Influence of Trenchless Subsurface Drainage with a Rice Husk Filling System on Soybean Productivity Under a Poorly Drained Paddy Field for Future Applications in Smart Agriculture
Abstract
1. Introduction
2. Materials and Methods
2.1. Experimental Field and Soil Properties
2.2. Construction of Subsurface Drainage System
2.3. Monitoring of Ground Water Level and Soil Moisture Content
2.3.1. Ground Water Level
2.3.2. Soil Moisture Content
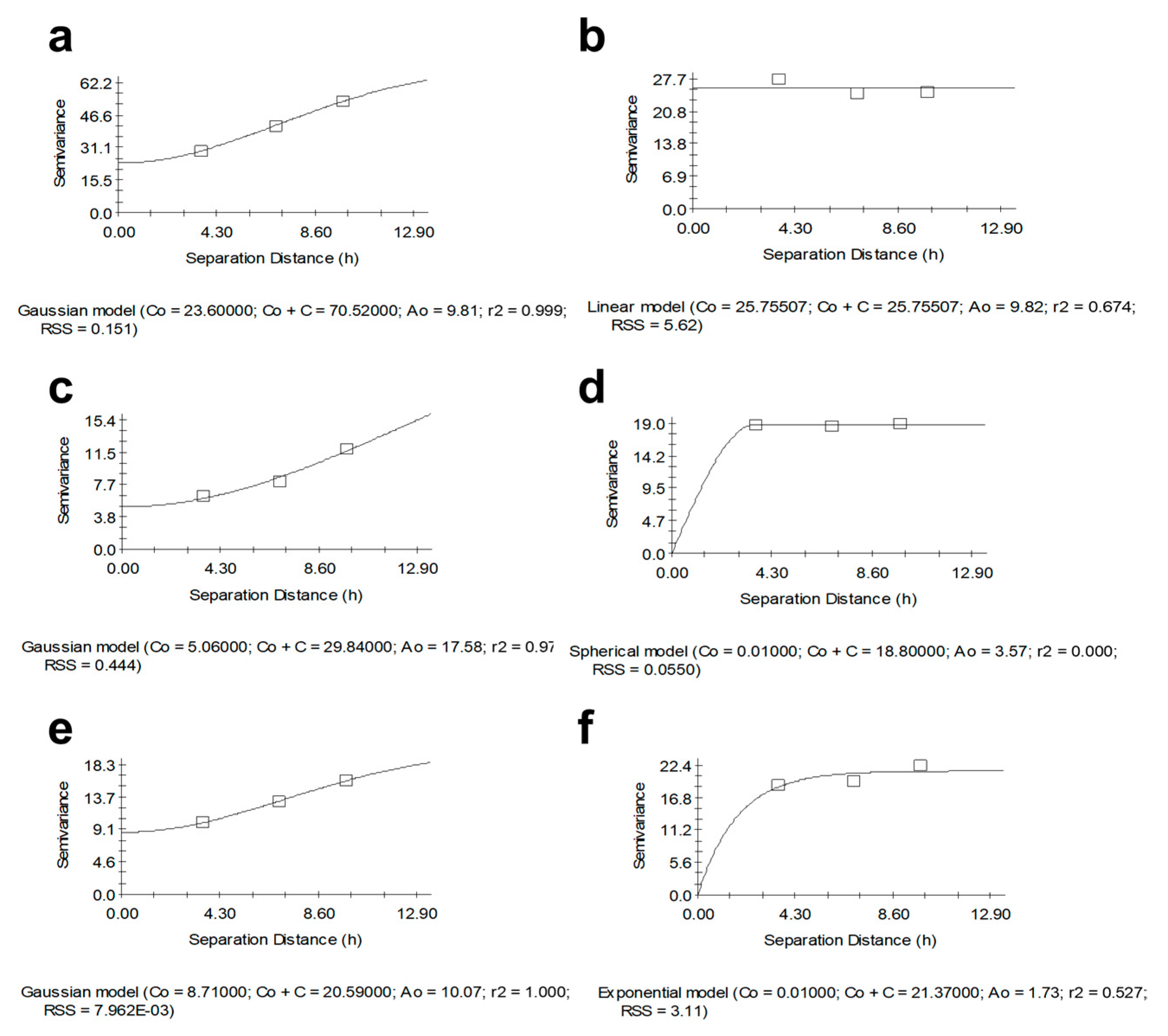
2.3.3. Geostatistical Analysis of Soil Moisture Content
2.4. Physical Properties Valuation of Rice Husk
2.5. Soybean Water Stress Response
2.6. Set Standard for Rice Husk-Filling Subsurface Drainage
2.7. Soybean Cultivation
3. Results
3.1. Soil Physical Properties
3.2. Changes of Ground Water Level
3.3. Changes of Soil Moisture Content
3.4. Geostatistical Analysis of Soil Moisture
4. Discussion
4.1. Soybean Growth and Yield
4.2. Physical Properties of Rice Husk
4.3. Evaluation of Drainage Effects
4.4. Setting the Standard for the RHDM
5. Conclusions
Supplementary Materials
Author Contributions
Funding
Institutional Review Board Statement
Data Availability Statement
Conflicts of Interest
References
- Han, S.-S.; Park, H.-J.; Shin, T.; Ko, J.; Choi, W.-J.; Lee, Y.-H.; Bae, H.-S.; Ahn, S.-H.; Youn, J.-T.; Kim, H.Y. Effects of Tillage System, Sowing Date, and Weather Course on Yield of Double-Crop Soybeans Cultivated in Drained Paddy Fields. Agronomy 2022, 12, 1901. [Google Scholar] [CrossRef]
- Kim, S.-L.; Park, K.-Y.; Lee, Y.-H.; Ryu, Y.-H. Seed Quality of Soybean Produced from Upland and Drained-Paddy Field. Korean J. Crop Sci. 2004, 49, 309–315. [Google Scholar]
- Lee, S.; Jung, K.-Y.; Chun, H.C.; Choi, Y.D. Effects of Controlled Drainage Systems on Soybean (Glycine max L.) Growth and Soil Characteristics in Paddy Fields. Korean J. Crop Sci. 2017, 62, 134–142. [Google Scholar] [CrossRef]
- Andri, K.B.; Pangarsa, N. Analyzing Determinant Components on East Java Rice Surplus Contribution Using Dynamical System Approach. Int. J. Agric. Syst. 2016, 4, 121–131. [Google Scholar] [CrossRef][Green Version]
- Chen, S.; Liu, S.; Zheng, X.; Yin, M.; Chu, G.; Xu, C.; Yan, J.; Chen, L.; Wang, D.; Zhang, X. Effect of various crop rotations on rice yield and nitrogen use efficiency in paddy–upland systems in southeastern China. Crop J. 2018, 6, 576–588. [Google Scholar] [CrossRef]
- Takakai, F.; Kikuchi, T.; Sato, T.; Takeda, M.; Kanamaru, S.; Aono, Y.; Nakagawa, S.; Yasuda, K.; Sato, T.; Kaneta, Y. Nitrogen Budget in a Paddy-Upland Rotation Field with Soybean Cultivation. In Soybean; Ohyama, T., Takahashi, Y., Ohtake, N., Sato, T., Tanabata, S., Eds.; Intech Open: Rijeka, Croatia, 2022; Chapter 4. [Google Scholar]
- Vial, L.K.; Molesworth, A.; Lefroy, R.D.B. Balancing rice and non-rice crops: Managing the risks from soil constraints in Mainland Southeast Asian rice systems. Field Crops Res. 2020, 246, 107677. [Google Scholar] [CrossRef]
- Cho, J.-W.; Lee, J.-J.; Kim, C.-S. Effects of Planting Dates on Growth and Yield of Soybean Cultivated in Drained-Paddy Field. Korean J. Crop Sci. 2004, 49, 325–330. [Google Scholar]
- Kang, U.-G.; Choi, J.-S.; Kim, J.-J.; Cho, J.-S. Yield Potentials of Rice and Soybean as Affected by Cropping Systems in Mid-mountainous Paddy Soils of Korea. Korean J. Soil Sci. Fertil. 2017, 50, 259–274. [Google Scholar] [CrossRef]
- Cho, J.-W.; Yamakawa, T. Effects on Growth and Seed Yield of Small Seed Soybean Cultivars of Flooding Conditions in Paddy Field. J. Fac. Agric. Kyushu Univ. 2006, 51, 189–193. [Google Scholar] [CrossRef]
- Kaur, G.; Singh, G.; Motavalli, P.P.; Nelson, K.A.; Orlowski, J.M.; Golden, B.R. Impacts and management strategies for crop production in waterlogged or flooded soils: A review. Agron. J. 2020, 112, 1475–1501. [Google Scholar] [CrossRef]
- Linkemer, G.; Board, J.E.; Musgrave, M.E. Waterlogging effects on growth and yield components in late-planted soybean. Crop Sci. 1998, 38, 1576–1584. [Google Scholar] [CrossRef] [PubMed]
- Smith, R.G.; Menalled, F.D.; Robertson, G.P. Temporal Yield Variability under Conventional and Alternative Management Systems. Agron. J. 2007, 99, 1629–1634. [Google Scholar] [CrossRef]
- Jung, K.-Y.; Yun, E.-S.; Park, C.-Y.; Hwang, J.-B.; Choi, Y.-D.; Park, K.D. Stress Day Index to Predict Soybean Yield Response by Subsurface Drainage in Poorly Drained Sloping Paddy Fields. Korean J. Soil Sci. Fertil. 2011, 44, 702–708. [Google Scholar] [CrossRef]
- Lee, J.-W.; Hong, S.-Y.; Chang, E.-C.; Suh, M.-S.; Kang, H.-S. Assessment of future climate change over East Asia due to the RCP scenarios downscaled by GRIMs-RMP. Clim. Dyn. 2013, 42, 733–747. [Google Scholar] [CrossRef]
- Bajgain, R.; Kawasaki, Y.; Akamatsu, Y.; Tanaka, Y.; Kawamura, H.; Katsura, K.; Shiraiwa, T. Biomass production and yield of soybean grown under converted paddy fields with excess water during the early growth stage. Field Crops Res. 2015, 180, 221–227. [Google Scholar] [CrossRef]
- Maekawa, T.; Shimamura, S.; Shimada, S. Effects of Short-Term Waterlogging on Soybean Nodule Nitrogen Fixation at Different Soil Reductions and Temperatures. Plant Prod. Sci. 2015, 14, 349–358. [Google Scholar] [CrossRef]
- Ploschuk, R.A.; Miralles, D.J.; Striker, G.G. A quantitative review of soybean responses to waterlogging: Agronomical, morpho-physiological and anatomical traits of tolerance. Plant Soil 2022, 475, 237–252. [Google Scholar] [CrossRef]
- Chen, H.; Zeng, W.; Jin, Y.; Zha, Y.; Mi, B.; Zhang, S. Development of a waterlogging analysis system for paddy fields in irrigation districts. J. Hydrol. 2020, 591, 125325. [Google Scholar] [CrossRef]
- Liu, Y.; Ao, C.; Zeng, W.; Kumar Srivastava, A.; Gaiser, T.; Wu, J.; Huang, J. Simulating water and salt transport in subsurface pipe drainage systems with HYDRUS-2D. J. Hydrol. 2021, 592, 125823. [Google Scholar] [CrossRef]
- Ramlal, A.; Lal, S.K.; Sathuvalli, V. Editorial: Advances in breeding for waterlogging tolerance in crops. Front. Plant Sci. 2023, 14, 1284730. [Google Scholar] [CrossRef]
- Darzi-Naftchali, A.; Shahnazari, A. Influence of subsurface drainage on the productivity of poorly drained paddy fields. Eur. J. Agron. 2014, 56, 1–8. [Google Scholar] [CrossRef]
- Kalcic, M.; Crumpton, W.; Liu, X.; D’Ambrosio, J.; Ward, A.; Witter, J. Assessment of beyond-the-field nutrient management practices for agricultural crop systems with subsurface drainage. J. Soil Water Conserv. 2018, 73, 62–74. [Google Scholar] [CrossRef]
- Schultz, B.; De Wrachien, D. Irrigation and drainage systems research and development in the 21st century. Irrig. Drain. 2002, 51, 311–327. [Google Scholar] [CrossRef]
- Islam, M.N.; Iqbal, M.Z.; Kabir, M.S.N.; Jung, K.-Y.; Mun, D.-H.; Chung, S.-O. Performance Evaluation of Trenchless Subsurface Drainage Piping Machine. J. Biosyst. Eng. 2019, 44, 218–225. [Google Scholar] [CrossRef]
- Azhar, A.H.; Latif, M. Subsurface drainage impact assessmentation crop yield. J. Anim. Plant Sci. 2011, 21, 215–219. [Google Scholar]
- Bahçeci, I.; Nacar, A.S.; Topalhasan, L.; Tari, A.F.; Ritzema, H.P. A New Drainpipe-Envelope Concept for Subsurface Drainage Systems in Irrigated Agriculture. Irrig. Drain. 2018, 67, 40–50. [Google Scholar] [CrossRef]
- Ritzema, H.P.; Nijland, H.J.; Croon, F.W. Subsurface drainage practices: From manual installation to large-scale implementation. Agric. Water Manag. 2006, 86, 60–71. [Google Scholar] [CrossRef]
- Kaboosi, K.; Liaghat, A.; Hosseini, S.H. The Feasibility of Rice Husk Application as Envelope Material in Subsurface Drainage Systems. Irrig. Drain. 2012, 61, 490–496. [Google Scholar] [CrossRef]
- Khorramian, N.; Naseri, A.; Nasab, S.B.; Khoramian, H. Qualitative evaluation of organic envelopes on subsurface drainage performance. Irrig. Drain. 2020, 70, 809–818. [Google Scholar] [CrossRef]
- Satbaev, B.; Yefremova, S.; Zharmenov, A.; Kablanbekov, A.; Yermishin, S.; Shalabaev, N.; Satbaev, A.; Khen, V. Rice Husk Research: From Environmental Pollutant to a Promising Source of Organo-Mineral Raw Materials. Materials 2021, 14, 4119. [Google Scholar] [CrossRef]
- Inosako, K.; Saito, T.; Omachi, K. Analysis by numerical experiments of desalinization of a salt-affected paddy field using a rice husk underdrainage system. Paddy Water Environ. 2019, 17, 211–219. [Google Scholar] [CrossRef]
- Jia, Z.; Terasaki, H.; Fukuhara, T.; Zhou, B. Efficient desalination method using a subsurface drainage pipe with rice husk in paddy fields. Geoderma Reg. 2023, 35, e00725. [Google Scholar] [CrossRef]
- Balafoutis, A.T.; van Evert, F.K.; Fountas, S. Smart Farming Technology Trends: Economic and Environmental Effects, Labor Impact, and Adoption Readiness. Agronomy 2020, 10, 743. [Google Scholar] [CrossRef]
- Omasa, K.; Ono, E.; Ishigami, Y.; Shimizu, Y.; Araki, Y. Plant functional remote sensing and smart farming applications. Int. J. Agric. Biol. Eng. 2022, 15, 1–6. [Google Scholar] [CrossRef]
- Van de Kerkhof, B.; van Persie, M.; Noorbergen, H.; Schouten, L.; Ghauharali, R. Spatio-temporal Analysis of Remote Sensing and Field Measurements for Smart Farming. Procedia Environ. Sci. 2015, 27, 21–25. [Google Scholar] [CrossRef]
- Friha, O.; Ferrag, M.A.; Shu, L.; Maglaras, L.; Wang, X. Internet of Things for the Future of Smart Agriculture: A Comprehensive Survey of Emerging Technologies. IEEE/CAA J. Autom. Sin. 2021, 8, 718–752. [Google Scholar] [CrossRef]
- Javaid, M.; Haleem, A.; Khan, I.H.; Suman, R. Understanding the potential applications of Artificial Intelligence in Agriculture Sector. Adv. Agrochem 2023, 2, 15–30. [Google Scholar] [CrossRef]
- Kamilaris, A.; Kartakoullis, A.; Prenafeta-Boldú, F.X. A review on the practice of big data analysis in agriculture. Comput. Electron. Agric. 2017, 143, 23–37. [Google Scholar] [CrossRef]
- Osinga, S.A.; Paudel, D.; Mouzakitis, S.A.; Athanasiadis, I.N. Big data in agriculture: Between opportunity and solution. Agric. Syst. 2022, 195, 103298. [Google Scholar] [CrossRef]
- Zha, J. Artificial Intelligence in Agriculture. J. Phys. Conf. Ser. 2020, 1693, 012058. [Google Scholar] [CrossRef]
- Mavridou, E.; Vrochidou, E.; Papakostas, G.A.; Pachidis, T.; Kaburlasos, V.G. Machine Vision Systems in Precision Agriculture for Crop Farming. J. Imaging 2019, 5, 89. [Google Scholar] [CrossRef] [PubMed]
- Rivera, G.; Porras, R.; Florencia, R.; Sánchez-Solís, J.P. LiDAR applications in precision agriculture for cultivating crops: A review of recent advances. Comput. Electron. Agric. 2023, 207, 107737. [Google Scholar] [CrossRef]
- Guan, S.; Fukami, K.; Matsunaka, H.; Okami, M.; Tanaka, R.; Nakano, H.; Sakai, T.; Nakano, K.; Ohdan, H.; Takahashi, K. Assessing Correlation of High-Resolution NDVI with Fertilizer Application Level and Yield of Rice and Wheat Crops using Small UAVs. Remote Sens. 2019, 11, 112. [Google Scholar] [CrossRef]
- USDA. Soil Survey Laboratory Information Manual. In Soil Survey Laboratory Information Report; United States Department of Agriculture Natural Resources Conservation Service National Soil Survey Center: Lincoln, Nebraska, 2011. [Google Scholar]
- Darcy, H. Les Fontaines Publiques de la Ville de Dijon; Bibliothèque Nationale de France, Département Littérature et Art: Paris, France, 1856. [Google Scholar]
- O’Sullivan, D.; Unwin, D. Geographic Information Analysis; Wiley: New York, NY, USA, 2003. [Google Scholar]
- Jian, X.; Olea, R.A.; Yu, Y.-S. Semivariogram modeling by weighted least squares. Comput. Geosci. 1996, 22, 387–397. [Google Scholar] [CrossRef]
- Journel, A.G.; Huijbregts, C.J. Mining Geostatistics; Blackburn Press: Caldwell, NJ, USA, 2003. [Google Scholar]
- Goovaerts, P. Kriging and Semivariogram Deconvolution in the Presence of Irregular Geographical Units. Math. Geosci. 2008, 40, 101–128. [Google Scholar] [CrossRef]
- La Scala, N., Jr.; Afonso, L.; Spokas, K.; Walter Archer, D.; Reicosky, D. First-order decay models to describe soil C-CO2 Loss after rotary tillage. Sci. Agric. 2009, 66, 650–657. [Google Scholar] [CrossRef]
- Hiler, E.A. Quantitative Evaluation of Crop-Drainage Requirements. Trans. ASAE 1969, 12, 499–505. [Google Scholar] [CrossRef]
- Hardjoamidjojo, S.; Skaggs, R.W. Predicting the effects of drainage systems on corn yields. Agric. Water Manag. 1982, 5, 127–144. [Google Scholar] [CrossRef]
- Sieben, W. Relation of drainage conditions and crop yields on young light clay soils in the yssellake polders. Van Zee Land 1964, 40. [Google Scholar]
- Hooghoudt, S. General consideration of the problem of field drainage by parallel drains, ditches, watercourses, and channels. In Contribution to the Knowledge of Some Physical Parameters of the Soil; Bodemkundig Instituut: Groningen, The Netherlands, 1940; Volume 7. [Google Scholar]
- Evans, R.O.; Skaggs, R.W.; Sneed, R.E. Stress Day Index Models to Predict Corn and Soybean Relative Yield under High Water Table Conditions. Trans. ASAE 1991, 34, 1997–2005. [Google Scholar] [CrossRef]
- Fehr, W.R.; Caviness, C.E. Stages of Soybean Development; Iowa Agricultural Experiment Station, Iowa Cooperative External Series; Iowa State University: Ames, IA, USA, 1977. [Google Scholar]
- Griffin, J.L.; Saxton, A.M. Response of Solid-Seeded Soybean to Flood Irrigation. II. Flood Duration. Agron. J. 1988, 80, 885–888. [Google Scholar] [CrossRef]
- Scott, H.D.; DeAngulo, J.; Daniels, M.B.; Wood, L.S. Flood Duration Effects on Soybean Growth and Yield. Agron. J. 1989, 81, 631–636. [Google Scholar] [CrossRef]
- Norwood, C.A. Tillage and Cropping System Effects on Winter Wheat and Grain Sorghum. J. Prod. Agric. 1992, 5, 120–126. [Google Scholar] [CrossRef]
- Thomas, G.A.; Myers, R.J.K.; Foale, M.A.; French, A.V.; Hall, B.; Ladewig, J.H.; Dove, A.A.; Taylor, G.K.; Lefry, E.; Wylie, P.; et al. Evaluation of row spacing and population density effects on grain sorghum over a range of northern Australian environments. Aust. J. Exp. Agric. Anim. Husb. 1981, 21, 210–217. [Google Scholar] [CrossRef]
- Tabuchi, T. Improvement of paddy field drainage for mechanization. Paddy Water Environ. 2004, 2, 5–10. [Google Scholar] [CrossRef]












| Drainage Method | Burial Type | Pipe Pitch | Burial Depth | Standard |
|---|---|---|---|---|
| CPDM | Excavation | 7 m | 60~90 cm | Culvert pipe (Ø80 mm) |
| TPDM | Tractor-drawn | 3 m | 50 cm | PVC pipe (Ø50 mm) |
| RHDM | Tractor-drawn | 2, 3, 5 m | 50 cm | Drilling with screw simultaneously filling rice husk (Ø50 mm) |
| Type of Subsurface Drainage Method and Construction Interval | Soil Layer | Soil Depth | Bulk Density | Soil Moisture Content | Soil Hardness | Shear Resistance | Permeability | |
|---|---|---|---|---|---|---|---|---|
| (cm) | (Mg m−3) | (%, v/v) | (mm) | (kPa) | (cm hr−1) | |||
| Control (Undrained plot) | Ap | 0~15 | 1.28 | 35.5 | 10.0 | 36.0 | 0.85 | |
| A/B | 15~32 | 1.62 | 22.0 | 22.5 | 130.0 | 0.76 | ||
| Bg | 32~53 | 1.60 | 23.9 | 23.6 | 123.3 | 0.04 | ||
| RHDM | 2 m | Ap | 0~15 | 1.24 | 20.5 | 10.8 | 31.3 | 1.08 |
| A/B | 15~32 | 1.53 | 20.2 | 21.1 | 53.0 | 2.67 | ||
| Bg | 32~53 | 1.73 | 20.1 | 23.0 | 127.3 | 1.20 | ||
| 3 m | Ap | 0~15 | 1.35 | 28.1 | 15.3 | 42.0 | 0.51 | |
| A/B | 15~32 | 1.64 | 22.8 | 21.7 | 56.0 | 1.53 | ||
| Bg | 32~53 | 1.61 | 23.4 | 23.5 | 117.0 | 0.20 | ||
| 5 m | Ap | 0~15 | 1.36 | 32.7 | 11.7 | 38.0 | 0.93 | |
| A/B | 15~32 | 1.47 | 29.1 | 22.5 | 58.3 | 0.83 | ||
| Bg | 32~53 | 1.58 | 21.5 | 22.3 | 132.0 | 0.21 | ||
| Type of Subsurface Drainage Method and Construction Interval | Groundwater Level | ||||
|---|---|---|---|---|---|
| Average Height | SED30 a | SEW30 b | Groundwater Level Reduction | ||
| (cm) | (day) | (cm) | (mm) | ||
| Control (Undrained) | −28.6 | 25 | 848.9 | −23 | |
| CPDM | −50.5 | 0 | 186.8 | −44 | |
| TPDM | −45.0 | 3 | 214.5 | −38 | |
| RHDM | 2 m | −43.5 | 3 | 206.5 | −35 |
| 3 m | −41.1 | 5 | 464.9 | −31 | |
| 5 m | −31.5 | 15 | 794.0 | −22 | |
| Type of Subsurface Drainage Method and Construction Interval | CS Factor a | SEW30 b | SDI c | |
|---|---|---|---|---|
| (cm) | (cm day−1) | |||
| Control (Undrained) | 0.26 | 848.9 | 220.7 | |
| CPDM | 0.26 | 186.8 | 48.6 | |
| TPDM | 0.26 | 214.5 | 55.8 | |
| RHDM | 2 m | 0.26 | 206.5 | 53.7 |
| 3 m | 0.26 | 464.9 | 120.9 | |
| 5 m | 0.26 | 794.0 | 206.4 | |
| Type of Subsurface Drainage Method and Construction Interval | Soil Moisture Content (%, v/v) | |||
|---|---|---|---|---|
| Average | Maximum Value | Minimum Value | ||
| Control (Undrained) | 47.9 | 69.7 | 19.3 | |
| CPDM | 37.7 | 62.8 | 16.9 | |
| TPDM | 36.9 | 60.1 | 12.3 | |
| RHDM | 2 m | 36.7 | 59.1 | 15.7 |
| 3 m | 38.0 | 65.8 | 11.3 | |
| 5 m | 42.8 | 69.5 | 24.6 | |
| Type of Subsurface Drainage Method and Construction Interval | Model | Nugget | Sill | Separation Distance | R2 | |
|---|---|---|---|---|---|---|
| (Co) | (Co+C) | (Ao)(m) | ||||
| Control (Undrained) | Gaussian | 23.60 | 70.52 | 9.81 | 0.99 | |
| CPDM | Linear | 25.76 | 25.75 | 9.82 | 0.67 | |
| TPDM | Gaussian | 5.06 | 29.84 | 17.58 | 0.97 | |
| RHDM | 2 m | Spherical | 0.01 | 18.80 | 3.57 | 0.99 |
| 3 m | Gaussian | 8.71 | 20.59 | 10.07 | 1.00 | |
| 5 m | Exponential | 0.01 | 21.37 | 1.73 | 0.53 | |
| Type of Subsurface Drainage Method and Construction Interval | Leaf Area Per Plant | Leaf Area Per Leaf | Leaf Number per Plant | Leaf Area Index | Dry Weight | Leaf Petiole Length | |
|---|---|---|---|---|---|---|---|
| (cm2 Plant−1) | (cm2 Leaf−1) | (No. Plant−1) | (kg 10a−1) | (cm) | |||
| Control (Undrained) | 4138 d | 37.0 c | 111.8 d | 3.0 d | 803 c | 25.6 b | |
| CPDM | 6144 ab | 43.3 a | 141.8 ab | 4.4 ab | 1093 ab | 28.2 b | |
| TPDM | 6060 ab | 42.3 a | 143.3 ab | 4.3 ab | 1060 ab | 27.9 b | |
| RHDM | 2 m | 6526 a | 44.4 a | 147.3 a | 4.7 a | 1167 a | 31.1 a |
| 3 m | 5669 bc | 42.2 a | 134.7 bc | 4.0 bc | 1035 ab | 27.7 b | |
| 5 m | 5310 c | 41.0 b | 129.7 c | 3.8 c | 957 bc | 26.4 b | |
| LSD (0.05) | 23.7 *** | 3.5 * | 17.0 *** | 21.6 *** | 5.2 * | 4.9 * | |
| Type of Subsurface Drainage Method and Construction Interval | T-N | T-C | Color | Decay Scheme | Durability Life | |
|---|---|---|---|---|---|---|
| (%) | (%) | (%) | (Year) | |||
| Before | 0.38 ± 0.10 | 42.4 ± 0.6 | 10YR6/4 | - | - | |
| RHDM | 2 m | 0.43 ± 0.03 | 42.1 ± 1.2 | 7.5YR5/3 | 0.91 | 13.5 |
| 3 m | 0.42 ± 0.03 | 41.6 ± 1.6 | 7.5YR4/3 | 3.51 | 12.1 | |
| 5 m | 0.48 ± 0.02 | 41.1 ± 0.6 | 7.5YR4/2 | 4.39 | 11.8 | |
| Type of Subsurface Drainage Method and Construction Interval | Permeability Coefficient (k) | Construction Depth (d) | Groundwater Table (H) | Underground Displacement (Q) | Displacement per Unit Area (q) | |
|---|---|---|---|---|---|---|
| (cm/s) | (cm) | (cm) | (cm3/s/m) | (mm/Day) | ||
| CPDM | 1 × 10−4 | 70 | −44.0 | 2.14 | 63.3 | |
| TPDM | 1 × 10−4 | 50 | −38.0 | 2.06 | 60.6 | |
| RHDM | 2 m | 1 × 10−4 | 50 | −43.5 | 1.90 | 59.8 |
| 3 m | 1 × 10−4 | 50 | −41.1 | 1.75 | 53.6 | |
| 5 m | 1 × 10−4 | 50 | −31.5 | 1.50 | 38.4 | |
Disclaimer/Publisher’s Note: The statements, opinions and data contained in all publications are solely those of the individual author(s) and contributor(s) and not of MDPI and/or the editor(s). MDPI and/or the editor(s) disclaim responsibility for any injury to people or property resulting from any ideas, methods, instructions or products referred to in the content. |
© 2024 by the authors. Licensee MDPI, Basel, Switzerland. This article is an open access article distributed under the terms and conditions of the Creative Commons Attribution (CC BY) license (https://creativecommons.org/licenses/by/4.0/).
Share and Cite
Jung, K.-Y.; Jeon, S.H.; Chae, S.E.; Yoon, D.-K. Influence of Trenchless Subsurface Drainage with a Rice Husk Filling System on Soybean Productivity Under a Poorly Drained Paddy Field for Future Applications in Smart Agriculture. Agriculture 2024, 14, 1954. https://doi.org/10.3390/agriculture14111954
Jung K-Y, Jeon SH, Chae SE, Yoon D-K. Influence of Trenchless Subsurface Drainage with a Rice Husk Filling System on Soybean Productivity Under a Poorly Drained Paddy Field for Future Applications in Smart Agriculture. Agriculture. 2024; 14(11):1954. https://doi.org/10.3390/agriculture14111954
Chicago/Turabian StyleJung, Ki-Yeol, Seung Ho Jeon, Se Eun Chae, and Dong-Kyung Yoon. 2024. "Influence of Trenchless Subsurface Drainage with a Rice Husk Filling System on Soybean Productivity Under a Poorly Drained Paddy Field for Future Applications in Smart Agriculture" Agriculture 14, no. 11: 1954. https://doi.org/10.3390/agriculture14111954
APA StyleJung, K.-Y., Jeon, S. H., Chae, S. E., & Yoon, D.-K. (2024). Influence of Trenchless Subsurface Drainage with a Rice Husk Filling System on Soybean Productivity Under a Poorly Drained Paddy Field for Future Applications in Smart Agriculture. Agriculture, 14(11), 1954. https://doi.org/10.3390/agriculture14111954

