Genome-Wide Association Studies of Agronomic and Quality Traits in Durum Wheat
Abstract
1. Introduction
2. Materials and Methods
2.1. Plant Material
2.2. Phenotypic Data
2.3. SNP Genotyping
2.4. Statistical Analysis
3. Results
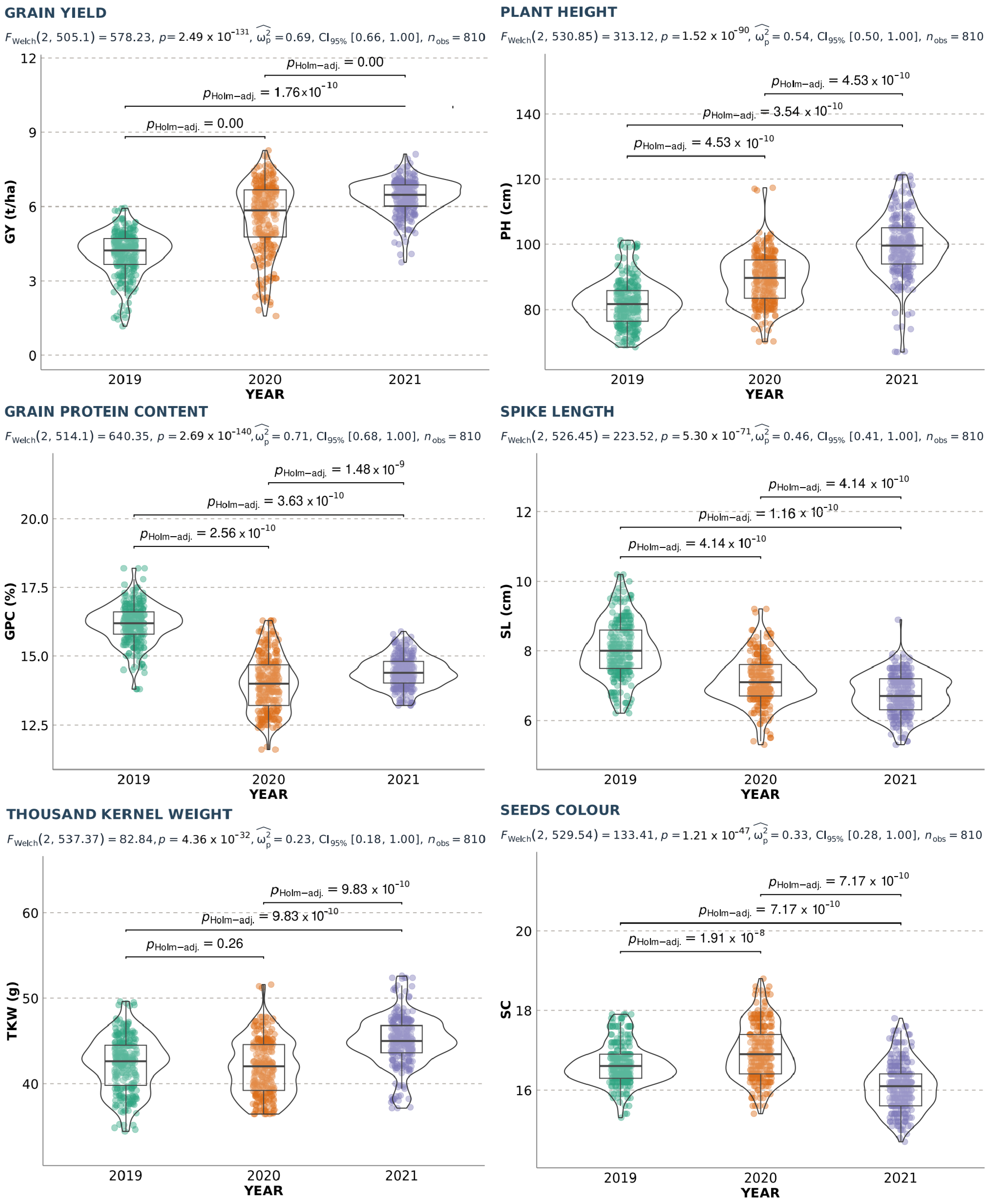
3.1. Phenotypic Variation
3.2. Phenotypic Correlation
3.3. Genetic Structure of the Durum Wheat Collection
3.4. Linkage Disequilibrium
3.5. Association Mapping
3.6. Candidate Genes
4. Discussion
4.1. Phenotypic Variation
4.2. Phenotypic Correlations
4.3. Genetic Structure
4.4. LD-Decay and Association Mapping
4.5. Candidate Genes
5. Conclusions
Supplementary Materials
Author Contributions
Funding
Institutional Review Board Statement
Data Availability Statement
Conflicts of Interest
References
- Zohary, D.; Hopf, M.; Weiss, E. Domestication of Plants in the Old World: The Origin and Spread of Domesticated Plants in Southwest Asia, Europe, and the Mediterranean Basin; Oxford University Press: Oxford, UK, 2012; ISBN 978-0-19-181004-6. [Google Scholar]
- Maccaferri, M.; Harris, N.S.; Twardziok, S.O.; Pasam, R.K.; Gundlach, H.; Spannagl, M.; Ormanbekova, D.; Lux, T.; Prade, V.M.; Milner, S.G.; et al. Durum Wheat Genome Highlights Past Domestication Signatures and Future Improvement Targets. Nat. Genet. 2019, 51, 885–895. [Google Scholar] [CrossRef] [PubMed]
- Peng, J.; Ronin, Y.; Fahima, T.; Röder, M.S.; Li, Y.; Nevo, E.; Korol, A. Domestication Quantitative Trait Loci in Triticum Dicoccoides, the Progenitor of Wheat. Proc. Natl. Acad. Sci. USA 2003, 100, 2489–2494. [Google Scholar] [CrossRef] [PubMed]
- Blanco, A.; Colasuonno, P.; Gadaleta, A.; Mangini, G.; Schiavulli, A.; Simeone, R.; Digesù, A.M.; De Vita, P.; Mastrangelo, A.M.; Cattivelli, L. Quantitative Trait Loci for Yellow Pigment Concentration and Individual Carotenoid Compounds in Durum Wheat. J. Cereal Sci. 2011, 54, 255–264. [Google Scholar] [CrossRef]
- Motzo, R.; Fois, S.; Giunta, F. Relationship between Grain Yield and Quality of Durum Wheats from Different Eras of Breeding. Euphytica 2004, 140, 147–154. [Google Scholar] [CrossRef]
- Troccoli, A.; Borrelli, G.M.; De Vita, P.; Fares, C.; Di Fonzo, N. Mini Review: Durum Wheat Quality: A Multidisciplinary Concept. J. Cereal Sci. 2000, 32, 99–113. [Google Scholar] [CrossRef]
- Clarke, F.R.; Clarke, J.M.; McCaig, T.N.; Knox, R.E.; DePauw, R.M. Inheritance of Yellow Pigment Concentration in Seven Durum Wheat Crosses. Can. J. Plant Sci. 2006, 86, 133–141. [Google Scholar] [CrossRef]
- Crupi, P.; Faienza, M.F.; Naeem, M.Y.; Corbo, F.; Clodoveo, M.L.; Muraglia, M. Overview of the Potential Beneficial Effects of Carotenoids on Consumer Health and Well-Being. Antioxidants 2023, 12, 1069. [Google Scholar] [CrossRef]
- Digesù, A.M.; Platani, C.; Cattivelli, L.; Mangini, G.; Blanco, A. Genetic Variability in Yellow Pigment Components in Cultivated and Wild Tetraploid Wheats. J. Cereal Sci. 2009, 50, 210–218. [Google Scholar] [CrossRef]
- Blanco, A.; Mangini, G.; Giancaspro, A.; Giove, S.; Colasuonno, P.; Simeone, R.; Signorile, A.; De Vita, P.; Mastrangelo, A.M.; Cattivelli, L.; et al. Relationships between Grain Protein Content and Grain Yield Components through Quantitative Trait Locus Analyses in a Recombinant Inbred Line Population Derived from Two Elite Durum Wheat Cultivars. Mol. Breed. 2012, 30, 79–92. [Google Scholar] [CrossRef]
- Chee, P.W.; Elias, E.M.; Anderson, J.A.; Kianian, S.F. Evaluation of a High Grain Protein QTL from Triticum turgidum L. Var. Dicoccoides in an Adapted Durum Wheat Background. Crop Sci. 2001, 41, 295–301. [Google Scholar] [CrossRef]
- Joppa, L.R.; Du, C.; Hart, G.E.; Hareland, G.A. Mapping Gene(s) for Grain Protein in Tetraploid Wheat (Triticum turgidum L.) Using a Population of Recombinant Inbred Chromosome Lines. Crop Sci. 1997, 37, 1586–1589. [Google Scholar] [CrossRef]
- Uauy, C.; Brevis, J.C.; Dubcovsky, J. The High Grain Protein Content Gene Gpc-B1 Accelerates Senescence and Has Pleiotropic Effects on Protein Content in Wheat. J. Exp. Bot. 2006, 57, 2785–2794. [Google Scholar] [CrossRef]
- Alemu, A.; Feyissa, T.; Tuberosa, R.; Maccaferri, M.; Sciara, G.; Letta, T.; Abeyo, B. Genome-Wide Association Mapping for Grain Shape and Color Traits in Ethiopian Durum Wheat (Triticum turgidum ssp. durum). Crop J. 2020, 8, 757–768. [Google Scholar] [CrossRef]
- Rapp, M.; Lein, V.; Lacoudre, F.; Lafferty, J.; Müller, E.; Vida, G.; Bozhanova, V.; Ibraliu, A.; Thorwarth, P.; Piepho, H.P.; et al. Simultaneous Improvement of Grain Yield and Protein Content in Durum Wheat by Different Phenotypic Indices and Genomic Selection. Theor. Appl. Genet. 2018, 131, 1315–1329. [Google Scholar] [CrossRef]
- The International Wheat Genome Sequencing Consortium (IWGSC); Appels, R.; Eversole, K.; Stein, N.; Feuillet, C.; Keller, B.; Rogers, J.; Pozniak, C.J.; Choulet, F.; Distelfeld, A.; et al. Shifting the Limits in Wheat Research and Breeding Using a Fully Annotated Reference Genome. Science 2018, 361, eaar7191. [Google Scholar] [CrossRef]
- Bozhanova, V.; Dechev, D.; Todorovska, E.; Yanev, S. Investigations of Cold- and Drought resistance in durum wheat. Field Crop Stud. 2010, 6, 347–354. [Google Scholar]
- Yanev, S. Achievements and prospects of durum wheat breeding development. Field Crop Stud. 2006, 3, 177–184. [Google Scholar]
- Dragov, R.; Dechev, D.; Bozhanova, V.; Taneva, K.; Nedyalkova, S. Heliks-new variety durum wheat (Triticum durum Desf.). Field Crops Stud. 2019, XII, 123–132. [Google Scholar]
- Christov, N.K.; Tsonev, S.; Dragov, R.; Taneva, K.; Bozhanova, V.; Todorovska, E.G. Genetic Diversity and Population Structure of Modern Bulgarian and Foreign Durum Wheat Based on Microsatellite and Agronomic Data. Biotechnol. Biotechnol. Equip. 2022, 36, 637–652. [Google Scholar] [CrossRef]
- Todorovska, E.; Hadjiivanova, B.; Bozhanova, V.; Dechev, D.; Muhovski, Y.; Panchev, I.; Abu-Mhadi, N.; Peycheva, V.; Ivanova, A. Molecular and Phenotypic Characterization of Advanced Backcross Lines Derived from Interspecific Hybridization of Durum Wheat. Biotechnol. Biotechnol. Equip. 2013, 27, 3760–3771. [Google Scholar] [CrossRef][Green Version]
- ISO 20483:2013; Determination of the Nitrogen Content and Calculation of the Crude Protein Content—Kjeldahl Method. Bulgarian Institute for Standardization Cereals and Pulses: Sofia, Bulgaria, 2013.
- ISO 520:2010; Determination of the Mass of 1000 Grains. Bulgarian Institute for Standardization Cereals and Pulses: Sofia, Bulgaria, 2013.
- Humphries, J.M.; Graham, R.D.; Mares, D.J. Application of Reflectance Colour Measurement to the Estimation of Carotene and Lutein Content in Wheat and Triticale. J. Cereal Sci. 2004, 40, 151–159. [Google Scholar] [CrossRef]
- Soleimani, B.; Lehnert, H.; Keilwagen, J.; Plieske, J.; Ordon, F.; Naseri Rad, S.; Ganal, M.; Beier, S.; Perovic, D. Comparison Between Core Set Selection Methods Using Different Illumina Marker Platforms: A Case Study of Assessment of Diversity in Wheat. Front. Plant Sci. 2020, 11, 1040. [Google Scholar] [CrossRef] [PubMed]
- Winfield, M.O.; Allen, A.M.; Burridge, A.J.; Barker, G.L.A.; Benbow, H.R.; Wilkinson, P.A.; Coghill, J.; Waterfall, C.; Davassi, A.; Scopes, G.; et al. High-Density SNP Genotyping Array for Hexaploid Wheat and Its Secondary and Tertiary Gene Pool. Plant Biotechnol. J. 2016, 14, 1195–1206. [Google Scholar] [CrossRef] [PubMed]
- Ganal, M.W.; Röder, M.S. Microsatellite and SNP Markers in Wheat Breeding. In Genomics-Assisted Crop Improvement: Vol 2: Genomics Applications in Crops; Varshney, R.K., Tuberosa, R., Eds.; Springer: Dordrecht, The Netherlands, 2007; pp. 1–24. ISBN 978-1-4020-6297-1. [Google Scholar]
- Bates, D.; Mächler, M.; Bolker, B.; Walker, S. Fitting Linear Mixed-Effects Models Using Lme4. J. Stat. Softw. 2015, 67, 1–48. [Google Scholar] [CrossRef]
- R Core Team. R: A Language and Environment for Statistical Computing; R Foundation for Statistical Computing: Vienna, Austria, 2024. [Google Scholar]
- Pritchard, J.K.; Stephens, M.; Donnelly, P. Inference of Population Structure Using Multilocus Genotype Data. Genetics 2000, 155, 945–959. [Google Scholar] [CrossRef]
- Jombart, T.; Devillard, S.; Balloux, F. Discriminant Analysis of Principal Components: A New Method for the Analysis of Genetically Structured Populations. BMC Genet. 2010, 11, 94. [Google Scholar] [CrossRef]
- Purcell, S.; Neale, B.; Todd-Brown, K.; Thomas, L.; Ferreira, M.A.R.; Bender, D.; Maller, J.; Sklar, P.; de Bakker, P.I.W.; Daly, M.J.; et al. PLINK: A Tool Set for Whole-Genome Association and Population-Based Linkage Analyses. Am. J. Hum. Genet. 2007, 81, 559–575. [Google Scholar] [CrossRef]
- Evanno, G.; Regnaut, S.; Goudet, J. Detecting the Number of Clusters of Individuals Using the Software Structure: A Simulation Study. Mol. Ecol. 2005, 14, 2611–2620. [Google Scholar] [CrossRef]
- Francis, R.M. Pophelper: An R Package and Web App to Analyse and Visualize Population Structure. Mol. Ecol. Resour. 2017, 17, 27–32. [Google Scholar] [CrossRef]
- Bradbury, P.J.; Zhang, Z.; Kroon, D.E.; Casstevens, T.M.; Ramdoss, Y.; Buckler, E.S. TASSEL: Software for Association Mapping of Complex Traits in Diverse Samples. Bioinformatics 2007, 23, 2633–2635. [Google Scholar] [CrossRef]
- Remington, D.L.; Thornsberry, J.M.; Matsuoka, Y.; Wilson, L.M.; Whitt, S.R.; Doebley, J.; Kresovich, S.; Goodman, M.M.; Buckler, E.S. Structure of Linkage Disequilibrium and Phenotypic Associations in the Maize Genome. Proc. Natl. Acad. Sci. USA 2001, 98, 11479–11484. [Google Scholar] [CrossRef] [PubMed]
- Covarrubias-Pazaran, G. Genome-Assisted Prediction of Quantitative Traits Using the R Package Sommer. PLoS ONE 2016, 11, e0156744. [Google Scholar] [CrossRef] [PubMed]
- Lipka, A.E.; Tian, F.; Wang, Q.; Peiffer, J.; Li, M.; Bradbury, P.J.; Gore, M.A.; Buckler, E.S.; Zhang, Z. GAPIT: Genome Association and Prediction Integrated Tool. Bioinformatics 2012, 28, 2397–2399. [Google Scholar] [CrossRef] [PubMed]
- Segura, V.; Vilhjálmsson, B.J.; Platt, A.; Korte, A.; Seren, Ü.; Long, Q.; Nordborg, M. An Efficient Multi-Locus Mixed-Model Approach for Genome-Wide Association Studies in Structured Populations. Nat. Genet. 2012, 44, 825–830. [Google Scholar] [CrossRef]
- Van Bel, M.; Silvestri, F.; Weitz, E.M.; Kreft, L.; Botzki, A.; Coppens, F.; Vandepoele, K. PLAZA 5.0: Extending the Scope and Power of Comparative and Functional Genomics in Plants. Nucleic Acids Res. 2022, 50, D1468–D1474. [Google Scholar] [CrossRef]
- Ge, S.X.; Jung, D.; Yao, R. ShinyGO: A Graphical Gene-Set Enrichment Tool for Animals and Plants. Bioinformatics 2020, 36, 2628–2629. [Google Scholar] [CrossRef]
- Browning, B.L.; Zhou, Y.; Browning, S.R. A One-Penny Imputed Genome from Next-Generation Reference Panels. Am. J. Hum. Genet. 2018, 103, 338–348. [Google Scholar] [CrossRef]
- Mulugeta, B.; Tesfaye, K.; Geleta, M.; Johansson, E.; Hailesilassie, T.; Hammenhag, C.; Hailu, F.; Ortiz, R. Multivariate Analyses of Ethiopian Durum Wheat Revealed Stable and High Yielding Genotypes. PLoS ONE 2022, 17, e0273008. [Google Scholar] [CrossRef]
- Martínez-Peña, R.; Rezzouk, F.Z.; Díez-Fraile, M.d.C.; Nieto-Taladriz, M.T.; Araus, J.L.; Aparicio, N.; Vicente, R. Genotype-by-Environment Interaction for Grain Yield and Quality Traits in Durum Wheat: Identification of Ideotypes Adapted to the Spanish Region of Castile and León. Eur. J. Agron. 2023, 151, 126951. [Google Scholar] [CrossRef]
- Mohammadi, R.; Armion, M.; Zadhasan, E.; Ahmadi, M.M.; Amri, A. The Use of AMMI Model for Interpreting Genotype × Environment Interaction in Durum Wheat. Exp. Agric. 2018, 54, 670–683. [Google Scholar] [CrossRef]
- Baker, R.J.; Campbell, A.B.; Tipples, K.H. Heritabilities of and Correlations Among Quality Traits in Wheat. Can. J. Plant Sci. 1971, 51, 441–448. [Google Scholar] [CrossRef]
- Gaines, C.S. Associations among Quality Attributes of Red and White Soft Wheat Cultivars across Locations and Crop Years. Cereal Chem. 1991, 68, 56–59. [Google Scholar]
- Dragov, R.; Dechev, D.; Taneva, K. Genetic Distance of New Bulgarian Durum Wheat Varieties and Breeding Lines of FCI-Chirpan, Bulgaria. Int. J. Innov. Approaches Agric. Res. 2019, 3, 402–410. [Google Scholar] [CrossRef]
- Usadad, J.S.; Chaudhari, S.B.; Sapovadiya, M.H.; Bagadiya, P.G. Multivariate Analysis in Durum Wheat [Triticum turgidum L. Subsp. Durum (Desf.)]. Pharma Innov. J. 2022, 11, 938–941. [Google Scholar]
- Dagnaw, T.; Mulugeta, B.; Haileselassie, T.; Geleta, M.; Ortiz, R.; Tesfaye, K. Genetic Diversity of Durum Wheat (Triticum turgidum L. Ssp. Durum, Desf) Germplasm as Revealed by Morphological and SSR Markers. Genes 2023, 14, 1155. [Google Scholar] [CrossRef]
- Nigro, D.; Blanco, E.; Mangini, G.; Laddomada, B.; Sgaramella, N.; Signorile, M.A.; Simeone, R.; Blanco, A. Identifying QTL for Grain Protein Content Independent from Grain Yield-Related Traits in Durum Wheat. J. Cereal Sci. 2024, 117, 103894. [Google Scholar] [CrossRef]
- De Vita, P.; Nicosia, O.L.D.; Nigro, F.; Platani, C.; Riefolo, C.; Di Fonzo, N.; Cattivelli, L. Breeding Progress in Morpho-Physiological, Agronomical and Qualitative Traits of Durum Wheat Cultivars Released in Italy during the 20th Century. Eur. J. Agron. 2007, 26, 39–53. [Google Scholar] [CrossRef]
- Fukai, S.; Mitchell, J. Grain Yield and Protein Concentration Relationships in Rice. Crop Environ. 2024, 3, 12–24. [Google Scholar] [CrossRef]
- Boussakouran, A.; El Yamani, M.; Sakar, E.H.; Rharrabti, Y. Trend in Yield and Protein Content Relationship in a Historical Series of Durum Wheat Varieties under Rainfed and Irrigated Environments. Crop Environ. 2024, 3, 171–176. [Google Scholar] [CrossRef]
- Ercoli, L.; Arduini, I.; Mariotti, M.; Masoni, A. Post-Anthesis Dry Matter and Nitrogen Dynamics in Durum Wheat as Affected by Nitrogen and Temperature during Grain Filling. Cereal Res. Commun. 2010, 38, 294–303. [Google Scholar] [CrossRef]
- Bogard, M.; Allard, V.; Brancourt-Hulmel, M.; Heumez, E.; Machet, J.-M.; Jeuffroy, M.-H.; Gate, P.; Martre, P.; Le Gouis, J. Deviation from the Grain Protein Concentration–Grain Yield Negative Relationship Is Highly Correlated to Post-Anthesis N Uptake in Winter Wheat. J. Exp. Bot. 2010, 61, 4303–4312. [Google Scholar] [CrossRef] [PubMed]
- Nehe, A.S.; Misra, S.; Murchie, E.H.; Chinnathambi, K.; Singh Tyagi, B.; Foulkes, M.J. Nitrogen Partitioning and Remobilization in Relation to Leaf Senescence, Grain Yield and Protein Concentration in Indian Wheat Cultivars. Field Crops Res. 2020, 251, 107778. [Google Scholar] [CrossRef]
- Grahmann, K.; Verhulst, N.; Peña, R.J.; Buerkert, A.; Vargas-Rojas, L.; Govaerts, B. Durum Wheat (Triticum durum L.) Quality and Yield as Affected by Tillage–Straw Management and Nitrogen Fertilization Practice under Furrow-Irrigated Conditions. Field Crops Res. 2014, 164, 166–177. [Google Scholar] [CrossRef]
- Tsonev, S.; Christov, N.K.; Mihova, G.; Dimitrova, A.; Todorovska, E.G. Genetic Diversity and Population Structure of Bread Wheat Varieties Grown in Bulgaria Based on Microsatellite and Phenotypic Analyses. Biotechnol. Biotechnol. Equip. 2021, 35, 1520–1533. [Google Scholar] [CrossRef]
- Kabbaj, H.; Sall, A.T.; Al-Abdallat, A.; Geleta, M.; Amri, A.; Filali-Maltouf, A.; Belkadi, B.; Ortiz, R.; Bassi, F.M. Genetic Diversity within a Global Panel of Durum Wheat (Triticum durum) Landraces and Modern Germplasm Reveals the History of Alleles Exchange. Front. Plant Sci. 2017, 8, 1277. [Google Scholar] [CrossRef]
- Taranto, F.; D’Agostino, N.; Rodriguez, M.; Pavan, S.; Minervini, A.P.; Pecchioni, N.; Papa, R.; De Vita, P. Whole Genome Scan Reveals Molecular Signatures of Divergence and Selection Related to Important Traits in Durum Wheat Germplasm. Front. Genet. 2020, 11, 217. [Google Scholar] [CrossRef]
- Wang, S.; Xu, S.; Chao, S.; Sun, Q.; Liu, S.; Xia, G. A Genome-Wide Association Study of Highly Heritable Agronomic Traits in Durum Wheat. Front. Plant Sci. 2019, 10, 919. [Google Scholar] [CrossRef]
- Mulugeta, B.; Tesfaye, K.; Ortiz, R.; Johansson, E.; Hailesilassie, T.; Hammenhag, C.; Hailu, F.; Geleta, M. Marker-Trait Association Analyses Revealed Major Novel QTLs for Grain Yield and Related Traits in Durum Wheat. Front. Plant Sci. 2023, 13, 1009244. [Google Scholar] [CrossRef]
- Arriagada, O.; Gadaleta, A.; Marcotuli, I.; Maccaferri, M.; Campana, M.; Reveco, S.; Alfaro, C.; Matus, I.; Schwember, A.R. A Comprehensive Meta-QTL Analysis for Yield-Related Traits of Durum Wheat (Triticum turgidum L. Var. Durum) Grown under Different Water Regimes. Front. Plant Sci. 2022, 13, 984269. [Google Scholar] [CrossRef]
- Maccaferri, M.; Sanguineti, M.C.; Corneti, S.; Ortega, J.L.A.; Salem, M.B.; Bort, J.; DeAmbrogio, E.; del Moral, L.F.G.; Demontis, A.; El-Ahmed, A.; et al. Quantitative Trait Loci for Grain Yield and Adaptation of Durum Wheat (Triticum durum Desf.) Across a Wide Range of Water Availability. Genetics 2008, 178, 489–511. [Google Scholar] [CrossRef]
- Rehman Arif, M.A.; Attaria, F.; Shokat, S.; Akram, S.; Waheed, M.Q.; Arif, A.; Börner, A. Mapping of QTLs Associated with Yield and Yield Related Traits in Durum Wheat (Triticum durum Desf.) Under Irrigated and Drought Conditions. Int. J. Mol. Sci. 2020, 21, 2372. [Google Scholar] [CrossRef] [PubMed]
- Mengistu, D.K.; Kidane, Y.G.; Catellani, M.; Frascaroli, E.; Fadda, C.; Pè, M.E.; Dell’Acqua, M. High-Density Molecular Characterization and Association Mapping in Ethiopian Durum Wheat Landraces Reveals High Diversity and Potential for Wheat Breeding. Plant Biotechnol. J. 2016, 14, 1800–1812. [Google Scholar] [CrossRef] [PubMed]
- Roncallo, P.F.; Akkiraju, P.C.; Cervigni, G.L.; Echenique, V.C. QTL Mapping and Analysis of Epistatic Interactions for Grain Yield and Yield-Related Traits in Triticum turgidum L. Var. Durum. Euphytica 2017, 213, 277. [Google Scholar] [CrossRef]
- Peleg, Z.; Fahima, T.; Krugman, T.; Abbo, S.; Yakir, D.; Korol, A.B.; Saranga, Y. Genomic Dissection of Drought Resistance in Durum Wheat × Wild Emmer Wheat Recombinant Inbreed Line Population. Plant Cell Environ. 2009, 32, 758–779. [Google Scholar] [CrossRef] [PubMed]
- Gonzalez-Hernandez, J.L.; Elias, E.M.; Kianian, S.F. Mapping Genes for Grain Protein Concentration and Grain Yield on Chromosome 5B of Triticum turgidum (L.) Var. Dicoccoides. Euphytica 2004, 139, 217–225. [Google Scholar] [CrossRef]
- Nigro, D.; Gadaleta, A.; Mangini, G.; Colasuonno, P.; Marcotuli, I.; Giancaspro, A.; Giove, S.L.; Simeone, R.; Blanco, A. Candidate Genes and Genome-Wide Association Study of Grain Protein Content and Protein Deviation in Durum Wheat. Planta 2019, 249, 1157–1175. [Google Scholar] [CrossRef]
- Marcotuli, I.; Gadaleta, A.; Mangini, G.; Signorile, A.M.; Zacheo, S.A.; Blanco, A.; Simeone, R.; Colasuonno, P. Development of a High-Density SNP-Based Linkage Map and Detection of QTL for β-Glucans, Protein Content, Grain Yield per Spike and Heading Time in Durum Wheat. Int. J. Mol. Sci. 2017, 18, 1329. [Google Scholar] [CrossRef]
- Kartseva, T.; Alqudah, A.M.; Aleksandrov, V.; Alomari, D.Z.; Doneva, D.; Arif, M.A.R.; Börner, A.; Misheva, S. Nutritional Genomic Approach for Improving Grain Protein Content in Wheat. Foods Basel Switz. 2023, 12, 1399. [Google Scholar] [CrossRef]
- Marcotuli, I.; Soriano, J.M.; Gadaleta, A. A Consensus Map for Quality Traits in Durum Wheat Based on Genome-Wide Association Studies and Detection of Ortho-Meta QTL across Cereal Species. Front. Genet. 2022, 13, 982418. [Google Scholar] [CrossRef]
- N’Diaye, A.; Haile, J.K.; Nilsen, K.T.; Walkowiak, S.; Ruan, Y.; Singh, A.K.; Clarke, F.R.; Clarke, J.M.; Pozniak, C.J. Haplotype Loci Under Selection in Canadian Durum Wheat Germplasm Over 60 Years of Breeding: Association With Grain Yield, Quality Traits, Protein Loss, and Plant Height. Front. Plant Sci. 2018, 9, 1589. [Google Scholar] [CrossRef]
- Patil, R.M.R.M.; Oak, M.D.M.D.; Tamhankar, S.A.S.A.; Sourdille, P.; Rao, V.S.V.S. Mapping and Validation of a Major QTL for Yellow Pigment Content on 7AL in Durum Wheat (Triticum turgidum L. Ssp Durum). Mol. Breed. 2008, 21, 485–496. [Google Scholar] [CrossRef]
- Reimer, S.; Pozniak, C.J.; Clarke, F.R.; Clarke, J.M.; Somers, D.J.; Knox, R.E.; Singh, A.K. Association Mapping of Yellow Pigment in an Elite Collection of Durum Wheat Cultivars and Breeding Lines. Genome 2008, 51, 1016–1025. [Google Scholar] [CrossRef] [PubMed]
- Pozniak, C.J.; Knox, R.E.; Clarke, F.R.; Clarke, J.M. Identification of QTL and Association of a Phytoene Synthase Gene with Endosperm Colour in Durum Wheat. Theor. Appl. Genet. 2007, 114, 525–537. [Google Scholar] [CrossRef] [PubMed]
- Fiedler, J.D.; Salsman, E.; Liu, Y.; Michalak de Jiménez, M.; Hegstad, J.B.; Chen, B.; Manthey, F.A.; Chao, S.; Xu, S.; Elias, E.M.; et al. Genome-Wide Association and Prediction of Grain and Semolina Quality Traits in Durum Wheat Breeding Populations. Plant Genome 2017, 10, plantgenome2017.05.0038. [Google Scholar] [CrossRef] [PubMed]
- Roncallo, P.F.; Cervigni, G.L.; Jensen, C.; Miranda, R.; Carrera, A.D.; Helguera, M.; Echenique, V. QTL Analysis of Main and Epistatic Effects for Flour Color Traits in Durum Wheat. Euphytica 2012, 185, 77–92. [Google Scholar] [CrossRef]
- Rathan, N.D.; Krishnappa, G.; Singh, A.-M.; Govindan, V. Mapping QTL for Phenological and Grain-Related Traits in a Mapping Population Derived from High-Zinc-Biofortified Wheat. Plants 2023, 12, 220. [Google Scholar] [CrossRef]
- Agarwal, P.; Balyan, H.S.; Gupta, P.K. Identification of Modifiers of the Plant Height in Wheat Using an Induced Dwarf Mutant Controlled by RhtB4c Allele. Physiol. Mol. Biol. Plants 2020, 26, 2283–2289. [Google Scholar] [CrossRef]
- Hu, P.; Liu, J.; Xu, J.; Zhou, C.; Cao, S.; Zhou, W.; Huang, Z.; Yuan, S.; Wang, X.; Xiao, J.; et al. A Malectin-like/Leucine-Rich Repeat Receptor Protein Kinase Gene, RLK-V, Regulates Powdery Mildew Resistance in Wheat. Mol. Plant Pathol. 2018, 19, 2561–2574. [Google Scholar] [CrossRef]
- Wang, J.; Wang, J.; Shang, H.; Chen, X.; Xu, X.; Hu, X. TaXa21, a Leucine-Rich Repeat Receptor–Like Kinase Gene Associated with TaWRKY76 and TaWRKY62, Plays Positive Roles in Wheat High-Temperature Seedling Plant Resistance to Puccinia striiformis f. sp. tritici. Mol. Plant-Microbe Interact. 2019, 32, 1526–1535. [Google Scholar] [CrossRef]
- Liao, Y.; Hu, C.; Zhang, X.; Cao, X.; Xu, Z.; Gao, X.; Li, L.; Zhu, J.; Chen, R. Isolation of a Novel Leucine-Rich Repeat Receptor-like Kinase (OsLRR2) Gene from Rice and Analysis of Its Relation to Abiotic Stress Responses. Biotechnol. Biotechnol. Equip. 2017, 31, 51–57. [Google Scholar] [CrossRef]
- Singh, A.; Breja, P.; Khurana, J.P.; Khurana, P. Wheat Brassinosteroid-Insensitive1 (TaBRI1) Interacts with Members of TaSERK Gene Family and Cause Early Flowering and Seed Yield Enhancement in Arabidopsis. PLoS ONE 2016, 11, e0153273. [Google Scholar] [CrossRef] [PubMed]
- Banerjee, A.; Hamberger, B. P450s Controlling Metabolic Bifurcations in Plant Terpene Specialized Metabolism. Phytochem. Rev. 2018, 17, 81–111. [Google Scholar] [CrossRef] [PubMed]
- Mizutani, M.; Ohta, D. Diversification of P450 Genes During Land Plant Evolution. Annu. Rev. Plant Biol. 2010, 61, 291–315. [Google Scholar] [CrossRef]
- Xia, Y.; Yang, J.; Ma, L.; Yan, S.; Pang, Y. Genome-Wide Identification and Analyses of Drought/Salt-Responsive Cytochrome P450 Genes in Medicago Truncatula. Int. J. Mol. Sci. 2021, 22, 9957. [Google Scholar] [CrossRef]
- Xu, J.; Wang, X.; Guo, W. The Cytochrome P450 Superfamily: Key Players in Plant Development and Defense. J. Integr. Agric. 2015, 14, 1673–1686. [Google Scholar] [CrossRef]
- Gunupuru, L.R.; Arunachalam, C.; Malla, K.B.; Kahla, A.; Perochon, A.; Jia, J.; Thapa, G.; Doohan, F.M. A Wheat Cytochrome P450 Enhances Both Resistance to Deoxynivalenol and Grain Yield. PLoS ONE 2018, 13, e0204992. [Google Scholar] [CrossRef]
- Ma, M.; Wang, Q.; Li, Z.; Cheng, H.; Li, Z.; Liu, X.; Song, W.; Appels, R.; Zhao, H. Expression of TaCYP78A3, a Gene Encoding Cytochrome P450 CYP78A3 Protein in Wheat (Triticum aestivum L.), Affects Seed Size. Plant J. 2015, 83, 312–325. [Google Scholar] [CrossRef]
- Hoang, X.L.T.; Prerostova, S.; Thu, N.B.A.; Thao, N.P.; Vankova, R.; Tran, L.-S.P. Histidine Kinases: Diverse Functions in Plant Development and Responses to Environmental Conditions. Annu. Rev. Plant Biol. 2021, 72, 297–323. [Google Scholar] [CrossRef]
- Gahlaut, V.; Mathur, S.; Dhariwal, R.; Khurana, J.P.; Tyagi, A.K.; Balyan, H.S.; Gupta, P.K. A Multi-Step Phosphorelay Two-Component System Impacts on Tolerance against Dehydration Stress in Common Wheat. Funct. Integr. Genomics 2014, 14, 707–716. [Google Scholar] [CrossRef]
- Zhao, Y.; Islam, S.; Alhabbar, Z.; Zhang, J.; O’Hara, G.; Anwar, M.; Ma, W. Current Progress and Future Prospect of Wheat Genetics Research towards an Enhanced Nitrogen Use Efficiency. Plants 2023, 12, 1753. [Google Scholar] [CrossRef]
- Ma, Q.-H.; Tian, B. Characterization of a Wheat Histidine-Containing Phosphotransfer Protein (HP) That Is Regulated by Cytokinin-Mediated Inhibition of Leaf Senescence. Plant Sci. 2005, 168, 1507–1514. [Google Scholar] [CrossRef]
- Stortenbeker, N.; Bemer, M. The SAUR Gene Family: The Plant’s Toolbox for Adaptation of Growth and Development. J. Exp. Bot. 2019, 70, 17–27. [Google Scholar] [CrossRef] [PubMed]
- McClure, B.A.; Guilfoyle, T. Characterization of a Class of Small Auxin-Inducible Soybean Polyadenylated RNAs. Plant Mol. Biol. 1987, 9, 611–623. [Google Scholar] [CrossRef]
- Hou, K.; Wu, W.; Gan, S.-S. SAUR36, a SMALL AUXIN UP RNA Gene, Is Involved in the Promotion of Leaf Senescence in Arabidopsis1[C][W][OA]. Plant Physiol. 2013, 161, 1002–1009. [Google Scholar] [CrossRef]
- Alahakoon, A.Y.; Tongson, E.; Meng, W.; Ye, Z.-W.; Russell, D.A.; Chye, M.-L.; Golz, J.F.; Taylor, P.W.J. Overexpressing Arabidopsis Thaliana ACBP6 in Transgenic Rapid-Cycling Brassica Napus Confers Cold Tolerance. Plant Methods 2022, 18, 62. [Google Scholar] [CrossRef]
- Hsiao, A.-S.; Haslam, R.P.; Michaelson, L.V.; Liao, P.; Chen, Q.-F.; Sooriyaarachchi, S.; Mowbray, S.L.; Napier, J.A.; Tanner, J.A.; Chye, M.-L. Arabidopsis Cytosolic Acyl-CoA-Binding Proteins ACBP4, ACBP5 and ACBP6 Have Overlapping but Distinct Roles in Seed Development. Biosci. Rep. 2014, 34, e00165. [Google Scholar] [CrossRef]
- Wang, L.; Xiang, L.; Hong, J.; Xie, Z.; Li, B. Genome-Wide Analysis of bHLH Transcription Factor Family Reveals Their Involvement in Biotic and Abiotic Stress Responses in Wheat (Triticum aestivum L.). 3 Biotech 2019, 9, 236. [Google Scholar] [CrossRef]
- Wei, K.; Chen, H. Comparative Functional Genomics Analysis of bHLH Gene Family in Rice, Maize and Wheat. BMC Plant Biol. 2018, 18, 309. [Google Scholar] [CrossRef]
- Heang, D.; Sassa, H. An Atypical bHLH Protein Encoded by POSITIVE REGULATOR OF GRAIN LENGTH 2 Is Involved in Controlling Grain Length and Weight of Rice through Interaction with a Typical bHLH Protein APG. Breed. Sci. 2012, 62, 133–141. [Google Scholar] [CrossRef]
- Yang, X.; Ren, Y.; Cai, Y.; Niu, M.; Feng, Z.; Jing, R.; Mou, C.; Liu, X.; Xiao, L.; Zhang, X.; et al. Overexpression of OsbHLH107, a Member of the Basic Helix-Loop-Helix Transcription Factor Family, Enhances Grain Size in Rice (Oryza sativa L.). Rice 2018, 11, 41. [Google Scholar] [CrossRef]
- Cohen, M.; Hertweck, K.; Itkin, M.; Malitsky, S.; Dassa, B.; Fischer, A.M.; Fluhr, R. Enhanced Proteostasis, Lipid Remodeling, and Nitrogen Remobilization Define Barley Flag Leaf Senescence. J. Exp. Bot. 2022, 73, 6816–6837. [Google Scholar] [CrossRef] [PubMed]
- Liu, J.; Wu, Y.H.; Yang, J.J.; Liu, Y.D.; Shen, F.F. Protein Degradation and Nitrogen Remobilization during Leaf Senescence. J. Plant Biol. 2008, 51, 11–19. [Google Scholar] [CrossRef]
- Roberts, I.N.; Caputo, C.; Kade, M.; Criado, M.V.; Barneix, A.J. Subtilisin-like Serine Proteases Involved in N Remobilization during Grain Filling in Wheat. Acta Physiol. Plant. 2011, 33, 1997–2001. [Google Scholar] [CrossRef]
- Wan, Y.; King, R.; Mitchell, R.A.C.; Hassani-Pak, K.; Hawkesford, M.J. Spatiotemporal Expression Patterns of Wheat Amino Acid Transporters Reveal Their Putative Roles in Nitrogen Transport and Responses to Abiotic Stress. Sci. Rep. 2017, 7, 5461. [Google Scholar] [CrossRef]
- Jin, X.; Feng, B.; Xu, Z.; Fan, X.; Liu, J.; Liu, Q.; Zhu, P.; Wang, T. TaAAP6-3B, a Regulator of Grain Protein Content Selected during Wheat Improvement. BMC Plant Biol. 2018, 18, 71. [Google Scholar] [CrossRef]
- Zheng, T.; Qi, P.-F.; Cao, Y.-L.; Han, Y.-N.; Ma, H.-L.; Guo, Z.-R.; Wang, Y.; Qiao, Y.-Y.; Hua, S.-Y.; Yu, H.-Y.; et al. Mechanisms of Wheat (Triticum aestivum) Grain Storage Proteins in Response to Nitrogen Application and Its Impacts on Processing Quality. Sci. Rep. 2018, 8, 11928. [Google Scholar] [CrossRef]
- Cruet-Burgos, C.; Rhodes, D.H. Unraveling Transcriptomics of Sorghum Grain Carotenoids: A Step Forward for Biofortification. BMC Genom. 2023, 24, 233. [Google Scholar] [CrossRef]
- Beecher, B.S.; Carter, A.H.; See, D.R. Genetic Mapping of New Seed-Expressed Polyphenol Oxidase Genes in Wheat (Triticum aestivum L.). Theor. Appl. Genet. 2012, 124, 1463–1473. [Google Scholar] [CrossRef]
- Taranto, F.; Pasqualone, A.; Mangini, G.; Tripodi, P.; Miazzi, M.M.; Pavan, S.; Montemurro, C. Polyphenol Oxidases in Crops: Biochemical, Physiological and Genetic Aspects. Int. J. Mol. Sci. 2017, 18, 377. [Google Scholar] [CrossRef]
- Quinlan, R.F.; Shumskaya, M.; Bradbury, L.M.T.; Beltrán, J.; Ma, C.; Kennelly, E.J.; Wurtzel, E.T. Synergistic Interactions between Carotene Ring Hydroxylases Drive Lutein Formation in Plant Carotenoid Biosynthesis. Plant Physiol. 2012, 160, 204–214. [Google Scholar] [CrossRef]




| Season | Mean | St.d | Min | Max | CV | Heritability | |
|---|---|---|---|---|---|---|---|
| GY | 2019 | 4.1 | 0.87 | 1.17 | 5.94 | 21.23 | 0.93 |
| 2020 | 5.57 | 1.41 | 1.59 | 8.26 | 25.34 | 0.97 | |
| 2021 | 6.38 | 0.68 | 3.76 | 8.11 | 10.65 | 0.87 | |
| 3Yrs | 5.35 | 1.4 | 1.17 | 8.26 | 26.2 | 0.69 | |
| PH | 2019 | 81.8 | 6.92 | 68.4 | 101.2 | 8.46 | 1.00 |
| 2020 | 89.47 | 7.6 | 70.1 | 117.3 | 8.5 | 1.00 | |
| 2021 | 99.38 | 9.3 | 66.9 | 121.3 | 9.36 | 1.00 | |
| 3Yrs | 90.22 | 10.76 | 66.9 | 121.3 | 11.93 | 0.86 | |
| GPC | 2019 | 16.17 | 0.71 | 13.8 | 18.2 | 4.42 | 1.00 |
| 2020 | 13.98 | 0.99 | 11.6 | 16.3 | 7.09 | 1.00 | |
| 2021 | 14.42 | 0.56 | 13.2 | 15.9 | 3.89 | 0.98 | |
| 3Yrs | 14.86 | 1.22 | 11.6 | 18.2 | 8.24 | 0.70 | |
| SL | 2019 | 8.04 | 0.83 | 6.2 | 10.2 | 10.27 | 1.00 |
| 2020 | 7.14 | 0.66 | 5.3 | 9.2 | 9.28 | 1.00 | |
| 2021 | 6.75 | 0.57 | 5.3 | 8.9 | 8.37 | 0.96 | |
| 3Yrs | 7.31 | 0.88 | 5.3 | 10.2 | 12 | 0.72 | |
| TWK | 2019 | 42.27 | 3.14 | 34.4 | 49.6 | 7.43 | 1.00 |
| 2020 | 41.84 | 3.22 | 36.4 | 51.6 | 7.7 | 1.00 | |
| 2021 | 44.96 | 2.97 | 37.1 | 52.6 | 6.61 | 1.00 | |
| 3Yrs | 43.03 | 3.4 | 34.4 | 52.6 | 7.91 | 0.82 | |
| SC | 2019 | 16.65 | 0.5 | 15.3 | 17.9 | 3.03 | 0.96 |
| 2020 | 16.95 | 0.68 | 15.4 | 18.8 | 4.01 | 0.98 | |
| 2021 | 16.08 | 0.61 | 14.7 | 17.8 | 3.8 | 0.98 | |
| 3Yrs | 16.56 | 0.7 | 14.7 | 18.8 | 4.24 | 0.76 |
| QTL Name | SNP | Chr | Alleles | Pos | −log10(p) | MAF | Effect * | R2 | Gene | ||
|---|---|---|---|---|---|---|---|---|---|---|---|
| 2019 | SC | QTL_SC-2B.1 | BS00034245_51 | 2B | G/T | 211585291 | 6.03 | 0.22 | 0.18 | 4.7 | TRITD2BV1G080480 |
| QTL_SC-2B.2 | BS00088489_51 | 2B | A/G | 626536489 | 5.61 | 0.25 | 0.15 | 6.04 | TRITD2BV1G209990 | ||
| QTL_SC-3B | wsnp_RFL_Contig3845_4190041 | 3B | C/T | 53166188 | 20.81 | 0.16 | 0.57 | 58.49 | TRITD3BV1G021370 | ||
| QTL_SC-6B | AX-94779724 | 6B | C/T | 29915087 | 10.92 | 0.06 | −0.43 | 14.65 | TRITD6BV1G011230 | ||
| QTL_SC-7A | Kukri_c25451_119 | 7A | A/G | 664106883 | 11.72 | 0.48 | −0.23 | 9.98 | TRITD7AV1G251930 | ||
| 2020 | GPC | QTL_GPC-5B.1 | Excalibur_c50887_231 | 5B | A/G | 377520915 | 5.58 | 0.21 | 0.62 | 43.46 | TRITD5BV1G127200 |
| GY | QTL_GY-3B | Tdurum_contig595664435 | 3B | C/A | 836158083 | 13.01 | 0.32 | −0.6 | 34.52 | TRITD3BV1G283150 | |
| QTL_GY-4A.1 | BS00066413_51 | 4A | G/A | 593869162 | 8.86 | 0.18 | 0.42 | 9.94 | TRITD4AV1G204300 | ||
| QTL_GY-5B | AX-109883040 | 5B | G/A | 542897518 | 5.59 | 0.35 | 0.37 | 16.49 | TRITD5BV1G188680 | ||
| QTL_GY-6B | AX-158589231 | 6B | C/A | 146701770 | 6.68 | 0.22 | −0.86 | 25.32 | TRITD6BV1G052330 | ||
| PH | QTL_PH-2B | AX-110926324 | 2B | G/A | 156719975 | 5.17 | 0.08 | −5.56 | 68.47 | TRITD2BV1G060320 | |
| 2021 | GY | QTL_GY-1B | AX-158607271 | 1B | G/T | 11175539 | 7.02 | 0.28 | 0.68 | 26.95 | TRITD1BV1G004750 |
| QTL_GY-3B | Tdurum_contig51605_194 | 3B | T/C | 836442137 | 7.32 | 0.33 | −0.36 | 16.36 | TRITD3BV1G283450 | ||
| QTL_GY-4A.1 | BS00066413_51 | 4A | G/A | 593869162 | 6.17 | 0.18 | 0.27 | 8.2 | TRITD4AV1G204300 | ||
| QTL_GY-4A.2 | BS00018740_51 | 4A | C/T | 624119696 | 5.35 | 0.09 | −0.34 | 26.78 | TRITD4AV1G220620 | ||
| QTL_GY-6A | BS00036830_51 | 6A | T/C | 593001535 | 6.53 | 0.35 | −0.31 | 11.5 | TRITD6AV1G215830 | ||
| 3Yrs | GPC | QTL_GPC-3A | Excalibur_rep_c70658_301 | 3A | C/T | 690118919 | 9.67 | 0.05 | 0.38 | 28.07 | TRITD3AV1G258800 |
| QTL_GPC-3A | AX-158523263 | 3A | G/T | 691850935 | 13.97 | 0.49 | 0.27 | 12.3 | TRITD3AV1G259700 | ||
| QTL_GPC-3B | AX-158563409 | 3B | T/G | 780561770 | 6.57 | 0.08 | −0.25 | 7.99 | TRITD3BV1G259480 | ||
| QTL_GPC-5B.2 | wsnp_Ku_c3869_7094615 | 5B | G/T | 435310110 | 8.1 | 0.44 | 0.27 | 17.66 | TRITD5BV1G144960 | ||
| QTL_GPC-5B.3 | wsnp_Ex_c2615_4862266 | 5B | G/A | 477324307 | 6.79 | 0.22 | −0.22 | 14.65 | TRITD5BV1G161310 | ||
| QTL_GPC-7A | Excalibur_rep_c111181_453 | 7A | C/T | 155380747 | 13.55 | 0.28 | −0.26 | 13.06 | TRITD7AV1G067030 | ||
| GY | QTL_GY-1A | BobWhite_c1361_1187 | 1A | G/A | 1104472 | 11.42 | 0.19 | 0.31 | 38.92 | TRITD1AV1G000450 | |
| QTL_GY-1B | wsnp_Ex_c1137_2182795 | 1B | G/A | 9032185 | 8.84 | 0.36 | 0.23 | 8.65 | TRITD1BV1G003990 | ||
| QTL_GY-4A.3 | Excalibur_rep_c70578_299 | 4A | G/A | 555057805 | 6.14 | 0.06 | −0.35 | 20.33 | TRITD4AV1G184860 | ||
| QTL_GY-4A.1 | BS00066413_51 | 4A | G/A | 593869162 | 10.35 | 0.18 | 0.24 | 14.69 | TRITD4AV1G204300 | ||
| SC | QTL_SC-2B.2 | BS00088489_51 | 2B | A/G | 626536489 | 5.51 | 0.25 | 0.17 | 19.87 | TRITD2BV1G209990 | |
| QTL_SC-6A.1 | AX-94978875 | 6A | A/G | 24688558 | 8.42 | 0.26 | 0.26 | 26.19 | TRITD6AV1G009970 | ||
| QTL_SC-6A.2 | Excalibur_c5168_512 | 6A | A/G | 603773004 | 8.79 | 0.41 | 0.24 | 29.81 | TRITD6AV1G221400 |
Disclaimer/Publisher’s Note: The statements, opinions and data contained in all publications are solely those of the individual author(s) and contributor(s) and not of MDPI and/or the editor(s). MDPI and/or the editor(s) disclaim responsibility for any injury to people or property resulting from any ideas, methods, instructions or products referred to in the content. |
© 2024 by the authors. Licensee MDPI, Basel, Switzerland. This article is an open access article distributed under the terms and conditions of the Creative Commons Attribution (CC BY) license (https://creativecommons.org/licenses/by/4.0/).
Share and Cite
Tsonev, S.; Dragov, R.; Taneva, K.; Christov, N.K.; Bozhanova, V.; Todorovska, E.G. Genome-Wide Association Studies of Agronomic and Quality Traits in Durum Wheat. Agriculture 2024, 14, 1743. https://doi.org/10.3390/agriculture14101743
Tsonev S, Dragov R, Taneva K, Christov NK, Bozhanova V, Todorovska EG. Genome-Wide Association Studies of Agronomic and Quality Traits in Durum Wheat. Agriculture. 2024; 14(10):1743. https://doi.org/10.3390/agriculture14101743
Chicago/Turabian StyleTsonev, Stefan, Rangel Dragov, Krasimira Taneva, Nikolai Kirilov Christov, Violeta Bozhanova, and Elena Georgieva Todorovska. 2024. "Genome-Wide Association Studies of Agronomic and Quality Traits in Durum Wheat" Agriculture 14, no. 10: 1743. https://doi.org/10.3390/agriculture14101743
APA StyleTsonev, S., Dragov, R., Taneva, K., Christov, N. K., Bozhanova, V., & Todorovska, E. G. (2024). Genome-Wide Association Studies of Agronomic and Quality Traits in Durum Wheat. Agriculture, 14(10), 1743. https://doi.org/10.3390/agriculture14101743

