedoniaThessalyEpirusCentral GreecePeloponneseWestern GreeceNorth AegeanSouthern AegeanCrete
Barley−7.4−13.1−0.5−5.9 −8.6
Maize−1.1+1.4−3.8−10.5 +3.0
Wheat−0.2−10.3−0.1−15.0 −5.1
Rice−6.6−11.9
Irrigated cotton−2.4−1.9 −2.9 −3.5
Dry cotton+1.4−3.3
Sunflower−4.2+0.3−5.2
Beans+0.8−8.2−9.8−8.9 −9.2+3.0 −7.5
Summer potatoes+1.6+0.3+5.4 +12.2−9.5+7.2+4.2 −0.6−0.1
Winter potatoes −3.8−2.6 +1.5+6.6+13.2 −0.2
Cabbage−1.6−4.2 −14.4 −4.4+0.2−3.0 +0.5
Industrial tomato +1.6 +8.8 +14.3
Table tomato−3.1−9.2 −4.4 +3.4−1.7−7.5 +5.3−13.4
Table 4. Direct economic effects (EUR/year) on Greek crop farming of extreme weather events in 2021–2040 and 2041–2060 (average of five climate simulations), at the national level and for all crops 1.
Table 4. Direct economic effects (EUR/year) on Greek crop farming of extreme weather events in 2021–2040 and 2041–2060 (average of five climate simulations), at the national level and for all crops 1.
2021–20402041–2060
RCP2.6RCP4.5RCP8.5RCP2.6RCP4.5RCP8.5
Extreme rainfall and floods−14,048,286−9,378,238−13,218,186+8,265,096−25,335,800−27,216,548
Heatwaves−17,468,030−18,539,318−22,169,969−18,917,005−46,074,588−79,158,760
Frost-snow+9,044,535+23,517,917+27,005,820+22,692,890+28,772,033+39,231,133
Windstorms−1,344,702−1,312,291+139,108−218,329−339,701−352,044
Forest fires−1,344,196−1,261,005−1,642,598−1,721,690−2,366,962−1,642,598
TOTAL−25,160,680−6,972,936−10,164,042+10,100,962−45,345,017−69,138,818
1 A minus (−) sign indicates economic losses, while a positive (+) sign indicates economic benefits.
Table 5. Socio-economic effects on output and employment in 2021–2040 and 2041–2060 because of climate-induced changes in the production value of Greek crop farming and livestock—mean changes (average of five climate simulations). A minus (−) sign indicates economic losses.
Table 5. Socio-economic effects on output and employment in 2021–2040 and 2041–2060 because of climate-induced changes in the production value of Greek crop farming and livestock—mean changes (average of five climate simulations). A minus (−) sign indicates economic losses.
Estimated Socio-Economic EffectsWithout Extreme Event ImpactWith Extreme Event Impact
2021–20402041–20602021–20402041–2060
RCP2.6RCP8.5RCP2.6RCP8.5RCP2.6RCP8.5RCP2.6RCP8.5
Change in gross production value in the A01 NACE sector 1million EUR−412−633−589−946−437−643−579−1015
% change from 2018−3.49%−5.35%−4.98%−8.00%−3.70%−5.44%−4.89%−8.59%
Change in gross production value in total economymillion EUR−819−1250−1254−1887−877−1276−1241−2048
% change from 2018−0.28%−0.43%−0.43%−0.65%−0.30%−0.44%−0.43%−0.70%
Employment change in the A01 sector 11000 employees−13.1−19.3−19.0−28.8−13.8−19.7−18.7−31.1
% change from 2018−2.91%−4.34%−4.26%−6.47%−3.10%−4.43%−4.20%−6.99%
Employment change in total economy1000 employees−16.1−24.1−24.1−36.2−17.2−24.6−23.8−39.2
% change from 2018−0.41%−0.61%−0.61%−0.92%−0.43%−0.62%−0.60%−0.99%
Change in national GDP million EUR−225.7−341.5−335.3−514.3−240.1−347.1−330.6−554.0
% change from 2018−0.14%−0.21%−0.21%−0.32%−0.15%−0.22%−0.21%−0.35%
1 A01 NACE sector: crop and animal production, hunting, and related service activities. The changes in the gross production value of the sector under each future period and RCP scenario are the calculated direct economic effects on crop farming and livestock because of long-term climate change and extreme events.
Disclaimer/Publisher’s Note: The statements, opinions and data contained in all publications are solely those of the individual author(s) and contributor(s) and not of MDPI and/or the editor(s). MDPI and/or the editor(s) disclaim responsibility for any injury to people or property resulting from any ideas, methods, instructions or products referred to in the content.

Share and Cite

MDPI and ACS Style

Georgopoulou, E.; Gakis, N.; Kapetanakis, D.; Voloudakis, D.; Markaki, M.; Sarafidis, Y.; Lalas, D.P.; Laliotis, G.P.; Akamati, K.; Bizelis, I.; et al. Climate Change Risks for the Mediterranean Agri-Food Sector: The Case of Greece. Agriculture 2024, 14, 770. https://doi.org/10.3390/agriculture14050770

AMA Style

Georgopoulou E, Gakis N, Kapetanakis D, Voloudakis D, Markaki M, Sarafidis Y, Lalas DP, Laliotis GP, Akamati K, Bizelis I, et al. Climate Change Risks for the Mediterranean Agri-Food Sector: The Case of Greece. Agriculture. 2024; 14(5):770. https://doi.org/10.3390/agriculture14050770

Chicago/Turabian Style

Georgopoulou, Elena, Nikos Gakis, Dimitris Kapetanakis, Dimitris Voloudakis, Maria Markaki, Yannis Sarafidis, Dimitris P. Lalas, George P. Laliotis, Konstantina Akamati, Iosif Bizelis, and et al. 2024. "Climate Change Risks for the Mediterranean Agri-Food Sector: The Case of Greece" Agriculture 14, no. 5: 770. https://doi.org/10.3390/agriculture14050770

APA Style

Georgopoulou, E., Gakis, N., Kapetanakis, D., Voloudakis, D., Markaki, M., Sarafidis, Y., Lalas, D. P., Laliotis, G. P., Akamati, K., Bizelis, I., Daskalakis, M., Mirasgedis, S., & Tzamtzis, I. (2024). Climate Change Risks for the Mediterranean Agri-Food Sector: The Case of Greece. Agriculture, 14(5), 770. https://doi.org/10.3390/agriculture14050770

Note that from the first issue of 2016, this journal uses article numbers instead of page numbers. See further details here.

Article Metrics

Back to TopTop