Photosynthetic and Physiological Responses to Combined Drought and Low–Temperature Stress in Poa annua Seedlings from Different Provenances
Abstract
:1. Introduction
2. Materials and Methods
2.1. Plant and Culture
2.2. Stress Treatment
2.3. Growth Indicators
2.4. Gas Exchange Parameters
2.5. Chlorophyll Content
2.6. Relative Electrical Conductivity and Malondialdehyde Content
2.7. Osmoregulatory Substances
2.8. Reactive Oxygen Levels
2.9. Antioxidant Enzyme Activity
2.10. Statistical Analysis
3. Results
3.1. Changes in Morphological Characteristics of Seedlings from Four Provenances under Combined Drought and Low–Temperature Stress
3.2. Analysis of Variance (ANOVA) for Traits of Poa annua Seedlings
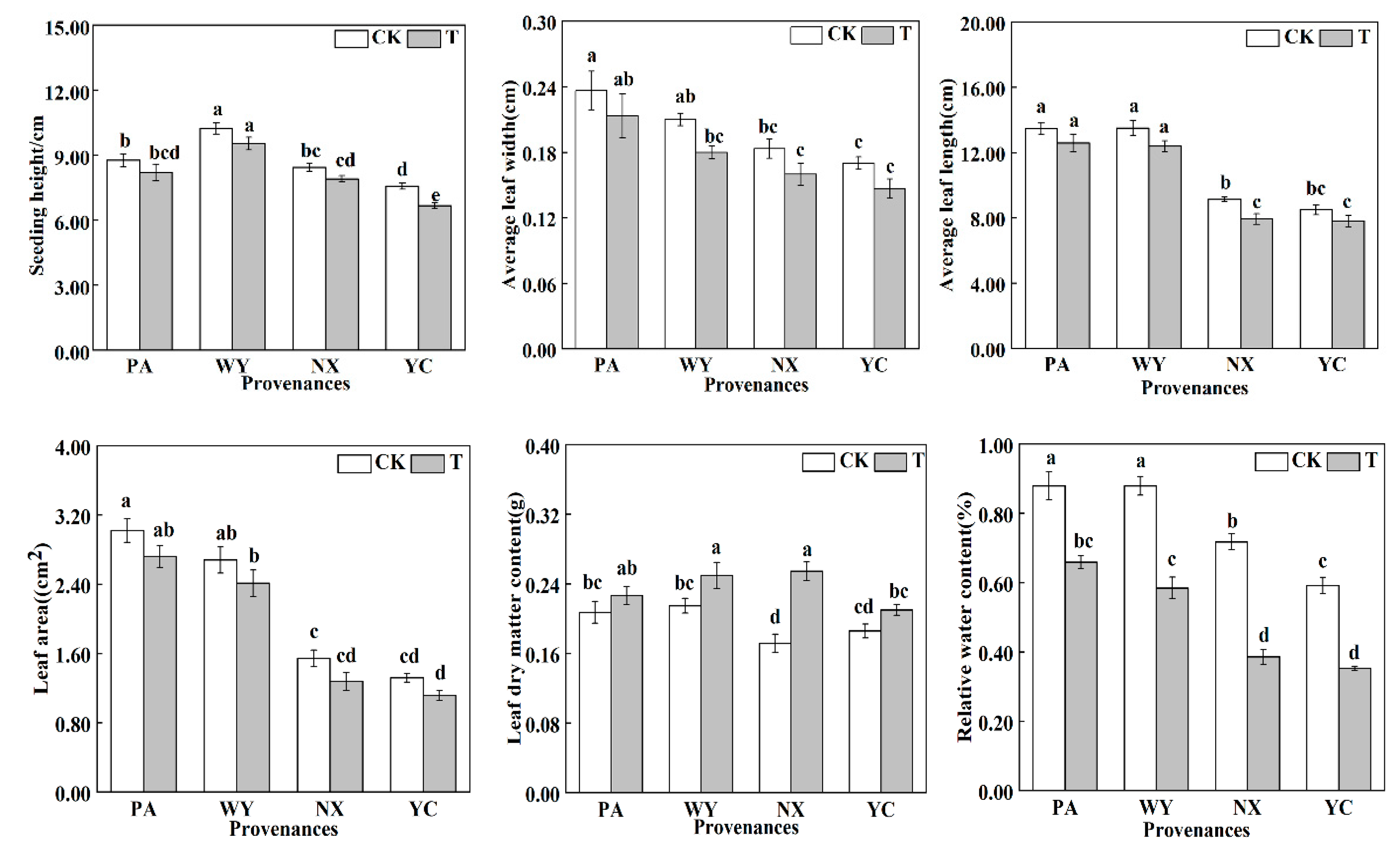
3.3. Effects of Combined Drought and Low–Temperature Stress on the Growth Characteristics of Different Seedlings
3.4. Effects of Combined Drought and Low–Temperature Stress on Photosynthetic Characteristics of Different Seedlings
3.4.1. Effects of Combined Drought and Low–Temperature Stress on Photosynthetic Gas Exchange Parameters of Different Seedlings
3.4.2. Effects of Combined Drought and Low–Temperature Stress on Chlorophyll Content of Different Seedlings
3.5. Effects of Combined Drought and Low–Temperature Stress on REC and MDA Content of Different Seedlings
3.6. Effects of Combined Drought and Low–Temperature Stress on Osmoregulatory Substances in Different Seedlings
3.7. Effects of Combined Drought and Low–Temperature Stress on Reactive Oxygen Levels in Different Seedlings
3.8. Effects of Combined Drought and Low–Temperature Stress on Antioxidant Enzyme Activities of Different Seedlings
3.9. Comprehensive Evaluation of Combined Drought and Low–Temperature Tolerance
3.9.1. Principal Component Analysis (PCA)
3.9.2. Membership Function Analysis
4. Discussion
5. Conclusions
Author Contributions
Funding
Institutional Review Board Statement
Data Availability Statement
Conflicts of Interest
References
- Kaya, C.; Higgs, D.; Ashraf, M.; Alyemeni, M.N.; Ahmad, P. Integrative roles of nitric oxide and hydrogen sulfide in melatonin induced tolerance of pepper (Capsicum annuum L.) plants to iron deficiency and salt stress alone or in combination. Physiol. Plant 2020, 168, 256–277. [Google Scholar] [CrossRef] [PubMed]
- Han, W.; Yang, Z.; Huang, L.; Sun, C.; Yu, X.; Zhao, M. Fuzzy comprehensive evaluation of the effects of relative air humidity on the morphophysiological traits of Pakchoi (Brassica chinensis L.) under high temperature. Sci. Hortic. 2019, 246, 971–978. [Google Scholar] [CrossRef]
- Ahmad, P.; Alyemeni, M.N.; Vijaya, L.; Alam, P.; Ahanger, M.A.; Alamri, S.A. Jasmonic acid alleviates negative impacts of cadmium stress by modifying osmolyte and antioxidants in faba bean (Vicia faba L.). Arch. Agron. Soil Sci. 2017, 63, 1889–1899. [Google Scholar] [CrossRef]
- Ahmad, P.; Ahanger, M.A.; Alam, P.; Alyemeni, M.N.; Wijaya, L.; Ali, S.; Ashraf, M. Silicon (Si) supplementation alleviates NaCl toxicity in Mung bean [Vigna radiata (L.) Wilczek] through the modifications of physio-biochemical attributes and key antioxidant enzymes. Plant Growth Regul. 2019, 38, 70–82. [Google Scholar] [CrossRef]
- Wang, W.; Xin, H.; Wang, M.; Ma, Q.; Wang, L.; Kaleri, N.A.; Li, X. Transcriptomic analysis reveals the molecular mechanisms of drought-stress-induced decreases in Camellia sinensis leaf quality. Front. Plant Sci. 2016, 7, 385. [Google Scholar] [CrossRef] [PubMed]
- Anjum, S.A.; Ashraf, U.; Tanveer, M.; Khan, I.; Hussain, S.; Shahzad, B.; Wang, L.C. Drought-induced changes in growth, osmolyte accumulation and antioxidant metabolism of three maize hybrids. Front. Plant Sci. 2017, 8, 69. [Google Scholar] [CrossRef] [PubMed]
- Zandalinas, S.I.; Sales, C.; Beltran, J.; Gómez-Cadenas, A.; Arbona, V. Activation of secondary metabolism in citrus plants is associated to sensitivity to combined drought and high temperatures. Front. Plant Sci. 2017, 7, 1954. [Google Scholar] [CrossRef]
- Hussain, H.A.; Men, S.; Hussain, S.; Chen, Y.; Ali, S.; Zhang, S.; Zhang, K.; Li, Y.; Xu, Q.; Liao, C.; et al. Interactive effects of drought and heat stresses on morphophysiological attributes, yield, nutrient uptake and oxidative status in maize hybrids. Sci. Rep. 2019, 9, 3890. [Google Scholar] [CrossRef]
- Jin, J.; Zhao, M.; Jing, T.; Wang, J.; Lu, M.; Pan, Y.; Du, W.; Zhao, C.; Bao, Z.; Zhao, W.; et al. (Z)-3-hexanol integrates drought and cold stress signaling by activating abscisic acid glucosylation in tea plants. Plant Physiol. 2023, 98, kiad346. [Google Scholar] [CrossRef]
- Hasanuzzaman, M.; Nahar, K.; Fujita, M. Extreme temperature responses, oxidative stress and antioxidant defense in plants. In Abiotic Stress-Plant Responses and Applications in Agriculture; IntechOpen: London, UK, 2013; Volume 13, pp. 169–205. [Google Scholar]
- Anwar, A.; Bai, L.; Miao, L.; Liu, Y.; Li, S.; Yu, X.; Li, Y. 24-Epibrassinolide ameliorates endogenous hormone levels to enhance low-temperature stress tolerance in Cucumber seedlings. Int. J. Mol. Sci. 2018, 19, 2497. [Google Scholar] [CrossRef]
- Hasanuzzaman, M.; Bhuyan, M.H.M.B.; Zulfiqar, F.; Raza, A.; Mohsin, S.M.; Mahmud, J.A.; Fujita, M.; Fotopoulos, V. Reactive oxygen species and antioxidant defense in plants under abiotic stress: Revisiting the crucial role of a universal defense regulator. Antioxidants 2020, 9, 681. [Google Scholar] [CrossRef] [PubMed]
- Costa, J.M.; Ortuño, M.F.; Lopes, C.M.; Chaves, M.M. Grapevine varieties exhibiting differences in stomatal response to water deficit. Funct. Plant Biol. 2012, 39, 179–189. [Google Scholar] [CrossRef] [PubMed]
- Diego, N.D.; Saiz-Fernández, I.; Rodríguez, J.L.; Pérez-Alfocea, P.; Sampedro, M.C.; Barrio, R.J.; Lacuesta, M.; Moncaleán, P. Metabolites and hormones are involved in the intraspecific variability of drought hardening in radiata pine. Plant Physiol. 2015, 188, 64–71. [Google Scholar] [CrossRef] [PubMed]
- Shi, H.; Ye, T.; Song, B.; Qi, X.; Chan, Z. Comparative physiological and metabolomic responses of four Brachypodium distachyon varieties contrasting in drought stress resistance. Physiol. Plant 2015, 37, 122. [Google Scholar] [CrossRef]
- Bannister, P.; Neuner, G. Frost resistance and the distribution of conifers. Conifer Cold Hardiness 2001, 30, 167–184. [Google Scholar]
- Guo, Q.Q.; Li, X.; Niu, L.; Jameson, P.E.; Zhou, W.B. Transcription-associated metabolomic adjustments in maize occur during combined drought and cold stress. Plant Physiol. 2021, 186, 677–695. [Google Scholar] [CrossRef] [PubMed]
- Rhodes, D.; Hanson, A.D. Quaternary ammonium and tertiary sulfonium compounds in higher plants. Ann. Rev. Plant Phys. 1993, 44, 357–384. [Google Scholar] [CrossRef]
- EYou, J.; EChan, Z. ROS regulation during abiotic stress responses in crop plants. Front. Plant Sci. 2015, 6, 1092. [Google Scholar]
- Ma, S.; Lv, J.; Li, X.; Ji, T.; Zhang, Z.; Gao, L. Galactinol synthase gene 4 (CsGolS4) increases cold and drought tolerance in Cucumis sativus L. by inducing RFO accumulation and ROS scavenging. Environ. Exp. Bot. 2021, 185, 104406. [Google Scholar] [CrossRef]
- Mittler, R. Oxidative stress, antioxidants and stress tolerance. Trends Plant. Sci. 2002, 7, 405–410. [Google Scholar] [CrossRef]
- Delrío, L.A. ROS and RNS in plant physiology: An overview. J. Exp. Bot. 2015, 66, 2827–2837. [Google Scholar] [CrossRef] [PubMed]
- Zhao, Y.; Han, Q.; Ding, C.; Huang, Y.; Liao, J.; Chen, T.; Feng, S.; Zhou, L.; Zhang, Z.; Chen, Y.; et al. Effect of low temperature on Chlorophyll biosynthesis and Chloroplast biogenesis of rice seedlings during greening. Int. J. Mol. Sci. 2020, 21, 1390. [Google Scholar] [CrossRef] [PubMed]
- Farrant, J.M.; Bartsch, S.; Loffell, D.A.; Bartsch, S.; Whittaker, A. An investigation into the effects of light on the desiccation of three resurrection plant species. Plant Cell Environ. 2003, 26, 1275–1286. [Google Scholar] [CrossRef]
- Jan, N.; Majeed, U.; Andrabi, K.I.; John, R. Cold stress modulates osmolytes and antioxidant system in Calendula officinalis. Acta Physiol. Plant 2018, 40, 1–16. [Google Scholar] [CrossRef]
- Guo, Y.J. Main turfgrass species and their utilization characteristics in Chongqing urban area. Grassl. Turf 2002, 2, 46–50. (In Chinese) [Google Scholar]
- Yuan, Y.J.; Bai, X.M.; Zhu, Y.N.; Zhang, Y.J.; Yan, Y.B.; Zhang, C.Z.; Li, Y.J. Correlation between the rhizome expansion ability and endogenous hormones contents of wild Poa pratensis in Gansu Province. Chin. J. Eco-Agric. 2021, 29, 1359–1369. (In Chinese) [Google Scholar]
- He, J.Y. Studies on Cold-Resistance of Nine Varieties of Wild Poa. Ph.D. Thesis, Gansu Agricultural University, Lanzhou, China, 2012. (In Chinese). [Google Scholar]
- Ying, Y.Q.; Song, L.L.; Jacobs, D.F.; Mei, L.; Liu, P.; Jin, S.H.; Wu, J.S. Physiological response to drought stress in Camptotheca acuminata seedlings from two provenances. Front. Plant Sci. 2015, 6, 361. [Google Scholar] [CrossRef] [PubMed]
- Zhu, S.; Nong, J.; Luo, G.; Li, Q.; Wang, F.; Jiang, D.; Zhao, X. Varied tolerance and different responses of five citrus rootstocks to acid stress by principle component analysis and orthogonal analysis. Sci. Hortic. 2021, 278, 109853. [Google Scholar] [CrossRef]
- Singh, I.; Shono, M. Physiological and molecular effects of 24-epibrassinolide, a brassinosteroid on thermotolerance of tomato. Plant Growth Regul. 2005, 47, 111–119. [Google Scholar] [CrossRef]
- Wang, J.; Qiao, Q.; Tao, J. The physiological response of three narcissus pseudonarcissus under NaCl stress. Am. J. Sci. 2019, 1003, 447. [Google Scholar]
- Rahneshan, Z.; Nasibi, F.; Moghadam, A.A. Effects of salinity stress on some growth, physiological, biochemical parameters and nutrients in two pistachio (Pistacia vera L.) rootstocks. J. Plant Interact. 2018, 131, 73–82. [Google Scholar] [CrossRef]
- Li, H.S. Principles and Techniques of Plant Physiological Biochemical Experiment; Higher Education Press: Beijing, China, 2005; pp. 125–197. (In Chinese) [Google Scholar]
- Cakmak, I. Magnesium in crop production, food quality and human health. Plant Soil 2013, 368, 1–4. [Google Scholar] [CrossRef]
- Kyung-Hee, L.; Ae-Jung, K.; Eun-Mi, C. Antioxidant and anti-inflammatory activity of pine pollen extract in vitro. Phytother. Res. 2009, 23, 41–48. [Google Scholar]
- Khalid, M.F.; Hussain, S.; Anjum, M.A.; Ahmad, S.; Ali, M.A.; Ejaz, S.; Morillon, R. Better salinity tolerance in tetraploid vs. diploid volkamer lemon seedlings is associated with robust antioxidant and osmotic adjustment mechanisms. Plant Physiol. 2020, 244, 153071. [Google Scholar] [CrossRef] [PubMed]
- Nakano, Y.; Asada, K. Hydrogen peroxide is scavenged by ascorbate-specific peroxidase in spinach chloroplasts. Plant Cell Physiol. 1981, 225, 867–880. [Google Scholar]
- Chen, C.H.; Chen, X.M.; Yang, Z.H.; Yuan, Z.X.; Li, C.X. Effects of exogenous hormone on rooting of Taxodium distichum cuttings from the hydro-fluctuation belt of the Three Gorges Reservoir. J. Eco. 2021, 41, 8635–8642. (In Chinese) [Google Scholar]
- Ji, X.Y.; Tang, J.L.; Fan, W.; Li, B.X.; Bai, Y.C.; He, J.X.; Dong, P.; Zhang, J.P. Phenotypic differences and physiological responses of salt resistance of walnut with four rootstock types. Plants 2022, 11, 1557. [Google Scholar] [CrossRef]
- Zhang, X.L.; Zang, R.G.; Li, C.Y. Population differences on physiological and morphological adaptions of Populus davidiana seedlings in response to progressive drought stress. Plant Sci. 2004, 166, 791–797. [Google Scholar] [CrossRef]
- Vitale, L.; Francesca, S.; Arena, C.; D’Agostino, N.; Principio, L.; Vitale, E.; Cirillo, V.; de Pinto, M.C.; Barone, A.; Rigano, M.M. Multitraits evaluation of a Solanum pennellii introgression tomato line challenged by combined abiotic stress. Plant Biol. 2023, 25, 518–528. [Google Scholar] [CrossRef]
- Cai, Y.; Yan, J.; Li, Q.; Deng, Z.; Liu, S.; Lu, J.; Zhang, Y. Sucrose transporters of resistant grapevine are involved in stress resistance. Plant Mol. Biol. 2019, 100, 111–132. [Google Scholar] [CrossRef]
- Vicente, O.; Boscaiu, M.; Naranjo, M.Á.; Estrelles, E.; Bellés, J.M.; Soriano, P. Responses to salt stress in the halophyte Plantago crassifolia (Plantaginaceae). J. Arid Environ. 2004, 584, 463–481. [Google Scholar] [CrossRef]
- Xu, L.; Pan, Y.; Yu, F. Effects of water stress on growth and physiological changes in Pterocarya stenoptera seedlings. Sci. Hortic. 2015, 190, 11–23. [Google Scholar] [CrossRef]
- Deng, R.H.; Gao, R.R.; Liu, H.X.; Zhao, Y.J.; Zhu, G.L.; Wei, X.Z. Phenotypic variation in Ziziphus jujuba var. spinosa along a natural drought gradient. J. Eco. 2019, 12, 2954–2961. (In Chinese) [Google Scholar]
- Wang, L.X.; Cheng, X.Z.; Wang, S.H.; Zhu, X.; Liu, Z.X. Adaptability and phenotypic variation of agronomic traits in Mungbean core collection under different environments in China. Acta Agron. Sin. 2014, 40, 739–744. (In Chinese) [Google Scholar] [CrossRef]
- Zhao, P.X.; Yang, X.; Yang, Z.L.; Tian, Z.X.; Yang, Y.X. Phenotypic variation and geographical differentiation of Lithocarpus litseifolius based on herbarium-specimen analysis. Acta Agric. Univ. Jiangxiensis 2023, 45, 285–297. (In Chinese) [Google Scholar]
- Li, S.; Wang, H.; Gou, W.; White, J.; Kingsley, K.; Wu, G.; Su, P. Leaf functional traits of dominant desert plants in the Hexi Corridor, Northwestern China: Trade-off relationships and adversity strategies. Glob. Ecol. Conserv. 2021, 28, e01666. [Google Scholar] [CrossRef]
- Dorin, G.K.R.M.; Anil, K.; Mohar, S. Association studies for agro-physiological and quality traits of triticale x bread wheat derivatives in relation to drought and cold stress. J. Environ. Biol. 2007, 28, 265–269. [Google Scholar]
- Xiao, L.; Asseng, S.; Wang, X.; Xia, J.; Zhang, P.; Liu, L.; Tang, L.; Cao, W.; Zhu, Y.; Liu, B. Simulating the effects of low-temperature stress on wheat biomass growth and yield. Agric. For. Meteorol. 2022, 326, 109191. [Google Scholar] [CrossRef]
- Jian, L.; Yujing, D.; Nianli, S.; Lu, W.; Shanshan, F.; Yujie, F.; Youping, W. The miR169n-NF-YA8 regulation module is involved in drought resistance in Brassica napus. Plant Sci. 2021, 313, 111062. [Google Scholar]
- Du, J.B.; Yuan, S.; Chen, Y.E.; Sun, X.; Zhang, Z.; Xu, F.; Yuan, M.; Shang, J.; Lin, H. Comparative expression analysis of dehydrins between two barley varieties, wild barley and Tibetan hulless barley associated with different stress resistance. Acta Physiol. Plant 2011, 33, 567–574. [Google Scholar] [CrossRef]
- Faltusová-Kadlecová, Z.; Faltus, M.; Prášil, I. Comparison of barley response to short-term cold or dehydration. Biol. Plant 2002, 45, 637–639. [Google Scholar] [CrossRef]
- Weihua, W.; Liang, C.; Zhendong, L.; Xue, Z.; Fengyue, Z. Effects of non-uniform salt stress on growth, yield, and quality of tomato. Soil Sci. Plant Nutr. 2021, 67, 545–556. [Google Scholar]
- Yanli, L.; Xiaomei, G.; Tao, L.; Huifang, J.; Hai, Z.; Qixia, W.; Binlin, L.; Qinxue, X. Estimation of the net photosynthetic rate for waterlogged winter wheat based on digital image technology. Agron. J. 2023, 115, 230–241. [Google Scholar]
- Qing, Q.X.; Abdul, S.; Hong, Z.; Zi, J.X.; Yin, W.Z.; Yi, Z.Z.; Ling, L.W.; Hang, Y.L.; Peng, Z.C.; Yong, L.; et al. Combine the influence of low temperature and drought on different varieties of rapeseed (Brassica napus L.). J. Exp. Bot. 2022, 147, 400–414. [Google Scholar]
- Aliénor, L.; Steve, V.; Adam, C.; Heather, G.; Hugo, J.B.; Valérie, D.; Lain, R.; Isabel, D.L.; Elisabet, M.S.; Giovanna, B.; et al. Historical changes in the stomatal limitation of photosynthesis: Empirical support for an optimality principle. New Phytol. 2020, 225, 2484–2497. [Google Scholar]
- Raja, V.; Qadir, S.U.; Alyemeni, M.N.; Ahmad, P. Impact of drought and heat stress individually and in combination on physiobiochemical parameters, antioxidant responses, and gene expression in Solanum lycopersicum. 3 Biotech 2020, 10, 208. [Google Scholar] [CrossRef] [PubMed]
- Joshi, P.; Swami, A. Air pollution-induced changes in the photosynthetic pigments of selected plant species. Environ. Biol. 2009, 30, 295–298. [Google Scholar]
- Kalaji, H.M.; Rastogi, A.; Živčák, M.; Brestic, M.; Daszkowska-Golec, A.; Sitko, K.; Alsharafa, K.Y.; Lotfi, R.; Stypiński, P.; Samborska, I.A.; et al. Prompt chlorophyll fluorescence as a tool for crop phenotyping: An example of barley landraces 726 exposed to various abiotic stress factors. Photosynthetica 2018, 56, 953–961. [Google Scholar] [CrossRef]
- Liu, Z.G.; Sun, W.C.; Zhao, Y.N.; Li, X.C.; Fang, Y.; Wu, J.Y.; Zeng, X.C.; Yang, N.N.; Wang, Y.; He, L. Effects of low nocturnal temperature on photosynthetic characteristics and chloroplast ultrastructure of winter rapeseed. Russ. J. Plant Physiol. 2016, 63, 451–460. [Google Scholar] [CrossRef]
- Dreyer, A.; Dietz, K.J. Reactive oxygen species and the redox–regulatory network in cold stress acclimation. Antioxidants 2018, 7, 169. [Google Scholar] [CrossRef]
- Fracheboud, Y.; Jompuk, C.; Ribaut, J.M.; Stamp, P.; Leipner, J. Genetic analysis of cold–tolerance of photosynthesis in maize. Plant Mol. Biol. 2004, 56, 241–253. [Google Scholar] [CrossRef] [PubMed]
- Akram, N.A.; Iqbal, M.; Muhammad, A.; Ashraf, M.; Al-Qurainy, F.; Shafiq, S. Aminolevulinic acid, and nitric oxide regulate oxidative defense and secondary metabolisms in canola (Brassica napus L.) under drought stress. Protoplasma 2017, 255, 163–174. [Google Scholar] [CrossRef] [PubMed]
- Alzahrani, Y.; Ku¸svuran, A.; Alharby, H.F.; Ku¸svuran, S.; Rady, M.M. The defensive role of silicon in wheat against stress conditions induced by drought, salinity or cadmium. Ecotoxicol. Environ. Saf. 2018, 154, 187–196. [Google Scholar] [CrossRef] [PubMed]
- Chen, R.; Xiaotao, H.; Dianyu, C.; Wene, W.; Jinbo, Z. Photosynthetic, antioxidant activities, and osmoregulatory responses in winter wheat differ during the stress and recovery periods under heat, drought, and combined stress. Plant Sci. 2023, 327, 111557. [Google Scholar]
- Meng, P.; Bai, X.; Li, H.; Song, X.; Zhang, X. Cold hardiness estimation of Pinus densiflora var. zhangwuensis based on changes in ionic leakage, chlorophyll fluorescence and other physiological activities under cold stress. J. For. Res. 2015, 26, 641–649. [Google Scholar] [CrossRef]
- Ahmad, P.; Abass Ahanger, M.; Nasser Alyemeni, M.; Wijaya, L.; Alam, P.; Ashraf, M. Mitigation of sodium chloride toxicity in Solanum lycopersicum L. by supplementation of jasmonic acid and nitric oxide. J. Plant Ecol. 2018, 13, 64–72. [Google Scholar]
- Len, J.S.; Koh, W.S.D.K.; Tan, S.X. The roles of reactive oxygen species and antioxidants in cryopreservation. BioScience Rep. 2019, 39, BSR20191601. [Google Scholar] [CrossRef]
- Oracz, K.; Karpiński, S. Phytohormones signaling pathways and ROS involvement in seed germination. Front. Plant Sci. 2016, 7, 864. [Google Scholar] [CrossRef]
- Gabriela, M.L.B.D.; André, R.D.R. Roles of selenium in mineral plant nutrition: ROS scavenging responses against abiotic stresses. Plant Physiol. Biochem. 2021, 164, 27–43. [Google Scholar]
- Wu, Z.; Wang, J.; Yan, D.; Yuan, H.; Wang, Y.; He, Y.; Wang, X.; Li, Z.; Mei, J.; Hu, M.; et al. Exogenous spermidine improves the salt tolerance of pecan-grafted seedlings by activating the antioxidant system and inhibiting the enhancement of the Na+/K+ ratio. Acta Physiol. Plant 2020, 42, 83. [Google Scholar] [CrossRef]
- Shuvasish, C.; Piyalee, P.; Lingaraj, S.; Kumar, P.S. Reactive oxygen species signaling in plants under abiotic stress. Plant Signal. Behav. 2013, 8, e23681. [Google Scholar]
- Carvalho, L.S.C.; Vidigal, P.C.; Amancio, S. Oxidative stress homeostasis in grapevine (Vitis vinifera L.). Front. Environ. Sci. 2015, 3, 20. [Google Scholar] [CrossRef]
- Koussevitzky, S.; Suzuki, N.; Huntington, S.; Cortes, D.; Shulaev, V.; Mittler, R. Ascorbate peroxidase 1 plays a key role in the response of Arabidopsis thaliana to stress combination. Biol. Chem. 2008, 283, 34197–34203. [Google Scholar] [CrossRef]














| No | Provenances | Latitude and Longitude | Altitude | Mean (Min–Max) Temperature | Mean (Min–Max) Precipitation | Habitats |
|---|---|---|---|---|---|---|
| PA | Ping’an District, Xining City, Qinghai Province | 102°10′58″ E 36°25′37″ N | 2210 | −9.5~19 °C | 1.64~82.36 | Green belt |
| WY | Weiyuan County, Dingxi City, Gansu Province | 107°32′18″ E 35°27′29″ N | 2077 | −5.5~19 °C | 2.41~99.36 | In front of and behind the house |
| NX | Ning County, Qingyang City, Gansu Province | 107°55′41″ E 35°300′8″ N | 1337 | −3.5~24.5 °C | 4.13~112.72 | In front of and behind the house |
| YC | Yongchang County, Jinchang City, Gansu Province | 104°54′21″ E 34°10′41″ N | 1965 | −8.0~20.5 °C | 0.84~45.37 | Green belt |
| Treatments | Plant Morphological Characteristics | |||
|---|---|---|---|---|
| PA | WY | NX | YC | |
| Normal watering at room temperature | The normal color of leaves and growth of the plant | The normal color of leaves and growth of the plant | The normal color of leaves and growth of the plant | The normal color of leaves and growth of the plant |
| Combined drought and low–temperature stress | Partial leaf margin wither and curl and frost spots at the upper of the plant | More leaves became yellow, withered, and curled, and partial stems turned brown | Most leaves became visibly yellow, wilted, and curled, and the stems turned dark brown | more leaves became yellow, withered, and curled, and appeared visibly frost spots |
| Trait | Main Factors | Interaction | Residual | CV (CK) (%) | CV (T) (%) | |
|---|---|---|---|---|---|---|
| P | D and C | P × D and C | ||||
| SH | 50.970 | 30.973 | 0.362 | 0.169 | 12.10 | 15.60 |
| LL | 124.396 | 20.485 | 0.387 | 0.323 | 22.43 | 22.59 |
| LW | 12.687 | 9.278 | 0.041 | 0.000 | 15.52 | 18.31 |
| LA | 72.376 | 16.680 | 0.715 | 0.048 | 36.18 | 36.77 |
| LDMC | 8.020 | 40.900 | 6.203 | 0.000 | 11.74 | 15.19 |
| RWC | 32.011 | 212.103 | 0.840 | 0.002 | 14.91 | 19.17 |
| Chla | 12.956 | 89.962 | 0.796 | 0.019 | 15.56 | 28.34 |
| Chlb | 8.630 | 146.149 | 8.744 | 0.004 | 7.59 | 17.45 |
| Chla/b | 11.545 | 14.241 | 4.794 | 0.011 | 7.57 | 22.66 |
| Chla + b | 12.553 | 119.859 | 1.980 | 0.036 | 12.32 | 20.53 |
| Pn | 46.355 | 907.791 | 36.506 | 0.194 | 30.05 | 31.58 |
| Ci | 101.019 | 133.648 | 9.993 | 278.722 | 28.89 | 12.90 |
| Gs | 94.973 | 169.174 | 2.341 | 205.007 | 29.93 | 78.40 |
| Tr | 6.941 | 231.797 | 7.205 | 0.101 | 10.10 | 35.03 |
| WUE | 42.502 | 244.928 | 16.487 | 0.025 | 32.68 | 29.76 |
| REC | 2.021 | 277.194 | 1.526 | 0.006 | 23.05 | 13.48 |
| MDA | 2.672 | 301.750 | 6.197 | 3.285 | 10.55 | 9.59 |
| O2•− | 28.759 | 11.699 | 0.558 | 0.270 | 23.59 | 24.54 |
| H2O2 | 39.604 | 2372.459 | 41.105 | 0.231 | 14.29 | 10.84 |
| ·OH | 29.437 | 252.002 | 13.215 | 0.001 | 23.42 | 15.68 |
| Pro | 87.013 | 491.781 | 12.156 | 6.787 | 52.08 | 31.97 |
| SS | 2.820 | 48.431 | 3.772 | 0.026 | 23.14 | 13.48 |
| SOD | 127.748 | 1572.355 | 64.268 | 37.834 | 16.95 | 29.21 |
| POD | 91.875 | 2315.116 | 4.364 | 856.418 | 38.19 | 12.39 |
| CAT | 10.733 | 427.965 | 2.071 | 27.059 | 39.18 | 13.45 |
| APX | 18.537 | 729.297 | 1.943 | 6.741 | 33.43 | 8.75 |
| Traits | Value of the Membership Function | |||
|---|---|---|---|---|
| PA | WY | NX | YC | |
| SH | 0.959 | 0.900 | 1.000 | 0.000 |
| LL | 1.000 | 0.763 | 0.000 | 0.735 |
| LW | 1.000 | 0.000 | 0.346 | 0.086 |
| LA | 0.665 | 1.000 | 0.000 | 0.158 |
| Chla | 1.000 | 0.140 | 0.235 | 0.000 |
| Chlb | 0.907 | 0.000 | 0.058 | 1.000 |
| Chla/b | 1.000 | 0.888 | 0.939 | 0.000 |
| Chla + b | 1.000 | 0.000 | 0.092 | 0.458 |
| Pn | 1.000 | 0.000 | 0.232 | 0.348 |
| Gs | 1.000 | 0.474 | 0.000 | 0.018 |
| Tr | 1.000 | 0.421 | 0.000 | 0.545 |
| WUE | 1.000 | 0.000 | 0.911 | 0.546 |
| REC | 1.000 | 0.090 | 0.000 | 0.653 |
| MDA | 1.000 | 0.875 | 0.000 | 0.625 |
| Pro | 1.000 | 0.583 | 0.291 | 0.000 |
| SS | 1.000 | 0.000 | 1.102 | 1.157 |
| SOD | 1.000 | 0.189 | 0.000 | 0.580 |
| POD | 1.000 | 0.542 | 0.000 | 0.216 |
| CAT | 1.000 | 0.100 | 0.000 | 0.116 |
| APX | 1.000 | 0.675 | 0.000 | 0.488 |
| Average | 0.977 | 0.382 | 0.260 | 0.386 |
| Rank | 1 | 3 | 4 | 2 |
Disclaimer/Publisher’s Note: The statements, opinions and data contained in all publications are solely those of the individual author(s) and contributor(s) and not of MDPI and/or the editor(s). MDPI and/or the editor(s) disclaim responsibility for any injury to people or property resulting from any ideas, methods, instructions or products referred to in the content. |
© 2023 by the authors. Licensee MDPI, Basel, Switzerland. This article is an open access article distributed under the terms and conditions of the Creative Commons Attribution (CC BY) license (https://creativecommons.org/licenses/by/4.0/).
Share and Cite
Li, J.; Bai, X.; Ran, F.; Li, P.; Sadiq, M.; Chen, H. Photosynthetic and Physiological Responses to Combined Drought and Low–Temperature Stress in Poa annua Seedlings from Different Provenances. Agriculture 2023, 13, 1781. https://doi.org/10.3390/agriculture13091781
Li J, Bai X, Ran F, Li P, Sadiq M, Chen H. Photosynthetic and Physiological Responses to Combined Drought and Low–Temperature Stress in Poa annua Seedlings from Different Provenances. Agriculture. 2023; 13(9):1781. https://doi.org/10.3390/agriculture13091781
Chicago/Turabian StyleLi, Juanxia, Xiaoming Bai, Fu Ran, Ping Li, Mahran Sadiq, and Hui Chen. 2023. "Photosynthetic and Physiological Responses to Combined Drought and Low–Temperature Stress in Poa annua Seedlings from Different Provenances" Agriculture 13, no. 9: 1781. https://doi.org/10.3390/agriculture13091781
APA StyleLi, J., Bai, X., Ran, F., Li, P., Sadiq, M., & Chen, H. (2023). Photosynthetic and Physiological Responses to Combined Drought and Low–Temperature Stress in Poa annua Seedlings from Different Provenances. Agriculture, 13(9), 1781. https://doi.org/10.3390/agriculture13091781
