Assessment of Climate Change Effects of Drought Conditions Using the Soil and Water Assessment Tool
Abstract
1. Introduction
2. Materials and Methods
2.1. Study Area
2.2. Analytical Modeling
2.3. Calibration and Validation of Model
2.4. Climate Change Scenarios
- Mitigation scenario (RCP2.6);
- Medium stabilization scenarios (RCP4.5/RCP6.0);
- Very high baseline scenario (RCP8.5).
2.5. Drought Indication and Indices
3. Results
3.1. Historical Simulations
3.2. Future Climate Change Projections
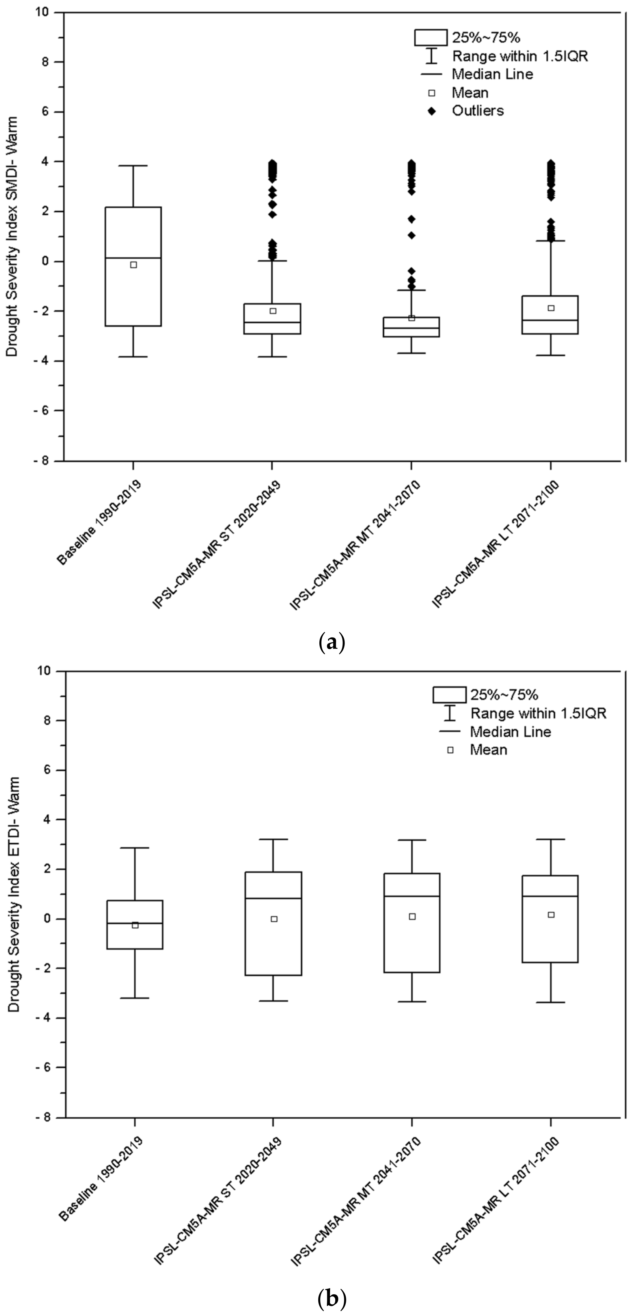
3.2.1. RCP4.5
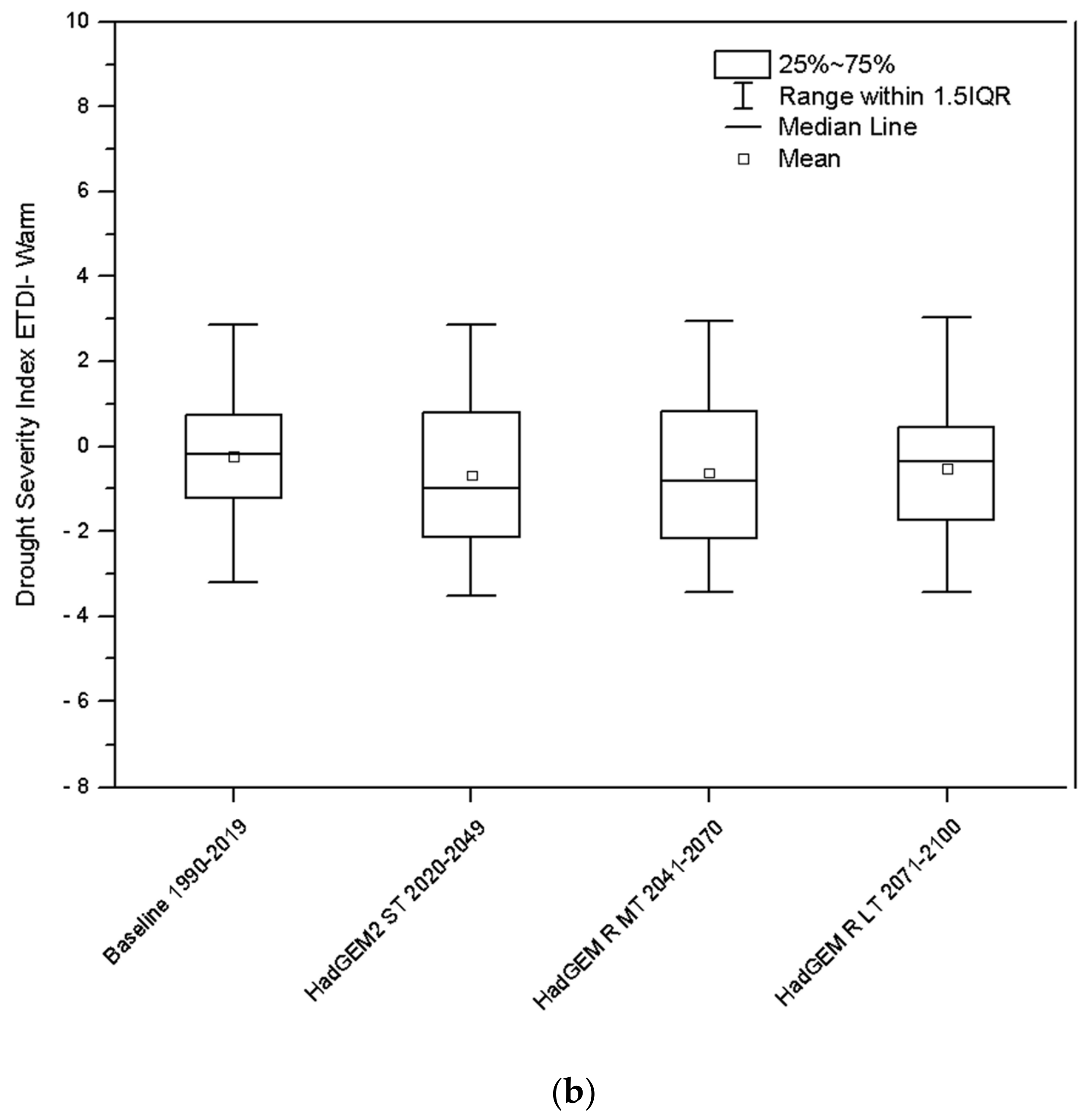
3.2.2. RCP8.5
4. Discussion
5. Conclusions
Author Contributions
Funding
Data Availability Statement
Acknowledgments
Conflicts of Interest
References
- RIWRB Rhode Island Water Resources Board 2012 Strategic Plan. Available online: http://www.wrb.ri.gov/policy_statutes_planning/WRB_StrategicPlan_031612.pdf (accessed on 18 July 2023).
- Chambers, B.M.; Pradhanang, S.M.; Gold, A.J. Simulating Climate Change Induced Thermal Stress in Coldwater Fish Habitat Using SWAT Model. Water 2017, 9, 732. [Google Scholar] [CrossRef]
- Chambers, B.; Pradhanang, S.M.; Gold, A.J. Assessing Thermally Stressful Events in a Rhode Island Coldwater Fish Habitat Using the SWAT Model. Water 2017, 9, 667. [Google Scholar] [CrossRef]
- Hayhoe, K.; Wake, C.; Anderson, B.; Liang, X.-Z.; Maurer, E.; Zhu, J.; Bradbury, J.; DeGaetano, A.; Stoner, A.M.; Wuebbles, D. Regional Climate Change Projections for the Northeast USA. Mitig. Adapt. Strateg. Glob. Change 2008, 13, 425–436. [Google Scholar] [CrossRef]
- Hayhoe, K.; Wake, C.P.; Huntington, T.G.; Luo, L.; Schwartz, M.D.; Sheffield, J.; Wood, E.; Anderson, B.; Bradbury, J.; DeGaetano, A.; et al. Past and Future Changes in Climate and Hydrological Indicators in the US Northeast. Clim. Dyn. 2007, 28, 381–407. [Google Scholar] [CrossRef]
- Pradhanang, S.; Mukundan, R.; Schneiderman, E.M.; Zion, M.S.; Anandhi, A.; Pierson, D.C.; Frei, A.; Easton, Z.M.; Fuka, D.; Steenhuis, T.S. Streamflow Responses to Climate Change: Analysis of Hydrologic Indicators in a New York City Water Supply Watershed. J. Am. Water Resour. Assoc. 2013, 49, 1308–1326. [Google Scholar] [CrossRef]
- Neitsch, S.L.; Arnold, J.G.; Kiniry, J.R.; Williams, J.R. Soil and Water Assessment Tool Theoretical Documentation Version 2009; Texas Water Resources Institute: College Station, TX, USA, 2011.
- Mukundan, R.; Pradhanang, S.M.; Schneiderman, E.M.; Pierson, D.C.; Anandhi, A.; Zion, M.S.; Matonse, A.H.; Lounsbury, D.G.; Steenhuis, T.S. Suspended Sediment Source Areas and Future Climate Impact on Soil Erosion and Sediment Yield in a New York City Water Supply Watershed, USA. Geomorphology 2013, 183, 110–119. [Google Scholar] [CrossRef]
- van Vliet, M.T.H.; Franssen, W.H.P.; Yearsley, J.R.; Ludwig, F.; Haddeland, I.; Lettenmaier, D.P.; Kabat, P. Global River Discharge and Water Temperature under Climate Change. Glob. Environ. Chang. 2013, 23, 450–464. [Google Scholar] [CrossRef]
- Shrestha, S.G.; Pradhanang, S.M. Optimal Selection of Representative Climate Models and Statistical Downscaling for Climate Change Impact Studies: A Case Study of Rhode Island, USA. Theor. Appl. Climatol. 2022, 149, 695–708. [Google Scholar] [CrossRef]
- World Meteorological Organization; Global Water Partnership. Handbook of Drought Indicators and Indices; WMO: Geneva, Switzerland; GWP: Stockholm, Sweden, 2016. [Google Scholar]
- Narasimhan, B.; Srinivasan, R. Development and Evaluation of Soil Moisture Deficit Index (SMDI) and Evapotranspiration Deficit Index (ETDI) for Agricultural Drought Monitoring. Agric. For. Meteorol. 2005, 133, 69–88. [Google Scholar] [CrossRef]
- Tan, M.L.; Gassman, P.W.; Yang, X.; Haywood, J. A Review of SWAT Applications, Performance and Future Needs for Simulation of Hydro-Climatic Extremes. Adv. Water Resour. 2020, 143, 103662. [Google Scholar] [CrossRef]
- Dickerman, D.C. Aquifer Tests in the Stratified Drift, Chipuxet River Basin, Rhode Island; U.S. Geological Survey: Reston, VA, USA, 1984.
- Johnston, H.E.; Dickerman, D.C. Hydrology, Water Quality, and Ground-Water-Development Alternatives in the Chipuxet Ground-Water Reservoir, Rhode Island; Water-Resources Investigations Report; U.S. Geological Survey: Reston, VA, USA, 1985; Volume 84-4254.
- Wood-Pawcatuck Stewardship Council. Wood-Pawcatuck Wild and Scenic Rivers. Available online: https://wpwildrivers.org/ (accessed on 17 July 2023).
- Friesz, P.J.; Stone, J.R. Areas Contributing Recharge to Production Wells and Effects of Climate Change on the Groundwater System in the Chipuxet River and Chickasheen Brook Basins, Rhode Island; Scientific Investigations Report; U.S. Geological Survey: Reston, VA, USA, 2015; Volume 2014-5216, p. 70.
- Jahan, K.; Pradhanang, S.M.; Bhuiyan, M.A.E. Surface Runoff Responses to Suburban Growth: An Integration of Remote Sensing, GIS, and Curve Number. Land 2021, 10, 452. [Google Scholar] [CrossRef]
- Schoumans, O.F.; Silgram, M.; Groenendijk, P.; Bouraoui, F.; Andersen, H.E.; Kronvang, B.; Behrendt, H.; Arheimer, B.; Johnsson, H.; Panagopoulos, Y.; et al. Description of Nine Nutrient Loss Models: Capabilities and Suitability Based on Their Characteristics. J. Environ. Monit. 2009, 11, 506–514. [Google Scholar] [CrossRef] [PubMed]
- Francesconi, W.; Srinivasan, R.; Pérez-Miñana, E.; Willcock, S.P.; Quintero, M. Using the Soil and Water Assessment Tool (SWAT) to Model Ecosystem Services: A Systematic Review. J. Hydrol. 2016, 535, 625–636. [Google Scholar] [CrossRef]
- Devia, G.K.; Ganasri, B.P.; Dwarakish, G.S. A Review on Hydrological Models. Aquat. Procedia 2015, 4, 1001–1007. [Google Scholar] [CrossRef]
- Abbaspour, K.C. User Manual for Swat-Cup, Swat Calibration and Uncertainty Analysis Programs; Swiss Federal Institute of Aquatic Science and Technology, EAWAG: Dubendorf, Switzerland, 2007. [Google Scholar]
- Monteith, J.L. Evaporation and Environment. Symp. Soc. Exp. Biol. 1965, 19, 205–234. [Google Scholar] [PubMed]
- RIGIS. Available online: https://www.rigis.org/ (accessed on 29 August 2023).
- 2011 Statewide Lidar—UTM. Available online: https://www.rigis.org/pages/2011-statewide-lidar-utm (accessed on 29 August 2023).
- Land Use and Land Cover. 2020. Available online: https://www.rigis.org/datasets/edc::land-use-and-land-cover-2020/about (accessed on 29 August 2023).
- Soils. Available online: https://www.rigis.org/datasets/edc::soils/about (accessed on 29 August 2023).
- Global Historical Climatology Network Daily (GHCNd). Available online: https://www.ncei.noaa.gov/products/land-based-station/global-historical-climatology-network-daily (accessed on 29 August 2023).
- Sao, D.; Kato, T.; Tu, L.H.; Thouk, P.; Fitriyah, A.; Oeurng, C. Evaluation of Different Objective Functions Used in the SUFI-2 Calibration Process of SWAT-CUP on Water Balance Analysis: A Case Study of the Pursat River Basin, Cambodia. Water 2020, 12, 2901. [Google Scholar] [CrossRef]
- Nash, J.E.; Sutcliffe, J.V. River Flow Forecasting through Conceptual Models Part I—A Discussion of Principles. J. Hydrol. 1970, 10, 282–290. [Google Scholar] [CrossRef]
- Abbas, S.A.; Xuan, Y.; Bailey, R.T. Assessing Climate Change Impact on Water Resources in Water Demand Scenarios Using SWAT-MODFLOW-WEAP. Hydrology 2022, 9, 164. [Google Scholar] [CrossRef]
- Moriasi, D.N.; Arnold, J.G.; Van Liew, M.W.; Bingner, R.L.; Harmel, R.D.; Veith, T.L. Model Evaluation Guidelines for Systematic Quantification of Accuracy in Watershed Simulations. Am. Soc. Agric. Biol. Eng. 2007, 50, 885–900. [Google Scholar] [CrossRef]
- Van Liew, M.W.; Veith, T.L.; Bosch, D.D.; Arnold, J.G. Suitability of SWAT for the Conservation Effects Assessment Project: Comparison on USDA Agricultural Research Service Watersheds. J. Hydrol. Eng. 2007, 12, 173–189. [Google Scholar] [CrossRef]
- Historical Data and Conditions. Available online: https://www.drought.gov/historical-information (accessed on 29 August 2023).
- Kelley, M.; Schmidt, G.A.; Nazarenko, L.S.; Bauer, S.E.; Ruedy, R.; Russell, G.L.; Ackerman, A.S.; Aleinov, I.; Bauer, M.; Bleck, R.; et al. GISS-E2.1: Configurations and Climatology. J. Adv. Model. Earth Syst. 2020, 12, e2019MS002025. [Google Scholar] [CrossRef]
- Canadian Centre for Climate Modelling and Analysis. Climate Model: Second Generation Canadian Earth System Model. Available online: https://www.canada.ca/en/environment-climate-change/services/climate-change/science-research-data/modeling-projections-analysis/centre-modelling-analysis/models/second-generation-earth-system-model.html (accessed on 20 November 2023).
- Jeffrey, S.; Rotstayn, L.; Collier, M.; Dravitzki, S.; Hamalainen, C.; Moeseneder, C.; Wong, K.; Syktus, J. Australia’s CMIP5 Submission Usingthe CSIRO-Mk3.6 Model. Aust. Meteorol. Oceanogr. J. 2013, 63, 1–13. [Google Scholar] [CrossRef]
- Dufresne, J.-L.; Foujols, M.-A.; Denvil, S.; Caubel, A.; Marti, O.; Aumont, O.; Balkanski, Y.; Bekki, S.; Bellenger, H.; Benshila, R.; et al. Climate Change Projections Using the IPSL-CM5 Earth System Model: From CMIP3 to CMIP5. Clim. Dyn. 2013, 40, 2123–2165. [Google Scholar] [CrossRef]
- Jones, C.D.; Hughes, J.K.; Bellouin, N.; Hardiman, S.C.; Jones, G.S.; Knight, J.; Liddicoat, S.; O’Connor, F.M.; Andres, R.J.; Bell, C.; et al. The HadGEM2-ES Implementation of CMIP5 Centennial Simulations. Geosci. Model Dev. 2011, 4, 543–570. [Google Scholar] [CrossRef]
- Rybicki, T. Indicators of Hydrologic Alteration. The Conservation Gateway—The Nature Conservancy. Available online: https://journals.ametsoc.org/view/journals/apme/60/8/JAMC-D-20-0275.1.xml (accessed on 26 September 2023).
- Kim, D.; Lee, W.S.; Kim, S.T.; Chun, J.A. Historical drought assessment over the contiguous United States using the generalized complementary principle of evapotranspiration. Water Resour. Res. 2019, 55, 6244–6267. [Google Scholar] [CrossRef]
- Ratajczak, Z.; D’Odorico, P.; Collins, S.L.; Bestelmeyer, B.T.; Isbell, F.I.; Nippert, J.B. The interactive effects of press/pulse intensity and duration on regime shifts at multiple scales. Ecol. Monogr. 2017, 87, 198–218. [Google Scholar] [CrossRef]
- Clark-Wolf, T.J.; Dee Boersma, P.; Rebstock, G.A.; Abrahms, B. Climate presses and pulses mediate the decline of a migratory predator. Proc. Natl. Acad. Sci. USA 2023, 120, e2209821120. [Google Scholar] [CrossRef] [PubMed]
- Detenbeck, N.; Balukas, J.; Besedin, E.; Le, A. Watershed Management Optimization Support Tool Benefits Module: Theoretical Documentationl; U.S. Environmental Protection Agency: Washington, DC, USA, 2020.











| Timestep | R2 | PBIAS | NSE |
|---|---|---|---|
| Daily | 0.61 | 11.65 | 0.60 |
| Monthly | 0.69 | 11.86 | 0.66 |
| Timestep | R2 | PBIAS | NSE |
|---|---|---|---|
| Daily | 0.58 | 12.50 | 0.56 |
| Monthly | 0.73 | 12.53 | 0.69 |
| Parameter | Definition | Value Range | Units |
|---|---|---|---|
| GW_DELAY.gw | Groundwater delay | 3.0–5.0 | days |
| CN2.mgt | SCS runoff curve number | −0.58–−0.47 | - |
| SOL_Z.sol | Depth from soil surface to bottom of layer | −0.15–−0.01 | mm |
| SOL_K.sol | Saturated hydraulic conductivity | −0.03–0.1 | mm/h |
| SFTMP.bsn | Snowfall temperature | −1.5–−0.07 | °C |
| OV_N.hru | Manning’s “n” value for overland flow 1 | 0.93–1.1 | - |
| SMTMP.bsn | Snow melt temperature | 1.0–2.0 | °C |
| GW_REVAP.gw | Groundwater “revap” coefficient 2 | 0.45–0.61 | - |
| GW_SPYLD.gw | Specific yield of the shallow aquifer | 0.08–0.16 | m3/m3 |
| CH_K2.rte | Effective hydraulic conductivity in main channel alluvium | −0.3–−0.2 | mm/h |
| RCP | CMIP Model | Projection |
|---|---|---|
| RCP4.5 | GISS-E2-R_r6i1p3 1 | Cold |
| CanESM2_r4i1p1 2 | Warm | |
| RCP8.5 | CSIRO-Mk3-6-0_r5i1p1 3 | Cold |
| IPSL-CM5A-MR_r1i1p1 4 | Warm | |
| HadGEM2-ES_r4i1p1 5 | Warm |
| Parameter | Flow (m3/s) | CV (%) |
|---|---|---|
| 1-day | 0.1 | 103.5 |
| 3-day | 0.1 | 103.0 |
| 7-day | 0.1 | 99.7 |
| 30-day | 0.2 | 87.4 |
| 90-day | 0.3 | 66.4 |
| Period | Precipitation (mm) | ET (mm) | PET (mm) | Runoff (mm) | Shallow AQ (mm) | Deep AQ (mm) | Water Stress (d) |
|---|---|---|---|---|---|---|---|
| Short-Term | 793.1 | 381.9 | 1443.8 | 46.5 | 386.6 | 36.3 | 62.4 |
| Med-Term | 812.1 | 387.5 | 1473.6 | 49.0 | 398.1 | 37.3 | 41.3 |
| Long-Term | 798.1 | 381.9 | 1512.1 | 50.7 | 389.2 | 36.5 | 54.4 |
| Period | 7-Day (m3/s) | 30-Day (m3/s) | 90-Day (m3/s) | Zero Flow (d) | Low Pulses | Low-Pulse Duration |
|---|---|---|---|---|---|---|
| Short-Term | 0.1 | 0.2 | 0.4 | 0.2 | 6.8 | 14.9 |
| Med-Term | 0.1 | 0.2 | 0.4 | 0.2 | 6.6 | 14.9 |
| Long-Term | 0.1 | 0.1 | 0.3 | 0.1 | 6.3 | 15.4 |
| Period | Precipitation (mm) | ET (mm) | PET (mm) | Runoff (mm) | Shallow AQ (mm) | Deep AQ (mm) | Water Stress (d) |
|---|---|---|---|---|---|---|---|
| Short-Term | 1553.2 | 325.6 | 1060.5 | 56.2 | 1099.2 | 98.8 | 99.3 |
| Med-Term | 1704.6 | 332.2 | 1059.5 | 63.6 | 1219.9 | 109.4 | 101.4 |
| Long-Term | 1899.1 | 340.5 | 1063.9 | 73.0 | 1375.0 | 123.0 | 103.1 |
| Period | 7-Day (m3/s) | 30-Day (m3/s) | 90-Day (m3/s) | Zero Flow (d) | Low Pulses | Low-Pulse Duration |
|---|---|---|---|---|---|---|
| Short-Term | 0.1 | 0.1 | 0.5 | 1.6 | 2.4 | 40.5 |
| Med-Term | 0.1 | 0.1 | 0.7 | 0.3 | 2.1 | 44.7 |
| Long-Term | 0.2 | 0.2 | 1.0 | 0.5 | 2.4 | 41.1 |
| Period | Precipitation (mm) | ET (mm) | PET (mm) | Runoff (mm) | Shallow AQ (mm) | Deep AQ (mm) | Water Stress (d) |
|---|---|---|---|---|---|---|---|
| Short-Term | 3289.3 | 238.1 | 768.4 | 168.9 | 2583.7 | 230.4 | 82.4 |
| Med-Term | 3520.2 | 247.6 | 792.7 | 182.3 | 2766.0 | 246.5 | 86.8 |
| Long-Term | 3892.5 | 261.7 | 831.0 | 203.7 | 3061.4 | 272.5 | 93.3 |
| Period | 7-Day (m3/s) | 30-Day (m3/s) | 90-Day (m3/s) | Zero Flow (d) | Low Pulses | Low Pulse-Duration |
|---|---|---|---|---|---|---|
| Short-Term | 1.3 | 1.7 | 3.5 | 0.1 | 5.2 | 19.7 |
| Med-Term | 1.6 | 2.2 | 3.9 | 0.3 | 5.6 | 18.6 |
| Long-Term | 2.3 | 3.0 | 4.3 | 0.0 | 5.7 | 18.3 |
| Period | Precipitation (mm) | ET (mm) | PET (mm) | Runoff (mm) | Shallow AQ (mm) | Deep AQ (mm) | Water Stress (d) |
|---|---|---|---|---|---|---|---|
| Short-Term | 3176.0 | 230.2 | 743.7 | 156.2 | 2501.7 | 222.7 | 67.2 |
| Med-Term | 3589.1 | 246.6 | 787.2 | 182.1 | 2827.5 | 251.7 | 72.8 |
| Long-Term | 4009.5 | 259.2 | 815.4 | 211.8 | 3160.1 | 281.0 | 79.54 |
| Period | 7-Day (m3/s) | 30-Day (m3/s) | 90-Day (m3/s) | Zero Flow (d) | Low Pulses | Low Pulse-Duration |
|---|---|---|---|---|---|---|
| Short-Term | 1.4 | 1.6 | 2.4 | 0.0 | 3.8 | 28.3 |
| Med-Term | 1.8 | 2.1 | 3.1 | 0.2 | 4.1 | 29.0 |
| Long-Term | 2.3 | 2.7 | 3.8 | 0.1 | 4.6 | 24.9 |
| Period | Precipitation (mm) | ET (mm) | PET (mm) | Runoff (mm) | Shallow AQ (mm) | Deep AQ (mm) | Water Stress (d) |
|---|---|---|---|---|---|---|---|
| Short-Term | 135.9 | 224.3 | 1463.5 | 2.7 | 0.2 | 0.3 | 182.9 |
| Med-Term | 159.9 | 253.4 | 1576.4 | 3.6 | 0.6 | 0.8 | 72.7 |
| Long-Term | 155.9 | 258.8 | 1708.3 | 3.3 | 0.2 | 0.4 | 60.5 |
| Period | 7-Day (m3/s) | 30-Day (m3/s) | 90-Day (m3/s) | Zero Flow (d) | Low Pulses | Low-Pulse Duration |
|---|---|---|---|---|---|---|
| Short-Term | 0.0 | 0.0 | 0.0 | 316.9 | 15.7 | 21.7 |
| Med-Term | 0.0 | 0.0 | 0.0 | 290.3 | 16.9 | 18.1 |
| Long-Term | 0.0 | 0.0 | 0.0 | 313.3 | 18.0 | 18.8 |
Disclaimer/Publisher’s Note: The statements, opinions and data contained in all publications are solely those of the individual author(s) and contributor(s) and not of MDPI and/or the editor(s). MDPI and/or the editor(s) disclaim responsibility for any injury to people or property resulting from any ideas, methods, instructions or products referred to in the content. |
© 2024 by the authors. Licensee MDPI, Basel, Switzerland. This article is an open access article distributed under the terms and conditions of the Creative Commons Attribution (CC BY) license (https://creativecommons.org/licenses/by/4.0/).
Share and Cite
Tulungen, C.; Pradhanang, S.M. Assessment of Climate Change Effects of Drought Conditions Using the Soil and Water Assessment Tool. Agriculture 2024, 14, 233. https://doi.org/10.3390/agriculture14020233
Tulungen C, Pradhanang SM. Assessment of Climate Change Effects of Drought Conditions Using the Soil and Water Assessment Tool. Agriculture. 2024; 14(2):233. https://doi.org/10.3390/agriculture14020233
Chicago/Turabian StyleTulungen, Christian, and Soni M. Pradhanang. 2024. "Assessment of Climate Change Effects of Drought Conditions Using the Soil and Water Assessment Tool" Agriculture 14, no. 2: 233. https://doi.org/10.3390/agriculture14020233
APA StyleTulungen, C., & Pradhanang, S. M. (2024). Assessment of Climate Change Effects of Drought Conditions Using the Soil and Water Assessment Tool. Agriculture, 14(2), 233. https://doi.org/10.3390/agriculture14020233

