Abstract
In densely planted solar greenhouses, tomato crops face increasing challenges with pest and disease control due to high temperature and humidity conditions. The existing spraying equipment often suffers from low mechanization and inadequate foliar deposition coverage. This study presents the design of a vertical spray bar electrostatic sprayer, which combines a multi-nozzle vertical spray bar with electrostatic spraying technology, making it suitable for greenhouse applications. In order to obtain the best working parameters of the sprayer, the coverage rate of the front and back sides of the tomato leaves was taken as the performance target. Key influencing factors, including electrostatic voltage, spray pressure, and target distance, were investigated using a multi-factor response surface methodology. Field experiments were conducted in a greenhouse environment based on the optimized parameters to validate the performance. The results indicate that: (1) The factors influencing droplet adherence on the upper surface of tomato leaves ranked in the order of target distance, spray pressure, and electrostatic voltage, while for the underside, the order was electrostatic voltage, target distance, and spray pressure. (2) Under the conditions of electrostatic voltage of 10 kV, spray pressure of 0.7 MPa, and target distance of 35 cm, the sprayer achieves the optimal operation of leaf comprehensive coverage. (3) Compared to non-electrostatic spraying, the greenhouse electrostatic sprayer significantly improved the coverage on both sides of the leaves, enhancing pesticide utilization efficiency. This novel electrostatic sprayer meets the operational requirements for greenhouse crop protection in the Xinjiang region of China.
1. Introduction
Vegetables are one of the primary sources of essential nutrients for humans, and as a major producer of vegetables, China has seen rapid growth in its facility agriculture sector. Plant protection operations play a crucial role in facility management, directly affecting the quality and yield of vegetables [1,2]. The high temperature and humidity in greenhouses often lead to frequent pest and disease outbreaks, and the narrow planting of crops hinder the use of large-scale plant protection machinery. Currently, chemical control methods are widely used for greenhouse plant protection, primarily relying on portable manual sprayers or backpack sprayers. However, these devices have an effective pesticide utilization rate of only 20–30% and are ineffective in covering the undersides of leaves, resulting in excessive spray volumes. This not only leads to soil pollution and pesticide residue exceeding safety standards, but also fails to achieve the desired pest control effects [3,4]. Therefore, developing an efficient plant protection sprayer suitable for greenhouse environments is of great significance for the sustainable development of the facility vegetable industry.
The multi-nozzle electrostatic spraying technology combines boom spraying with electrostatic spraying. In boom spraying, multiple nozzles are mounted on either horizontal or vertical spray bars, and the pesticide is delivered through the spray bar system to the leaf surfaces. This multi-nozzle boom spraying method is highly efficient, provides uniform droplet distribution, and covers a large area, making it particularly suitable for the mid-to-late growth stages of greenhouse crops, characterized by tall plants with dense foliage [5]. Electrostatic spraying, on the other hand, utilizes an energy supply to charge an electrostatic generator, creating static electricity between the nozzle and the target. As droplets are sprayed, they become electrically charged under the influence of this field. Fog droplets accumulate the electric charge as they pass through the electric field, creating static electricity [6]. During the transport of droplets, if we neglect the influence of the external environment, charged droplets primarily experience the effects of their own gravity and the electric field force after leaving the nozzle. However, since the transported droplets generally have small diameters, the electric field force plays a dominant role during the transport process. Under the influence of the electric field force, charged droplets are attracted to the surfaces of target crops. Additionally, due to the penetrating nature of electric field lines, droplets can not only deposit on the surfaces of target crops but can also penetrate into the interior of the crops, settling on the undersides of leaves and other hidden areas, thereby enhancing the adhesion of pesticides [7,8]. Additionally, due to the electrostatic effect, the insecticide particles are more evenly distributed over the entire plant surface, thus improving pest control [9].
The safety and reliability of droplet charging are crucial in the design of electrostatic spraying systems, as the quality of the charged mass directly affects the efficacy of electrostatic forces in crop protection operations. Currently, there are four common charging methods: corona charging, triboelectric charging, direct conductive charging, and induction charging, with triboelectric charging having little application in pesticide electrostatic spraying [10]. Contact charging typically operates at voltages ranging from 20 to 30 kV. In this method, the liquid or nozzle is directly connected to one end of a high-voltage power supply for charging, while the other end is grounded, resulting in good charging effectiveness. However, this method requires high insulation for the electrostatic spraying system, as the entire spraying system is electrified, posing certain safety risks. Corona charging operates at voltages above 30 kV, using high-voltage electrode tips to ionize the surrounding air, making it relatively easy to operate. This method is also applicable to standard nozzles, but the high voltage presents inherent dangers. Induction charging typically operates at voltages ranging from 1 to 15 kV, with the high-voltage power supply positioned between the electrode and the nozzle, creating an electrostatic field near the electrode. This method has insulation requirements only at the induction electrode and is generally safer.
The multi-nozzle electrostatic spraying technology effectively integrates the advantages of both boom spraying and electrostatic spraying, providing a new perspective for the optimization of spraying equipment. Previous studies have indicated that boom sprayers are commonly used for pest and disease control in plant protection operations. Research by Bian Hailiang demonstrated that the droplet size and coverage uniformity of multi-nozzle boom sprayers can meet the disease control requirements for cabbage crops [11]. Lu Xinyu’s study showed that the hydraulic atomizing boom sprayer had good spray performance with small nozzle flow error and smaller droplet size with increasing spray pressure when operating between greenhouse rows; however, the average droplet size was relatively large and the coverage of the lower side of the blade was not ideal [12]. Electrostatic spraying has proven to be more effective in adhering to the target plant surface, reducing pesticide waste, and lowering user costs. Barton et al. [13] used electrostatic technology to charge pesticide powders, enhancing their adhesion to plant surfaces. Law designed a pneumatic electrostatic induction nozzle with embedded electrodes, which significantly improved pesticide utilization compared to conventional nozzles [14]. Appah et al. [15] investigated the effects of applied voltage (0–12 kV) and spray height (20–60 cm) on spray chargeability, droplet size, spray width, and droplet deposition, while keeping other parameters constant. Aneesha et al. [16] compared the efficacy of an electrostatic sprayer, mist blower (air-assisted sprayer), and air compression sprayer (hydraulic sprayer) for pest control, and quantified that the pesticide utilization efficiency of the electrostatic sprayer was 1.5 times that of the air-assisted sprayer and twice that of the air compression sprayer. Heli et al. [17] evaluated the effects of low application rates and different spray compositions on corn spray deposition using an electrostatic sprayer, analyzing factors such as droplet chargeability, interference with spray solution conductivity, loss to the soil, and deposition on corn plants. Their experiments revealed that the electrostatic sprayer improved spraying efficiency. Julián et al. [18] examined the application of plant protection products using a handheld electrostatic sprayer, comparing canopy deposition, uniformity, and ground loss against traditional handheld sprayers. The results showed that the electrostatic spraying equipment increased canopy deposition by 1.48 times, reduced the application rate by 48%, increased the underside leaf deposition by 1.78 times, and decreased ground loss by 36.36%. Mandeep Pathania et al. [19] assessed the effectiveness of knapsack sprayers, tractor-mounted sprayers, and electrostatic sprayers for pest and disease control in citrus orchards, finding that the electrostatic sprayer reduced spray volume by 30%. Xue Xiuyun [20] used the orthogonal experiment method to determine the optimal operational parameters for an electrostatic sprayer in citrus orchards. Venkata R.M. et al. [21] designed an electrostatic backpack spray system suitable for small farms and investigated the effect of applied voltage on the liquid conductivity at different spray pressures and electrode positions. The results indicated that selecting an appropriate voltage can influence the conductivity of the liquid, thereby affecting the spraying efficiency. Similarly, Manoj K.P. et al. [22] developed an air-assisted electrostatic spray system and found that the target distance has a significant impact on the spray charge-to-mass ratio, consequently affecting the spraying performance. Zhou H et al. [23] designed a rail-mounted electrostatic spraying device based on the growth characteristics of grape canopies in orchards, investigating the effects of four factors—spraying distance, charging pressure, and wind pressure—on the deposition efficiency on leaf surfaces. The results indicated that electrostatic spraying technology can effectively enhance deposition and penetration within the grapevine canopy. Tavares, RM et al. [24] evaluated the effectiveness of electrostatic and non-electrostatic spraying technologies to address the challenge of pesticide application for pest control on pomegranate trees. The results showed that electrostatic spraying is effective in controlling pests on pomegranate trees, with losses of the spray mixture to the soil being up to four times smaller with electrostatic spraying. Heli H et al. [25] studied the impact of electrostatic spraying on pest control in field soybean crops. The results demonstrated that electrostatic spraying significantly increased deposition on the target crops; however, there was no increase in deposition in the lower third of the soybean canopy. Marques, RS et al. [26] conducted research on pest control in field corn crops using electrostatic spraying technology. The findings indicated that, compared to traditional spraying techniques, electrostatic spraying increased deposition on corn and reduced the amount of pesticide applied, resulting in effective pest control.
From the literature reviewed, it is evident that previous research primarily focused on electrostatic spraying theory, nozzle improvements, and the development of backpack electrostatic sprayers, mainly for open-field plant protection applications. The development of self-propelled electrostatic spraying equipment for greenhouse environments has been relatively slow in both China and other countries, and studies on inter-row multi-nozzle electrostatic sprayers for greenhouse applications remain limited.
Considering the current state of pesticide application research in greenhouse inter-row environments and in line with greenhouse agronomic requirements, this study aims to design a self-propelled inter-row electrostatic sprayer. Based on the pre-design selection of electrostatic nozzles, to determine the optimal operational parameters of the sprayer, this study focuses on three key factors: target distance, spray pressure, and electrostatic voltage, using the coverage on both the upper and lower surfaces of greenhouse tomato leaves as the performance indicators. A multi-factor orthogonal experiment was designed to identify the best working parameters. The goal of this research is to provide equipment support and valuable reference for the advancement of plant protection machinery in greenhouse applications.
2. Materials and Methods
2.1. Design of the Self-Propelled Inter-Row Electrostatic Sprayer
As shown in Figure 1, the self-propelled electric electrostatic sprayer for inter-row operations mainly consists of a driving chassis, vertical spray bar, electrostatic device, and pesticide delivery system. Farmers can control the movement of the chassis and activate the pesticide delivery system via a remote control device. The electrostatic device is powered by the sprayer’s built-in 12V battery (Camel Group Co., Ltd., Xiangyang, China), which uses a voltage booster converter to transform the low-voltage DC power into 220V AC, generating high-voltage static electricity. The electrostatic generator used is the Amison JD-SFQ092 model (Dongguan anti-static technology Co., Ltd., Dongguan, China), with an output voltage range of 0 kV to 15 kV, connected to a ring electrode.
Figure 1.
(a) The whole machine structure of EES. (b) The electrostatic nozzle.
To ensure the safety and reliability of the high-voltage electrostatic generator, each nozzle is arranged in parallel with the high-voltage generator, and wires are used to connect the electrode holes to the electrostatic generator. The electrostatic nozzle adopts the widely used induction charging method [27,28]. The nozzle is designed with a circular electric ring and insulated using engineering plastics. It features small external electrode connection holes and is mounted onto the air-blast pipe using screws. The spray bar features a total of six nozzles, with three positioned on each side of the air duct. The height of the nozzle bracket is 1.2 m, and the outlet radius of the air duct is 30 mm. A P16-A0-F-R model water pump was selected, with a flow rate ranging from 4 to 16 L/min.
2.2. Characteristics of Tomato Canopy and Equipment Description
The greenhouse-grown tomatoes exhibit vigorous growth, which coincides with the peak period for pest and disease control. During the experiment, standardized parameters such as row spacing, plant spacing, and the main stem height of the tomato plants were measured and recorded. The field measurement diagram is shown in Figure 2 Three rows with a total of 9 pairs of tomato plants were selected in the greenhouse, and multiple measurements were taken to obtain the average values. The average plant spacing was found to be 36 cm, the average row spacing was 70 cm, and the average plant height was 174 cm. The greenhouse electrostatic sprayer has a chassis with dimensions of 1 m in length, 0.55 m in width, and 1.8 m in height, with an average operating speed of 0.5 m/s. The sprayer’s pesticide tank has a capacity of 100 L, and the diaphragm pump offers an adjustable pressure range from 0 to 1.5 MPa. During the greenhouse experiments, a temperature and humidity recorder was used to collect environmental parameters. The spraying operations of the sprayer resulted in an increase in humidity within the greenhouse, with an overall average humidity of approximately 78% and an average temperature of around 24 °C.
Figure 2.
In situ measurement.
Based on the preliminary on-site investigation, the 3D and 2D diagrams of the sprayer were refined, and the processing and assembly were completed at the Jinzhun Agricultural Machinery Co., Ltd. in Alar City, Xinjiang. The greenhouse electrostatic sprayer is shown in Figure 3. The greenhouse electric-powered electrostatic sprayer is designed to meet different operational requirements and features two spraying modes: a multi-nozzle vertical spray bar and an automatic hose reel with a single-nozzle sprayer. The latter serves as a supplementary operation method and is not further elaborated in this paper. The electrostatic sprayer is powered by a lithium battery. Farmers can use the control unit to operate the sprayer, ensuring stable movement while carrying the pesticide solution. The electrostatic generator releases high-voltage static electricity, and the spray flow is controlled by an electromagnetic valve, which connects to the spray bar’s electrostatic nozzles. The site of electrostatic spraying in the greenhouse is shown in Figure 4.
Figure 3.
Greenhouse electrostatic sprayer.
Figure 4.
Electrostatic spraying operation site.
2.3. Sampling and Measurement Methods for Greenhouse Electrostatic Spraying
2.3.1. Experimental Site
In accordance with the technical standards specified in “GB/T 33006-2016: Technical Requirements for Electrostatic Sprayers” [29] and “DB32/T 3574-2019: Technical Specification for Quality Evaluation of Electrostatic Sprayer Operations” [30], a spraying experiment was conducted from 1 May to 20 May 2024, in a greenhouse located in Alar City, Xinjiang Uygur Autonomous Region. The experiment followed a randomized block design within the greenhouse and was repeated three times. A test area comprising three blocks was designated in the southern section of the greenhouse, with each block consisting of five crop rows. Three of these rows were used for the experiment, and they were separated by a line to prevent potential contamination [31,32].
2.3.2. Sampling Point Layout
The greenhouse tomatoes were cultivated using standardized planting techniques, which ensured a degree of symmetry. Therefore, sampling points were arranged on one side of the sampling frame during the experiment. The spray nozzle selected for the sprayer has a spray angle of = 110°. When the sprayer is in operation, the distance from the nozzle to the outermost layer of plants is approximately = 250 mm. Under the assumption of neglecting the influence of other operational factors on the spraying process, the coverage area of the nozzle is calculated, with the condition 0 < < . The calculation formula is shown as Equation (1):
The number of nozzles N installed on the vertical spray bar is:
where is the height of the vertical spray bar and is the spacing between the nozzles. Based on the relevant parameters discussed earlier, the required number of nozzles N is calculated to be 3, with the nozzle spacing = 390 mm. Although there is some overlap in the total coverage area of the three nozzles on the sprayer, it is still greater than the average height of the tomato plants. Therefore, when arranging the spraying experiments, it is considered to divide the height of the tomato plants into three equal parts. Sampling was conducted on three horizontal planes of the tomato plants: the upper, middle, and lower levels, with vertical intervals of 20–50 cm, 80–110 cm, and 140–170 cm, respectively (Figure 5).
Figure 5.
The Arrangement of Water Sensitive Paper for Tomato Crop Sampling.
To measure the coverage on both the upper and lower surfaces of the leaves, two water-sensitive papers were placed at each sampling point, secured to the leaf surfaces using plastic clips. In total, six sampling points were established. The water-sensitive papers were labeled from top to bottom as A1, A2, B1, B2, C1, and C2. After the experiment, once the water-sensitive papers had stabilized, they were carefully removed using plastic gloves in a near-to-far sequence and sealed for analysis. For calculation purposes, the average value of the three sampling points on each horizontal plane was used as the result for that sampling point.
2.3.3. Theoretical Evaluation of Spray Chargeability
Theoretically, the primary resistance encountered by the sprayer during atomization is due to surface tension. When the atomized particles are stable, and if we neglect the influence of gravity, the droplets can be approximated as spherical due to the effect of surface tension , with a droplet radius of and a pressure difference between the inside and outside of the droplet of . The electrostatic generator charges the nozzle, and at this point, the charge quantity on the droplet is . Under the influence of the charge, an expansion force is generated within the droplet, and the electric field strength at a point outside the charged droplet is . The force model of the droplet is illustrated in Figure 6, and the relationships among the parameters are given by Equations (3) and (4):
Figure 6.
Force model of the droplet.
In the force model of the droplet, when exceeds a certain threshold, the droplet breaks due to unbalanced forces. From Equations (3) and (4), it can be demonstrated that after undergoing atomization twice—first through the nozzle and then in the electrostatic field—the droplet size becomes sufficiently small, allowing the droplets to approximately cover the leaf surface in a flat manner. Therefore, when the droplet size is small, the actual amount of droplets sprayed per unit area on the leaf can be approximated using the following Equation (5), where represents the area covered by the droplets on the leaf surface.
Based on preliminary research on electrostatic spraying [33], the charge-to-mass ratio of the droplets (CRM) is calculated as the ratio of the droplet charge to the mass flow rate . The calculation formula is shown as Equation (6):
where is the droplet charge, measured in coulombs (C), and is the mass flow rate, measured in kilograms per second (kg/s).
The formula for calculating the mass flow rate is as follows:
where is the density of the liquid, and is the volumetric flow rate of the liquid.
The flow rate of the nozzle can be expressed as:
where is the nozzle coefficient, is the correction factor, and is the pressure drop.
From Equations (6)–(8), it can be observed that when other conditions remain constant, the working voltage, target distance, and spray pressure are advantageous parameters for optimizing droplet charge. Therefore, it is essential to investigate these three influencing factors in order to enhance the operational performance of the spray machine.
2.3.4. Measurement Method of Droplet Coverage Rate
The electrostatic spraying experiment used the droplet coverage rate on both the upper and lower surfaces of the tomato leaves as the evaluation indicator. This coverage rate specifically refers to the ratio of the area covered by droplets in the sampling region to the total area used for statistical analysis during the spraying operation. The droplet coverage rate is determined as shown in Equation (9) [34].
where represents the droplet coverage rate (%); denotes the number of pixels covered by spray droplets in the specified area; and represents the total number of pixels in the statistical sample area.
The water-sensitive paper used in the experiment (Chongqing Liuliushanxia Co., Ltd., Chongqing, China) measured 30 mm × 60 mm. The spray test was carried out by changing the test factors after the sprayer worked stably. After the water-sensitive paper on the plants had settled and air-dried, it was collected for analysis. The water-sensitive paper was then scanned using a scanner at 600 dpi resolution and saved in PNG format [35].
For analysis, computer software developed based on ImagePyV2.0 (Chongqing Liuliushanxia Co., Ltd., Chongqing, China) was used to process the data. The image processing program used in this study is similar to the one previously reported by KANG Ji [36]. To minimize the impact of edge contamination on the accuracy of the experimental results, only the central stable region (20 mm × 20 mm) of the water-sensitive paper was analyzed for droplet coverage using the ImagePy software, as shown in the Figure 7.
Figure 7.
Sampling points in each layer.
3. Experiment Design
3.1. Single-Factor Simulation Experiment
Based on the summary of previous domestic and international literature, along with experimental analyses from prior studies on greenhouse spraying [37,38,39], it is evident that there are numerous factors affecting the deposition of electrostatic spray, primarily including electrostatic voltage, spray distance, spray angle, spray pressure, the shape of the target crop, and working speed. When selecting experimental factors, it is crucial to fully consider the operational requirements of the sprayer for pest and disease control. Agricultural experts have found in studies on biological pest control that droplets of different sizes have varying lethal effects on pests and diseases [40]. To achieve effective disease control, this experiment is based on previous summaries and the mathematical model for electrostatic spray assessment presented in Section 2.3.3. Three factors directly related to spray droplet size are selected for the experiments, including but not limited to spray voltage, spray distance, and spray pressure, while keeping other conditions constant. The results of the spraying experiments will be further analyzed to investigate the interactions among these factors and their impact on the leaf coverage effectiveness of electrostatic spraying, thereby providing a reference for subsequent in-depth research.
The optimization goal was to maximize the droplet coverage rate on both the upper and lower leaf surfaces. The operational ranges for each factor were determined, and the specific experimental data are shown in the accompanying Table 1. To minimize random variability and reduce potential errors, each experiment was repeated three times, and the final result was obtained by taking the average value of the repeated measurements [41].
Table 1.
Scope of operations for experimental data.
Based on the experimental preparation and plan, the connections of each component of the electrostatic sprayer were checked before conducting the greenhouse tomato spray experiments. Water-sensitive papers were arranged as required, and the remote control switch and electromagnetic valve were activated. During the leaf surface coverage test with the greenhouse electrostatic sprayer, the machine moved at a speed of 0.5 m/s, while the fan operated at a constant power. Using an anemometer, the average wind speed was measured to be 8 m/s.
The experiment was conducted as follows:
- First, the pump pressure was set to 0.6 MPa, and the electrostatic generator voltage was adjusted to 6 kV. The selected spray distances were 25 cm, 50 cm, 75 cm, and 100 cm;
- Next, the electrostatic generator voltage remained at 6 kV, and the spray distance was fixed at 50 cm. The selected pump pressures were 0.4 MPa, 0.6 MPa, 0.8 MPa, and 1 MPa;
- Finally, the pump pressure was set to 0.6 MPa, and the spray distance was fixed at 50 cm, while the electrostatic generator voltages were adjusted to 2 kV, 6 kV, 10 kV, and 14 kV.
These variations were tested to analyze the influence of different parameters on the droplet coverage rate on the tomato leaves in a greenhouse environment.
3.2. Multivariate Orthogonal Test Based on Box–Behnkenof Droplet Deposition in Greenhouse Tomato Crops
In the single-factor experiments, the influence of each experimental factor on the electrostatic spraying indicators was studied, and the optimal working range for each factor was determined. To further investigate the interactive effects of the experimental factors on the spraying performance and to identify the optimal combination of operational parameters, a three-factor, three-level, second-order orthogonal rotational central composite design was employed. Using the Design-Expert 13.0 software, a mathematical model was established to describe the quantitative relationship between the influencing factors and the response indicators of electrostatic spraying. This approach enabled the identification of the optimal working parameter combination for plant protection operations using the electrostatic sprayer. The experimental levels for each factor are detailed in the accompanying Table 2.
Table 2.
Factors and levels of response surface experiment.
The response indicator for the experiment was defined as the ratio of the droplet-covered area to the total area of the water-sensitive paper, expressed as a percentage. Using Design-Expert 13.0 software, the experimental design and analysis for the sprayer’s operation were conducted. The optimized results of the droplet coverage rate experiments are summarized in the accompanying Table 3.
Table 3.
Design and results of response surface optimization experiments.
4. Results and Discussion
4.1. Single-Factor Experiment and Analysis
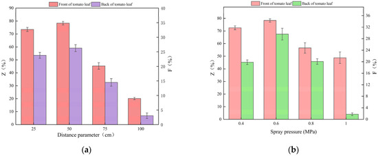
In the working distance experiment for the electrostatic sprayer, the operating speed was set at 0.5 m/s, the pump pressure at 0.6 MPa, and the electrostatic generator output voltage at 6 kV. The experiment was repeated at different spray distances, and after completing each operation, the average droplet adhesion on both the upper and lower surfaces of the three sampled sections of the tomato leaves was measured, as shown in Figure 8a. When the sprayer distance ranged from 25 to 50 cm, the coverage rate on both the upper and lower leaf surfaces gradually increased. However, from 50 to 100 cm, the coverage rate on both sides of the leaves showed a decreasing trend. This variation in coverage rate can be attributed to the design of the nozzle and the movement behavior of the charged droplets. When the spray distance is relatively short, due to the nozzle’s inherent spray radiation range, the droplets do not have sufficient time to disperse before reaching the leaf surface, resulting in limited droplet adhesion space. This proximity also leads to an excessively high droplet concentration on the upper leaf surface, which negatively affects the spraying effectiveness. Conversely, when the spray distance is greater, the charge on the droplets will evaporate or be dispersed in the air during the delivery process. At this point, the gravitational force acting on the droplets becomes more significant than the electrostatic field force, which impedes the “wrap-around” effect of the charged droplets and reduces the overall coverage efficiency.

Figure 8.
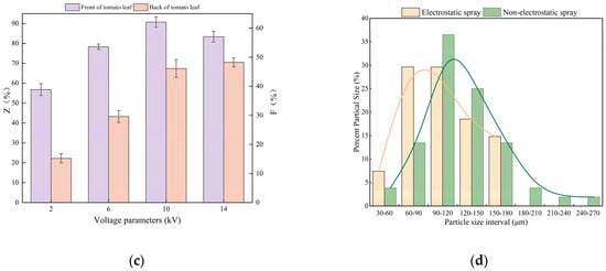
(a) Leaf coverage rate as a function of distance parameter, (b) leaf coverage rate as a function of spray pressure, (c) leaf coverage rate as a function of voltage parameter, and (d) interval distribution statistics of droplet size.
During the working pressure experiment conducted on the electrostatic sprayer, the operating speed was established at 0.5 m per second, the spray distance was fixed at 50 cm, and the output voltage of the electrostatic generator was set to 6 kilovolts. The experiment was reiterated at varying spray pressures, and following each operation, the average droplet adhesion on both the upper and lower surfaces of three sampled sections of tomato leaves was meticulously measured, as illustrated in the accompanying Figure 8b. As the spray pressure increased, the droplet coverage on both the upper and lower leaf surfaces initially increased and then decreased. Based on the droplet pressure atomization principle, when the spray pressure is low, the droplets are not fully atomized, resulting in larger droplet sizes. In this situation, gravity has a greater influence on the droplets than wind and electrostatic forces, making it difficult for the droplets to deposit effectively on the leaf surface. As the spray pressure increases, the droplets become very small, reducing the effect of gravity and enhancing the adhesion of droplets under electrostatic forces. However, when the atomized droplets are too small, their susceptibility to external environmental factors increases, leading to a decrease in leaf coverage. Therefore, smaller droplet sizes are not always better; during pest control operations, the sprayer needs to balance droplet adhesion and resistance to environmental interference.
In the electrostatic voltage experiment for the sprayer, the operating speed was set at 0.5 m/s, the spray distance at 50 cm, and the pump pressure at 0.6 MPa. The experiment was repeated at different electrostatic voltages, and the average droplet adhesion on both the upper and lower surfaces of the three sampled sections of the tomato leaves was measured after each operation, as shown in the Figure 8c. The adhesion on the upper leaf surface increased to a peak and then decreased as the electrostatic voltage increased, while the adhesion on the lower leaf surface gradually increased, with the rate of increase slowing down in the later stages. This variation in coverage can be attributed to the characteristics of electrostatic ionization. Under the influence of electrostatic force, an electrostatic field is formed between the droplets and the plant. As the electrostatic voltage increases, the charge on the droplets becomes larger, enhancing adhesion on the upper leaf surface. However, when the charging voltage reached 14 kV, there was a noticeable decline in the coverage on the upper leaf surface. During the experiment, it was observed that excessively high charging voltage caused droplet accumulation on the electrostatic nozzle’s electric ring, and these droplets tended to attract charged droplets. This may be due to the fact that the droplets accumulated on the electric ring had an opposite polarity to those carried by the airflow, resulting in reverse ionization.
In the droplet size experiments conducted with the electrostatic sprayer, the operation speed was set to 0.5 m per second, the spraying distance was fixed at 50 cm, and the output voltage of the electrostatic generator was set to 6 kV and 0 kV. The experiment was repeated using this method, and after each operation, the droplet size distribution on the upper surface of the tomato leaves was carefully measured, as shown in Figure 8d. Analysis reveals a significant difference in droplet sizes between the two conditions. The electrostatic spraying resulted in a relatively uniform droplet size distribution, with a larger proportion of droplet sizes being below 100 μm. The experimental results indicate that the application of electrostatic effects further refines the droplet size.
4.2. Analysis of Multivariate Orthogonal Test Based on Box–Behnkenof Droplet Deposition
Based on a total of 17 sets of data, the experimental data were fitted using Design-Expert 13.0 software. This fitting process yielded regression equations that describe the relationship between target distance, electrostatic voltage, and working pressure on the droplet coverage rate for both the upper and lower surfaces of the leaves during the sprayer’s operation. The regression equations (Equation (10)) are presented as follows:
where
- Z/F represents the droplet coverage rate (for the upper or lower leaf surfaces);
- L is the target distance, cm;
- D is the electrostatic voltage, kV;
- P is the working pressure, MPa.
The model was analyzed using the analysis of variance (ANOVA) method, and the results are shown in the Table 4. The p-value for the droplet coverage rate model on both the upper and lower leaf surfaces of the electrostatic sprayer was found to be p < 0.01, while the p-value for the lack-of-fit term was p > 0.05, indicating that the model meets the criteria for reasonable fit. The coefficient of determination (R2) for the droplet coverage rate model on the upper and lower leaf surfaces was 97.54% and 98.53%, respectively. These results suggest that the regression model for the leaf coverage rate is highly reliable in explaining the variations in the response indicators, demonstrating a good fit to the experimental data.
Table 4.
Analysis of variance table of the test results.
4.3. Fitting Response Surface Method
To further investigate the interaction effects between various influencing factors of electrostatic spraying and the leaf coverage response values, response surface plots were generated using Design-Expert 13 [42], as shown in Figure 9. These response surface plots provide a visual representation of how the different factors—such as target distance, electrostatic voltage, and working pressure—interact and influence the droplet coverage rate on the leaf surfaces, offering deeper insights into the optimal operating parameters for effective spraying.

Figure 9.
Response surface analysis of the interaction factors affecting the leaf coverage rate. (a) Response surface plots of the effect of the electrostatic voltage and the spray pressure on the interaction with the leaf frontal coverage. (b) Response surface plots of the effect of the electrostatic voltage and the target distance on the interaction with the leaf frontal coverage. (c) Response surface plots of the effect of the spray pressure and the target distance on the interaction with the leaf frontal coverage. (d) Response surface plots of the effect of the electrostatic voltage and the spray pressure on the interaction with the leaf back coverage. (e) Response surface plots of the effect of the electrostatic voltage and the target distance on the interaction with the leaf back coverage. (f) Response surface plots of the effect of the spray pressure and the target distance on the interaction with the leaf back coverage.
The interaction response surface between electrostatic voltage (D) and spray pressure (P) is shown in Figure 9a, with the spraying distance kept constant. When the spray pressure parameter is fixed, the droplet coverage rate on the upper leaf surface generally increases as the electrostatic voltage level rises, but the rate of increase gradually diminishes with higher voltage levels. Conversely, when the electrostatic voltage level is held constant, the droplet coverage rate on the upper leaf surface initially increases and then decreases as the spray pressure increases, with this change being more pronounced than the effect of the electrostatic voltage variation. The interaction response surface between electrostatic voltage (D) and target distance (L) is shown in Figure 9b. When the spray pressure is set at 0.6 MPa, the droplet adhesion rate on the upper leaf surface of the electrostatic sprayer increases gradually with the rise in electrostatic voltage. However, considering the actual power consumption of the sprayer, excessively high electrostatic voltage is not advisable. At an electrostatic voltage of 6 kV, the droplet adhesion rate (Z) initially increases and then decreases as the spray distance increases. The interaction response surface between spray pressure (P) and target distance (L) is shown in Figure 9c. When the electrostatic voltage is set at 10 kV and the working pressure is fixed, the droplet coverage rate on the upper leaf surface of the electrostatic sprayer shows an overall decreasing trend as the spray distance increases. Conversely, when the spray distance is constant, the droplet coverage rate initially increases and then decreases with increasing spray pressure. The response surface analysis indicates that the target distance has a more significant impact on the droplet coverage rate than the electrostatic voltage.
The interaction response surface between electrostatic voltage level (D) and working pressure (P) on the droplet adhesion rate (F) for the underside of the leaves is shown in Figure 9d. When the electrostatic spraying distance is fixed and the spray pressure is 0.4 MPa, the droplet adhesion rate on the underside of the leaves (F) increases as the electrostatic voltage level (D) rises. However, when the electrostatic voltage is set at 6 kV, the adhesion rate (F) shows little variation with increasing spray pressure. The response surface analysis indicates that the electrostatic voltage level has a more significant effect on the droplet adhesion rate on the underside of the leaves than the spray pressure. The interaction response surface between electrostatic voltage level (D) and spray distance (L) on the droplet adhesion rate (F) for the underside of the leaves is shown in Figure 9e. When the spray pressure is constant, a reduction in spray distance combined with an increase in charging voltage significantly enhances the droplet adhesion rate (F) on the underside of the leaves. The response surface analysis indicates that when the target distance is 25 cm, the droplet coverage rate on the underside of the leaves increases rapidly as the electrostatic voltage level rises. Conversely, when the electrostatic voltage level is fixed, the droplet coverage rate initially increases and then decreases as the spray distance increases, with this change being less pronounced than the effect of variations in the electrostatic voltage level. The interaction response surface between spray pressure (P) and target distance (L) is shown in Figure 9f. When the electrostatic voltage is set at 10 kV, the droplet adhesion rate (F) on the upper leaf surface of the electrostatic sprayer increases overall as both the working pressure (P) and spray distance (L) decrease. The reduction in spray distance has a more significant impact on the adhesion rate (Z) than the increase in working pressure.
To determine the optimal operating parameters for the sprayer, the regression model analysis results for the electrostatic sprayer’s leaf coverage rate were used. The constraints for each factor were established in Design-Expert 13.0, and optimization was performed based on the target Equation (11) The Design-Expert 13.0 optimization results indicated that the optimal operating parameter combination for the electrostatic sprayer is as follows: an electrostatic voltage level of +10 kV, a working pressure of 0.7 MPa, and a target spray distance of 35 cm. Under these conditions, the leaf coverage rates are 86.15% for the upper surface and 37.55% for the lower surface.
where
4.4. Field Test Results Analysis
When operating under the optimal parameter combination, the greenhouse inter-row electrostatic sprayer performed reliably, with the chassis movement system, electrostatic device, and spraying system functioning normally. The plant leaves were well-covered, and the specific performance test results are shown in the accompanying Table 5. According to the data, the average coverage rate for the upper leaf surface during the field test was 83.52%, and for the lower leaf surface, it was 36.24%.
Table 5.
The specific performance test results of the electrostatic sprayer.
However, the mathematical model for leaf surface coverage established for electrostatic spraying is based on experimental data simulating target plants, which may differ from the characteristics of tomato leaves in actual field spraying operations. The changes in the canopy of greenhouse tomato plants during different growth stages also influence the effectiveness of electrostatic spraying. Furthermore, the field operation of the electrostatic sprayer can be affected by factors such as ground undulation and mechanical vibrations, indicating that the model’s applicability still requires correction with field trial data. However, the small error between the actual results and simulated results suggests that the electrostatic spraying response surface model holds certain guiding significance for practical applications. Future research will continue to focus on the effects of other variables in the field on the electrostatic spraying performance.
4.5. Applicability and Feasibility Analysis of Electrostatic Sprayer
Field trials indicate that the electrostatic sprayer meets the requirements for pest control in greenhouse tomatoes. In the future, consideration can be given to designing corresponding sprayers that integrate the agronomic characteristics of other greenhouse crops, thereby promoting the application of this technology to advance field management in facility agriculture.
To verify the practical feasibility of electrostatic spraying, a comparative single-factor experiment was conducted between electrostatic and non-electrostatic spraying. Based on preliminary experimental preparations and protocols, water-sensitive paper was arranged, with a spraying distance of 35 cm, a spraying pressure of 0.7 MPa, and static voltages of 0 kV and 10 kV. The experimental results indicated that, under electrostatic spraying conditions, the average adhesion on plant leaf surfaces increased by approximately 10%, demonstrating the practical feasibility of electrostatic spraying technology. Compared to traditional sprayers, Ramon Salcedo et al. [43] found that the use of electrostatic spraying technology in orchards significantly reduced the amount of pesticide applied, contributing to water conservation, minimizing land pollution, and lowering soil remediation costs.
5. Conclusions
This study designed a vertical spray bar electrostatic device tailored to the actual spraying needs of greenhouse tomatoes in Xinjiang and developed an efficient inter-row electrostatic sprayer. First, a 3D model of the sprayer was established based on an investigation of the growth characteristics of greenhouse tomato crops. Additionally, the factors influencing leaf coverage rate during spraying operations were analyzed. The working performance of electrostatic sprayer in greenhouse was comprehensively evaluated through field test and experimental results analysis.
Experimental studies were conducted to evaluate the leaf coverage rate of greenhouse tomatoes under varying electrode voltages, spray distances, and spray pressures.
Compared to traditional non-electrostatic sprayers, when the electrostatic effect is activated while keeping other conditions constant, the average coverage rate on the front and back surfaces of tomato plant leaves increases by approximately 10%. Therefore, the electrostatic effect is effective in enhancing the surface coverage rate of plant leaves during spraying operations. The results indicated that the factors affecting the droplet coverage rate on the upper leaf surface were ranked in the following order: target distance (L) > working pressure (P) > electrostatic voltage level (D). For the droplet coverage rate on the underside of the leaves, the order of influence was as follows: electrostatic voltage level (D) > target distance (L) > working pressure (P).
Based on the single-factor electrostatic spraying results, the Box–Behnken response surface method was employed to determine the optimal operating parameters for the sprayer: an electrostatic voltage level of +10 kV, a working pressure of 0.7 MPa, and a target spray distance of 35 cm. Under these optimal parameters, the simulated coverage rates on the upper and lower leaf surfaces were 86.15% and 37.55%, respectively. Field verification in the greenhouse revealed that the relative error for droplet adhesion on the upper leaf surface of tomato plants was less than 9%, while the relative error on the lower leaf surface was less than 10% compared to the simulated values. The small discrepancies indicate that the electrostatic sprayer exhibits stable performance and meets the mechanization requirements for greenhouse spraying operations.
Author Contributions
Resources, X.W. and Z.G.; data curation, J.Z.; writing—original draft preparation, Z.G.; writing—review and editing, L.C.; visualization, Z.W.; supervision, J.Z. and H.W.; project administration, X.W. All authors have read and agreed to the published version of the manuscript.
Funding
This research was financially supported by the Bingtuan Science and Technology Program (2023AB005-01); the Scientific and Technological Planning Projects of First Division Alar City, Xinjiang Construction Corps (2022XX06); Xinjiang Agriculture Research System (XJARS-07-25).
Institutional Review Board Statement
Not applicable.
Data Availability Statement
The data presented in this study are available upon request from the corresponding author.
Acknowledgments
The authors thank Xufeng Wang from Tarim University for his thesis supervision. The authors are grateful to the anonymous reviewers for their comments.
Conflicts of Interest
The authors declare no conflicts of interest.
References
- Facilities Agriculture Institute, Academy of Agricultural Planning and Engineering. Development status and Suggestions of facility horticultural equipment in China. J. Agric. Mach. Sci. Technol. Promot. 2019, 1, 27–28, 30. [Google Scholar]
- Jiang, Z.H.; Yang, H.M.; Yu, C. Research status and analysis of automatic target spraying technology for facility vegetables. Xinjiang Agric. Sci. 2021, 58, 1547–1557. [Google Scholar]
- Qiu, W.; Feng, C.; Han, R.J.; Feng, X.B.; Meng, P.B.; Wang, F.K. Design and test of air-assisted electrostatics prayer in greenhouse. Res. Agric. Mod. 2016, 37, 1001–1007. [Google Scholar]
- Qin, W.; Chen, X.; Chen, P. “H” sprayer effect on liquid deposition on cucumber leaves and powdery mildew prevention in the shed. Front. Plant Sci. 2023, 14, 1175939. [Google Scholar] [CrossRef] [PubMed]
- Zhou, L.F.; Zhang, L.; Xue, X.Y. Research progress and application status of electrostatic pesticide spray technology. Trans. Chin. Soc. Agric. Eng. 2018, 34, 1–11. [Google Scholar]
- Boukhalfa, H.H.; Massinon, M.; Belhamra, M.; Lebeau, F. Contribution of spray droplet pinning fragmentation to canopy retention. Crop Prot. 2014, 56, 91–97. [Google Scholar] [CrossRef]
- Singh, M.; Ghanshyam, C.; Mishra, P.K.; Chak, R. Current Status of Electrostatic Spraying Technology for Efficient Crop Protection. Ama-Agric. Mech. Asia Afr. Lat. Am. 2013, 44, 46–53. [Google Scholar]
- Jensen, P.K.; Olesen, M.H. Spray mass balance in pesticide application: A review. Crop Prot. 2014, 61, 23–31. [Google Scholar] [CrossRef]
- Gong, C.W.; Liu, Y.; Ma, Y.; Zhan, X.X.; Zhou, Z.M.; Zhu, X.C.; Wang, X.G. Influence of Electrostatic Spraying on Drift and Deposition Distribution. J. Sichuan Agric. Univ. 2022, 40, 220–226+242. [Google Scholar]
- Wang, S.B.; Soong, Y.; Wang, Z.J. Research and application progress of pesticide electrostatic spraying technology in China. Jiangsu Agric. Sci. 2021, 49, 37–42. [Google Scholar]
- Bian, H.L.; Li, J.P.; Wang, P.F.; Yang, X.; Liu, H.J. Experimental research on the performance comparison between multirotor electric UAV and boom sprayer. J. Hebei Agric. Univ. 2023, 46, 96–101. [Google Scholar]
- Lu, X.Y.; Gong, Y.C.; Xiao, W.G.; Liu, D.L.; Hang, X. Design and experiment of electric crawler vertical boom sprayer. J. Chin. Agric. Mech. 2021, 42, 83–91. [Google Scholar]
- Barton, L.; Armsworth, C.; Baxter, I.; Poppy, G.; Gaunt, L.; Nansen, C. Adhesive powder uptake and transfer by Mediterranean fruit flies, (Dipt., Tephritidae). J. Appl. Entomol. 2006, 130, 257–262. [Google Scholar] [CrossRef]
- Law, S.E. Embedded-Electrode Electrostatic-Induction Spray-Charging Nozzle: Theoretical and Engineering Design. Trans. ASAE 1978, 21, 1096–1104. [Google Scholar]
- Appah, S.; Wang, P.; Ou, M.; Gong, C.; Jia, W. Review of electrostatic system parameters, charged droplets characteristics and substrate impact behavior from pesticides spraying. Int. J. Agric. Biol. Eng. 2019, 12, 1–9. [Google Scholar] [CrossRef]
- Aneesha, V.; Dhalin, D.; Kumar, K.A.; Jacob, X.K. Energy Use Efficacy of Different Sprayers on Crop Pest Management. Curr. J. Appl. Sci. Technol. 2020, 39, 76–85. [Google Scholar] [CrossRef]
- Assuncao, H.H.T.; Cunha, J.P.A.R.; Silva, S.M.; Alves, G.S.; Lemes, E.M. Spray deposition on maize using an electrostatic sprayer. Eng. Agric. 2020, 40, 503–510. [Google Scholar] [CrossRef]
- Sanchez-Hermosilla, J.; Perez-Alonso, J.; Martinez-Carricondo, P.; Carvajal-Ramirez, F.; Aguera-Vega, F. Evaluation of Electrostatic Spraying Equipment in a Greenhouse Pepper Crop. Horticulturae 2022, 8, 541. [Google Scholar] [CrossRef]
- Pathania, M.; Arora, P.K.; Sharma, U. Assessment of Electrostatic Sprayer Against Citrus Psylla Diaphorina citri Kuwayama in Kinnow Mandarin: Modern spray technology for pest management in kinnow mandarin orchards. Indian J. Ento-Mology 2023, 86, 93–97. [Google Scholar] [CrossRef]
- Xue, X.Y.; Zeng, K.; Li, N.; Luo, Q.; Ji, Y.; Li, Z.; Lyu, S.; Song, S. Parameters Optimization and Performance Evaluation Model of Air-Assisted Electrostatic Sprayer for Citrus Orchards. Agriculture 2023, 13, 1498. [Google Scholar] [CrossRef]
- Mamidi, V.R.; Ghanshyam, C.; Kumar, P.M.; Kapur, P. Electrostatic hand pressure knapsack spray system with enhanced performance for small scale farms. J. Electrost. 2013, 71, 785–790. [Google Scholar] [CrossRef]
- Patel, M.K.; Praveen, B.; Sahoo, H.K.; Patel, B.; Kumar, A.; Singh, M.; Nayak, M.K.; Rajan, P. An advance air-induced air-assisted electrostatic nozzle with enhanced performance. Comput. Electron. Agric. 2017, 135, 280–288. [Google Scholar] [CrossRef]
- Zhou, H.T.; Ou, M.X.; Dong, X.; Zhou, W.; Dai, S.Q.; Jia, W.D. Spraying performance and deposition characteristics of an improved air-assisted nozzle with induction charging. Front. Plant Sci. 2024, 15, 1309088. [Google Scholar] [CrossRef] [PubMed]
- Tavares, R.M.; Cunha, J.; Alves, T.C.; Bueno, M.R.; Silva, S.M.; Zandonadi, C.H.S. Electrostatic spraying in the chemical control of Triozoida limbata (Enderlein) (Hemiptera: Triozidae) in guava trees (Psidium guajava L.). Pest Manag. Sci. 2017, 73, 1148–1153. [Google Scholar] [CrossRef] [PubMed]
- Assunçao, H.H.T.; Silva, S.M.; Alves, G.S.; Zandonadi, C.H.S.; da Cunha, J. Electrostatic spraying effect on spray deposition and powdery mildew control in soybean. Eng. Agric. 2019, 39, 721–728. [Google Scholar] [CrossRef]
- Marques, R.S.; da Cunha, J.; Alves, G.S.; Alves, T.C.; Silva, S.M.; Zandonadi, C.H.S. Control of Dalbulus maidis in maize crop with electrostatic spraying. Biosci. J. 2019, 35, 1780–1788. [Google Scholar] [CrossRef]
- Hu, H.; Kaizu, Y.; Huang, J.; Furuhashi, K.; Zhang, H.; Xiao, X.; Li, M.; Imou, K. Design and performance test of a novel UAV air-assisted electrostatic centrifugal spraying system. Int. J. Agric. Biol. Eng. 2022, 15, 34–40. [Google Scholar] [CrossRef]
- Zhang, Y.; Huang, X.; Lan, Y.; Wang, L.; Lu, X.; Yan, K.; Deng, J.; Zeng, W. Development and Prospect of UAV-Based Aerial Electrostatic Spray Technology in China. Appl. Sci. 2021, 11, 4071. [Google Scholar] [CrossRef]
- GB/T 33006-2016; Electrostatic Sprayer—Technical Requirements. Standardization Administration of the People’s Republic of China: Beijing, China, 2016.
- DB32/T 3574-2019; Electrostatic Sprayer Technical Specification for Operational Quality Assessment. Jiangsu Provincial Department of Agriculture and Rural Affairs of China: Beijing, China, 2019.
- Jing, S.; Ren, L.; Zhang, Y.; Han, X.; Gao, A.; Liu, B.; Song, Y.; Manetto, G.E.; Cerruto, E.; Ramirez-Cuesta, J.; et al. A Simulation and Experiment on the Optimization Design of an Air Outlet Structure for an Air-Assisted Sprayer. Agriculture 2023, 13, 2277. [Google Scholar] [CrossRef]
- Luo, Y.; Huang, D.; Jiang, P.; Xiang, S.; Liu, J.; Xu, M.; Shi, Y. Design and Experimental Testing of an Overhead Rail Automatic Variable-Distance Targeted Spray System for Solar Greenhouses. Agriculture 2023, 13, 1853. [Google Scholar] [CrossRef]
- Hislop, E.C. Electrostatic ground-rig spraying: An overview. Weed Technol. 1988, 2, 94–105. [Google Scholar] [CrossRef]
- Ghafoor, A.; Khan, F.A.; Khorsandi, F.; Khan, M.A.; Nauman, H.M.; Farid, M.U. Development and Evaluation of a Prototype Self-Propelled Crop Sprayer for Agricultural Sustainability in Small Farms. Sustainability 2022, 14, 9204. [Google Scholar] [CrossRef]
- Guo, N.; Liu, S.Y.; Xu, H.; Tian, S.B.; Li, T.L. Improvement on image detection algorithm of droplets deposition characteristics. Trans. Chin. Soc. Agric. Eng. 2018, 34, 176–182. [Google Scholar]
- Kang, J.; Liu, G.; Guo, G.F. Image preprocessing and droplet parameter measurement of water-sensitive paper based on ImagePy. Sci. Technol. Eng. 2021, 21, 5405–5414. [Google Scholar]
- Sanchez-Hermosilla, J.; Rincon, V.J.; Paez, F.; Agueera, F.; Carvajal, F. Field evaluation of a self-propelled sprayer and effects of the application rate on spray deposition and losses to the ground in greenhouse tomato crops. Pest Manag. Sci. 2011, 67, 942–947. [Google Scholar] [CrossRef]
- Sanchez-Hermosilla, J.; Rincon, V.J.; Paez, F.; Fernandez, M. Comparative spray deposits by manually pulled trolley sprayer and a spray gun in greenhouse tomato crops. Crop Prot. 2012, 31, 119–124. [Google Scholar] [CrossRef]
- Zhao, S.; Castle, G.S.P.; Adamiak, K. Factors affecting deposition in electrostatic pesticide spraying. J. Electrost. 2008, 66, 594–601. [Google Scholar] [CrossRef]
- Yuan, H.Z.; Wang, G.B. Effects of droplet size and deposition density on field efficacy of pesticides. Plant Prot. 2015, 41, 9–16. [Google Scholar]
- Gao, X.; Wang, A.T.; Liu, Y.Z. Study on voltage electrostatic for spraying settlement characteristics. Agric. Mech. Study 2012, 9, 180–186. [Google Scholar]
- Han, D.; Zhang, H.; Li, G.; Wang, G.; Wang, X.; Chen, Y.; Chen, X.; Wen, X.; Yang, Q.; Zhao, R. Development of a Bionic Picking Device for High Harvest and Low Loss Rate Pod Pepper Harvesting and Related Working Parameter Optimization Details. Agriculture 2024, 14, 859. [Google Scholar] [CrossRef]
- Salcedo, R.; Llop, J.; Campos, J.; Costas, M.; Gallart, M.; Ortega, P.; Gil, E. Evaluation of Leaf Deposit Quality between Electrostatic and Conventional Multi-Row Sprayers in a Trellised Vineyard. Crop Prot. 2020, 127, 104964. [Google Scholar] [CrossRef]
Disclaimer/Publisher’s Note: The statements, opinions and data contained in all publications are solely those of the individual author(s) and contributor(s) and not of MDPI and/or the editor(s). MDPI and/or the editor(s) disclaim responsibility for any injury to people or property resulting from any ideas, methods, instructions or products referred to in the content. |
© 2024 by the authors. Licensee MDPI, Basel, Switzerland. This article is an open access article distributed under the terms and conditions of the Creative Commons Attribution (CC BY) license (https://creativecommons.org/licenses/by/4.0/).