Short Term Effects of Chemical Fertilizer, Compost and Zeolite on Yield of Lettuce, Nutrient Composition and Soil Properties
Abstract
1. Introduction
2. Materials and Methods
2.1. Physical and Chemical Analysis of Soils
2.2. Chemical Analysis of Leaves
2.3. Statistical Analysis
3. Results
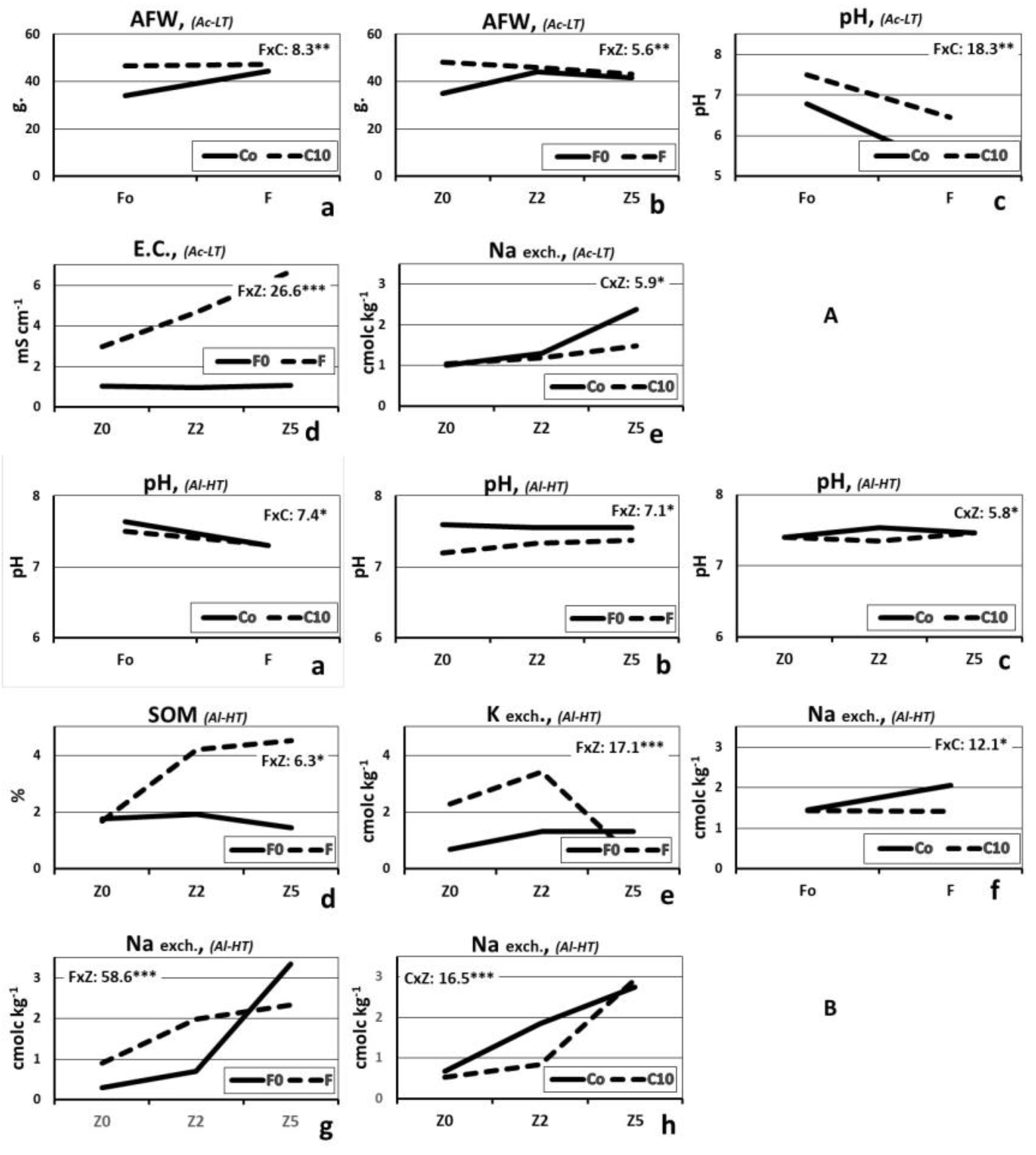
3.1. A. Bove Fresh Weight (AFW)
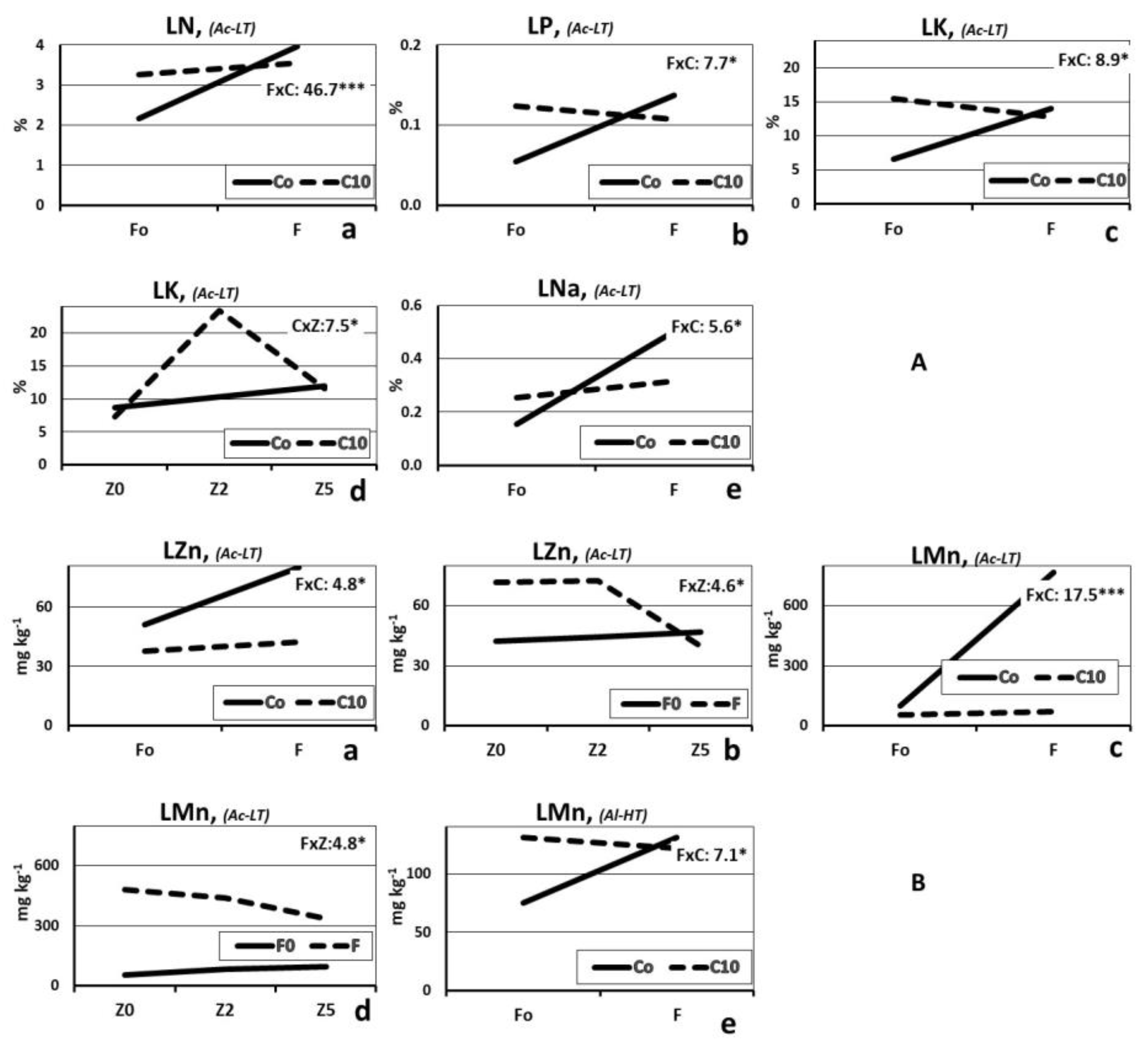
3.2. Soil pH and Electrical Conductivity (EC)
3.3. Soil Organic Matter (SOM)
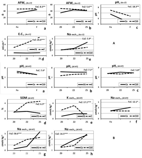
3.4. Soil Nitrogen (TN) and its Uptake (LN)
3.5. Soil Available P (Pavail.) and Its Uptake (LP)
3.6. Exchangeable K (K exch.) and Its Uptake (LK)
3.7. Availability of Soil Na (Na exch.) and Its Uptake (LN)
3.8. Availability of Micronutrients
3.8.1. Soil Available Fe (DTPA-Fe) and Its Uptake (LFe)
3.8.2. Soil Available Cu (DTPA-Cu) and Its Uptake (LCu)
3.8.3. Soil Available Zn (DTPA-Zn) and Its Uptake (LZn)
3.8.4. Soil Available Mn (DTPA-Mn) and Its Uptake (LMn)
3.9. Correlations between Soil and Plant Nutrients
4. Discussion
4.1. Above Fresh Weight (AFW)
4.2. Soil pH and Electrical Conductivity (EC)
4.3. Soil Organic Matter (SOM)
4.4. Macronutrient (N, P, K, Na) Content in Soil and Plants
4.5. Availability of Micronutrients (Fe, Cu, Zn and Mn)
5. Conclusions
Author Contributions
Funding
Institutional Review Board Statement
Data Availability Statement
Conflicts of Interest
References
- Wells, A.T.; Chan, K.Y.; Cornish, P.S. Comparison of conventional and alternative vegetable farming systems on the properties of a yellow earth in New South Wales. Agric. Ecosyst. Environ. 2000, 80, 47–60. [Google Scholar] [CrossRef]
- Waqas, M.; Hawkesford, M.J.; Geilfus, C. Feeding the world sustainably: Efficient nitrogen use. Trends Plant Sci. 2023, 28, 505–508. [Google Scholar] [CrossRef] [PubMed]
- Qiu, Z.P.; Yang, Q.C.; Liu, W.K. Effects of nitrogen fertilizer on nutritional quality and root secretion accumulation of hydroponic lettuce. Acta Hortic. 2014, 1037, 679–686. [Google Scholar] [CrossRef]
- Inkham, C.; Panjama, K.; Seehanam, P.; Ruamrungsri, S. Effect of nitrogen, potassium and calcium concentrations on growth, yield and nutritional quality of green oak lettuce. Acta Hortic. 2021, 1312, 409–416. [Google Scholar] [CrossRef]
- Di, H.J.; Cameron, K.C. Nitrate leaching losses and pasture yields as affected by different rates of animal urine nitrogen returns and application of a nitrification inhibitor—A lysimeter study. Nutr. Cycl. Agroecosyst. 2007, 79, 281–290. [Google Scholar] [CrossRef]
- Albornoz, F. Crop responses to nitrogen overfertilization: A review. Sci. Hortic. 2016, 205, 79–83. [Google Scholar] [CrossRef]
- Michalopoulos, G.; Kasapi, K.A.; Koubouris, G.; Psarras, G.; Arampatzis, G.; Hatzigiannakis, E.; Kavvadias, V.; Xiloyannis, C.; Montanaro, G.; Malliaraki, S.; et al. Adaptation of Mediterranean Olive Groves to Climate Change through Sustainable Cultivation Practices. Climate 2020, 8, 54. [Google Scholar] [CrossRef]
- Kavvadias, V.; Ioannou, Z.; Katsaris, P.; Kardimaki, A.; Vavoulidou, E.; Theocharopoulos, S. Use of Zeolites in Agriculture: Effect of Addition of Natural Zeolite–Clinoptilolite and Compost on Soil Properties and Crop Development, Section II Management Strategies: Chapter 15. In Soil Amendments for Sustainability. Challenges and Perspectives; Rakshit, A., Sarkar, B., Abhilash, P., Eds.; CRC Press: Boca Raton, FL, USA; Routledge: Oxfordshire, UK; Taylor & Francis Group: Oxfordshire, UK, 2018; p. 404. [Google Scholar]
- Zdruli, P.; Jones, R.; Montanarella, L. Organic Matter in the Soils of Southern Europe; European Soil Bureau Technical Report, EUR 21083 EN; Office for Official Publications of the European Communities: Luxembourg, 2004; p. 16. [Google Scholar]
- Boutchich, G.E.; Tahiri, S.; El Krati, M.; Kabil, E.M.; Lhadi, E.K.; Mahi, M.; de la Guardia, M. Sandy soil modification by bio-composts for wheat production. Waste Biomass Valoriz. 2018, 9, 1129–1139. [Google Scholar] [CrossRef]
- Kuči, D.; Kopči, N.; Briški, F. Zeolite and potting soil sorption of CO2 and NH3 evolved during co-composting of grape and tobacco waste. Chem. Pap. 2013, 67, 1172–1180. [Google Scholar] [CrossRef]
- Najafi-Ghiri, M. Effects of zeolite and vermicompost applications on potassium release from calcareous soils. Soil Water Res. 2014, 9, 31–37. [Google Scholar] [CrossRef]
- Kavvadias, V.; Koubouris, G. Sustainable Soil Management Practices in Olive Groves Chapter 8. In Soil Fertility Management for Sustainable Development; Panpatte, D., Jhala, Y., Eds.; Springer: Berlin/Heidelberg, Germany, 2019; pp. 167–188. [Google Scholar] [CrossRef]
- Bechara, E.; Papafilippaki, A.; Doupis, G.; Sofo, A.; Koubouris, G. Nutrient dynamics, soil properties and microbiological aspects in an irrigated olive orchard managed with five different management systems involving soil tillage, cover crops and compost. J. Water Clim. Chang. 2018, 9, 736–747. [Google Scholar] [CrossRef]
- García-Ruiz, R.; Ochoa, M.V.; Hinojosa, M.B.; Gómez-Muñoz, B. Improved Soil Quality After 16 Years of Olive Mill Pomace Application in Olive Oil Groves. Agron. Sustain. Dev. 2012, 32, 803–810. [Google Scholar] [CrossRef]
- Michailides, M.; Christou, G.; Akratos, C.S.; Tekerlekopoulou, A.G.; Vayenas, D.V. Composting of olive leaves and pomace from a three-phase olive mill plant. Int. Biodeterior. Biodegrad. 2011, 65, 560–564. [Google Scholar] [CrossRef]
- Manios, V.I.; Tsikalas, P.E.; Syminis, C.I. Phytotoxicity of olive tree leaf compost in relation to the organic acid concentration. Biol. Wastes 1989, 27, 307–317. [Google Scholar] [CrossRef]
- Manios, V.I.; Stentiford, E.I.; Kefakis, M.D.; Syminis, C.I.; Dialynas, G.; Manios, T. Development of a methodology for the composting of sludge of Crete. In Proceedings of the International Conference in ‘Organic Recovery and Biological Treatment’, Waimar, Germany, 13–15 September 2006; Stentiford, E.I., Ed.; Harrogate University of Leeds: Leeds, UK, 1997; pp. 199–204. [Google Scholar]
- Gao, J.; Pei, H.; Xie, H. Synergistic effects of organic fertilizer and corn straw on microorganisms of pepper continuous cropping soil in China. Bioengineered 2020, 11, 1258–1268. [Google Scholar] [CrossRef]
- Reis, M.; Coelho, L.; Beltrao, J.; Domingos, I.; Moura, M. Comparative effects of inorganic and organic compost fertilization on lettuce (Lactuca sativa L.). Int. J. Energy Environ. Eng. 2014, 8, 108–117. [Google Scholar]
- Protic, N.; Martinovic, L.; Milicic, B.; Stevanovic, D.; Mojasevic, M. The status of soil surveys in Serbia and Montenegro. ESBN-Res. Rep. 2003, 9, 287–315. [Google Scholar]
- Yasuda, H.; Takama, K.; Fukuda, T.; Araki, Y.; Suzuka, J.; Fukushima, Y. Effects of zeolite on water and salt control in soil. J. Fac Agric. Tottori. Univ. 1998, 51, 35–42. [Google Scholar]
- Butorac, A.; Filipan, T.; Bašić, F.; Mesić, M.; Kisić, I. Crop response to the application of special natural amendments based on zeolite tuff. Rostl. Vyrob. 2002, 48, 118–124. [Google Scholar] [CrossRef]
- DeSutter, T.M.; Pierzynski, G.M. Evaluation of soils for use as liner materials: A soil chemistry approach. J. Environ. Qual. 2005, 34, 951–962. [Google Scholar] [CrossRef]
- Simonne, E.O.; Hutchinson, C.; DeValerio, J.; Hochmuth, R.; Treadwell, D.; Wright, A.; Santos, B.; Whidden, A.; McAvoy, G.; Zhao, X.; et al. Current Knowledge, Gaps, and Future Needs for Keeping Water and Nutrients in the Root Zone of Vegetables Grown in Florida. HortTechnology 2010, 20, 143–152. [Google Scholar] [CrossRef]
- Abdi, G. Effects of Natural Zeolite on Growth and Flowering of Strawberry (Fragariaxananassa Duch.). Int. J. Agric. Res. 2006, 1, 384–389. [Google Scholar] [CrossRef]
- Markovic, A.; Takac, A.; Ilin, Z. Enriched zeolite as a substrate component in the production of pepper and tomato seedlings. Acta Hortic. 1995, 396, 321–328. [Google Scholar] [CrossRef]
- Unlu, H.; Ertok, R.; Padem, H. The usage of zeolite in tomato seedling production medium. In Proceedings of the Vegetable Production Symposium, Canakkale, Turkey, 21–24 September 2004; pp. 318–320. [Google Scholar]
- Mazur, G.A.; Medvid, G.K.; Gvigora, I.T. Use of natural zeolite to increase the fertilizer of coarse soils. Soviet Soil Sci. 1986, 16, 105–111. [Google Scholar]
- Pierla, H.J.; Westfall, D.G.; Barbarick, K.A. Use of clinoptilolite in combination with nitrogen fertilization to increase plant growth. In Zeo-Agriculture: Uses of Natural Zeolites in Agriculture and Aquaculture; Pond, W.G., Mumpton, F.A., Eds.; Westview Press: Boulder, CO, USA, 1984; pp. 65–76. [Google Scholar]
- Dwyer, J.; Dyer, A. Zeolites—An introduction. Chem. Ind. 1984, 2, 237–240. [Google Scholar]
- Kithome, M.; Paul, J.W.; Lavkulich, L.M.; Bomke, A.A. Effect of pH on ammonium adsorption by natural Zeolite clinoptilolite. Commun. Soil Sci. Plant Anal. 1999, 30, 9–10. [Google Scholar] [CrossRef]
- Ming, D.W.; Mumpton, F.A. Zeolites in soils. In Minerals in Soil Environments, 2nd ed.; Dixon, J.B., Weed, S.B., Eds.; Soil Science Society of America: Madison, Wi, USA, 1989; Volume 1, pp. 873–911. [Google Scholar] [CrossRef]
- Gruener, J.E.; Ming, D.W.; Henderson, K.E.; Galindo, C., Jr. Common ion effects in zeoponic substrates: Wheat plant growth experiment. Micropor. Mesopor. Mat. 2003, 61, 223–230. [Google Scholar] [CrossRef]
- Mcgilloway, R.; Weaver, R.; Ming, D.; Gruener, J.E. Nitrification in a zeoponic substrate. Plant Soil 2003, 256, 371–378. [Google Scholar] [CrossRef]
- Rehakova, M.; Cuvanova, S.; Dzivak, M.; Rimarand, J.; Gavalova, Z. Agricultural and agrochemical uses of natural zeolite of the clinoptilolite type. Curr. Opin. Solid State Mater. Sci. 2004, 8, 397–404. [Google Scholar] [CrossRef]
- Dwairi, J.M. Evaluation of Jordanian zeolite tuff as a controlled slow-released fertilizer for NH4+. Environ. Geol. 1998, 34, 1–4. [Google Scholar] [CrossRef]
- Dwairi, J.M. Renewable, controlled and environmentally safe phosphorous release in soil mixtures of NH4+-phillipsite tuff and phosphate rock. Environ. Geol. 1998, 34, 293–296. [Google Scholar] [CrossRef]
- Allen, E.R.; Hossner, L.R.; Ming, D.W.; Henninger, D.L. Solubility and cation exchange in phosphate rock and saturated clinoptilolite mixtures. Soil Sci. Soc. Am. J. 1993, 57, 1368–1374. [Google Scholar] [CrossRef] [PubMed]
- Kumar, P.; Jadhav, P.D.; Rayalu, S.S.; Devotta, S. Surface-modified zeolite—A for sequestration of arsenic and chromium anions. Curr. Sci. 2007, 92, 512–517. [Google Scholar]
- Tashauoei, H.R.; Attar, H.M.; Amin, M.M.; Kamali, M.; Nikaeen, M.; Dastjerdi, M.V. Removal of cadmium and humic acid from aqueous solutions using surface modified nanozeolite A. Int. J. Environ. Sci. Technol. 2010, 7, 497–508. [Google Scholar] [CrossRef]
- Vavoulidou, E.; Avramides, E.J.; Papadopoulos, P.; Dimirkou, A.; Charoulis, A.; Konstantinidou-Doltsinis, S. Copper content in agricultural soils related to cropping systems in different regions of Greece. Commun Soil Sci. Plant Anal. 2005, 36, 759–773. [Google Scholar] [CrossRef]
- Kelepertzis, E.; Massas, I.; Fligos, G.; Panagiotou, M.; Ariadnem, A. Copper accumulation in vineyard soils from Nemea, Greece. Bull. Geol. Soc. Greece 2017, 50, 2192–2199. [Google Scholar] [CrossRef]
- Cataldo, E.; Salvi, L.; Paoli, F.; Fucile, M.; Masciandaro, G.; Manzi, D.; Masini, C.M.; Mattii, G.B. Application of Zeolites in Agriculture and Other Potential Uses: A Review. Agronomy 2021, 11, 1547. [Google Scholar] [CrossRef]
- Rodrıguez, I.; Crespo, G.; Rodrıguez, M.; Aguilar, M. Efecto de diferentes proporciones de excreta-zeolita en el rendimiento y composicio´n quı´mica de pacinum maximum vc. Likoni. Rev. Cuba. Cienc. Agríc. 1994, 28, 113–117. [Google Scholar]
- Chuprova, V.V.; Ul’yanova, O.A.; Kulebakin, V.G. The effect of bark-zeolites fertilizers on mobile humus substances of Chernozem and on biological productivity of corn. In Euro Soil; Institute of Soil Science and Forest Nutrition, University of Freiburg: Freiburg, Germany, 2004. [Google Scholar]
- Capasso, S.; Salvestrini, S.; Coppola, E.; Buondonno, A.; Colella, C. Sorption of humic acid on zeolitic tuff: A preliminary investigation. Appl. Clay Sci. 2005, 28, 159–165. [Google Scholar] [CrossRef]
- ARIDWASTE: Development of Specific Agricultural Practices With The Use Of Recycled Wastes Suitable For Intensively Cultivated Mediterranean Areas Under Degradation Risk. A Research Project Under The Frame Of ARIMnet 2011, Coordination of Agricultural Research in Mediterranean Region. Available online: https://cordis.europa.eu/project/id/618127/reporting/it (accessed on 19 April 2023).
- ISO 11464:2006; Soil Quality. Pretreatment of Samples for Physico-Chemical Analysis. International Organization for Standardization: Geneva, Switzerland, 2006.
- Page, A.L.; Miller, R.H.; Keeny, D.R. Methods of Soil Analysis Part 2: Chemical and Microbiological Properties, 2nd ed.; American Society of Agronomy, Inc.: Madison, WI, USA, 1982. [Google Scholar] [CrossRef]
- ISO 11261; Soil Quality. Determination of Total Nitrogen—Modified Kjeldahl Method. International Organization for Standardization: Geneva, Switzerland, 1995.
- ISO 14235; Soil Quality 5 Determination of Organic Carbon By Sulfochromic Oxidation. International Organization for Standardization: Geneva, Switzerland, 1998.
- ISO 14263; Soil Quality-7 Determination of Phosphorus-Spectrometric Determination Of Phosphorus Soluble In Sodium Hydrogen Carbonate Solution. International Organization for Standardization: Geneva, Switzerland, 1994.
- ISO 11260; Soil Quality Determination Of Effective Cation Exchange Capacity And Base Saturation Level Using 1 Barium Chloride Solution. International Organization for Standardization: Geneva, Switzerland, 1994.
- ISO 14870; Soil quality. Extraction of Trace Elements by Buffered DTPA Solution. International Organization for Standardization: Geneva, Switzerland, 2001.
- Allen, S.E.; Grimshaw, H.M.; Parkinson, J.A.; Quarmby, C. Chemical Analysis of Ecological Materials; Allen, E., Ed.; Blackwell Scientific Publications: Oxford, UK; London, UK, 1974; p. 565. [Google Scholar]
- Ayers, A.D.; Wadleigh, C.H.; Bernstein, L. Salt tolerance of six varieties of lettuce. Proc. Am. Soc. Hort. Sci. 1951, 57, 237–242. [Google Scholar]
- Litaor, M.I.; Katz, L.; Shenker, M. The influence of compost and zeolite co-addition on the nutrients status and plant growth in intensively cultivated Mediterranean soils. Soil Use Manag. 2017, 33, 72–80. [Google Scholar] [CrossRef]
- Hernández, T.; Chocano, C.; José-Luis Moreno, C. García. Use of compost as an alternative to conventional inorganic fertilizers in intensive lettuce (Lactuca sativa L.) crops—Effects on soil and plant. Soil Till. Res. 2016, 160, 14–22. [Google Scholar] [CrossRef]
- Jaza Folefack, A.J. The Influence of Compost Use on the Production of Lettuce (Lactuca sativa) in the Urban and Peri-Urban Areas of Yaoundé (Cameroon). Tropicultura 2008, 26, 246–254. [Google Scholar]
- Ippolito, J.A.; Tarkalson, D.D.; Lehrsch, G.A. Zeolite Soil Application Method Affects Inorganic Nitrogen, Moisture and Corn Growth. Soil Sci. 2011, 176, 136–142. [Google Scholar] [CrossRef]
- Gholamhoseini, M.; Ghalavand, A.; Khodaei-Joghan, A.; Dolatabadian, A.; Zakikhani, H.; Farmanbar, E. Zeolite-amended cattle manure effects on sunflower yield, seed quality, water use efficiency and nutrient leaching. Soil Tillage Res. 2013, 126, 193–202. [Google Scholar] [CrossRef]
- Ferguson, G.A.; Pepper, I.L. Ammonium retention in sand amended with clinoptilolite. Soil Sci. Soc. Am. J. 1987, 51, 231–234. [Google Scholar] [CrossRef]
- Wiedenfeld, B. Zeolite as a soil amendment for vegetable production in the Lower Rio Grande Valley. Subtrop. Plant Sci. 2003, 55, 7–10. [Google Scholar]
- Hernandez, T.; Chocano, C.; Moreno, J.L.; García, C. Towards a more sustainable fertilization: Combined use of compost and inorganic fertilization for tomato cultivation. Agric. Ecosyst. Environ. 2014, 196, 178–184. [Google Scholar] [CrossRef]
- Gül, A.; Eroğul, D.; Ongun, A.R. Comparison of the use of zeolite and perlite as grown in Sri Lanka. Sci. Hortic. 2005, 106, 464–471. [Google Scholar] [CrossRef]
- Valente, S.; Burriesci, N.; Cavallaro, S.; Galvagno, S.; Zipelli, C. Utilization of Zeolites as soil conditioner in tomato-growing. Zeolites 1982, 2, 271–274. [Google Scholar] [CrossRef]
- Zarpour, E.; Motamed, M.K.; Moraditochaee, M.; Bozorgi, H.R. Effects of Zeolite Application and Nitrogen Fertilization on Yield Components of Cowpea (Vigna unguiculata L.). World Appl. Sci. J. 2011, 14, 687–692. [Google Scholar]
- Mahdy, M.A. Comparative Effects of Different Soil Amendments on Amelioration of Saline-Sodic Soils. Soil Water Res. 2011, 6, 205–216. [Google Scholar] [CrossRef]
- Ahmed, O.H.; Sumalatha, G.; Nik Muhamad, A.M. Use of zeolite in maize (Zea mays) cultivation onnitrogen, potassium and phosphorus uptake and use efficiency. Int. J. Phys. Sci. 2010, 5, 2393–2401. [Google Scholar]
- Filcheva, E.G.; Tsadilas, C.D. Influence of clinoptilolite and compost on soil properties. Commun. Soil Sci. Plant Anal. 2002, 33, 595–607. [Google Scholar] [CrossRef]
- Noori, M.; Zendehdel, M.; Ahmadi, A. Using Natural Zeolite for the Improvement of Soil Salinity and Crop Yield. Toxicol. Environ. Chem. 2006, 88, 77–84. [Google Scholar] [CrossRef]
- Perez-Caballero, R.; Gil, J.; Benitez, C.; Gonzalez, J.L. The effect of adding zeolite to soils in order to improve the N-K nutrition of olive trees, preliminary results. Am. J. Agric. Biol. Sci. 2008, 2, 321–324. [Google Scholar] [CrossRef]
- Radulescu, H. Soil treatment effects of Zeolitic Volcanic Tuff on soil fertility. Res. J. Agric. Sci. 2013, 45, 238–244. [Google Scholar]
- Ramesh, V.; George, J.; Jyothi, S.J.; Shibli, S.M.A. Effect of Zeolites on Soil Quality, Plant Growth and Nutrient Uptake Efficiency in Sweet Potato (Ipomoea batatas L.). J. Root Crops 2015, 41, 25–31. [Google Scholar]
- Ravali, C.; Jeevan Rao, K.; Anjaiah, T.; Suresh, K. Effect of zeolite on soil physical and physico-chemical properties. Multilogic Sci. 2020, 10, 776–781. [Google Scholar]
- Milošević, T.; Milošević, N. The effect of zeolite, organic and inorganic fertilizers on soil chemical properties, growth and biomass yield of apple trees. Plant Soil Environ. 2009, 55, 528–535. [Google Scholar] [CrossRef]
- Li, J.; Wee, C.; Sohn, B. Effect of Ammonium-and Potassium-Loaded Zeolite on Kale (Brassica alboglabra) Growth and Soil Property. Am. J. Plant Sci. 2013, 4, 1976–1982. [Google Scholar] [CrossRef]
- Mumpton, F.A. La Roca Magica: Uses of natural zeolites in agriculture and industry. Proc. Natl. Acad. Sci. USA 1999, 96, 3463–3470. [Google Scholar] [CrossRef]
- Edmeades, D.C. The long-term effects of manures and fertilizers on soil productivity and quality: A review. Nutr. Cycl. Agroecosyst. 2003, 66, 165–180. [Google Scholar] [CrossRef]
- Ning, C.C.; Gao, P.D.; Wang, B.Q.; Lin, W.P.; Jiang, N.H.; Cai, K.Z. Impacts of chemical fertilizer reduction and organic amendments supplementation on soil nutrient, enzyme activity and heavy metal content. J. Integr. Agr. 2017, 16, 1819–1831. [Google Scholar] [CrossRef]
- Hassink, J. The capacity of soils to preserve organic C and N by their association with clay and silt particles. Plant Soil 1997, 191, 77–87. [Google Scholar] [CrossRef]
- Hernandez, T.; Moral, R.; Perez-Espinosa, A.; Moreno-Caselles, J.; Perez-Murcia, M.D.; Garcia, C. Nitrogen mineralisation potential in calcareous soils amended with sewage sludge. Bioresour. Technol. 2002, 83, 213–219. [Google Scholar] [CrossRef]
- Ladd, J.N.; Amato, M.; Oades, J.M. Decomposition of plant materials in Australian soils. III Residual organic and microbial biomass C and N from isotope-labelled legume materials and soil organic matter decomposing under field conditions. Aust. J. Soil Res. 1985, 23, 603–611. [Google Scholar] [CrossRef]
- Amato, M.A.; Ladd, J.N. Decomposition of 14C-labelled glucose and legume material in soils: Properties influencing the accumulation of organic residue C and microbial biomass C. Soil Biol. Biochem. 1992, 24, 455–464. [Google Scholar] [CrossRef]
- Truc, M.T.; Yoshida, M. Effect of Zeolite on the Decomposition Resistance of Organic Matter in Tropical Soils under Global Warming. Int. J. Innov. Sci. Res. 2011, 5, 664–668. [Google Scholar]
- Aminiyan, M.M.; Safari Sinegani, A.A.; Sheklabadi, M. The effect of zeolite and some plant residues on soil organic carbon changes in density and soluble fractions: Incubation study. Eurasian J. Soil Sci. 2016, 5, 74. [Google Scholar] [CrossRef]
- Poffenbarger, H.J.; Barker, D.W.; Helmers, M.J.; Miguez, F.E.; Olk, D.C.; Sawyer, J.E.; Castellano, M.J. Maximum soil organic carbon storage in Midwest US cropping systems when crops are optimally nitrogen-fertilized. PLoS ONE 2017, 12, e0172293. [Google Scholar] [CrossRef] [PubMed]
- Mahal, N.K.; Osterholz, W.R.; Miguez, F.E.; Poffenbarger, H.J.; Sawyer, J.E.; Olk, D.C.; Archontoulis, S.V.; Castellano, M.J. Nitrogen Fertilizer Suppresses Mineralization of Soil Organic Matter in Maize Agroecosystems. Front. Ecol. Evol. 2019, 7, 59. [Google Scholar] [CrossRef]
- Parton, W.J.; Schimel, D.S.; Cole, C.V.; Ojima, D.S. Analysis of factors controlling soil organic matter levels in great plains grasslands. Soil Sci. Soc. Am. J. 1987, 51, 1173–1179. [Google Scholar] [CrossRef]
- Wang, C.; Wan, S.; Xing, X.; Zhang, L.; Han, X. Temperature and soil moisture interactively affected soil net N mineralization in temperate grassland in Northern China. Soil Biol. Biochem. 2006, 38, 1101–1110. [Google Scholar] [CrossRef]
- Liu, C.; Lu, M.; Cui, J.; Li, B.; Fang, C. Effects of straw carbon input on carbon dynamics in agricultural soils: A meta-analysis. Glob. Chang. Biol. 2014, 20, 1366–1381. [Google Scholar] [CrossRef] [PubMed]
- Singh, B. Are Nitrogen Fertilizers Deleterious to Soil Health? Agronomy 2018, 8, 48. [Google Scholar] [CrossRef]
- Madeleine, I.; Peter, S.; Tim, T.; Tom, V. The preparation and use of compost. In Agrodok No. 8, 7th ed.; Agromisa/CTA: Wagenningen, The Netherlands, 2005; p. 65. [Google Scholar]
- Diacono, M.; Montemurro, F. Long-term effects of organic amendments on soil fertility. A review. Agron Sustain Dev. 2010, 30, 401–422. [Google Scholar] [CrossRef]
- Brown, S.; Cotton, M. Changes in Soil Properties and Carbon Content Following Compost Application: Results of On-farm Sampling. Compost Sci. Util. 2011, 19, 88–97. [Google Scholar] [CrossRef]
- Medoro, V.; Ferretti, G.; Galamini, G.; Rotondi, A.; Morrone, L.; Faccini, B.; Coltorti, M. Reducing Nitrogen Fertilization in Olive Growing by the Use of Natural Chabazite-Zeolitite as Soil Improver. Land 2022, 11, 1471. [Google Scholar] [CrossRef]
- Nziguheba, G.; Palm, C.A.; Buresh, R.J.; Smithson, P.C. Soil phosphorus fractions and adsorption as affected by organic and inorganic sources. Plant Soil 1998, 198, 159–168. [Google Scholar] [CrossRef]
- Pickering, H.W.; Menzies, N.W.; Hunter, M.N. Zeolite/phosphate rock—A novel slow release phosphorus fertiliser for potted plant production. Sci. Hortic. 2002, 94, 333–343. [Google Scholar] [CrossRef]
- Ramesh, K.; Redd, D.D. Zeolites and their potential uses in agriculture. Adv. Agron. 2011, 113, 219–241. [Google Scholar]
- Wihardjaka, A.; Harsanti, E.S.; Ardiwinata, A.N. Effect of fertilizer management on potassium dynamics and yield of rainfed lowland rice in Indonesia. Chil. J Agric. Res. 2022, 82, 33–43. [Google Scholar] [CrossRef]
- Rahem-Bader, B.; Kadhim-Taban, S.; Hasan-Fahmi, A.; Ali-Abood, M.; Jaafar-Hamdi, G. Potassium availability in soil amended with organic matter and phosphorous fertilizer under water stress during maize (Zea mays L.) growth. J. Saudi Soc. Agric. Sci. 2021, 20, 390–394. [Google Scholar] [CrossRef]
- Magdich, S.; Rouina, B. Impact of compost agronomic application on soil chemical properties and olive trees (Olea europaea L.) growth parameters. JAAOG 2022, 1, 42–54. [Google Scholar]
- Al-Jabori, J.S.J.; Al-Obaed, B.S.O.; Al-Amiri, A.H.F. Effect of soil gypsum content and kind of organic matter on status and behavior of potassium. Tikrit J. Agric. Sci. 2011, 11, 299–310. [Google Scholar]
- Rabai, K.A.; Haruna, A.O.; Kasim, S. Use of formulated Nitrogen, phosphorus and potassium compound fertilizer using clinoptilolite zeolite in Maize (Zea mays L.) cultivation. Emir. J. Food Agric. 2013, 25, 713–722. [Google Scholar] [CrossRef]
- Treacy, M.J.; Higgins, J.B. Collection of Simulated XRD Powder Patterns for Zeolites, 4th ed.; Treacy, M.J., Higgins, J.B., Eds.; Elsevier: Amsterdam, The Netherlands, 2001; p. 586. [Google Scholar] [CrossRef]
- Meena, V.S.; Bahadur, I.; Maurya, B.R.; Kumar, A.; Meena, R.K.; Meena, S.K.; Verma, J.P. Potassium-Solubilizing Microorganism in Evergreen Agriculture: An Overview. In Potassium Solubilizing Microorganisms for Sustainable Agriculture; Meena, V.S., Maurya, B.R., Verma, J.P., Meena, R.S., Eds.; Springer: New Delhi, India, 2016; pp. 1–20. [Google Scholar] [CrossRef]
- Barros, M.A.S.D.; Arroyo, P.A. Thermodynamics of the exchange processes between K+, Ca2+ and Cr 3+ in zeolite Na. Adsorption 2004, 10, 227–235. [Google Scholar] [CrossRef]
- Mondal, M.; Biswas, B.; Garai, S.; Sarkar, S.; Banerjee, H.; Brahmachari, K.; Bandyopadhyay, P.K.; Maitra, S.; Brestic, M.; Skalicky, M.; et al. Zeolites Enhance Soil Health, Crop Productivity and Environmental Safety. Agronomy 2021, 11, 448. [Google Scholar] [CrossRef]
- Bauer, A.; Black, A.L. Quantification of the effect of soil organic matter content on soil productivity. Soil Sci. Soc. Am. J. 1994, 58, 185–193. [Google Scholar] [CrossRef]
- Ghulam, S.; Helge, S.; Nazir, H.; Muhammad, M.; Ayesha, Z.; Ghulam, M. Impact of compost to produce rice-wheat crops from saline sodic soil. J. Pure Appl. Agric. 2020, 5, 11–19. [Google Scholar]
- Tejada, M.; Garcia, C.; González, J.; Hernández, M. Use of organic amendment as a strategy for saline soil remediation: Influence on the physical, chemical and biological properties of soil. Soil Biol. Biochem. 2006, 38, 1413–1421. [Google Scholar] [CrossRef]
- Lax, A.; Diaz, E.; Castillo, V.; Albaladejo, J. Reclamation of physical and chemical properties of a salinized soil by organic amendment. Arid. Soil Res. Rehabil. 1994, 8, 9–17. [Google Scholar] [CrossRef]
- Qadir, M.; Schubert, S.; Ghafoor, A.; Murtaza, G. Amelioration strategies for sodic soils: A review. Land Degrad. Dev. 2001, 12, 357–386. [Google Scholar] [CrossRef]
- Ramesh, K.; Damodar Reddy, D.; Kumar Biswas, A.; Subba Rao, A. Chapter Four-Zeolites and Their Potential Uses in Agriculture. Adv. Agron. 2011, 113, 219–241. [Google Scholar]
- Trinchera, A.; Mario Rivera, C.; Rinaldi, S.; Salerno, A.; Rea, E.; Sequi, P. Granular Size Effect of Clinoptilolite on Maize Seedlings Growth. Open Agric. J. 2010, 4, 23–30. [Google Scholar] [CrossRef]
- Nieder, R.; Benbi, D.K.; Scherer, H.W. Fixation and defixation of ammonium in soils: A review. Biol. Fertil. Soils 2011, 47, 1–14. [Google Scholar] [CrossRef]
- Maqueda, C.; Herencia, J.F.; Ruiz, J.C.; Hidalgo, M.F. Organic and inorganic fertilization effects on DTPA-extractable Fe, Cu, Mn and Zn and their concentration in the edible portion of crops. J. Agric. Sci. 2011, 149, 461–472. [Google Scholar] [CrossRef]
- Rengel, Z.; Batten, G.D.; Crowley, D.E. Agronomic approaches for improving the micronutrient density in edible portions of field crops. Field Crops Res. 1999, 60, 27–40. [Google Scholar] [CrossRef]
- Asaye, Z.; Kim, D.-G.; Yimer, F.; Prost, K.; Obsa, O.; Tadesse, M.; Gebrehiwot, M.; Brüggemann, N. Effects of Combined Application of Compost and Mineral Fertilizer on Soil Carbon and Nutrient Content, Yield and Agronomic Nitrogen Use Efficiency in Maize-Potato Cropping Systems in Southern Ethiopia. Land 2022, 11, 784. [Google Scholar] [CrossRef]
- Carstens, J.F.; Bachmann, J.; Neuweiler, I. Effects of organic matter coatings on the mobility of goethite colloids in model sand and undisturbed soil. Eur. J. Soil Sci. 2018, 69, 360–369. [Google Scholar] [CrossRef]
- Li, Z.; Alessi, D.; Allen, L. Influence of Quaternary Ammonium on Sorption of Selected Metal Cations onto Clinoptilolite Zeolite. J. Environ. Qual. 2000, 31, 1106–1114. [Google Scholar] [CrossRef]
- Erdem, E.; Karapinar, N.; Donat, R. The removal of heavy metal cations by Natural zeolites. J. Colloid Interface Sci. 2004, 280, 309–314. [Google Scholar] [CrossRef]
- Singh, J.; Kalamdhad, A.S. Reduction of heavy metals during composting—A review. Int. J. Environ. Prot. 2012, 2, 36–43. [Google Scholar]
- Sheta, A.S.; Falatah, A.M.; Al-Sewailem, M.S.; Khaled, E.M.; Sallam, A.S. Sorption characteristics of zinc and iron by natural zeolite and bentonite. Micropor. Mesopor. Mat. 2003, 61, 127–136. [Google Scholar] [CrossRef]
- Arrobas, M.; Decker, J.V.; Feix, B.L.; WI Godoy, C.A.; Casali, C.M.; Correia, M.Â. Rodrigues Biochar and zeolites did not improve phosphorus uptake or crop productivity in a field trial performed in an irrigated intensive farming system. Soil Use Manag. 2022, 38, 564–575. [Google Scholar] [CrossRef]
- Karami, N.; Clemente, R.; Moreno-Jimenez, E.; Lepp, N.W.; Beesley, L. Efficiency of green waste compost and biochar soil amendments for reducing lead and copper mobility and uptake to ryegrass. J. Hazard. Mater. 2011, 191, 41–44. [Google Scholar] [CrossRef] [PubMed]
- Soja, G.; Wimmer, B.; Rosner, F.; Faber, F.; Dersch, G.; von Chamier, J.; Pardeller, G.; Ameur, D.; Keiblinger, K.; Zehetner, F. Compost and biochar interactions with copper immobilisation in copper-enriched vineyard soils. Appl. Geochem. 2018, 88, 40–48. [Google Scholar] [CrossRef]
- Baydina, N.L. Inactivation of heavy metals by humus and zeolites in industrially contaminated soils. Eurasian Soil Sci. 1996, 28, 96–105. [Google Scholar]
- Chlopecka, A.; Adriano, D.C. Mimicked in-situ stabilization of metals in a cropped soil: Bioavailability and chemical form of zinc. Environ. Sci. Technol. 1996, 30, 3294–3303. [Google Scholar] [CrossRef]
- Chlopecka, A.; Adriano, D.C. Influence of zeolite, apatite and Fe-oxide on Cd and Pb uptake by crops. Sci. Total Environ. 1997, 207, 195–206. [Google Scholar] [CrossRef] [PubMed]
- Gworek, B. The effect of zeolites on copper uptake by plants growing in contaminated soils. J. Incl. Phenom. Macrocycl. Chem. 1993, 1, 1–7. [Google Scholar] [CrossRef]
- Cadar, O.; Stupar, Z.; Senila, M.; Levei, L.; Moldovan, A.; Becze, A.; Ozunu, A.; Levei, E.A. Zeolites Reduce the Transfer of Potentially Toxic Elements from Soil to Leafy Vegetables. Materials 2022, 15, 5657. [Google Scholar] [CrossRef] [PubMed]
- Shuman, L.M. Organic waste amendments effect on zinc fractions of two soils. J. Environ. Qual. 1999, 28, 1442–1447. [Google Scholar] [CrossRef]
- Watts-Williams, S.J.; Turney, T.W.; Patti, A.F.; Cavagnaro, T.R. Uptake of zinc and phosphorus by plants is affected by zinc fertiliser material and arbuscular mycorrhizas. Plant Soil 2014, 376, 165–175. [Google Scholar] [CrossRef]
- Zhang, Y.Q.; Deng, Y.; Chen, R.Y.; Cui, Z.L.; Chen, X.P.; Yost, R.; Zhang, F.S.; Zou, C.Q. The reduction in zinc concentration of wheat grain upon increased phosphorus-fertilization and its mitigation by foliar zinc application. Plant Soil 2012, 361, 143–152. [Google Scholar] [CrossRef]
- Cheng, Y.; Wang, C.; Chai, S.; Shuai, W.; Sha, L.; Zhang, H.; Kang, H.; Fan, X.; Zeng, J.; Zhou, Y.; et al. Ammonium N influences the uptakes, translocations, subcellular distributions and chemical forms of Cd and Zn to mediate the Cd/Zn interactions in dwarf polish wheat (Triticum polonicum L.) seedlings. Chemosphere 2018, 193, 1164–1171. [Google Scholar] [CrossRef]
- Behera, S.K.; Singh, M.V.; Singh, K.N.; Todwal, S. Distribution variability of total extractable zinc in cultivated acid soils of India and their relationship with some selected soil properties. Geoderma 2011, 162, 242–250. [Google Scholar] [CrossRef]
- Rutkowska, B.; Szulc, W.; Sosulski, T.; Stępień, W. Soil micronutrient availability to crops affected by long-terminorganic and organic fertilizer applications. Plant Soil Environ. 2014, 60, 198–203. [Google Scholar] [CrossRef]
- Angelova, V.; Akova, V.; Artinova, N.; Ivanov, K. The Effect of Organic Amendments on Soil Chemical Characteristics. Bulg. J. Agric. Sci. 2013, 19, 958–971. [Google Scholar]
- Gallardo-Lara, F.; Nogales, R. Effect of the application of town refuse compost on the soil-plant system: A review. Biol. Wastes 1987, 19, 35–62. [Google Scholar] [CrossRef]
- Antoniadis, V.; Alloway, B.J. Evidence of heavy metal movementdown the profile of a heavily-sludged soil. Commun. Soil Sci. Plant Anal. 2003, 34, 1225–1231. [Google Scholar] [CrossRef]
- Zorpas, A.A.; Constantinides, T.; Vlyssides, A.G.; Haralambous, I.; Loizidou, M. Heavy metal uptake by natural zeolite and metals partitioning in sewage sludge compost. Bioresour. Technol. 2000, 72, 113–119. [Google Scholar] [CrossRef]
- Clemente, R.; Walker, D.J.; Bernal, M.P. Uptake of heavy metals and As by Brassica juncea grown in a contaminated soil in Aznaco´ llar (Spain). The effect of soil amendments. Environ. Pollut. 2005, 138, 46–58. [Google Scholar] [CrossRef]
- Chung, J.B.; Cho, H.Y. Content and Availability of Micronutrients in Manure-based Composts. Korean. J. Soil Sci. Fert. 2006, 39, 230–236. [Google Scholar]
- Sorrenti, G.; Toselli, M.; Marangoni, B. Use of compost to manage Fe nutrition of pear trees grown in calcareous soil. Sci. Hortic. 2012, 136, 87–94. [Google Scholar] [CrossRef]
- Iskander, A.L.; Khald, E.M.; Sheta, A.S. Zinc and manganese sorption behavior by natural zeolite and bentonite. Ann. Agric. Sci. 2011, 56, 43–48. [Google Scholar] [CrossRef]
- Khan, A.G.; Kuek, C.; Chandhry, T.M.; Khoo, C.S.; Hayes, W.J. Role of plants, mycorrhizae and phytochelators in heavy metal contaminated land remediation. Chemosphere 2000, 41, 197–207. [Google Scholar] [CrossRef]



| Soil Type | Texture | pH | E.C. mS cm−1 | Org. Matter g kg−1 | CaCO3 % | N mg g−1 | P-Olsen mg kg−1 | Exchangeable Cations | DTPA Extractable Micronutrients | ||||||
|---|---|---|---|---|---|---|---|---|---|---|---|---|---|---|---|
| K | Mg | Ca | Na | Zn | Mn | Fe | Cu | ||||||||
| cmol kg−1 | mg kg−1 | ||||||||||||||
| Ac-LT | SL | 5.6 | 0.79 | 15.07 | - | 0.95 | 47 | 0.44 | 1.1 | 0.87 | 0.11 | 2.99 | 7.21 | 57.2 | 20.1 |
| Al-HT | SC | 7.7 | 1.31 | 7.82 | 11.6 | 0.71 | 14 | 0.72 | 1.8 | 2.38 | 0.12 | 1.64 | 18.54 | 19.3 | 2.47 |
| Treatment Combinations a/a | Chemical Fertilization | Compost | Zeolite |
|---|---|---|---|
| 1 | F0 | C0 | Z0 |
| 2 | F0 | C10 | Z0 |
| 3 | F0 | C0 | Z2 |
| 4 | F0 | C10 | Z2 |
| 5 | F0 | C0 | Z5 |
| 6 | F0 | C10 | Z5 |
| 7 | F | C0 | Z0 |
| 8 | F | C10 | Z0 |
| 9 | F | C0 | Z2 |
| 10 | F | C10 | Z2 |
| 11 | F | C0 | Z5 |
| 12 | F | C10 | Z5 |
| pH (1:5) | 8.2 | Total Mg, (%) | 0.32 |
| Organic carbon, % | 49.4 | Total Na, (%) | 0.02 |
| Solids, % | 46 | Total Fe, (mg/kg) | 1495 |
| EC, mS cm−1 (1:5) | 0.95 | Total Cu, (mg/kg) | 65 |
| Total N, (%) | 2.31 | Total Zn, (mg/kg) | 79 |
| Total K, (%) | 2.9 | Total Mn, (mg/kg) | 120 |
| Total P, (%) | 0.53 | Total B, (mg/kg) | 654 |
| pH | 7.31 |
| CEC | 187 cmol(+)/kg |
| Size of Granules | 0–0.15 mm |
| Moisture content | 11.9% |
| Content of clinoptilolite | 87% |
| Residue on Sieve 0.15 mm | 0.8% |
| F Value | |||||||||||
|---|---|---|---|---|---|---|---|---|---|---|---|
| AFW (b) | pH (b) | EC (b) | SOM (b) | TN (b) | |||||||
| Source (a) | df | Ac-LT | Al-HT | Ac-LT | Al-HT | Ac-LT | Al-HT | Ac-LT | Al-HT | Ac-LT | Al-HT |
| Fertilization (F) | 1 | 11.70 ** | 10.107 ** | 457.143 *** | 101.769 *** | 327.07 **** | 150.388 *** | 0.04 NS | 21.951 ** | 0.55 NS | 3.224 NS |
| Compost (C) | 1 | 23.03 *** | 24.328 *** | 257.143 *** | 3.769 NS | 8.58 * | 0.078 NS | 9.35 * | 19.608 ** | 20.36 ** | 157.742 *** |
| Zeolite (Z) | 2 | 1.54 NS | 1.641 NS | 0.018 NS | 2.026 NS | 27.11 *** | 2.015 NS | 2.74 NS | 5.390 * | 1.26 NS | 1.862 NS |
| F × C | 1 | 8.25 ** | 0.096 NS | 18.286 *** | 7.410 * | 0.31 NS | 0.015 NS | 0.82 NS | 1.160 NS | 0.37 NS | 0.469 NS |
| F × Z | 2 | 5.58 ** | 1.999 NS | 0.768 NS | 7.154 * | 26.61 *** | 1.743 NS | 0.65 NS | 6.226 * | 0.37 NS | 0.125 NS |
| C × Z | 1 | 0.57 NS | 0.308 NS | 0.375 NS | 5.769 * | 2.60 NS | 0.209 NS | 0.27 NS | 1.472 NS | 0.95 NS | 0.807 NS |
| F × C × Z | 2 | 1.22 NS | 0.542 NS | 1.839 NS | 7.410 * | 2.54 NS | 0.441 NS | 0.35 NS | 1.489 NS | 0.70 NS | 2.302 NS |
| Main factor | Mean values ± std | ||||||||||
| Fertilization (F) | F0 | 40.3±8.37 b (c) | 27.4±3.65 a | 6.65±0.39 a | 7.60±0.14 a | 1.0±0.27 b | 1.5±0.19 b | 2.4±1.1 | 1.7±0.79 b | 1.09±0.36 | 1.09±0.57 |
| F | 45.8±6.64 a | 23.0±5.02 b | 5.31±0.68 b | 7.30±0.08 b | 4.7±1.75 a | 6.9±1.50 a | 2.3±1.4 | 3.5±2.04 a | 1.01±0.30 | 1.15±0.50 | |
| Compost (C) | C 0% | 39.2±7.57 b | 21.5±4.59 b | 5.43±0.84 b | 7.46±0.20 | 2.2±2.27 b | 4.1±1.12 | 1.6±1.34 b | 1.8±1.46 b | 0.82±0.17 b | 0.59±0.15 b |
| C 10% | 47.9±6.16 a | 28.0±4.82 a | 6.48±0.57 a | 7.53±0.15 | 3.8± 2.36 a | 4.3±2.98 | 3.0±0.72 a | 3.4±1.68 a | 1.28±0.28 a | 1.55±0.25 a | |
| Zeolite (Z) | Z 0% | 41.6±9.99 b | 26.3±4.87 | 5.98±0.87 | 7.40±0.22 | 2.0±1.20 c | 3.7±1.47 | 2.1±0.78 | 1.7±1.17 b | 0.40±040 | 1.14±0.54 |
| Z 2% | 46.1±5.12 a | 22.9±2.82 | 5.98±0.95 | 7.44±0.20 | 2.9±2.0 b | 4.2±1.98 | 3.1±1.55 | 3.1±2.06 a | 0.33±0.33 | 1.10±0.62 | |
| Z 5% | 42.4±7.44 ab | 25.7±3.97 | 5.97±0.90 | 7.46±0.10 | 3.8±3.06 a | 4.8±1.69 | 1.8±1.14 | 3.0±1.80 a | 0.24±0.24 | 0.97±0.48 | |
| F Value | |||||||||
|---|---|---|---|---|---|---|---|---|---|
| LN (b) | LP (b) | LK (b) | LNa (b) | ||||||
| Source (a) | df | Ac-LT | Al-HT | Ac-LT | Al-HT | Ac-LT | Al-HT | Ac-LT | Al-HT |
| Fertilization (F) | 1 | 92.461 *** | 5.612 * | 3.513 NS | 0.042 NS | 1.999 NS | 0.106 NS | 11.449 * | 0.039 |
| Compost (C) | 1 | 9.536 ** | 1.749 NS | 1.273 NS | 14.439 ** | 5.020 * | 24.156 *** | 0.496 | 15.011 * |
| Zeolite (Z) | 2 | 1.282 NS | 1.447 NS | 4.265 * | 4.440 * | 9.293 ** | 5.807 * | 5.320 * | 9.821 * |
| F × C | 1 | 46.695 *** | 2.634 NS | 7.670 * | 0.482 NS | 8.937 * | 0.413 NS | 5.577 * | 2.151 |
| F × Z | 2 | 3.304 NS | 1.933 NS | 1.284 NS | 3.206 NS | 3.754 NS | 2.902 NS | 2.248 | 2.606 |
| C × Z | 1 | 0.324 NS | 1.104 NS | 2.994 NS | 0.274 NS | 7.547 * | 0.379 NS | 0.357 | 1.174 |
| F × C × Z | 2 | 0.337 NS | 1.163 NS | 8.200 ** | 0.143 NS | 12.172 ** | 0.360 NS | 1.513 | 1.835 |
| Main factor | Mean values ± std (c) | ||||||||
| Fertilization (F) | F0 | 2.72 ± 0.63 b | 2.75 ± 0.63 b | 0.09 ± 0.03 | 0.18 ± 0.01 | 11.04 ± 2.19 | 5.43 ± 1.99 | 0.205 ± 0.11a | 0.20 ± 0.05 |
| F | 3.76 ± 0.34 a | 3.16 ± 0.22 a | 0.12 ± 0.05 | 0.17 ± 0.02 | 13.43 ± 4.15 | 5.68 ± 0.48 | 0.409 ± 0.19 b | 0.23 ± 0.06 | |
| Compost (C) | C 0% | 3.07 ± 0.97 b | 2.84 ± 0.69 | 0.10 ± 0.05 | 0.10 ± 0.08 b | 10.34 ± 5.11 b | 2.82 ± 0.60 b | 0.33 ± 0.15 | 0.15 ± 0.04 b |
| C 10% | 3.41 ± 0.33 a | 3.07 ± 0.18 | 0.12 ± 0.03 | 0.25 ± 0.21 a | 14.13 ± 5.56 a | 8.18 ± 1.69 a | 0.29 ± 0.18 | 0.31 ± 0.05 a | |
| Zeolite (Z) | Z 0% | 3.21 ± 0.64 | 3.09 ± 0.27 | 0.08 ± 0.05 b | 0.13 ± 0.12 b | 8.02 ± 6.15 b | 4.53 ± 0.40 b | 0.17 ± 0.081 b | 0.20 ± 0.045 b |
| Z 2% | 3.16 ± 0.95 | 2.75 ± 0.74 | 0.14 ± 0.04 a | 0.11 ± 0.14 b | 16.90 ± 10.79 a | 3.88 ± 1.54 b | 0.35 ± 0.11 a | 0.14 ± 0.025 b | |
| Z 5% | 3.36 ± 0.64 | 3.03 ± 0.39 | 0.13 ± 0.05 a | 0.25 ± 0.11 a | 11.78 ± 2.53 b | 8.10 ± 2.54 a | 0.40 ± 0.15 a | 0.35 ± 0.06 a | |
| F Value | |||||||
|---|---|---|---|---|---|---|---|
| P-Olsen (b) | K Exch (b) | Na Exch(b) | |||||
| Source (a) | df | Ac-LT | Al-HT | Ac-LT | Al-HT | Ac-LT | Al-HT |
| Fertilization (F) | 1 | 58.869 *** | 429.170 *** | 332.569 *** | 16.670 ** | 4283 | 11.121 * |
| Compost (C) | 1 | 7.056 * | 399.925 *** | 21.786 ** | 4.680 * | 6.967 * | 12.847 * |
| Zeolite (Z) | 2 | 0.546 NS | 1.525 NS | 4.912 * | 14.637 ** | 20.315 *** | 222.721 *** |
| F × C | 1 | 0.101 NS | 0.176 NS | 0.497 NS | 0.023 NS | 0.972 | 12.089 * |
| F × Z | 2 | 0.149 NS | 0.272 NS | 0.572 NS | 17.07 *** | 0.407 | 58.634 *** |
| C × Z | 1 | 0.014 NS | 0.450 NS | 0.122 NS | 0.241 NS | 5.900 * | 16.497 *** |
| F × C × Z | 2 | 0.333 NS | 0.076 NS | 1.292 NS | 2.215 NS | 0.550 | 5.536 * |
| Main factor | Mean values ± std (c) | ||||||
| Fertilization (F) | F0 | 56.4 ± 8.01 b | 23.14 ± 10.77 b | 1.10 ± 0.87 b | 0.96 ± 0.91 b | 1.27 ± 0.59 | 1.41 ± 0.41 a |
| F | 89.3 ± 12.13 a | 44.64 ± 11.34 a | 1.84 ± 1.01 a | 2.04 ± 1.50 a | 1.52 ± 0.48 | 1.74 ± 0.24 b | |
| Compost (C) | C 0% | 67.2 ± 17.14 b | 23.51 ± 11.17 b | 1.64 ± 1.12 a | 1.81 ± 1.47 a | 1.65 ± 0.68 a | 1.73 ± 0.32 b |
| C 10% | 78.6 ± 20.83 a | 44.26 ± 11.71 a | 1.25 ± 0.81 b | 1.32 ± 1.12 b | 1.20 ± 0.31 b | 1.32 ± 0.34 a | |
| Zeolite (Z) | Z 0% | 72.2 ± 21.29 | 34.20 ± 15.51 | 0.52 ± 0.25 c | 1.49 ± 0.89 b | 1.02 ± 0.16 a | 0.62 ± 0.11a |
| Z 2% | 70.6 ± 18.86 | 32.66 ± 15.78 | 1.32 ± 0.52 b | 2.36 ± 1.18 a | 1.24 ± 0.28 a | 1.31 ± 0.94 b | |
| Z 5% | 75.9 ± 20.68 | 34.81 ± 16.98 | 2.41 ± 1.10 a | 0.85 ± 1.18 c | 1.92 ± 0.60 b | 2.86 ± 0.60 c | |
| F Value | |||||||||
|---|---|---|---|---|---|---|---|---|---|
| DTPA-Fe (b) | DTPA-Cu (b) | DTPA-Zn (b) | DTPA-Mn (b) | ||||||
| Source (a) | df | Ac-LT | Al-HT | Ac-LT | Al-HT | Ac-LT | Al-HT | Ac-LT | Al-HT |
| Fertilization (F) | 1 | 0.139 NS | 25.222 *** | 3.409 NS | 9.547 * | 18.078 ** | 0.932 NS | 67.875 *** | 28.883 *** |
| Compost (C) | 1 | 10.191 ** | 14.106 ** | 13.610 ** | 2.451 NS | 2.175 NS | 10.594 * | 31.816 *** | 3.224 NS |
| Zeolite (Z) | 2 | 2.481 NS | 5.767 * | 0.974 NS | 1.403 NS | 0.332 NS | 0.660 NS | 6.271 * | 3.067 NS |
| F × C | 1 | 10.558 ** | 0.422 NS | 0.033 NS | 1.257 NS | 0.090 NS | 0.831 NS | 15.430 ** | 0.188 NS |
| F × Z | 2 | 17.301 *** | 0.611 NS | 0.976 NS | 0.087 NS | 2.770 NS | 0.168 NS | 7.096 ** | 0.483 NS |
| C × Z | 1 | 2.194 NS | 0.191 NS | 0.908 NS | 0.583 NS | 1.839 NS | 0.444 NS | 15.780 *** | 0.806 NS |
| F × C × Z | 2 | 0.323 NS | 0.167 NS | 0.286 NS | 1.560 NS | 0.577 NS | 0.751 NS | 24.316 *** | 0.602 NS |
| Main Factor | Mean Values ± std (c) | ||||||||
| Fertilization (F) | F0 | 54.82 ± 9.22 | 20.44 ± 3.31 a | 21.7 ± 3.00 | 2.20 ± 0.31 a | 2.2 ± 0.31 b | 1.9 ± 0.40 | 1.94 ± 1.23 b | 17.1 ± 3.32 a |
| F | 55.71 ± 14.64 | 14.52 ± 4.40 b | 23.7 ± 3.47 | 1.67 ± 0.52 b | 3.8 ± 0.26 a | 2.1 ± 0.42 | 6.43 ± 1.42 a | 11.8 ± 1.66 b | |
| Compost (C) | C 0% | 59.54 ± 12.11 a | 15.27 ± 3.42 b | 24.8 ± 2.61 a | 2.15 ± 0.53 | 3.1 ± 0.39 | 1.8 ± 0.37 b | 5.72 ± 1.55 a | 13.6 ± 1.16 |
| C 10% | 51.04 ± 10.6 b | 19.69 ± 5.19 a | 20.7 ± 2.74 b | 1.78 ± 0.45 | 3.3 ± 0.33 | 2.4 ± 0.28 a | 2.64 ± 0.56 b | 15.4 ± 0.97 | |
| Zeolite (Z) | Z 0% | 53.72 ± 11.17 | 19.73 ± 3.64 a | 22.4 ± 2.70 | 2.13 ± 0.35 | 3.4 ± 0.39 | 1.9 ± 0.40 | 5.06 ± 1.45 a | 16.2 ± 1.12 |
| Z 2% | 52.76 ± 8.24 | 17.84 ± 4.48 ab | 22.0 ± 3.63 | 1.80 ± 0.51 | 3.2 ± 0.29 | 2.2 ± 0.47 | 4.66 ± 2.07 a | 13.6 ± 1.54 | |
| Z 5% | 59.41 ± 15.77 | 14.87 ± 5.53 b | 23.8 ± 3.7 | 1.86 ± 0.60 | 3.1 ± 0.44 | 1.9 ± 0.36 | 2.84 ± 0.81 b | 13.7 ± 1.24 | |
| F Value | |||||||||
|---|---|---|---|---|---|---|---|---|---|
| LFe (b) | LCu (b) | LZn (b) | LMn (b) | ||||||
| Source (a) | df | Ac-LT | Al-HT | Ac-LT | Al-HT | Ac-LT | Al-HT | Ac-LT | Al-HT |
| Fertilization (F) | 1 | 3.848 NS | 4.498 * | 1.820 NS | 3.881 NS | 9.230 * | 4.863 * | 192.236 *** | 3.574 NS |
| Compost (C) | 1 | 3.955 NS | 1.895 NS | 1.324 NS | 1.093 NS | 21.378 ** | 0.470 NS | 228.966 *** | 3.533 NS |
| Zeolite (Z) | 2 | 0.836 NS | 0.800 NS | 0.607 NS | 1.120 NS | 2,946 | 0.401 NS | 1.734 NS | 0.023 NS |
| F × C | 1 | 2.037 NS | 2.596 NS | 1.429 NS | 0.102 NS | 4.795 * | 0.023 NS | 17.507 *** | 7.129 * |
| F × Z | 2 | 0.431 NS | 0.914 NS | 0.024 NS | 2.003 NS | 4.595 * | 0.745 NS | 4.796 * | 1.638 NS |
| C × Z | 1 | 0.027 NS | 0.498 NS | 0.039 NS | 1.475 NS | 2.8 NS | 1.794 NS | 2.818 NS | 0.359 NS |
| F × C × Z | 2 | 0.011 NS | 0.580 NS | 0.387 NS | 1.349 NS | 4.808 * | 0.199 NS | 5.270 * | 0.405 NS |
| Main factor | Mean values ± std (c) | ||||||||
| Fertilization (F) | F0 | 503 ± 88 | 20.4 ± 3.31 a | 16.263.59 | 2.2 ± 0.31 | 44.4 ± 10.3 b | 36.7 ± 4.37 a | 77 ± 29.2 b | 103 ± 12.3 |
| F | 383 ± 72 | 14.5 ± 2.40 b | 18.53 ± 3.61 | 1.7 ± 0.52 | 61.3 ± 23.1 a | 25.7 ± 1.41 b | 417 ± 84.4 a | 126 ± 6.0 | |
| Compost (C) | C 0% | 382 ± 86 | 15.2 ± 3.42 | 16.43 ± 3.51 | 2.1 ± 0.53 | 65.6 ± 3.32 a | 32.9 ± 4.55 | 430 ± 38.5 a | 103 ± 13.4 |
| C 10% | 503 ± 95 | 19.6 ± 1.19 | 18.36 ± 3.79 | 1.8 ± 0.45 | 40.0 ± 4.77 b | 29.5 ± 2.30 | 62 ± 11.2 b | 126 ± 3.3 | |
| Zeolite (Z) | Z 0% | 450 ± 39 | 19.7 ± 3.64 | 18.69 ± 3.93 | 2.1 ± 0.35 | 56.9 ± 28.2 | 34.3 ± 4.9 | 266 ± 118 | 110 ± 6.4 |
| Z 2% | 487 ± 44 | 17.8 ± 2.48 | 16.57 ± 3.21 | 1.8 ± 0.51 | 58.3 ± 27.4 | 29.9 ± 4.4 | 261 ± 110 | 115 ± 16.7 | |
| Z 5% | 391 ± 28 | 14.8 ± 3.53 | 16.03 ± 4.01 | 1.9 ± 0.60 | 43.4 ± 17.8 | 29.3 ± 4.1 | 215 ± 85 | 112 ± 13.4 | |
Disclaimer/Publisher’s Note: The statements, opinions and data contained in all publications are solely those of the individual author(s) and contributor(s) and not of MDPI and/or the editor(s). MDPI and/or the editor(s) disclaim responsibility for any injury to people or property resulting from any ideas, methods, instructions or products referred to in the content. |
© 2023 by the authors. Licensee MDPI, Basel, Switzerland. This article is an open access article distributed under the terms and conditions of the Creative Commons Attribution (CC BY) license (https://creativecommons.org/licenses/by/4.0/).
Share and Cite
Kavvadias, V.; Ioannou, Z.; Vavoulidou, E.; Paschalidis, C. Short Term Effects of Chemical Fertilizer, Compost and Zeolite on Yield of Lettuce, Nutrient Composition and Soil Properties. Agriculture 2023, 13, 1022. https://doi.org/10.3390/agriculture13051022
Kavvadias V, Ioannou Z, Vavoulidou E, Paschalidis C. Short Term Effects of Chemical Fertilizer, Compost and Zeolite on Yield of Lettuce, Nutrient Composition and Soil Properties. Agriculture. 2023; 13(5):1022. https://doi.org/10.3390/agriculture13051022
Chicago/Turabian StyleKavvadias, Victor, Zacharias Ioannou, Evangelia Vavoulidou, and Christos Paschalidis. 2023. "Short Term Effects of Chemical Fertilizer, Compost and Zeolite on Yield of Lettuce, Nutrient Composition and Soil Properties" Agriculture 13, no. 5: 1022. https://doi.org/10.3390/agriculture13051022
APA StyleKavvadias, V., Ioannou, Z., Vavoulidou, E., & Paschalidis, C. (2023). Short Term Effects of Chemical Fertilizer, Compost and Zeolite on Yield of Lettuce, Nutrient Composition and Soil Properties. Agriculture, 13(5), 1022. https://doi.org/10.3390/agriculture13051022

