The Effect of Microplastics with Different Types, Particle Sizes, and Concentrations on the Germination of Non-Heading Chinese Cabbage Seed
Abstract
1. Introduction
2. Materials and Methods
2.1. Materials
2.2. Seed Germination Testing in Exposure Environments with Different Types and Particle Sizes of MPs
2.3. Seed Germination Testing in Exposure Environments with Different Types and Concentrations of MPs
2.4. The Effect of MPs on Starch Content and Amylase Activity During Seed Germination
2.5. Data Analysis
3. Results
3.1. Effects of MPs with Different Types and Particle Sizes on Seed Germination Parameters
3.2. Effects of MPs with Different Types and Particle Sizes on the Morphology and Biomass of Germinated Seeds
3.3. Effects of MPs with Different Types and Concentrations on Seed Germination Parameters
3.4. Effects of MPs with Different Types and Concentrations on the Morphology and Biomass of Germinated Seeds
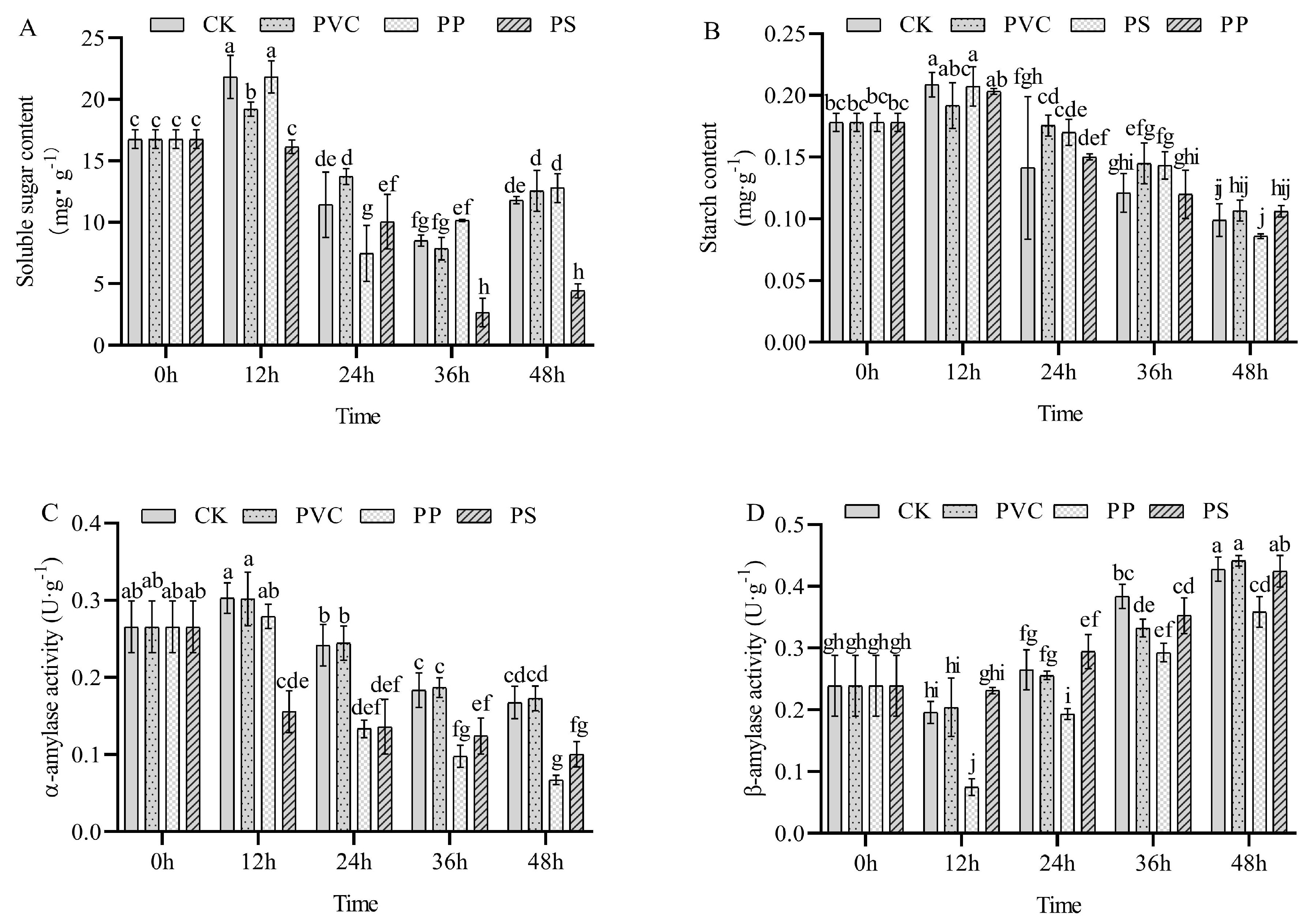
3.5. Effects of PVC, PS, and PP on Starch Metabolism During Seed Germination
3.6. PCA Analysis
4. Discussion
5. Conclusions
Author Contributions
Funding
Institutional Review Board Statement
Informed Consent Statement
Data Availability Statement
Conflicts of Interest
References
- Rillig, M.C.; Lehmann, A. Microplastic in terrestrial ecosystems. Science 2020, 368, 1430–1431. [Google Scholar] [CrossRef] [PubMed]
- Ng, E.L.; Lwanga, E.H.; Eldridge, S.M.; Johnston, P.; Hu, H.W.; Geissen, V.; Chen, D. An overview of microplastic and nanoplastic pollution in agroecosystems. Sci. Total Environ. 2018, 627, 1377–1388. [Google Scholar] [CrossRef] [PubMed]
- Xu, B.; Liu, F.; Cryder, Z.; Huang, D.; Lu, Z.; He, Y.; Wang, H.; Lu, Z.; Brookes, P.C.; Tang, C.; et al. Microplastics in the soil environment: Occurrence, risks, interactions and fate—A review. Crit. Rev. Environ. Sci. Technol. 2020, 50, 2175–2222. [Google Scholar] [CrossRef]
- Qi, R.; Jones, D.L.; Li, Z.; Liu, Q.; Yan, C. Behavior of microplastics and plastic film residues in the soil environment: B A critical review. Sci. Total Environ. 2020, 703, 134722. [Google Scholar] [CrossRef]
- Chen, Y.; Wu, C.; Zhang, H.; Lin, Q.; Hong, Y.; Luo, Y. Empirical estimation of pollution load and contamination levels of phthalate esters in agricultural soils from plastic film mulching in China. Environ. Earth Sci. 2013, 70, 239–247. [Google Scholar] [CrossRef]
- Ma, Z.; Liu, Y.; Zhang, Q.; Ying, G. The usage and environmental pollution of agricultural plastic film. Asian J. Ecotoxicol. 2020, 15, 21–32. [Google Scholar]
- Zhang, Z.; Cui, Q.; Chen, L.; Zhu, X.; Zhao, S.; Duan, C.; Zhang, Z.; Song, D.; Fang, L. A critical review of microplastics in the soil-plant system: Distribution, uptake, phytotoxicity and prevention. J. Hazard. Mater. 2022, 424, 127750. [Google Scholar] [CrossRef]
- Sahasa RG, K.; Dhevagi, P.; Poornima, R.; Ramya, A.; Moorthy, P.S.; Alagirisamy, B.; Karthikeyan, S. Effect of polyethylene microplastics on seed germination of Blackgram (Vigna mungo L.) and Tomato (Solanum lycopersicum L.). Environ. Adv. 2023, 11, 100349. [Google Scholar] [CrossRef]
- de Souza Machado, A.A.; Lau, C.W.; Kloas, W.; Bergmann, J.; Bachelier, J.B.; Faltin, E.; Becker, R.; Görlich, A.S.; Rillig, M.C. Microplastics can change soil properties and affect plant performance. Environ. Sci. Technol. 2019, 53, 6044–6052. [Google Scholar] [CrossRef]
- Lian, J.; Liu, W.; Meng, L.; Wu, J.; Zeb, A.; Cheng, L.; Lian, Y.; Sun, H. Effects of microplastics derived from polymer-coated fertilizer on maize growth, rhizosphere, and soil properties. J. Clean. Prod. 2019, 318, 128571. [Google Scholar] [CrossRef]
- Wang, J.; Li, J.; Liu, W.; Zeb, A.; Wang, Q.; Zheng, Z.; Shi, R.; Zheng, Z.; Liu, L. Three typical microplastics affect the germination and growth of amaranth (Amaranthus mangostanus L.) seedlings. Plant Physiol. Biochem. 2023, 194, 589–599. [Google Scholar] [CrossRef] [PubMed]
- Shi, R.; Liu, W.; Lian, Y.; Wang, Q.; Zeb, A.; Tang, J. Phytotoxicity of polystyrene, polyethylene and polypropylene microplastics on tomato (Lycopersicon esculentum L.). J. Environ. Manag. 2022, 317, 115441. [Google Scholar] [CrossRef] [PubMed]
- Pignattelli, S.; Broccoli, A.; Renzi, M. Physiological responses of garden cress (L. sativum) to different types of microplastics. Sci. Total Environ. 2020, 727, 138609. [Google Scholar] [CrossRef] [PubMed]
- Liu, X.; Liu, L.; Li, M.; Liu, Q.; Cao, D.; Zheng, H.; Luo, X. Effects of polyethylene microplastics with different particle sizes on seed germination and seedling growth of maize and cucumber. Ecol. Environ. 2022, 31, 1263. [Google Scholar]
- Li, B.; Huang, S.; Wang, H.; Liu, M.; Xue, S.; Tang, D.; Tang, D.; Cheng, W.; Fan, T.; Yang, X. Effects of plastic particles on germination and growth of soybean (Glycine max): A pot experiment under field condition. Environ. Pollut. 2021, 272, 116418. [Google Scholar] [CrossRef]
- Guo, M.; Zhao, F.; Tian, L.; Ni, K.; Lu, Y.; Borah, P. Effects of polystyrene microplastics on the seed germination of herbaceous ornamental plants. Sci. Total Environ. 2022, 809, 151100. [Google Scholar] [CrossRef]
- Lian, J.; Shen, M.; Liu, W. Effects of microplastics on wheat seed germination and seedling growth. J. Agro-Environ. Sci. 2019, 38, 737–745. [Google Scholar]
- Wang, F.; Feng, X.; Liu, Y.; Adams, C.A.; Sun, Y.; Zhang, S. Micro (nano) plastics and terrestrial plants: Up-To-Date knowledge on uptake, translocation, and phytotoxicity. Resour. Conserv. Recycl. 2022, 185, 106503. [Google Scholar] [CrossRef]
- Dong, R.; Liu, R.; Xu, Y.; Liu, W.; Wang, L.; Liang, X.; Huang, Q.; Sun, Y. Single and joint toxicity of polymethyl methacrylate microplastics and As (V) on rapeseed (Brassia campestris L.). Chemosphere 2022, 291, 133066. [Google Scholar] [CrossRef]
- Yu, Y.; Li, J.; Song, Y.; Zhang, Z.; Yu, S.; Xu, M.; Zhao, Y. Stimulation versus inhibition: The effect of microplastics on pak choi growth. Appl. Soil Ecol. 2022, 177, 104505. [Google Scholar] [CrossRef]
- Zhang, Z.; Li, Y.; Qiu, T.; Duan, C.; Chen, L.; Zhao, S.; Zhang, X.; Fang, L. Microplastics addition reduced the toxicity and uptake of cadmium to Brassica chinensis L. Sci. Total Environ. 2022, 852, 158353. [Google Scholar] [CrossRef] [PubMed]
- Yaldagard, M.; Mortazavi, S.A.; Tabatabaie, F. The effect of ultrasound in combination with thermal treatment on the germinated barley’s alpha-amylase activity. Korean J. Chem. Eng. 2008, 25, 517–523. [Google Scholar] [CrossRef]
- Yin, M.; Wang, D.; Wang, J.; Lan, M.; Zhao, J.; Dong, S.; Song, X.; Alam, S.; Yuan, X.; Wang, Y.; et al. Effects of exogenous nitric oxide on seed germination and starch transformation of sorghum seeds under salt stress. Sci. Agric. Sin. 2019, 52, 4119–4128. [Google Scholar]
- Lozano, Y.M.; Caesaria, P.U.; Rillig, M.C. Microplastics of different shapes increase seed germination synchrony while only films and fibers affect seed germination velocity. Front. Environ. Sci. 2022, 10, 1017349. [Google Scholar] [CrossRef]
- Bosker, T.; Bouwman, L.J.; Brun, N.R.; Behrens, P.; Vijver, M.G. Microplastics accumulate on pores in seed capsule and delay germination and root growth of the terrestrial vascular plant Lepidium sativum. Chemosphere 2019, 226, 774–781. [Google Scholar] [CrossRef] [PubMed]
- Pehlivan, N.; Gedik, K. Particle size-dependent biomolecular footprints of interactive microplastics in maize. Environ. Pollut. 2021, 277, 116772. [Google Scholar] [CrossRef]
- Liwarska-Bizukojc, E. Phytotoxicity assessment of biodegradable and non-biodegradable plastics using seed germination and early growth tests. Chemosphere 2022, 289, 133132. [Google Scholar] [CrossRef]
- Shorobi, F.M.; Vyavahare, G.D.; Seok, Y.J.; Park, J.H. Effect of polypropylene microplastics on seed germination and nutrient uptake of tomato and cherry tomato plants. Chemosphere 2023, 329, 138679. [Google Scholar] [CrossRef]
- Giorgetti, L.; Spanò, C.; Muccifora, S.; Bottega, S.; Barbieri, F.; Bellani, L.; Castiglione, M.R. Exploring the interaction between polystyrene nanoplastics and Allium cepa during germination: Internalization in root cells, induction of toxicity and oxidative stress. Plant Physiol. Biochem. 2020, 149, 170–177. [Google Scholar] [CrossRef]
- Gao, M.; Liu, Y.; Song, Z. Effects of polyethylene microplastic on the phytotoxicity of di-n-butyl phthalate in lettuce (Lactuca sativa L. var. ramosa Hort). Chemosphere 2019, 237, 124482. [Google Scholar] [CrossRef]
- Lian, J.; Liu, W.; Meng, L.; Wu, J.; Chao, L.; Zeb, A.; Sun, Y. Foliar-applied polystyrene nanoplastics (PSNPs) reduce the growth and nutritional quality of lettuce (Lactuca sativa L.). Environ. Pollut. 2021, 280, 116978. [Google Scholar] [CrossRef] [PubMed]
- Li, Z.; Li, R.; Li, Q.; Zhou, J.; Wang, G. Physiological response of cucumber (Cucumis sativus L.) leaves to polystyrene nanoplastics pollution. Chemosphere 2020, 255, 127041. [Google Scholar] [CrossRef] [PubMed]
- Yang, M.; Huang, D.Y.; Tian, Y.B.; Zhu, Q.H.; Zhang, Q.; Zhu, H.H.; Xu, C. Influences of different source microplastics with different particle sizes and application rates on soil properties and growth of Chinese cabbage (Brassica chinensis L.). Ecotoxicol. Environ. Saf. 2021, 222, 112480. [Google Scholar] [CrossRef] [PubMed]
- Li, Z.; Li, Q.; Li, R.; Zhou, J.; Wang, G. The distribution and impact of polystyrene nanoplastics on cucumber plants. Environ. Sci. Pollut. Res. 2021, 28, 16042–16053. [Google Scholar] [CrossRef]
- Wang, Y.; Xiang, L.; Wang, F.; Redmile-Gordon, M.; Bian, Y.; Wang, Z.; Gu, C.; Jiang, X.; Schaffer, A.; Xing, B. Transcriptomic and metabolomic changes in lettuce triggered by microplastics-stress. Environ. Pollut. 2023, 320, 121081. [Google Scholar] [CrossRef]







| MPs Type | Particle Size | Germination Rate/% | Germination Index | Vitality Index |
|---|---|---|---|---|
| PVC | Ck | 96.00 ± 4.18 a | 1.79 ± 0.09 ab | 99.50 ± 3.41 c |
| 550 μm | 100.00 ± 0.00 a | 1.80 ± 0.13 ab | 124.73 ± 3.80 b | |
| 250 μm | 96.00 ± 4.18 a | 1.67 ± 0.10 cd | 107.97 ± 7.59 c | |
| 150 μm | 96.00 ± 4.18 a | 1.57 ± 0.03 d | 90.56 ± 8.95 c | |
| 106 μm | 98.00 ± 2.74 a | 1.73 ± 0.05 bc | 148.67 ± 12.44 a | |
| 75 μm | 100 ± 0.00 a | 1.85 ± 0.04 a | 156.35 ± 19.93 a | |
| 48 μm | 100 ± 0.00 a | 1.75 ± 0.06 abc | 104.62 ± 2.70 cc | |
| 15 μm | 98.00 ± 2.74 a | 1.70 ± 0.05 bc | 155.87 ± 18.02 a | |
| 6.5 μm | 100 ± 0.00 a | 1.79 ± 0.05 ab | 158.46 ± 10.52 a | |
| PP | Ck | 100 ± 0.00 a | 1.50 ± 0.06 a | 69.24 ± 5.21 bc |
| 250 μm | 98.00 ± 2.74 a | 1.51 ± 0.06 a | 79.94 ± 20.78 bc | |
| 150 μm | 99.00 ± 2.24 a | 1.59 ± 0.10 a | 84.59 ± 14.01 bc | |
| 106 μm | 98.00 ± 2.74 a | 1.59 ± 0.06 a | 67.83 ± 10.89 c | |
| 75 μm | 98.00 ± 2.74 a | 1.57 ± 0.11 a | 102.73 ± 12.02 a | |
| 48 μm | 98.00 ± 4.47 a | 1.49 ± 0.09 a | 80.48 ± 8.96 bc | |
| 15 μm | 99.00 ± 2.24 a | 1.53 ± 0.10 a | 85.78 ± 6.84 b | |
| 6.5 μm | 100.00 ± 0.00 a | 1.58 ± 0.05 a | 66.80 ± 12.77 c | |
| PE | Ck | 96.00 ± 4.18 a | 1.52 ± 0.07 b | 89.34 ± 8.40 ab |
| 550 μm | 97.00 ± 4.47 a | 1.60 ± 0.09 ab | 101.94 ± 12.41 ab | |
| 250 μm | 99.00 ± 2.24 a | 1.57 ± 0.07 ab | 80.80 ± 23.93 b | |
| 150 μm | 100.00 ± 0.00 a | 1.60 ± 0.11 ab | 107.54 ± 23.88 a | |
| 16 μm | 96.00 ± 2.24 a | 1.50 ± 0.03 b | 80.30 ± 12.18 b | |
| 75 μm | 98.00 ± 4.47 a | 1.54 ± 0.06 ab | 87.68 ± 9.73 ab | |
| 48 μm | 97.00 ± 4.47 a | 1.65 ± 0.08 a | 87.47 ± 10.06 ab | |
| 15 μm | 97.00 ± 4.47 a | 1.66 ± 0.10 a | 82.71 ± 14.22 b | |
| 6.5 μm | 97.00 ± 2.74 a | 1.48 ± 0.13 b | 82.47 ± 11.38 b | |
| PET | Ck | 87.00 ± 13.51 ab | 1.19 ± 0.20 ab | 71.65 ± 10.09 a |
| 550 μm | 89.00 ± 9.62 ab | 1.03 ± 0.17 bcd | 55.14 ± 12.27 abc | |
| 250 μm | 88.00 ± 7.58 ab | 0.97 ± 0.08 cd | 42.99 ± 3.59 d | |
| 150 μm | 95.00 ± 7.07 a | 1.10 ± 0.02 abc | 64.04 ± 13.19 ab | |
| 106 μm | 99.00 ± 2.24 a | 1.11 ± 0.08 abc | 68.09 ± 10.12 ab | |
| 75 μm | 88.00 ± 10.37 ab | 0.96 ± 0.10 cd | 47.27 ± 13.28 de | |
| 48 μm | 82.00 ± 9.08 b | 0.87 ± 0.07 d | 39.39 ± 10.57 d | |
| 15 μm | 97.00 ± 6.71 a | 1.18 ± 0.12 ab | 71.12 ± 11.27 a | |
| 6.5 μm | 96.00 ± 2.24 a | 1.24 ± 0.10 a | 59.11 ± 5.04 abc | |
| S | Ck | 99.00 ± 2.24 a | 2.03 ± 0.08 ab | 76.11 ± 16.72 b |
| 550 μm | 99.00 ± 2.24 a | 2.07 ± 0.07 a | 79.52 ± 11.54 b | |
| 250 μm | 98.00 ± 2.74 a | 1.98 ± 0.15 ab | 108.54 ± 19.56 a | |
| 150 μm | 98.00 ± 2.74 a | 2.07 ± 0.12 a | 114.50 ± 19.21 a | |
| 106 μm | 99.00 ± 2.24 a | 2.11 ± 0.09 a | 88.59 ± 5.08 b | |
| 75 μm | 96.00 ± 2.24 a | 2.01 ± 0.14 ab | 85.73 ± 12.48 b | |
| 48 μm | 96.00 ± 4.18 a | 1.91 ± 0.10 b | 80.85 ± 18.14 b | |
| 15 μm | 99.00 ± 2.24 a | 1.89 ± 0.10 b | 67.61 ± 7.06 b |
| MPs Type | Concentration (g/L) | Germination Rate/% | Germination Index | Vitality Index |
|---|---|---|---|---|
| PVC | CK | 80.00 ± 10.95 b | 1.68 ± 0.27 ab | 138.78 ± 18.39 c |
| 0.25 | 96.67 ± 8.16 a | 1.94 ± 0.22 ab | 199.24 ± 18.14 ab | |
| 0.5 | 86.67 ± 13.66 ab | 1.68 ± 0.19 ab | 174.39 ± 28.92 b | |
| 1 | 85.00 ± 10.49 ab | 1.66 ± 0.20 b | 188.79 ± 10.40 ab | |
| 2 | 83.33 ± 12.11 ab | 1.85 ± 0.33 ab | 193.86 ± 8.94 ab | |
| 4 | 93.33 ± 10.33 a | 1.93 ± 0.21 a | 220.83 ± 9.65 a | |
| 8 | 93.33 ± 8.16 a | 1.94 ± 0.25 ab | 221.91 ± 32.13 ab | |
| 16 | 96.67 ± 5.16 a | 1.80 ± 0.17 ab | 182.11 ± 22.20 ab | |
| PET | CK | 80.00 ± 5.00 b | 1.60 ± 0.19 c | 72.33 ± 16.50 abc |
| 0.25 | 89.00 ± 8.22 ab | 1.89 ± 0.17 ab | 91.65 ± 12.16 a | |
| 0.5 | 95.00 ± 6.12 a | 2.03 ± 0.10 a | 78.64 ± 15.08 ab | |
| 1 | 88.00 ± 14.40 ab | 1.61 ± 0.29 c | 54.50 ± 17.70 c | |
| 2 | 95.00 ± 5.00 a | 1.89 ± 0.10 ab | 81.66 ± 10.64 ab | |
| 4 | 87.00 ± 4.47 ab | 1.82 ± 0.05 abc | 59.89 ± 9.34 bc | |
| 8 | 90.00 ± 7.91 ab | 1.74 ± 0.23 bc | 73.24 ± 20.12 abc | |
| 16 | 89.00 ± 4.18 ab | 1.85 ± 0.06 abc | 73.78 ± 11.03 bc | |
| PS | CK | 100.00 ± 0.00 a | 2.01 ± 0.11 a | 67.30 ± 8.07 b |
| 0.25 | 99.00 ± 2.24 a | 1.95 ± 0.05 a | 64.33 ± 7.30 b | |
| 0.5 | 100.00 ± 0.00 a | 2.03 ± 0.11 a | 91.40 ± 15.52 a | |
| 1 | 99.00 ± 2.24 a | 2.00 ± 0.25 a | 73.91 ± 18.75 ab | |
| 2 | 100.00 ± 0.00 a | 2.00 ± 0.19 a | 64.22 ± 17.73 b | |
| 4 | 100.00 ± 0.00 a | 2.08 ± 0.12 a | 65.69 ± 12.52 b | |
| 8 | 100.00 ± 0.00 a | 2.15 ± 0.12 a | 75.45 ± 17.81 ab | |
| 16 | 100.00 ± 0.00 a | 2.02 ± 0.19 a | 71.61 ± 10.34 ab | |
| PP | CK | 90 ± 8.67 ab | 1.74 ± 0.16 ab | 75.56 ± 17.62 abc |
| 0.25 | 83.00 ± 7.58 b | 1.54 ± 0.06 c | 74.26 ± 15.62 bc | |
| 0.5 | 89.00 ± 4.18 ab | 1.72 ± 0.12 ab | 90.47 ± 18.55 ab | |
| 1 | 91.00 ± 6.52 ab | 1.67 ± 0.11 abc | 90.54 ± 13.04 ab | |
| 2 | 91.00 ± 6.52 ab | 1.63 ± 0.08 abc | 61.30 ± 4.98 c | |
| 4 | 89.00 ± 4.18 ab | 1.60 ± 0.13 abc | 71.66 ± 14.21 bc | |
| 8 | 89.00 ± 8.94 ab | 1.65 ± 0.21 abc | 101.27 ± 23.70 a | |
| 16 | 96.00 ± 4.18 a | 1.89 ± 0.08 a | 84.52 ± 28.04 abc |
Disclaimer/Publisher’s Note: The statements, opinions and data contained in all publications are solely those of the individual author(s) and contributor(s) and not of MDPI and/or the editor(s). MDPI and/or the editor(s) disclaim responsibility for any injury to people or property resulting from any ideas, methods, instructions or products referred to in the content. |
© 2024 by the authors. Licensee MDPI, Basel, Switzerland. This article is an open access article distributed under the terms and conditions of the Creative Commons Attribution (CC BY) license (https://creativecommons.org/licenses/by/4.0/).
Share and Cite
Zeng, X.; Yang, X.; Tang, X.; Xu, L.; Hu, J.; Wang, M.; Wang-Pruski, G.; Zhang, Z. The Effect of Microplastics with Different Types, Particle Sizes, and Concentrations on the Germination of Non-Heading Chinese Cabbage Seed. Agriculture 2024, 14, 2056. https://doi.org/10.3390/agriculture14112056
Zeng X, Yang X, Tang X, Xu L, Hu J, Wang M, Wang-Pruski G, Zhang Z. The Effect of Microplastics with Different Types, Particle Sizes, and Concentrations on the Germination of Non-Heading Chinese Cabbage Seed. Agriculture. 2024; 14(11):2056. https://doi.org/10.3390/agriculture14112056
Chicago/Turabian StyleZeng, Xiaolei, Xinyue Yang, Xianhuan Tang, Lixian Xu, Jing Hu, Mingcheng Wang, Gefu Wang-Pruski, and Zhizhong Zhang. 2024. "The Effect of Microplastics with Different Types, Particle Sizes, and Concentrations on the Germination of Non-Heading Chinese Cabbage Seed" Agriculture 14, no. 11: 2056. https://doi.org/10.3390/agriculture14112056
APA StyleZeng, X., Yang, X., Tang, X., Xu, L., Hu, J., Wang, M., Wang-Pruski, G., & Zhang, Z. (2024). The Effect of Microplastics with Different Types, Particle Sizes, and Concentrations on the Germination of Non-Heading Chinese Cabbage Seed. Agriculture, 14(11), 2056. https://doi.org/10.3390/agriculture14112056

