Selection and Phenotyping for Drought Tolerance in Somatic Hybrids between Solanum tuberosum and Solanum bulbocastanum That Show Resistance to Late Blight, by Using a Semi-Automated Plant Phenotyping Platform
Abstract
:1. Introduction
2. Materials and Methods
2.1. In Vitro Drought Stress Selection
2.2. Statistical Analysis
2.3. Biomass Accumulation of Somatic Hybrids under Drought Stress Ex Vitro
2.4. Evaluation of Drought Stress Effect on Photosynthesis
3. Results
3.1. In Vitro Drought Stress Selection
3.2. Proline Content
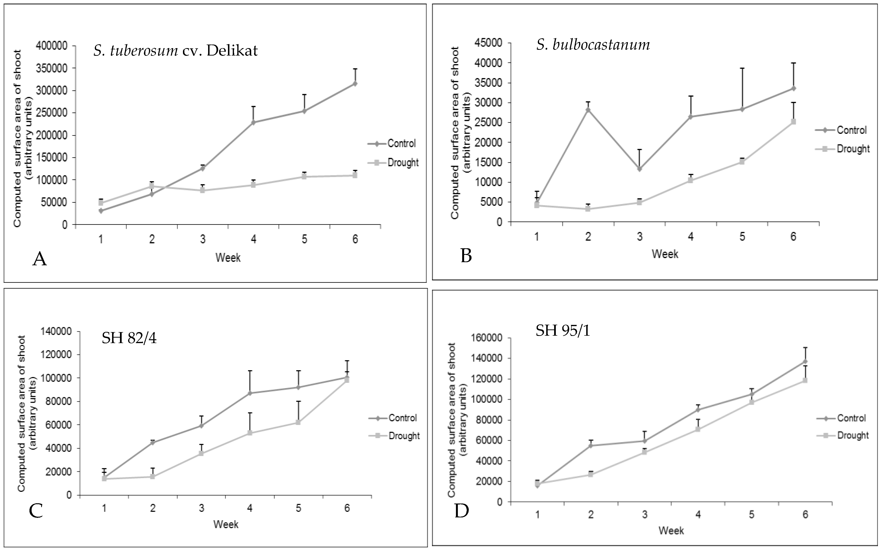
3.3. Ex Vitro Plant Development in Somatic Hybrids under Drought Stress
3.4. Tuber Yield
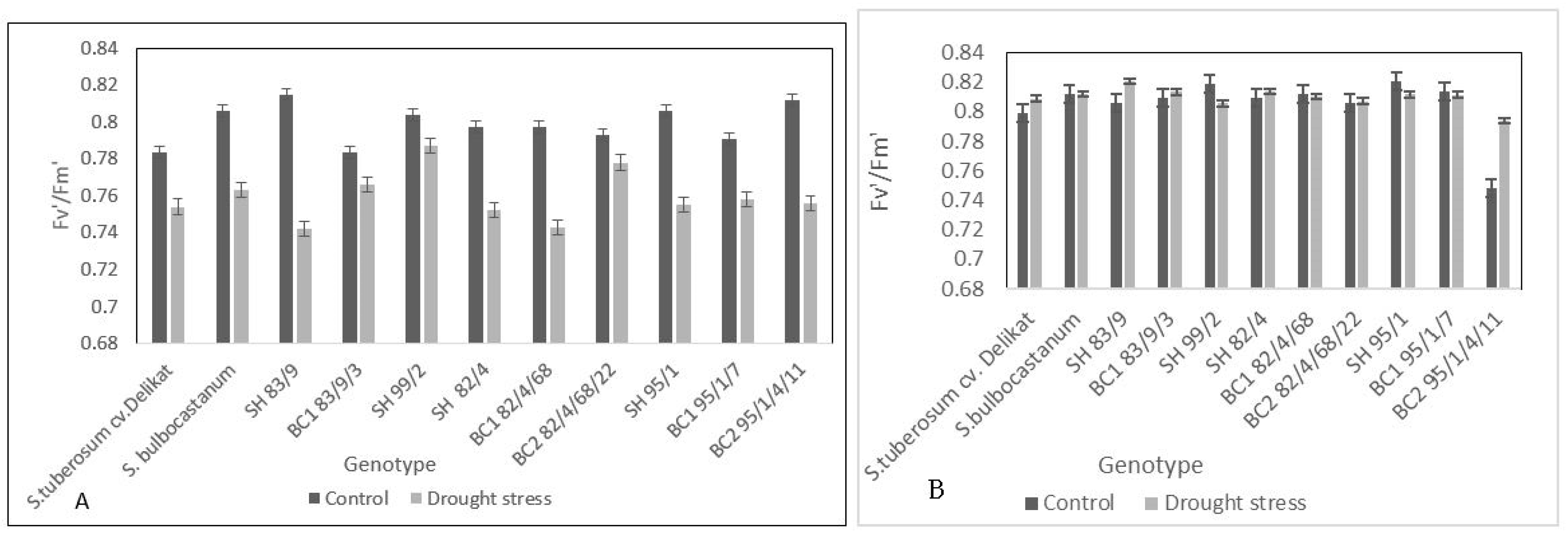
3.5. Effect of Drought Stress on Photosynthesis
4. Discussion
5. Conclusions
Supplementary Materials
Author Contributions
Funding
Institutional Review Board Statement
Data Availability Statement
Conflicts of Interest
References
- Birch, P.R.J.; Bryan, G.; Fenton, B.; Gilroy, E.M.; Hein, I.; Jones, J.T.; Prashar, A.; Taylor, M.A.; Torrance, L.; Toth, I.K. Crops that feed the world 8: Potato: Are the trends of increased global production sustainable? Food Sec. 2012, 4, 477–508. [Google Scholar] [CrossRef]
- Wegener, C.B.; Jansen, G.; Jürgens, H.-U. Bioactive compounds in potatoes: Accumulation under drought stress conditions. Funct. Foods Health Dis. 2015, 5, 108–116. [Google Scholar] [CrossRef]
- Caliskan, M.E.; Bakhsh, A.; Jabran, K. Potato Production Worldwide; Elsevier: Nikki Levi, India, 2022; pp. 4–6. [Google Scholar]
- Raymundo, R.; Asseng, S.; Robertson, R.; Petsakon, A.; Hoogenboom, G.; Quiroz, R.; Hareau, G.; Wolf, J. Climate change impact on global potato production. Eur. J. Agron. 2018, 100, 87–98. [Google Scholar] [CrossRef]
- Banik, P.; Zeng, W.; Tai, H.; Bizimungu, B.; Tanino, K. Effects of drought acclimation on drought stress resistance in potato (Solanum tuberosum L.) genotypes. Environ. Exp. Bot. 2016, 126, 76–89. [Google Scholar] [CrossRef]
- Fleisher, D.H.; Datheb, A.; Timlina, D.J.; Reddya, V.R. Improving potato drought simulations: Assessing water stress factors using a coupled model. Agric. For. Meteorol. 2015, 200, 144–155. [Google Scholar] [CrossRef]
- Dalla Costa, L.; Vedove, G.D.; Gianquinto, G.; Giovanardi, R.; Peressotti, A. Yield, water use efficiency and nitrogen uptake in potato: Influence of drought stress. Potato Res. 1997, 40, 19–34. [Google Scholar] [CrossRef]
- Sprenger, H.; Rudack, K.; Schudoma, C.; Neumann, A.; Seddig, S.; Peters, R.; Zuther, E.; Kopka, J.; Hincha, D.K.; Walther, D.; et al. Assessment of drought tolerance and its potential. Funct. Plant Biol. 2015, 42, 655–667. [Google Scholar] [CrossRef] [PubMed]
- Obidiegwu, J.; Bryan, G.J.; Jones, H.G.; Prashar, A. Coping with drought stress and adaptive responses in potato and perspectives for improvement. Front. Plan. Sci. 2015, 6, 542. [Google Scholar] [CrossRef]
- Deblonde, P.M.K.; Ledent, J.F. Effects of moderate drought conditions on green leaf number, stem height, leaf length and tuber yield of potato cultivars. Eur. J. Agron. 2001, 14, 31–41. [Google Scholar] [CrossRef]
- MacKerron, D.K.L.; Jefferies, R.A. The influence of early soil moisture stress on tuber numbers in potato. Potato Res. 1986, 29, 299–312. [Google Scholar] [CrossRef]
- Arvin, M.J.; Donnelly, D.J. Screening potato cultivars and wild species to abiotic stresses using an electrolyte leakage bioassay. J. Agric. Sci. Technol. 2008, 10, 33–42. [Google Scholar]
- Coleman, W.K. Evaluation of wild Solanum species for drought resistance: 1. Solanum gandarillasii Cardenas. Environ. Exp. Bot. 2008, 62, 221–230. [Google Scholar] [CrossRef]
- Song, J.; Bradeen, J.M.; Naess, S.K.; Raasch, J.A.; Wielgus, S.M.; Haberlach, G.T.; Liu, J.; Kuang, H.; Austin-Phillips, S.; Buell, C.R.; et al. Gene RB cloned from Solanum bulbocastanum confers broad spectrum resistance to potato late blight. Proc. Natl. Acad. Sci. USA 2003, 100, 9128–9133. [Google Scholar] [CrossRef] [PubMed]
- Van der Vossen, E.A.G.; Gros, J.; Sikkema, A.; Muskens, M.; Wouters, D.; Wolters, P.; Pereira, A.; Allefs, S. The Rpi-blb2 gene from Solanum bulbocastanum is an Mi-1 gene homolog conferring broad spectrum late blight resistance in potato. Plant J. 2005, 44, 208–222. [Google Scholar] [CrossRef] [PubMed]
- Oosumi, T.; Rockhold, D.; Maccree, M.; Deahl, K.; McCue, K.; Belknap, W. Gene Rpi-bt1 from Solanum bulbocastanum confers resistance to late blight in transgenic potatoes. Am. J. Potato Res. 2009, 86, 456–465. [Google Scholar] [CrossRef]
- Lokossou, A.A.; Park, T.-H.; van Arkel, G.; Arens, M.; Ruyter-Spira, C.; Morales, J.; Steve, C.; Whisson, C.S.; Paul, R.J.; Birch, P.R.J.; et al. Exploiting knowledge of R/Avr genes to rapidly clone a new LZ-NBS-LRR family of late blight resistance genes from potato linkage group IV. Mol. Plant Microb. Interact. 2009, 22, 630–641. [Google Scholar] [CrossRef] [PubMed]
- Rákosy-Tican, E.; Thieme, R.; Nachtigall, M.; Molnár, I.; Dénes, T.E. The recipient potato cultivar influences the genetic makeup of the somatic hybrids 115 between five potato cultivars and one cloned accession of sexually incompatible species Solanum bulbocastanum Dun. Plant Cell Tiss. Organ. Cult. 2015, 122, 395–407. [Google Scholar] [CrossRef]
- Rákosy-Tican, E.; Thieme, R.; König, J.; Nachtigall, M.; Hammann, T.; Denes, T.-E.; Kruppa, K.; Molnár-Láng, M. Introgression of Two Broad-Spectrum Late Blight Resistance Genes, Rpi-Blb1 and Rpi-Blb3, From Solanum bulbocastanum Dun Plus Race-Specific R Genes Into Potato Pre-breeding Lines. Front. Plant Sci. 2020, 11, 699. [Google Scholar] [CrossRef]
- Daneshmand, F.; Arvin, J.M.; Kalantari, K.M. Effect of acetylsalicylic acid (Aspirin) on salt and osmotic stress tolerance in Solanum bulbocastanum in vitro: Enzymatic antioxidants. Am.-Eurasian J. Agric. Environ. S. Sci. 2009, 6, 92–99. [Google Scholar]
- Rákosy-Tican, E.; Thieme, R.; Aurori, A.; Erdelyi-Molnár, I.; Besenyei, E.; Mustață, R.A.; Mărgineanu, A.M.; Cruceriu, D. The application of combinatorial biotechnology in improving potato resistance to biotic and abiotic stress. Stud. UBB Biol. 2016, 61, 79–88. [Google Scholar]
- Gopal, J.; Iwama, K. In Vitro screening of potato against water-stress mediated through sorbitol and polyethylene glycol. Plant Cell Rep. 2007, 26, 693–700. [Google Scholar] [CrossRef] [PubMed]
- De Ronde, J.A.; Spreeth, M.H.; Cress, W.A. Effect of antisense L-Δ1-pyrroline 5-carboxylate reductase transgenic soybean plants subjected to osmotic and drought stress. Plant Grow. Regul. 2000, 32, 13–26. [Google Scholar] [CrossRef]
- Bohnert, H.J.; Sheveleva, E. Plant stress adaptation-making metabolism move. Curr. Opin. Cell Biol. 1998, 1, 267–274. [Google Scholar] [CrossRef] [PubMed]
- Kavi Kishor, P.B.; Sangam, S.; Armrutha, R.N.; Sri Laxmi, P.; Naidu, K.R.; Rao, K.R.S.S.; Rao, S.; Reddy, K.J.; Theriappan, P.; Sreenivasulu, N. Regulation of proline biosynthesis, degradation, uptake and transport in higher plants: Its implications in plant growth and abiotic stress tolerance. Curr. Sci. 2005, 88, 424–438. [Google Scholar]
- Fahramand, M.; MAhmoody, M.; Keykha, A.; Noori, M.; Rigi, K. Influence of abiotic stress on proline, photosynthetic enzymes and growth. IRJABS 2014, 8, 257–265. [Google Scholar]
- Hare, P.D.; Cress, W.A. Metabolic implications of stress-induced proline accumulation in plants. Plant Growth Regul. 1997, 21, 79–102. [Google Scholar] [CrossRef]
- Li, L.; Zhang, Q.; Huang, D. A review of imaging techniques for plant phentotyping. Sensors 2014, 14, 20078–20111. [Google Scholar] [CrossRef]
- Honsdorf, N.; March, T.J.; Berger, B.; Tester, M.; Pillen, K. High-throughput phenotyping to detect drought tolerance QTL in wild barley introgression lines. PLoS ONE 2014, 9, e97047. [Google Scholar] [CrossRef]
- Rahaman, M.M.; Chen, D.; Gillani, Z.; Klukas, C.; Chen, M. Advanced phenotyping and phenotype data analysis for the study of plant growth and development. Front. Plant Sci. 2015, 6, 619. [Google Scholar] [CrossRef]
- Thieme, R.; Rakosy-Tican, E.; Gavrilenko, T.; Antonova, O.; Schubert, J.; Nachtigall, M.; Heimbach, U.; Thieme, T. Novel somatic hybrids (Solanum tuberosum L. + Solanum tarnii) and their fertile BC1 progenies express extreme resistance to potato virus Y and late blight. Theor. Appl. Genet. 2008, 116, 691–700. [Google Scholar] [CrossRef]
- Murashige, T.; Skoog, F. A revised medium for rapid growth and bioassay with tobacco tissue cultures. Physiol. Plant. 1962, 15, 473–497. [Google Scholar] [CrossRef]
- Pino, M.T.; Avila, A.; Molina, A.; Jeknic, Z.; Chen, T.H.H. Enhanced in vitro drought tolerance of Solanum tuberosum and Solanum commersonii plants overexpressing the ScCBF1 gene. Cienc. Investig. Agrar. 2013, 40, 171–184. [Google Scholar] [CrossRef]
- Chinnusamy, V.; Jagendorf, A.; Zhu, J.-K. Understanding and improving salt tolerance in plants. Crop Sci. 2005, 45, 437–448. [Google Scholar] [CrossRef]
- Bates, L.S. Rapid determination of free proline for water-stress studies. Plant Soil 1973, 39, 205–207. [Google Scholar] [CrossRef]
- Cseri, A.; Sass, L.; Törjék, O.; Pauk, J.; Vass, I.; Dudits, D. Monitoring drought responses of barley with semi-robotic phenotyping platform and association analysis between recorded traits and allelic variants of some stress genes. Aust. J. Crop Sci. 2013, 7, 1560–1570. [Google Scholar]
- Spika, A.K.; Mikic, S.M.; Trkulja, D.; Jeromela, A.M.; Rajkovic, D.; Radanovic, A.; Cvejic, S.; Glogovac, S.; Dodig, D.; Bozinovic, S.; et al. Crop breeding for a changing climate in the Pannonian region: Towards integration of modern phenotyping tools. J. Exp. Bot. 2022, 73, 5089–5110. [Google Scholar] [CrossRef]
- Paul, K.; Pauk, J.; Deak Zs Sass, L.; Vass, I. Contrasting response of biomass and grain yield to severe drought in Cappelle Desprez and Plainsman V wheat cultivars. PeerJ 2016, 4, e1708. [Google Scholar] [CrossRef]
- Zivcak, M.; Brestic, M.; Olsovka, K.; Slamka, P. Performance index as a sensitive indicator of water stress in Triticum aestivum L. Plant Soil Environ. 2008, 54, 133–139. [Google Scholar] [CrossRef]
- Campos, H.; Trejo, C.; Peña-Valdivia, C.B.; Garcia-Nava, R.; Conde-Martinez, F.V.; Cruz-Ortega, M.R. Photosynthetic acclimation to drought stress in Agave salmiana Otto ex Salm-Dyck seedlings is largely dependent on thermal dissipation and enhanced electron flux to photosystem I. Photosynth. Res. 2014, 122, 23–39. [Google Scholar] [CrossRef]
- Oukarroum, A.; Madidi, S.E.; Schansker, G.; Strasser, J.R. Probing the response of barley cultivars (Hordeum vulgare L.) by chlorophyll a fluorescence OLKJIP under drought stress and re-watering. Environ. Exp. Bot. 2007, 60, 438–446. [Google Scholar] [CrossRef]
- Albiski, F.; Najla, S.; Sanoubar, R.; Alkabani, N.; Murshed, R. In Vitro screening of potato lines for drought tolerance. Physiol. Mol. Biol. Plants 2012, 18, 315–321. [Google Scholar] [CrossRef] [PubMed]
- Ali Fiza Umar, M.; Siddiqio, Z.S. Comparative physiological assessment of some edible oil-seed crops under drought stress environment using fluorescence and ir imaging techniques. Pak. J. Bot. 2021, 53, 1183–1192. [Google Scholar]
- Fehér-Juhász, E.; Majer, P.; Sass, L.; Lantos Cs Csiszár, J.; Turóczy, Z.; Mihály, R.; Mai, A.; Horváth, G.V.; Vass, I.; Pauk, J. Phenotyping shows improved physiological traits and seed yield of transgenic wheat plants expressing the alfalfa aldose reductase under permanent drought stress. Acta Physiol. Plant 2014, 36, 663–673. [Google Scholar] [CrossRef]
- Wishart, J.; George, T.S.; Brown, L.K.; Ramsay, G.; Bradshaw, J.E.; White, P.J.; Gregory, J.P. Measuring variation in potato roots in both field and glasshouse: The search for useful yield predictors and a simple screen for root traits. Plant Soil 2013, 368, 231–249. [Google Scholar] [CrossRef]
- Comai, L. The advantages and disadvantages of being polyploid. Nat. Rev. Genet. 2005, 6, 836–846. [Google Scholar] [CrossRef]
- Li, R.H.; Guo, P.G.; Michael, B.; Stefania, G.; Salvatore, C. Evaluation of Chlorophyll Content and Fluorescence Parameters as Indicators of Drought Tolerance in Barley. Agric. Sci. China 2006, 5, 751–757. [Google Scholar] [CrossRef]
- Flagella, Z.; Campanile, R.G.; Stoppelli, M.C.; Caro, A.D.; Fonzo, N.D. Drought tolerance of photosynthetic electron transport under CO2-enriched and normal air in cereal species. Physiol. Plant. 1998, 104, 753–759. [Google Scholar] [CrossRef]
- Brestic, M.; Zivcak, M. PSII Fluorescence Techniques for Measurement of Drought and High Temperature Stress Signal in Crop Plants: Protocols and Applications. In Molecular Stress Physiology of Plants; Rout, G.R., Das, A.B., Eds.; Spinger: Dordrecht, The Netherlands, 2015; pp. 87–133. [Google Scholar] [CrossRef]
- Szalonek, M.; Sierpien, B.; Rymaszewski, W.; Gieczewska, K.; Garstka, M.; Lichocka, M.; Sass, L.; Paul, K.; Vass, I.; Vankova, R.; et al. Potato annexin STANN1 promotes drought tolerance and mitigates light stress in transgenic Solanum tuberosum L. plants. PLoS ONE 2015, 10, e0132683. [Google Scholar] [CrossRef]
- Lu, C.; Zhang, J. Effects of water stress on photosystem II photochemistry and its thermostability in wheat plants. J. Exp. Bot. 1999, 50, 1199–1206. [Google Scholar] [CrossRef]
- Molnár, I.; Cozma, L.; Dénes, T.-É.; Vass, I.; Vass, I.-Z.; Rakosy-Tican, E. Drought and Saline Stress Tolerance Induced in Somatic Hybrids of Solanum chacoense and Potato Cultivars by Using Mismatch Repair Deficiency. Agriculture 2021, 11, 696. [Google Scholar] [CrossRef]
- Bjorkman, O.; Demming, B. Photon yield of O2 evolution and chlorophyll fluorescence at 77 k among vascular plants of diverse origins. Planta 1987, 170, 489–504. [Google Scholar] [CrossRef] [PubMed]
- Fracheboud, Y.; Leipner, J. The Application of Chlorophyll Fluorescence to Study Light, Temperature, and Drought Stress. In Practical Applications of Chlorophyll Fluorescence in Plant Biology; DeEll, J.R., Toivonen, P.M.A., Eds.; Kluwer Academic Publishers: Dordrecht, The Netherlands, 2003; pp. 125–150. [Google Scholar]
- Strauss, A.J.; Krüger, G.H.J.; Strasser, R.J.; Van, P.D.R. Ranking of dark chilling tolerance in soybean genotypes probed by the chlorophyll a fluorescence transient O-J-I-P. Environ. Exp. Bot. 2006, 56, 147–157. [Google Scholar] [CrossRef]
- Ghobadi, M.; Taherabadia, S.; Ghobadia, M.-E.; Mohammadia, G.-R.; Honarmanda, S.J. Antioxidant capacity, photosynthetic characteristics and waterrelations of sunflower (Helianthus annuus L.) cultivars in response to drought stress. Ind. Crops Prod. 2013, 50, 29–38. [Google Scholar] [CrossRef]








| Treatment | Group 1 Genotypes | Group 2 Genotypes | Group 3 Genotypes | Group 4 Genotypes |
|---|---|---|---|---|
| Media supplemented with 5% PEG | SH 99/2 | SH 82/4/68 | Solanum tuberosum cv. Delikat | - |
| SH 84/5 | SH 94/5 | Solanum bulbocastanum | ||
| SH 95/1 | BC2 95/1/4/11 | BC1 94/5/5 | ||
| BC183/9/64 | BC1 82/4/4 | |||
| SH 83/9 | BC1 82/4/38 | |||
| SH 82/4 | ||||
| BC2 82/4/68/22 | ||||
| BC1 83/9/63 | ||||
| BC1 83/9/3 | ||||
| Media supplemented with 15% PEG | - | SH 94/5 | SH 83/9 | BC1 83/9/27 |
| BC1 94/5/5 | BC1 83/9/63 | BC1 83/9/64 | ||
| BC2 95/1/4/11 | Solanum tuberosum | BC2 95/1/4/59 | ||
| BC2 82/4/68/22 | Solanum bulbocastanum | |||
| BC1 95/1/3 | SH 95/1 | |||
| SH 99/2 | BC1 95/1/7 | |||
| SH 84/5 | ||||
| SH 82/4 |
| Genotype | Generation | Yield Changes % |
|---|---|---|
| Solanum tuberosum cv. Delikat | parent | 53 ↓ |
| Solanum bulbocastanum | parent | No tubers |
| SH 83/9 | Hybrid | 83.63 ↓ |
| BC1 83/9/3 | BC1 | 72.81 ↓ |
| SH 99/2 | Hybrid | 96.75 ↓ |
| SH 82/4 | SH | 85.27 ↓ |
| BC1 82/4/68 | BC1 | 21.38 ↓ |
| BC2 82/4/68/22 | BC2 | 100 ↓ |
| SH 95/1 | Hybrid | 90.72 ↓ |
| BC1 95/1/7 | BC1 | 48.58 ↑ |
| BC2 95/1/4/11 | BC2 | 71.66 ↓ |
Disclaimer/Publisher’s Note: The statements, opinions and data contained in all publications are solely those of the individual author(s) and contributor(s) and not of MDPI and/or the editor(s). MDPI and/or the editor(s) disclaim responsibility for any injury to people or property resulting from any ideas, methods, instructions or products referred to in the content. |
© 2023 by the authors. Licensee MDPI, Basel, Switzerland. This article is an open access article distributed under the terms and conditions of the Creative Commons Attribution (CC BY) license (https://creativecommons.org/licenses/by/4.0/).
Share and Cite
Dénes, T.-É.; Molnár, I.; Vass, I.Z.; Vass, I.; Rákosy-Tican, E. Selection and Phenotyping for Drought Tolerance in Somatic Hybrids between Solanum tuberosum and Solanum bulbocastanum That Show Resistance to Late Blight, by Using a Semi-Automated Plant Phenotyping Platform. Agriculture 2024, 14, 48. https://doi.org/10.3390/agriculture14010048
Dénes T-É, Molnár I, Vass IZ, Vass I, Rákosy-Tican E. Selection and Phenotyping for Drought Tolerance in Somatic Hybrids between Solanum tuberosum and Solanum bulbocastanum That Show Resistance to Late Blight, by Using a Semi-Automated Plant Phenotyping Platform. Agriculture. 2024; 14(1):48. https://doi.org/10.3390/agriculture14010048
Chicago/Turabian StyleDénes, Tünde-Éva, Imola Molnár, István Zoltán Vass, Imre Vass, and Elena Rákosy-Tican. 2024. "Selection and Phenotyping for Drought Tolerance in Somatic Hybrids between Solanum tuberosum and Solanum bulbocastanum That Show Resistance to Late Blight, by Using a Semi-Automated Plant Phenotyping Platform" Agriculture 14, no. 1: 48. https://doi.org/10.3390/agriculture14010048
APA StyleDénes, T.-É., Molnár, I., Vass, I. Z., Vass, I., & Rákosy-Tican, E. (2024). Selection and Phenotyping for Drought Tolerance in Somatic Hybrids between Solanum tuberosum and Solanum bulbocastanum That Show Resistance to Late Blight, by Using a Semi-Automated Plant Phenotyping Platform. Agriculture, 14(1), 48. https://doi.org/10.3390/agriculture14010048
