Volatile Compounds and Quality Characteristics of Fresh-Cut Apples and Mixed Fruits Coated with Ascorbic Acid during Cold Storage
Abstract
1. Introduction
2. Materials and Methods
2.1. Sample and Material Preparation
2.2. Quality Analyses of Fresh-Cut Apples
2.2.1. Moisture Content and Total Soluble Solids
2.2.2. Titratable Acidity and pH
2.2.3. Changes in Appearance and Color Value
2.2.4. Texture Analysis
2.2.5. Total Viable Count and Total Coliform Count
2.2.6. Analysis of Volatile Compounds
2.3. Statistical Analysis
3. Results and Discussion
3.1. Physicochemical Properties
3.1.1. Moisture Content, Total Soluble Solids, pH, and Titratable Acidity
3.1.2. Changes in Color and Appearance
3.1.3. Texture Analysis (Firmness)
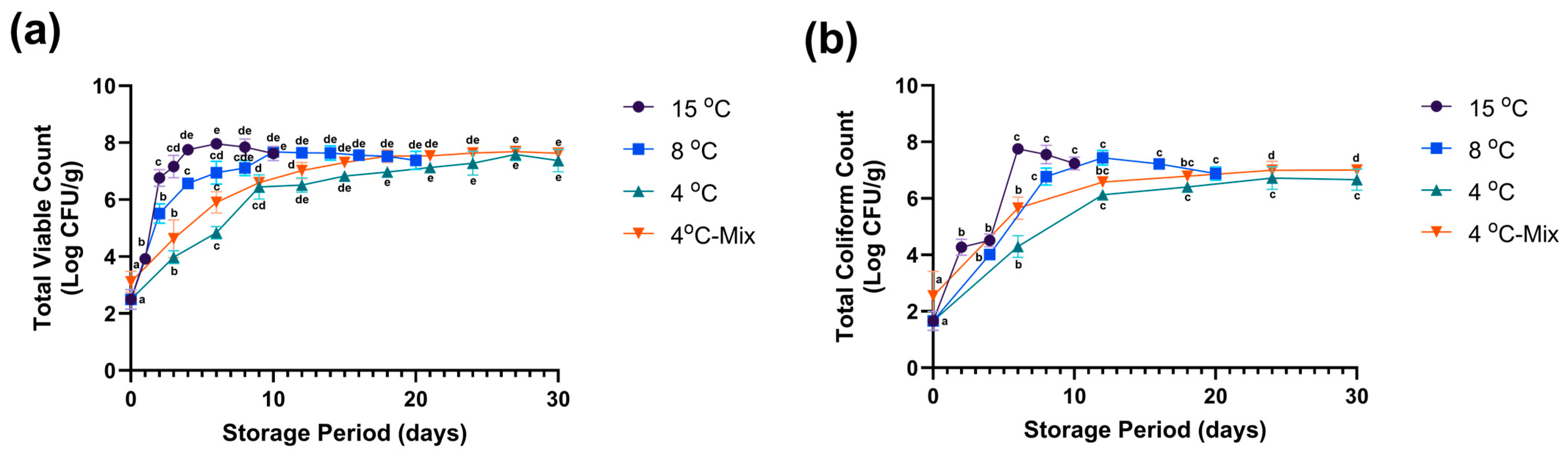
3.2. Temperature Changes and Microbial Growth
3.3. Changes of Volatile Compounds
3.4. Statistical and Variables Correlation Analysis during Storage
4. Conclusions
Author Contributions
Funding
Institutional Review Board Statement
Data Availability Statement
Acknowledgments
Conflicts of Interest
References
- Dar, A.H.; Bashir, O.; Khan, S.; Wahid, A.; Makroo, H.A. Fresh-Cut Products: Processing Operations and Equipments. In Fresh-Cut Fruits and Vegetables; Elsevier: Amsterdam, The Netherlands, 2020; pp. 77–97. ISBN 978-0-12-816184-5. [Google Scholar]
- Perinban, S.; Orsat, V.; Raghavan, V. Influence of Plasma Activated Water Treatment on Enzyme Activity and Quality of Fresh-Cut Apples. Food Chem. 2022, 393, 133421. [Google Scholar] [CrossRef]
- Mahajan, P.V.; Caleb, O.J.; Gil, M.I.; Izumi, H.; Colelli, G.; Watkins, C.B.; Zude, M. Quality and Safety of Fresh Horticultural Commodities: Recent Advances and Future Perspectives. Food Packag. Shelf Life 2017, 14, 2–11. [Google Scholar] [CrossRef]
- He, Q.; Luo, Y. Enzymatic Browning and Its Control in Fresh-Cut Produce. Stewart Postharvest Rev. 2007, 3, 1–7. [Google Scholar] [CrossRef]
- Cortellino, G.; Gobbi, S.; Bianchi, G.; Rizzolo, A. Modified Atmosphere Packaging for Shelf Life Extension of Fresh-Cut Apples. Trends Food Sci. Technol. 2015, 46, 320–330. [Google Scholar] [CrossRef]
- Özdemir, K.S.; Gökmen, V. Effect of Chitosan-Ascorbic Acid Coatings on the Refrigerated Storage Stability of Fresh-Cut Apples. Coatings 2019, 9, 503. [Google Scholar] [CrossRef]
- Dellarosa, N.; Tappi, S.; Ragni, L.; Laghi, L.; Rocculi, P.; Dalla Rosa, M. Metabolic Response of Fresh-Cut Apples Induced by Pulsed Electric Fields. Innov. Food Sci. Emerg. Technol. 2016, 38, 356–364. [Google Scholar] [CrossRef]
- Plesoianu, A.M.; Nour, V.; Tutulescu, F.; Ionica, M.E. Quality of Fresh-Cut Apples as Affected by Dip Wash Treatments with Organic Acids and Acidic Electrolyzed Water. Food Sci. Technol. 2022, 42, e62620. [Google Scholar] [CrossRef]
- Wen, Y.; Liang, Y.; Chai, W.; Wei, Q.; Yu, Z.; Wang, L. Effect of Ascorbic Acid on Tyrosinase and Its Anti-browning Activity in Fresh-cut Fuji Apple. J. Food Biochem. 2021, 45, e13995. [Google Scholar] [CrossRef]
- Tappi, S.; Velickova, E.; Mannozzi, C.; Tylewicz, U.; Laghi, L.; Rocculi, P. Multi-Analytical Approach to Study Fresh-Cut Apples Vacuum Impregnated with Different Solutions. Foods 2022, 11, 488. [Google Scholar] [CrossRef]
- Chen, L.; Pan, Y.; Jia, X.; Wang, X.; Yuan, J.; Li, X. Constant Storage Temperature Delays Firmness Decreasing and Pectin Solubilization of Apple during Post-harvest Storage. J. Food Process. Preserv. 2021, 45, e15655. [Google Scholar] [CrossRef]
- Guarrasi, V. Monitoring the Shelf-Life of Minimally Processed Fresh-Cut Apple Slices by Physical Chemical Analysis and Electronic Nose. Agrotechnology 2014, 3, 126. [Google Scholar] [CrossRef]
- Lin, M.; Chen, J.; Wu, D.; Chen, K. Volatile Profile and Biosynthesis of Post-Harvest Apples Are Affected by the Mechanical Damage. J. Agric. Food Chem. 2021, 69, 9716–9724. [Google Scholar] [CrossRef] [PubMed]
- Schmidt, S.F.P.; Schultz, E.E.; Ludwig, V.; Berghetti, M.R.P.; Thewes, F.R.; Anese, R.D.O.; Both, V.; Brackmann, A. Volatile Compounds and Overall Quality of ‘Braeburn’ Apples after Long-Term Storage: Interaction of Innovative Storage Technologies and 1-MCP Treatment. Sci. Hortic. 2020, 262, 109039. [Google Scholar] [CrossRef]
- Echeverría, G.; Fuentes, T.; Graell, J.; Lara, I.; López, M.L. Aroma Volatile Compounds of ‘Fuji’ Apples in Relation to Harvest Date and Cold Storage Technology. Postharvest Biol. Technol. 2004, 32, 29–44. [Google Scholar] [CrossRef]
- Wu, X.; Bi, J.; Fauconnier, M.-L. Characteristic Volatiles and Cultivar Classification in 35 Apple Varieties: A Case Study of Two Harvest Years. Foods 2022, 11, 690. [Google Scholar] [CrossRef] [PubMed]
- Loutfi, A.; Coradeschi, S.; Mani, G.K.; Shankar, P.; Rayappan, J.B.B. Electronic Noses for Food Quality: A Review. J. Food Eng. 2015, 144, 103–111. [Google Scholar] [CrossRef]
- Laksana, A.J.; Choi, Y.-M.; Kim, J.-H.; Kim, B.-S.; Kim, J.-Y. Real-Time Monitoring the Effects of Storage Conditions on Volatile Compounds and Quality Indexes of Halal-Certified Kimchi during Distribution Using Electronic Nose. Foods 2022, 11, 2323. [Google Scholar] [CrossRef]
- Palou, E.; Lopez-Malo, A.; Barbosa-Canovas, G.V.; Welti-Chanes, J.; Swanson, B.G. Polyphenoloxidase Activity and Color of Blanched and High Hydrostatic Pressure Treated Banana Puree. J. Food Sci. 1999, 64, 42–45. [Google Scholar] [CrossRef]
- Zha, Z.; Tang, R.; Wang, C.; Li, Y.; Liu, S.; Wang, L.; Wang, K. Riboflavin Inhibits Browning of Fresh-Cut Apples by Repressing Phenolic Metabolism and Enhancing Antioxidant System. Postharvest Biol. Technol. 2022, 187, 111867. [Google Scholar] [CrossRef]
- Yimenu, S.M.; Kim, J.Y.; Kim, B.S. Prediction of Egg Freshness during Storage Using Electronic Nose. Poult. Sci. 2017, 96, 3733–3746. [Google Scholar] [CrossRef]
- Yang, H.; Cheng, S.; Lin, R.; Wang, S.; Wang, H.; Wang, H.; Tan, M. Investigation on Moisture Migration, Microstructure and Quality Changes of Fresh-cut Apple during Storage. Int. J. Food Sci. Tech. 2021, 56, 293–301. [Google Scholar] [CrossRef]
- Wu, Z.S.; Zhang, M.; Wang, S. Effects of High Pressure Argon Treatments on the Quality of Fresh-Cut Apples at Cold Storage. Food Control 2012, 23, 120–127. [Google Scholar] [CrossRef]
- Rocha, A.M.C.N.; Morais, A.M.M.B. Shelf Life of Minimally Processed Apple (Cv. Jonagored) Determined by Colour Changes. Food Control 2003, 14, 13–20. [Google Scholar] [CrossRef]
- Osuga, R.; Koide, S.; Sakurai, M.; Orikasa, T.; Uemura, M. Quality and Microbial Evaluation of Fresh-Cut Apples during 10 Days of Supercooled Storage. Food Control 2021, 126, 108014. [Google Scholar] [CrossRef]
- Liu, X.; Ren, J.; Zhu, Y.; Han, W.; Xuan, H.; Ge, L. The Preservation Effect of Ascorbic Acid and Calcium Chloride Modified Chitosan Coating on Fresh-Cut Apples at Room Temperature. Colloids Surf. A Physicochem. Eng. Asp. 2016, 502, 102–106. [Google Scholar] [CrossRef]
- Ayón-Reyna, L.E.; Ayón-Reyna, L.G.; López-López, M.E.; López-Angulo, G.; Pineda-Hidalgo, K.V.; Zazueta-Niebla, J.A.; Vega-García, M.O. Changes in Ascorbic Acid and Total Phenolics Contents Associated with Browning Inhibition of Pineapple Slices. Food Sci. Technol. 2019, 39, 531–537. [Google Scholar] [CrossRef]
- Dumitru Veleșcu, I.; Nicoleta Rațu, R.; Arsenoaia, V.-N.; Roșca, R.; Marian Cârlescu, P.; Țenu, I. Research on the Process of Convective Drying of Apples and Apricots Using an Original Drying Installation. Agriculture 2023, 13, 820. [Google Scholar] [CrossRef]
- Perez-Gago, M.B.; Serra, M.; Río, M.A.D. Color Change of Fresh-Cut Apples Coated with Whey Protein Concentrate-Based Edible Coatings. Postharvest Biol. Technol. 2006, 39, 84–92. [Google Scholar] [CrossRef]
- Horison, R.; Sulaiman, F.O.; Alfredo, D.; Wardana, A.A. Browning Inhibition of Fresh-Cut Apple by Coating Carrageenan/Ascorbic Acid/ZnO Nanoparticles. Food Res. 2022, 6, 368–373. [Google Scholar] [CrossRef]
- Joshi, A.P.K.; Rupasinghe, H.P.V.; Pitts, N.L.; Khanizadeh, S. Biochemical Characterization of Enzymatic Browning in Selected Apple Genotypes. Can. J. Plant Sci. 2007, 87, 1067–1074. [Google Scholar] [CrossRef]
- Ornelas-Paz, J.D.J.; Quintana-Gallegos, B.M.; Escalante-Minakata, P.; Reyes-Hernández, J.; Pérez-Martínez, J.D.; Rios-Velasco, C.; Ruiz-Cruz, S. Relationship between the Firmness of Golden Delicious Apples and the Physicochemical Characteristics of the Fruits and Their Pectin during Development and Ripening. J. Food Sci. Technol. 2018, 55, 33–41. [Google Scholar] [CrossRef]
- Matabura, V.V. Modelling of Firmness Variability of Jonagold Apple during Postharvest Storage. J. Food Sci. Technol. 2022, 59, 1487–1498. [Google Scholar] [CrossRef]
- Sila, D.; Duvetter, T.; De Roeck, A.; Verlent, I.; Smout, C.; Van Loey, A. Texture Changes of Processed Plant Based Foods: Potential Role of Novel Technologies. Trends Food Sci. Technol. 2007, 19, 309–319. [Google Scholar] [CrossRef]
- James, B.; Fonseca, C. Texture studies and compression behaviour of apple flesh. Int. J. Mod. Phys. B 2006, 20, 3993–3998. [Google Scholar] [CrossRef]
- Salvatori, D.; Andrés, A.; Albors, A.; Chiralt, A.; Fito, P. Structural and Compositional Profiles in Osmotically Dehydrated Apple. J. Food Sci. 1998, 63, 606–610. [Google Scholar] [CrossRef]
- Garcia, L.; Henderson, J.; Fabri, M.; Oke, M. Potential Sources of Microbial Contamination in Unpasteurized Apple Cider. J. Food Prot. 2006, 69, 137–144. [Google Scholar] [CrossRef]
- Lang, M.M.; Ingham, S.C.; Ingham, B.H. Verifying Apple Cider Plant Sanitation and Hazard Analysis Critical Control Point Programs: Choice of Indicator Bacteria and Testing Methods. J. Food Prot. 1999, 62, 887–893. [Google Scholar] [CrossRef] [PubMed]
- Quiles, A.; Hernando, I.; Pérez-Munuera, I.; Lluch, M.Á. Effect of Calcium Propionate on the Microstructure and Pectin Methy- Lesterase Activity in the Parenchyma of Fresh-cut Fuji Apples. J. Sci. Food Agric. 2007, 87, 511–519. [Google Scholar] [CrossRef]
- Chiabrando, V.; Giacalone, G. Effect of Chitosan and Sodium Alginate Edible Coatings on the Postharvest Quality of Fresh-Cut Nectarines during Storage. Fruits 2016, 71, 79–85. [Google Scholar] [CrossRef]
- Andrés, S.C.; Giannuzzi, L.; Zaritzky, N.E. The Effect of Temperature on Microbial Growth in Apple Cubes Packed in Film and Preserved by Use of Orange Juice. Int. J. Food Sci. Tech. 2004, 39, 927–933. [Google Scholar] [CrossRef]
- Ndraha, N.; Hsiao, H.-I.; Vlajic, J.; Yang, M.-F.; Lin, H.-T.V. Time-Temperature Abuse in the Food Cold Chain: Review of Issues, Challenges, and Recommendations. Food Control 2018, 89, 12–21. [Google Scholar] [CrossRef]
- Coorey, R.; Ng, D.S.H.; Jayamanne, V.S.; Buys, E.M.; Munyard, S.; Mousley, C.J.; Njage, P.M.K.; Dykes, G.A. The Impact of Cooling Rate on the Safety of Food Products as Affected by Food Containers. Comp. Rev. Food Sci. Food Safe 2018, 17, 827–840. [Google Scholar] [CrossRef]
- Li, R.; Shi, J.; Li, C.; Ren, X.; Tao, Y.; Ma, F.; Liu, Z.; Liu, C. Characterization of the Key Odorant Compounds in ‘Qinguan’ Apples (Malus × Domestica). LWT 2023, 184, 115052. [Google Scholar] [CrossRef]
- Spaho, N.; Gaši, F.; Leitner, E.; Blesić, M.; Akagić, A.; Žuljević, S.O.; Kurtović, M.; Ratković, D.Đ.; Murtić, M.S.; Akšić, M.F.; et al. Characterization of Volatile Compounds and Flavor in Spirits of Old Apple and Pear Cultivars from the Balkan Region. Foods 2021, 10, 1258. [Google Scholar] [CrossRef] [PubMed]
- Nikfar, S.; Behboudi, A.F. Limonene. In Encyclopedia of Toxicology; Elsevier: Amsterdam, The Netherlands, 2014; pp. 78–82. ISBN 978-0-12-386455-0. [Google Scholar]
- Wright, A.H.; Delong, J.M.; Arul, J.; Prange, R.K. The Trend toward Lower Oxygen Levels during Apple (Malus × Domestica Borkh) Storage. J. Hortic. Sci. Biotechnol. 2015, 90, 1–13. [Google Scholar] [CrossRef]
- Kader, A.A. Flavor Quality of Fruits and Vegetables. J. Sci. Food Agric. 2008, 88, 1863–1868. [Google Scholar] [CrossRef]
- Hahs-Vaughn, D.L. Foundational Methods: Descriptive Statistics: Bivariate and Multivariate Data (Correlations, Associations). In International Encyclopedia of Education, 4th ed.; Elsevier: Amsterdam, The Netherlands, 2023; pp. 734–750. ISBN 978-0-12-818629-9. [Google Scholar]
- Zhao, Q.; Tang, S.; Fang, X.; Wang, Z.; Jiang, Y.; Guo, X.; Zhu, J.; Zhang, Y. The Effect of Lactiplantibacillus Plantarum BX62 Alone or in Combination with Chitosan on the Qualitative Characteristics of Fresh-Cut Apples during Cold Storage. Microorganisms 2021, 9, 2404. [Google Scholar] [CrossRef]
- Forney, C.F.; Hildebrand, P.D.; Saltveit, M.E. Production of methanethiol by anaerobic broccoli and microorganisms. Acta Hortic. 1993, 343, 100–104. [Google Scholar] [CrossRef]
- Wang, K.; Ke, S.; Fang, W.; Liu, F.; Zhang, Z. Agroactive Volatile Organic Compounds from Microbes: Chemical Diversities and Potentials of Application in Crop Protection. Adv. Agrochem. 2023, 2, 39–57. [Google Scholar] [CrossRef]
- Zhang, S.; Guo, F.; Yan, W.; Dong, W.; Zhou, J.; Zhang, W.; Xin, F.; Jiang, M. Perspectives for the Microbial Production of Ethyl Acetate. Appl. Microbiol. Biotechnol. 2020, 104, 7239–7245. [Google Scholar] [CrossRef]












| Chemical Compound | CAS 1 | Formula | Odor Description 2 |
|---|---|---|---|
| Methanol | 67-56-1 | CH4O | Pungent Odor |
| Methanethiol | 74-93-1 | CH4S | Cheese, Fishy, Garlic, Rotten Egg, Rotten Cabbage, and Sulfurous |
| Ethyl Acetate | 141-78-6 | C4H8O2 | Acidic, Butter, Caramelized, Fruity, Pineapple, and Sweet |
| S(-)2-Methyl-1-Butanol | 1565-80-6 | C5H12O | Fruity and Malty |
| Propyl Propanoate | 105-54-4 | C6H12O2 | Apple and Pineapple Odor |
| Ethyl Isovalerate | 108-64-5 | C7H14O2 | Anise, Apple, Blackcurrant, Cashew, Fruity, and Sweet |
| 1-Hexanol | 111-27-3 | C6H14O | Floral, Fruity, Grassy, Green, Mild Woody, Sweet, and Toasty |
| Acetaldehyde | 75-07-0 | C2H4O | Ethereal, Fresh, Fruity, and Pungent |
| Ethyl Butyrate | 105-54-4 | C6H12O2 | Banana, Bubblegum, Caramelized, Strawberry, and Sweet |
| Limonene | 5989-27-5 | C10H16 | Citrus, Fruity, Minty, Orange, and Peely-like |
Disclaimer/Publisher’s Note: The statements, opinions and data contained in all publications are solely those of the individual author(s) and contributor(s) and not of MDPI and/or the editor(s). MDPI and/or the editor(s) disclaim responsibility for any injury to people or property resulting from any ideas, methods, instructions or products referred to in the content. |
© 2024 by the authors. Licensee MDPI, Basel, Switzerland. This article is an open access article distributed under the terms and conditions of the Creative Commons Attribution (CC BY) license (https://creativecommons.org/licenses/by/4.0/).
Share and Cite
Laksana, A.J.; Kim, J.-H.; Ahn, J.-H.; Kim, J.-Y. Volatile Compounds and Quality Characteristics of Fresh-Cut Apples and Mixed Fruits Coated with Ascorbic Acid during Cold Storage. Agriculture 2024, 14, 474. https://doi.org/10.3390/agriculture14030474
Laksana AJ, Kim J-H, Ahn J-H, Kim J-Y. Volatile Compounds and Quality Characteristics of Fresh-Cut Apples and Mixed Fruits Coated with Ascorbic Acid during Cold Storage. Agriculture. 2024; 14(3):474. https://doi.org/10.3390/agriculture14030474
Chicago/Turabian StyleLaksana, Andri Jaya, Jong-Hoon Kim, Jae-Hwan Ahn, and Ji-Young Kim. 2024. "Volatile Compounds and Quality Characteristics of Fresh-Cut Apples and Mixed Fruits Coated with Ascorbic Acid during Cold Storage" Agriculture 14, no. 3: 474. https://doi.org/10.3390/agriculture14030474
APA StyleLaksana, A. J., Kim, J.-H., Ahn, J.-H., & Kim, J.-Y. (2024). Volatile Compounds and Quality Characteristics of Fresh-Cut Apples and Mixed Fruits Coated with Ascorbic Acid during Cold Storage. Agriculture, 14(3), 474. https://doi.org/10.3390/agriculture14030474

