Next Article in Journal
Remote Monitoring of Crop Nitrogen Nutrition to Adjust Crop Models: A Review
Previous Article in Journal
Effect of Cropping Systems and Environment on Phenolic Acid Profiles and Yielding of Hybrid Winter Wheat Genotypes
 
 
Font Type:
Arial Georgia Verdana
Font Size:
Aa Aa Aa
Line Spacing:
Column Width:
Background:
Article

Single-Pass Grain Corn Harvest and Stubble Shredding: Performance of Three Corn Header Configurations as Effected by Harvesting Speed and Cutting Height

1
Institute of Agricultural Engineering, Christian-Albrechts-University of Kiel, 24118 Kiel, Germany
2
Department of Agricultural Engineering, Kiel University of Applied Sciences, 24783 Osterrönfeld, Germany
3
Lehrfach Variationsstatistik, Christian-Albrechts-University of Kiel, 24118 Kiel, Germany
*
Author to whom correspondence should be addressed.
Agriculture 2023, 13(4), 833; https://doi.org/10.3390/agriculture13040833
Submission received: 27 February 2023 / Revised: 28 March 2023 / Accepted: 30 March 2023 / Published: 6 April 2023
(This article belongs to the Section Agricultural Technology)

Abstract

This study aims to evaluate the efficiency of a new type of corn header equipped with flail knives that shreds corn stubble close to the ground. A field trial was carried out to quantify the influence of the shredding tool design (flail knives, standard knives, horizontal choppers disengaged), harvesting speed (1.5, 3.0, 4.5, 6.0 km/h) and cutting height (approx. 20 cm variation, 4 levels) on the power consumption of the corn header, engine load and fuel consumption of the combine harvester. The regression analyses revealed that modifications of the shredding tool assembly have significant effects on the parameters of the functional relationships. The power consumption of the flail knives configuration was 15 kW/row unit at 6 km/h at the lowest cutting height setting, making it compatible with most current combine harvester models. The additional power demand and fuel consumption that arise when switching to the new shredding tool design (flail knives) show a wide range, depending on the initial situation. Compared to the standard knives at 6 km/h, the additional power consumption was 3.6–5.5 kW/row unit and the additional fuel consumption was 2.6–3.9 L/ha. Compared to the configuration with disengaged horizontal choppers, it was 5.3–6.6 kW/row unit and 3.9–5.1 L/ha, respectively. At 90% engine load the additional power requirement was 1.6–3.1 kW/row unit and the additional fuel consumption was 2.9–5.6 L/ha compared to the standard knives configuration and 2.6–3.6 kW/row unit and 5.6–7.2 L/ha respectively, compared to the configuration with disengaged horizontal choppers.

1. Introduction

The European Corn Borer (ECB) is one of the most important insect pests in corn worldwide [1,2,3]. In Germany, the ECB spread starting from Baden-Württemberg and Bavaria towards the north and northeast, where it has reached the Baltic coast of Mecklenburg-Western Pomerania and Schleswig-Holstein. For the year 2013, infestation of corn was documented nationwide for approx. 90% of all districts [4,5]. In European affected areas, the ECB occurs in approx. 20% (Hungary) to 60% (Spain) of fields [2]. Brookes [6] estimated the annually affected corn-producing acreage in the EU due to economically relevant infestation by boring insects to be 2.25 to 4 million hectares, depending on annually fluctuating infestation levels. Around 1900, the ECB was introduced into the United States. Since then, the ECB has spread steadily southwards to the Atlantic coast and westwards to the Rocky Mountains. It has also been able to spread northwards as far as Canada, being found in the southeastern provinces of Nova Scotia, New Brunswick, and Quebec, all the way to Alberta in the west [1]. In the course of climate change, the ECB could continue to spread. Trnka et al. [7] predicted a rapid increase in areas suitable for univoltine populations in the next 20 to 30 years. Depending on the scenario considered, almost the entire agricultural area could be suitable for the ECB between 2040 and 2075. Furthermore, under future climate scenarios, the area suitable for producing grain corn and thus the area with host plants is likely to increase. The primary damage caused by the ECB is due to the feeding of its larvae inside the corn stalk and on the ears of corn, resulting in impaired water, nutrient, and assimilate transport. The mining activity inside the stem decreases the mechanical stability of the corn plant, leading to stem breakage. This results in difficult harvesting conditions and increased ear losses. [1,3,8]. If heavily infested, yield losses in grain corn can range from 5–40% [2,9,10]. In addition to direct damage, injuries to the corn plant caused by the ECB facilitate infection by fungal pests such as Fusarium [8,11,12,13,14].
The most effective control method is the cultivation of genetically modified Bt-corn. Bt-corn can reach efficiencies up to 97–100% against ECB [9,15]. In the U.S. and Canada, about 90% of corn acreage is planted with Bt-corn [1]. But this control method is not available in most of the EU [16]. For direct control of the European corn borer, only the use of chemical and biological insecticides and biological control agent (Trichogramma spp.) remains, whose efficiencies are lower than that of Bt-corn and influenced by year-specific effects [15,17,18,19]. The ECB overwinters as full-grown larvae inside their tunnels in the corn stalks. At the time of corn harvesting, the majority of the larvae are found in the corn stalk from 30 cm above field surface, or second node, downwards [20,21]. Therefore, shredding of corn stubble has been recommended for a long time as a preventive control measure reducing the populations of overwintering ECB and to increase the decomposition rate [5,22].
Grain corn is harvested almost exclusively by combine harvesters with corn headers. In the process, the corn header separates the ears from the stalks. The majority of the residual plant is chopped up more or less intensively and deposited on the field. The intensity of chopping depends significantly on the configuration of the corn header. This applies to both the design of the snapping rolls with cutting edges or blades and the optional equipment with horizontal choppers. It should be noted that there are regional differences in the preferred configurations of corn headers. In North America, only about 5% are delivered with horizontal choppers, while in Europe it is about 90% [23]. The configuration of the corn header also affects the power demand. Handler et al. [24] compared three different models of six-row corn header for 70 cm row spacing (manufactured by Carl Geringhoff GmbH & Co. KG, Ahlen, Germany). The models were the Rota Disc (3-roller row units), the Horizon Star (3-roller row units with horizontal choppers) and the Mais Star (2-roller row units with horizontal choppers). The field trail was carried out at a harvesting speed of 7 km/h. The average power consumption ranged from 43.9–60.3 kW (7.3–10.1 kW/row unit). Since the currently available corn headers do not process the corn stubble adequately or not at all, an additional pass is necessary to break down the corn stubble for successful control of the ECB. This additional pass incurs significant costs for personnel, machinery, and fuel.
Flail mowers are often used for this task, especially in Europe. There are various types of flail mowers which differ in their working width, the design and arrangement of the shredding tools and thus in the power requirement [25]. In the past decade, there have been multiple field tests and studies on power consumption and processing quality of corn stubble and stover for various types of flail mowers, but the majority of them have been published as gray literature. Grosa et al. [26] investigated four different models of flail mowers and one rotary cutter at driving speeds of 6 and 10 km/h to process corn residue (29 t/ha FM). The power consumption from the PTO of the tractor ranged from approx. 30 to 140 kW, normalized for a working width of 2.8 m (i.e., approx. 11–50 kW/m working width). Uppenkamp et al. [27] tested four types of flail mowers and three types of rotary cutters to process high moisture CCM corn residue at 8 km/h. The power consumption from the PTO of the tractor ranged from 17.59 to 43.04 kW/m working width.
Most of the combine harvesters continuously run over at least two rows of corn stubble during the cutting pass, flattening the stubble on the ground. In addition, turning maneuvers on the headland and transport vehicles such as grain carts run over additional stubble. As a result, a significant portion of the corn stubble is flat to the ground and not reachable for chopping or shredding processes behind the harvest. In the case of an 8-row corn header, more than 30% of the corn stubble can be affected. Due to these effects the processing quality of the flail mowers is negatively influenced and a proportion of the stubble remains flattened and in longer form because significant amounts with an intact internode remain in the tire tracks, serving as overwintering quarters for the ECB [26]. For this reason, the idea of combining the harvest and stubble shredding has existed for some time [28]. However, no corresponding technical solution has been commercially available so far.
The general aim of the current joint project was to close this gap and to develop and evaluate a new type of corn header with an integrated shredding system that breaks down corn stalks and stubble during the harvesting pass. Therefore, the Horizon Star* III (Carl Geringhoff GmbH & Co. KG, Ahlen, Germany) is optimized to operate close to the soil surface and equipped with a new type of tools for the horizontal choppers to shred the corn stubble during the harvesting pass. This method of shredding is not influenced by tire tracks and thus has the potential to improve the quality of stubble processing. At the same time, the additional pass to shred the corn stubble post-harvest, using a flail mower or comparable devices, could be substituted. On the other hand, the power consumption of the corn header is increased by the additional function of stubble shredding.
Recently, a comparable technical approach has been presented. The Stubble Cracker System (Claas Selbstfahrende Erntemaschinen GmbH, Harsewinkel, Germany) combines two rotating skids into one unit. Each skid follows one row of corn stubble. For an eight-row corn header, four units are required. The additional assemblies are mounted on swinging arms at the rear of the corn header to allow up and down movements to follow the ground contour, assisted by hydraulic cylinders. Each skid is equipped with two hammers to shred the corn stubble. Herter and Schwaer [29] compared the single-step method in the form of the Stubble Cracker System with the conventional two-step method consisting of a standard corn header followed by a tractor driven flail mower. The comparison resulted in a 35% reduction in CO2 emissions using the single-step method instead of the conventional two-step method. However, it was not reported under which conditions (i.e., harvesting speed, residue yield, etc.) the field trail was conducted and which type of flail mower was used for the comparison.
The aim of this paper—as one part of the above mentioned current joint project—is to investigate the influence of harvesting speed, cutting height and shredding tool design on the power consumption of the corn header and thus on the engine load and fuel consumption of the combine harvester, as well as the area performance. For this purpose, a field trial was carried out to investigate the corn header Horizon Star* III in three different configurations regarding the tools of the horizontal choppers (flail knives, standard knives, and horizontal choppers disengaged).

2. Materials and Methods

2.1. Experimental Approach

This field trial was conducted near Ennigerloh in North Rhine-Westphalia, Germany (51.865239°, 7.967814°). Three corn header configurations (flail knives/standard knives/choppers disengaged) at four different harvesting speeds (1.5/3.0/4.5/6.0 km/h) and at four different cutting height settings (59.65/67.85/81.80/95.61) and three replications (i.e., 144 plots) were evaluated. The experiment was carried out in a three-factorial, hierarchical randomized split-plot design with three complete blocks where the levels of cutting height as main plots nested in blocks, the levels of corn header configuration as subplots nested in main plots and the levels of harvesting speed as sub-subplots nested in subplots (Figure 1). Accordingly, each main plot contains three subplots with 175 m in length and 6 m (8 rows) in width, each subplot contains four sub-subplots with 25 m in length and 6 m (8 rows) in width and 15 m between each other to variate harvesting speed according to the randomization plan. Each combination of corn header configuration and cutting height as well as corn header configuration and harvesting speed were performed with identical machine settings (Auto Contour set value for the cutting height and cruise control settings for harvesting speed).
The subplots’ boundaries were surveyed prior to harvesting using the SST FieldRover II 10.4 (SST Development Group Inc., Stillwater, OK, USA) surveying software, which stores GPS positioning data transmitted by the RTK-GPS rover (AgGPS 442; Trimble Inc., Sunnyvale, CA, USA) to the laptop. Afterwards, the boundaries of the sub-subplots have been constructed using ArcGIS Pro 2.8.3 (Esri Inc., Redlands, CA, USA). For orientation during the field trial the experimental plan was displayed using a tablet pc (Samsung Galaxy Tab A7) and Google Earth for Android with live positioning data of the combine harvester, transmitted from the RTK-GPS system AG-372 (Trimble Inc.) using a RS232 to Bluetooth converter.
The actual cutting heights according to the different corn header configurations were determined by measuring the corn stubble heights of five corn stubble per sub-subplot (i.e., 720 stubble). Due to the design of the different cutting tools, the different configurations of the corn header led to different textures of the remaining corn stubble. According to the desired effect, the flail knives strongly frayed the corn stubble. The standard knives, on the other hand, provided an even cutting surface. With the same cutting height settings, both cutting tools have the same cutting plane. With disengaged horizontal choppers, on the other hand, longer corn stubble are left behind, which are partly frayed on the upper side. For this reason, the height of the solid portion of the corn stubble was measured in addition to the total height. Corn stubble sections without any significant fraying are considered to be solid segments.
To estimate the amount of crop residues of the corn, samples of the crop residues of 3 m2 each were taken at four positions in the field and weighed. To determine the dry matter content, two additional samples of 500 g to 600 g were taken in each main plot. To estimate plant density, the number of corn plants within a row were counted over a distance of 10 m at four positions in the field.

2.2. Machinery and Machine Data Logging

The corn header Horizon Star* III used in this study has a working width of eight rows with a row spacing of 75 cm. The corn header is driven from both sides by PTO shafts, with four row units being driven from each side. In addition, the cross auger is driven by the PTO shaft on the left side of the machine. The Horizon Star* III uses the 3-roller Rota Disc® technology that shreds the corn stover by pulling the stalks through counter-rotating disc rotors with fifteen cutting discs that engage in the two slotted snapping rolls. Each row unit is equipped with a horizontal chopper, located in the front area to the right-hand side of the row unit, holding two cutting tools. The cutting tools of the horizontal choppers used for the Horizon Star* III have been adapted to hit and chop the corn stubble. The tool is designed with cutting edges, and at the same time, ends that are formed into dull flails hit the stubble at an angle, ripping it down to the root as the horizontal blade makes the cut (Figure 2).
The nominal rotational speed is 2630 rpm and the outer diameter of the horizontal choppers is 575 mm. To achieve a high quality in stubble processing the flail knives must follow ground contours as closely as possible. In addition, ground contact, which would lead to power demand peaks and high wear, must be avoided. Therefore, the corn header is equipped with the height control system Headsight Horizon (Headsight Inc., Bremen, IN, USA) that processes the signals of five poly arm height sensors. The height sensors are located near the tips of the snouts. In addition, the Foresight software module takes into account the reduced measuring range of the height sensors when the snout tips come close or into contact with the ground.
The Horizon Star* III has been tested in three different configurations regarding the tools of the horizontal choppers. In addition to the flail knife, the corn header was tested using standard knives as known from the previous model Horizon Star* II. As a third configuration the horizontal choppers were disengaged to imitate a corn header without horizontal choppers. Structural diagrams of the flail and standard knife are shown in the Appendix (Figure A1 and Figure A2).
To measure the power consumption of the corn header, torque and rotational speed sensors of the type NCTE Series 7000 and Series 5000 (NCTE AG) were respectively installed on each side of the corn header between the side gearboxes and the PTO shafts. The measured values were transmitted over CAN bus to the data logger of the type CANlogger 5002 (Proemion GmbH). Additionally, multiple signals such as engine load, hourly fuel consumption, wheel-based speed and cutting height settings (Auto Contour set value) were collected from the machine CAN bus of the combine harvester Claas Lexion 760 TT. To georeference the measurements, an RTK-GPS system AG-372 (Trimble Inc.) was used, which provides positioning data as CAN bus messages to the data logger. Signals used for this study are shown in Table 1. The measurements were carried out continuously for the entire field.

2.3. Data Processing

Due to the characteristics of CAN bus communication, different signals (SPNs; Suspect Parameter Numbers) from different Parameter Group Numbers (PGNs) are not transmitted simultaneously but as separate CAN bus messages in sequence. Additionally, the different signals collected from the CAN bus were transmitted at different rates (as shown in Table 1). Moreover, the observations are not equally spaced in time as transmission rates are not perfectly constant. Since the aim of this study is to analyze the relation between different signals, observations need to be taken at the same instants of time. For this reason, several steps of data processing were necessary.
The frame data recorded by the CAN bus data logger was converted into engineering units using the software DIAdem 2020 SP1 (National Instruments Corp., Austin, TX, USA) Bus Log Converter. Subsequently, the GPS positioning data and its corresponding timestamps were imported into ArcGIS Pro and overlaid with polygons representing the subplots’ boundaries. As a result, the time periods during which the combine harvester was inside the subplots were determined. This information was then used to add the subplot ID attribute to the entire dataset.
Next, the data were assigned to sub-subplots. To accomplish this, the wheel-based speed data of the combine harvester and the corresponding time stamps (which had been previously assigned to the subplots) were graphically displayed using DIAdem 2020 SP1. By manually identifying the plateaus of constant wheel-based speed within the graph, the time periods during which the combine harvester was inside the sub-subplots were determined. This information was then used to add the sub-subplot ID attribute to the entire dataset. A plausibility check was performed using the GPS positioning data and the polygons representing the sub-subplots’ boundaries. This procedure was designed to avoid the creation of data gaps due to potential outliers caused by simple filtering by speed and/or GPS position.
A downsampling operation was performed, mapping the values to a new monotonic increasing time channel with a sampling rate of 4 Hz, using the resampling function of DIAdem 2020 SP1. The sampling rate was selected based on the lowest approximated time delta between consecutive observations of the signals relevant for this study (Table 1). For physical measurement values such as fuel consumption or wheel-based speed, the mapping mode was set to analog curve with linear interpolation. For condition values such as cutting height set value, the mapping mode was set to stair curve, where the last value is retained until the original dataset contains a new value.
Finally, all values were rounded based on their number of decimal places in the raw dataset, and the dataset was reduced to the observations located within the sub-subplots. The total power consumption of the corn header was calculated using the speed and torque signals from the two NCTE sensors (Equation (1)).
P = 0.001 ( 2 π * M l * n l 60 + 2 π * M r * n r 60 )
P = total   power   consumption   of   the   corn   header   [ kW ] M l = t o r q u e   o n   t h e   l e f t   P T O   s h a f t   [ N m ] M r = t o r q u e   o n   t h e   r i g h t   P T O   s h a f t   [ N m ] n l = r o t a t i o n a l   s p e e d   o f   t h e   l e f t   P T O   s h a f t   [ 1 / m i n ] n r = r o t a t i o n a l   s p e e d   o f   t h e   r i g h t   P T O   s h a f t   [ 1 / m i n ]

2.4. Statistical Analysis

The statistical software R [30] was used to analyze and evaluate the processed raw data. The data evaluation started with the definition of appropriate statistical mixed models for the target variables:
  • power consumption of the corn header,
  • hourly fuel consumption and
  • engine load of the combine harvester [31,32].
The models included the factors:
  • corn header configuration (qualitative),
  • cutting height set value (quantitative) and
  • harvesting speed (quantitative),
  • as well as all their interaction effects (two-fold and three-fold) as fixed factors.
Based on an analysis of covariance [33], a model selection was conducted in order to delete unnecessary interaction effects (p-value > 0.1). The experimental design (Split-Plot) was taken into account by corresponding nested random effects. The residuals were assumed to be approximately normally distributed and to be heteroscedastic. These assumptions are based on a graphical residual analysis. Based on these models, a pseudo R² was calculated [34].

3. Results

The field trial was conducted on 13 October 2021. The corn stand was uniform with an average of 8.7 plants/m². After a rain shower the day before, the plants had not dried out completely. At the time of harvest, the dry matter content of the crop residue averaged 32.2%. After harvesting, a crop residue layer of approximately 28.2 t FM/ha or 9.1 t DM/ha remained in the field. Table 2 shows the realized heights of the corn stubble depending on the cutting height setting and corn header configuration. Due to the dull flails at the ends of the flail knives, the corn stubble is frayed (Figure A3). This effect is expressed in shorter solid segments of the corn stubble compared to the standard knives, which provided an even cutting surface and thus there are only little differences between the total height and the height of the solid segments of the corn stubble (Figure A4). With disengaged horizontal choppers, longer corn stubble are left behind, which are partly frayed on the upper side due to the absence of the horizontal choppers (Figure A5).

3.1. Power Consumption of the Corn Header

Figure 3 shows the estimated power consumption of the eight-row corn header (based on the regression model) depending on harvesting speed for the different corn header configurations and the different levels of cutting height. The dashed lines indicate the power consumption of the corn header, extrapolated up to the harvesting speed which corresponds to an engine load of the combine harvester of 90%. The pseudo R² of the regression model was 94.5% based on fixed factors (Table A1). The final data set contains 16 368 observations per signal, ranging from 56 to 244 observations per sub-subplot, mainly depending on harvesting speed.
As expected, across all cutting height levels and harvesting speed levels, the highest power consumption occurs when using the flail knives. At cutting height level 1 the power consumption increases with increasing harvesting speed from 64.2 kW (8.0 kW per row unit) at 1.5 km/h to 120.2 kW (15.0 kW per row unit) at 6 km/h. Due to significant interaction effects (two-fold and three-fold), each combination of cutting height level and corn header configuration results in an individual slope for power consumption of the corn header as a function of harvesting speed. In case of the corn header configuration with flail knives, the differences between the slopes are marginal, but slightly increase with increasing cutting height. Hence, a change in cutting height affects the power consumption of the corn header nearly the same at all levels of harvesting speed, it leads mainly to an offset in power consumption. The difference between cutting height level 1 and cutting height level 4 regarding the configuration with flail knives is 10.8 kW to 11.8 kW, which corresponds to a difference in total stubble height of 20 cm. Vice versa, a change in harvesting speed leads to nearly the same difference in power consumption of the corn header at each cutting heights level. When the harvesting speed is increased from 1.5 km/h to 6 km/h the power consumption of the corn header increases between 55.9 kW and 56.9 kW across all the cutting height levels.
In case of the corn header configuration with standard knives as well as with disengaged horizontal choppers, the individual slopes for power consumption of the corn header as a function of harvesting speed at the different levels of cutting heights decreases with increasing cutting height. This means that the difference in power consumption of the corn header between different cutting height levels increases with increasing harvesting speed. A change in cutting height affects the power consumption of the corn header more at higher harvesting speed levels. In case of the corn header configuration with standard knives at cutting height level 4, the power consumption of the corn header increases by 45.7 kW (30.3 kW to 76.0 kW) when increasing harvesting speed from 1.5 km/h to 6 km/h and at cutting height level 1 it increases by 52.5 kW (38.5 kW to 91.0 kW). Hence, the difference in power consumption between cutting heights level 1 and 4 (19 cm difference in total stubble height) increases from 8.2 kW at 1.5 km/h to 15.0 kW at 6 km/h. In case of the corn header configuration with disengaged horizontal choppers at cutting height level 4, the power consumption of the corn header increases by 41.2 kW (26.6 kW to 67.7 kW) when increasing harvesting speed from 1.5 km/h to 6 km/h and at cutting height level 1, it increases by 49.0 kW (29.0 kW to 78.0 kW). The difference in power consumption between cutting heights level 1 and 4 (18.8 cm difference in total stubble height) increases from 2.5 kW at 1.5 km/h to 10.3 kW at 6 km/h.
A comparison of the different corn header configurations shows that the configuration with flail knives has the highest slopes for power consumption as a function of harvesting speed at all cutting height levels, followed by the configuration with standard knives and the configuration with disengaged horizontal choppers. Equipping the corn header with horizontal choppers as well as adding additional dull flails to the ends of the knives not only causes an offset in power consumption but also increases the effect of harvesting speed on the power consumption of the corn header. It also means that the additional power required for stubble treatment increases with harvesting speed and depends on the cutting height settings. When harvesting at the lowest cutting height level 1, the additionally needed power to shred the stubble (in difference to the standard knives), increases by 3.4 kW (25.7 kW to 29.2 kW and 3.2 kW per row unit to 3.6 kW per row unit, respectively) when harvesting speed is increased from 1.5 km/h to 6 km/h.

3.2. Engine Load of the Combine Harvester

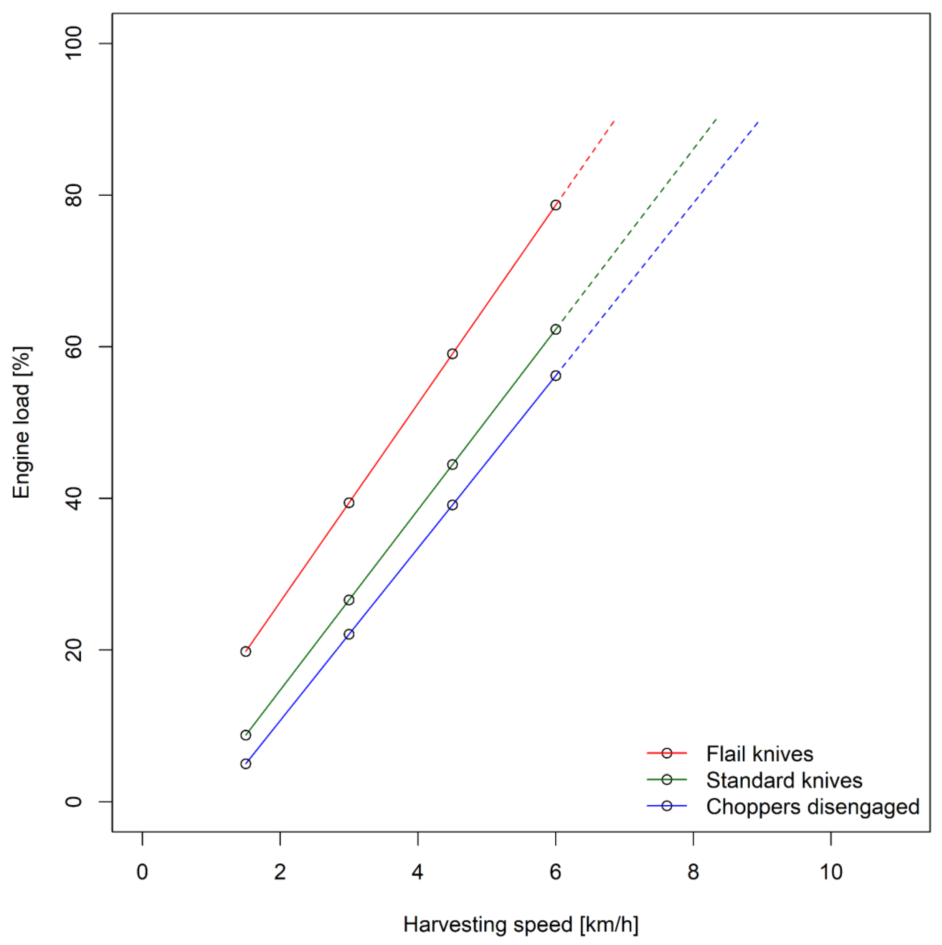
Figure 4 shows the estimated percentage engine load of the combine harvester (based on the regression model) depending on harvesting speed for the different corn header configurations at cutting height level 1. The remaining cutting height levels are shown in the appendix (Figure A6, Figure A7 and Figure A8) and show the same tendencies. The dashed lines indicate the power consumption of the corn header, extrapolated up to the harvesting speed which corresponds to an engine load of the combine harvester of 90%.
The pseudo R² of the regression model was 90.8% based on fixed factors (Table A2). The three-fold interaction effect as well as the interaction between the factors corn header configuration and cutting heights turned out to not be significant according to the conducted ANCOVA. These effects are therefore not included in the final regression model. Accordingly, a change in cutting height affects the engine load of the combine harvester the same way for each corn header configuration. For the same harvesting speed the differences in engine load between the corn header configurations are the same at each cutting height level.
As mentioned before, the corn header configuration with flail knives has the highest slopes for power consumption of the corn header as a function of harvesting speed at all cutting height levels, followed by the configuration with standard knives and the configuration with disengaged horizontal choppers. This can also be observed in the engine load of the combine harvester. Equipping the corn header with horizontal choppers as well as adding additional dull flails to the ends of the knives does not only cause an offset in engine load, but also increases the effect of harvesting speed on the engine load of the combine harvester.
The difference in percentage engine load between the corn header configurations with flail knives and the configuration with standard knives increases from 11% at 1.5 km/h to 16.4% at 6 km/h, which is due to the additional power required for stubble treatment. The difference between the standard knife configuration and the configuration with disengaged horizontal choppers increases from 3.8% at 1.5 km/h to 6.1% at 6 km/h and is due to the additional power requirement of the horizontal choppers. Accordingly, the combine harvester achieves different maximum harvesting speeds depending on the corn header configuration and cutting height.

3.3. Area-Related Fuel Consumption of the Combine Harvester

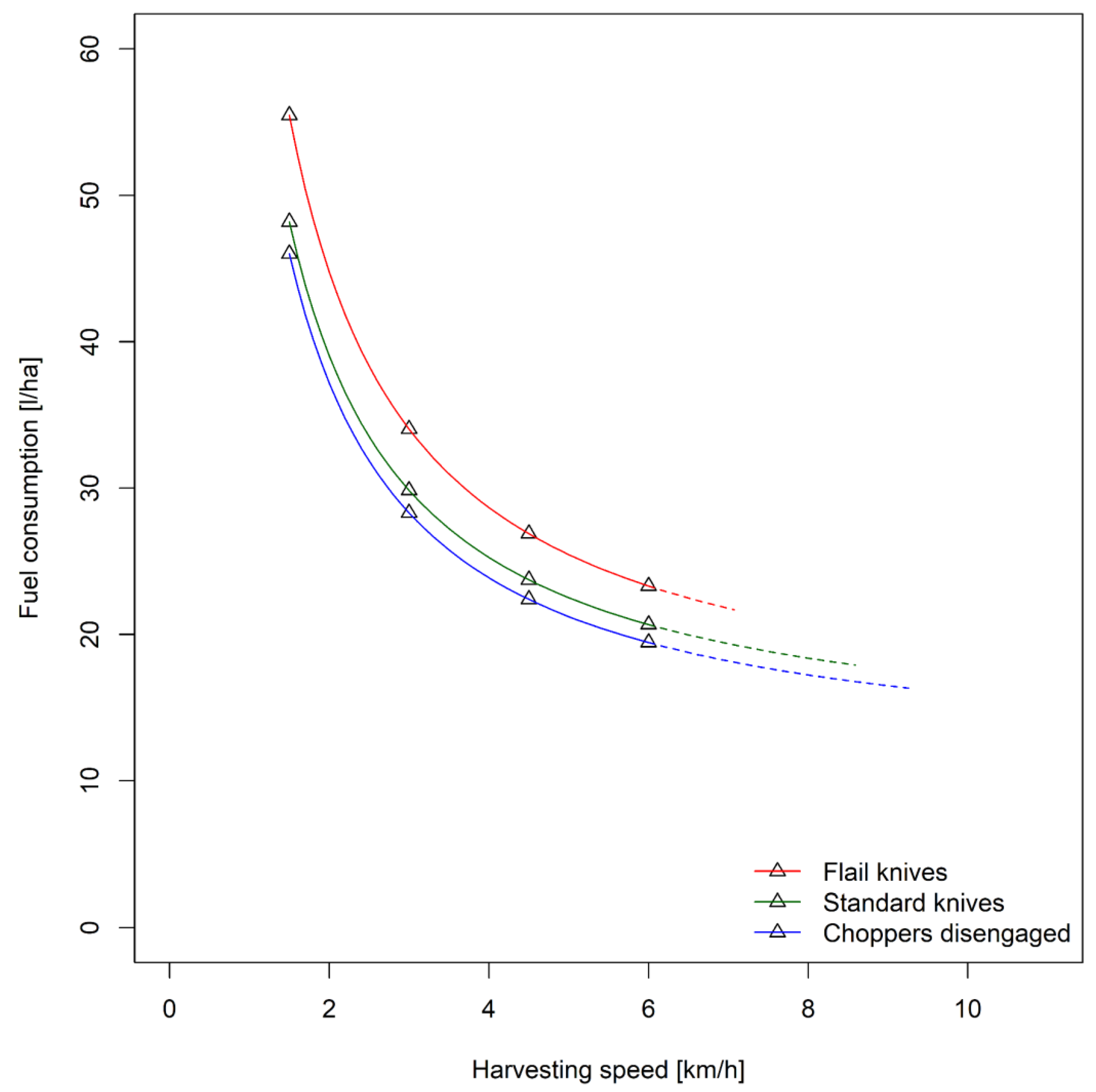
Figure 5 shows the fuel consumption per hectare of the combine harvester depending on harvesting speed for the different corn header configurations at cutting height level 1 (turning maneuvers not included). Fuel consumption per hectare was calculated based on the estimated hourly fuel consumption according to the regression model, the working width of the corn header and the harvesting speed. The pseudo R² of the regression model was 88.7% based on fixed factors (Table A3). The remaining cutting height levels are shown in the appendix (Figure A9, Figure A10 and Figure A11) and show the same tendencies. The dashed lines indicate the fuel consumption per hectare, extrapolated up to the harvesting speed, which corresponds to an engine load of the combine harvester of 90%. The regression model included the same fixed effects as the regression model for percentage engine load. Hence, a change in cutting height affects the fuel consumption of the combine harvester the same way for each corn header configuration. For the same harvesting speed the differences in fuel consumption between the corn header configurations are the same at each cutting height level.
As harvesting speed increases, so does the combine harvester’s hourly fuel rate and area performance. The hourly fuel consumption to cover the idle power requirement remains constant while the load-dependent fuel consumption increases. The area performance, calculated as the product of harvesting speed and working width, overcompensates for the increase in fuel consumption (due to the additional load), so that the area-related fuel consumption of the combine harvester decreases with increasing harvesting speed (turning maneuvers not included). When using the corn header configuration with flail knives at cutting height level 1, the fuel consumption decreases by 32.8 L/ha (56.9 L/ha to 24.1 L/ha) when increasing harvesting speed from 1.5 km/h to 6 km/h (Figure 5). The fuel consumption is 7.3 L/ha higher at 1.5 km/h and 2.6 L/ha higher at 6 km/h compared to the configuration with standard knives, which represents the additional fuel needed to shred the corn stubble. At the same cutting height level, the difference in fuel consumption between the standard knives configuration and the configuration with disengaged horizontal choppers decreases from 2.2 L/ha at 1.5 km/h to 1.2 L/ha at 6 km/h.

3.4. Comparison of Performance Parameters

From the perspective of farmers, in addition to agronomic and phytosanitary aspects, fuel consumption and area performance during harvesting are important criteria for deciding whether the new stubble shredding method is suitable for their farming operation. As farming practices vary widely, the importance of these criteria will depend on individual goals, preferences, and needs. Nevertheless, a typical objective under field conditions is to achieve maximum utilization of the combine harvester’s capacity. Assuming an average engine load of 90%, Table 3 shows the harvesting speeds, power consumption of the corn header, area performance, and fuel consumption associated with the different cutting height levels and corn header configurations. The results demonstrate that the effects of switching to the new method on fuel consumption and area performance vary significantly depending on the type of corn header previously used by the farmer and the cutting height setting of that corn header. This is further illustrated by the following examples:
When changing from the corn header configuration with standard knives at cutting height level 2 (16.5 cm total stubble height and 15.6 cm height of the solid segments) to the configuration with flail knives at cutting height level 1 (11.1 cm total stubble height and 6.8 cm height of the solid segments), the harvesting speed (at 90% engine load) is reduced by 1.6 km/h to 6.7 km/h. This corresponds to a decrease in area performance of 1.0 ha/h (turning maneuvers not included). At the same time, the power consumption of the corn header increases by 15.5 kW to 129.4 kW and the fuel consumption increases by 4.3 L/ha to 22.9 L/ha. This constellation would represent a typical scenario that could occur, especially among European farmers.

4. Discussion

4.1. Experimental Approach

The experimental approach chosen for this study proved to be feasible for implementation as an on-farm experiment. There was no need to specifically establish experimental plots at the time of corn planting. Instead, a few weeks prior to harvest, an appropriate field of a farm was chosen. By measuring the boundaries of the subplots using an RTK-GPS rover, constructing the experimental plan using a GIS software and visualizing it using a tablet pc in combination with live positioning data of the combine harvester while harvesting, the field trial could be conducted simply and smoothly. It was possible to generate a solid database with regard to the experimental questions. The methods of filtering and resampling the raw data produced a consistent data set that could be used to set up all three statistical mixed models with the same sample size. The calculated pseudo R² between 88.7% and 94.5% (based on fixed factors) indicates good model fit for all three statistical mixed models.

4.2. Influencing Variables and Their Functional Relationship

Corn headers have become increasingly complex and larger in working width over time. A power consumption of 125 kW and above, as reported in this study, corresponds to more than 20% of the rated power of current top models of combine harvesters. To optimize the use of combine harvesters and for future developments, such as alternative drive systems, it is crucial to know the influencing variables and their effect on the power consumption, fuel consumption and area performance. Approaches to modeling these relationships based on real data and multiple regression analyses, are comparatively rare in the recent literature.
This study showed, that a modification of the shredding tool design (i.e., corn header configuration) does not simply cause an offset in power consumption, engine load and fuel consumption. Interaction effects (three-fold and/or two-fold) between the factors corn header configuration, harvesting speed and cutting height provide individual slopes for the factor level combinations.
Overall, the differences in power consumption, engine load and hourly fuel consumption between the flail knife configuration and the standard knife configuration as well as between the flail knife configuration and the configuration with disengaged horizontal choppers increases with increasing harvesting speed for all combinations of cutting height settings. In order to keep the additional power requirement, increased engine load and fuel consumption as low as possible when changing from a standard corn header (variant standard knives or horizontal choppers disengaged) to a corn header with integrated stubble shredding (variant flail knives), a smaller working width should be considered (less row units). With a reduced working width, the resulting reduced area performance would have to be compensated for by a higher harvesting speed. This could have a negative effect on the precision of the height control of the corn header and thus on the quality of the stubble shredding (less time to react to changes in ground contour). In addition, a smaller working width requires additional turning maneuvers, which in turn leads to a lower area performance.

4.3. Physical Substrate Properties of Corn Residue

The amount of corn stover to be processed, the moisture content at the time of harvest and the seeding rate, and thus the number of corn plants to be processed, have a potential influence on the power consumption of the corn header. Prasad and Gupta [35] found that the cutting energy as well as the maximum cutting force to cut corn stalks are inversely proportional to the moisture content and directly proportional to the cross-sectional area of the corn stalks. During other test runs conducted in southern Germany as part of this project, the power consumption of the Horizon Star* III was up to 15% lower compared to this study (results not shown), which was probably due to a combination of the above mentioned influencing factors.
In contrast, Handler et al. [24] found no significant differences in the power consumption of three tested corn headers on two consecutive harvest dates during their field trials, despite the moisture content and corn stover yield were lower at the second harvest date. From the first to the second harvest date, the amount of crop residue to be processed by the corn headers decreased by 0.91 t DM/ha. At the same time, moisture content decreased by 8%. The decrease in dry matter yield was attributed to the loss of leaf mass. This has also been observed in other studies [36,37].
In general, corn stalks are the biggest fraction of corn stover accounting for 43.2% to 50.8% of the total dry mass, followed by leaves (21.1% to 27.3%), cobs (15.2% to 20.5%) and husk (9% to 12.9%) [37,38]. They are also the fraction with the highest moisture content and slowest dry down rate. Edens et al. [37] observed a moisture content of the corn stalks of 53.8%, cobs 30.4%, husks 13.9% and leaves 11.5%, when grain moisture content was 18.3%. Which means, the wet basis mass contribution of corn stover is even more dominated by stalks. Igathinathane et al. [39] found that corn stalks accounted for 72.6% of the corn stover wet mass (leaves 20.7%, husk 6.8%) at grain moisture of 24.76% during the normal harvest period in Tennessee in 2003. D’Amours et al. [38] investigated the drying behavior of the different plant parts of standing corn plants separately for the sections above and below the ears over time (September 6th to November 22nd). While the moisture content of the upper leaves dropped by 51% (80% to 29%) and the lower leaves by 46% (85% to 39%), the moisture content of the upper stalk sections only dropped by 23% (78% to 55%) and the dry down of the lower stalk sections was even lower with a reduction of only 3% (80% to 77%). This may indicate that the power consumption of the corn header is primarily determined by stalk mass rather than leaf mass and that a reduction in moisture content of 8% as observed by Handler et al. [24] is not enough to effect the power consumption of the corn header significantly. It also may indicate that a delayed harvest date within the normal harvest period does not necessarily influence the power consumption of the corn header by much as the dry matter loss occurs mainly in the leave fraction and the dry down rate of the stalk is quite low.
Corn stover yields as well as the moisture content are subject to strong fluctuations, depending on the region, year-specific influences, cultivated varieties and plant maturity (i.e., harvest date). Accordingly, the data on corn stover yield and moisture content in the literature differ greatly and were primarily studied in the context of its use as biomass feedstock, mainly in North America and less frequently in Europe. Several studies show a wide range in moisture content and yield of corn stover, ranging from below 6 t DM/ha to more than 13 t DM/ha and below 20% to higher than 65% in moisture content [36,38,40,41,42,43]. Thus, the residue layer of approximately 9.1 t DM/ha in this study was in the medium range and the moisture content of 67.8% was in the high range, compared to the previously cited studies. Hence, a comparatively high-power consumption of the corn header was to be expected. However, in the current study, it has not been investigated how the different configurations of the corn header behave in terms of power consumption at different levels of moisture content and corn stover yield. The results of this study are not directly transferable to other regions or fields, further research is needed.

4.4. Potential for Optimizing the Process Chain of Grain Corn Production

The combination of grain corn harvest and stubble treatment in a single pass as it was implemented by the Horizon Star* III with flail knives leads to a significant increase in power consumption of the corn header and thus to an increased fuel consumption, a reduced maximum harvesting speed and reduced maximum area performance during harvest. The extent to which the changeover from a standard harvesting method to the harvesting method with integrated stubble shredding influences the above-mentioned performance parameters depends to a large extent on the initial situation, i.e., the corn header previously used, the desired cutting height setting and the desired or maximum possible harvesting speed. Depending on this, the additional power demand for stubble shredding varies within a range of 13.0–52.4 kW (1.6–6.6 kW/row unit), and the additional fuel consumption ranges from 2.6 to 7.2 L/ha. The decrease in area performance varies between 0 and 1.7 ha/h depending on the strategy (based on the calculated regression models, compared to the configuration with flail knives at cutting height level 1).
However, by shredding the corn stubble during the harvesting pass, the new type of corn header equipped with flail knives has the potential to replace the additional post-harvest pass with a tractor driven flail mower. The taping of the additional pass could potentially save machine, personnel and fuel costs and thus reduce the changeover costs.
When comparing the power consumption of flail mowers as mentioned in the Introduction (11–50 kW/m working width) with the additional power consumption caused when changing from a standard corn header to the corn header with integrated stubble shredding, it is to be expected that the overall fuel usage can be reduced in most scenarios by substituting the use of a tractor driven flail mower with a corn header that shreds the corn stubble during the harvesting pass [26,27]. Therefore, this study arrives at a similar conclusion to Herter and Schwaer [29], who investigated a comparable technical approach for stubble shredding during harvesting (as mentioned in Section 1).
Additionally, the quality in terms of stubble shredding is not affected by tire tracks when using the corn header with integrated stubble shredding. The stubble is processed before being run over by the combine harvester or grain cart, which can help to improve overall stubble processing quality.

5. Conclusions

The study conducted demonstrates the technical feasibility of combining grain corn harvesting and stubble shredding in a single pass. At a harvesting speed of 6 km/h and the lowest cutting height setting, the power consumption of the Horizon Star* III was less than 150 kW, despite comparatively high moisture content and medium to high yield of the crop residues. This clearly shows, that additional horizontal choppers can be used in combination with most of the current combine harvester models (middle to upper power classes). Therefore this new technology has the potential to significantly improve the process chain of corn production due to the minimization of potential negative effects caused by the European Corn Borer (ECB). However, the discussion has shown that further research is needed with respect to the following main aspects:
  • Different functional relationships between moisture content, corn stover yield, and power consumption should be observed depending on the different given cutting tools (flail knives, standard knives, and horizontal choppers disengaged). This could influence power consumption differences between the various configurations of the corn header and the additional power requirement for stubble shredding during the harvesting pass.
  • Further tests should be carried out to determine the optimal combination of working width and harvesting speed to minimize the additional power and fuel consumption for stubble shredding.
  • Investigation is needed to determine whether the intensity of corn stover and stubble shredding by the corn header is sufficient to meet phytosanitary requirements in terms of ECB control and decomposition rate of corn stover and stubble.
  • To compare the performance parameters of the single-step method in the form of the Horizon Star* III with the two-step method, consisting of harvesting and subsequent processing of the crop residues, further investigations under the same conditions regarding residue characteristics (yield and moisture content) are necessary.
  • The additional function of stubble shredding will lead to increased wear on the cutting tools of the corn header. To conduct an economic assessment of the new method, it is necessary to gather data on the durability of the wear parts.

Author Contributions

Conceptualization, S.R.; methodology, S.R.; formal analysis, S.R. and M.H.; investigation, S.R.; data curation, S.R.; writing—original draft preparation, S.R.; writing—review and editing, S.R., E.H. and Y.R.; visualization, S.R.; supervision, Y.R., E.H. and M.H.; project administration, S.R. and Y.R.; funding acquisition, Y.R. All authors have read and agreed to the published version of the manuscript.

Funding

This research was funded by The German Federal Environmental Foundation (Deutsche Bundesstiftung Umwelt DBU), grant number 34090/01.

Institutional Review Board Statement

Not applicable.

Data Availability Statement

The data presented in this study are available on request from the corresponding author.

Acknowledgments

We would like to thank Rüdiger Steen and Sven Dutzi for the joint initiation of the project and for the provision of the harvesting equipment. Thanks are also extended to Raphael Stückmann for technical assistance during the field trial and Hans-Heinrich Voßhenrich and Bastian Brandenburg for their active support in the assessment of the corn stubble and the sampling of the corn residue.

Conflicts of Interest

The authors declare no conflict of interest.

Appendix A

Figure A1. Structural diagram of the flail knife (Adapted with permission from Carl Geringhoff GmbH & Co. KG, 2023).
Figure A1. Structural diagram of the flail knife (Adapted with permission from Carl Geringhoff GmbH & Co. KG, 2023).
Agriculture 13 00833 g0a1
Figure A2. Structural diagram of the standard knife (Adapted with permission from Carl Geringhoff GmbH & Co. KG, 2023).
Figure A2. Structural diagram of the standard knife (Adapted with permission from Carl Geringhoff GmbH & Co. KG, 2023).
Agriculture 13 00833 g0a2
Figure A3. Corn stubble processed by the corn header equipped with flail knives (cutting height level 1).
Figure A3. Corn stubble processed by the corn header equipped with flail knives (cutting height level 1).
Agriculture 13 00833 g0a3
Figure A4. Corn stubble processed by the corn header equipped with standard knives (cutting height level 1).
Figure A4. Corn stubble processed by the corn header equipped with standard knives (cutting height level 1).
Agriculture 13 00833 g0a4
Figure A5. Corn stubble processed by the corn header with disengaged horizontal choppers (cutting height level 1).
Figure A5. Corn stubble processed by the corn header with disengaged horizontal choppers (cutting height level 1).
Agriculture 13 00833 g0a5
Table A1. Coefficients of the linear mixed effects regression model for the dependent variable power consumption of the corn header with corresponding standard errors (SE), t-values (t) and p-values (p).
Table A1. Coefficients of the linear mixed effects regression model for the dependent variable power consumption of the corn header with corresponding standard errors (SE), t-values (t) and p-values (p).
CoefficientValueSEtp
Intercept Flail knives65.7325.84011.255<0.0001
Standard knives30.8325.8425.277<0.0001
Choppers disengaged12.4445.8412.1300.0464
Harvesting speedFlail knives12.0611.2209.881<0.0001
Standard knives14.1681.22011.606<0.0001
Choppers disengaged13.7701.22111.279<0.0001
Cutting heightFlail knives−0.3380.075−4.5130.0002
Standard knives−0.1650.075−2.1990.0404
Choppers disengaged0.0040.0750.0560.9560
Cutting height
*
Harvesting speed
Flail knives0.0060.0160.3910.6964
Standard knives−0.0420.016−2.6640.0090
Choppers disengaged−0.0480.016−3.0670.0028
pseudo R² = 0.945 (based on fixed factors); N = 16368; (*) Interaction between factors.
Table A2. Coefficients of the linear mixed effects regression model for the dependent variable engine load of the combine harvester with corresponding standard errors (SE), t-values (t) and p-values (p).
Table A2. Coefficients of the linear mixed effects regression model for the dependent variable engine load of the combine harvester with corresponding standard errors (SE), t-values (t) and p-values (p).
CoefficientValueSEtp
InterceptFlail knives5.8057.1900.8070.4281
Standard knives−3.4517.191−0.4800.6360
Choppers disengaged−6.4327.190−0.8950.3807
Harvesting speedFlail knives14.2050.75618.794<0.0001
Standard knives13.0140.75717.190<0.0001
Choppers disengaged12.4940.75616.525<0.0001
Cutting height −0.0830.087−0.9530.3655
Cutting height
*
Harvesting speed
−0.0160.009−1.7320.0862
pseudo R² = 0.908 (based on fixed factors); N = 16368; (*) Interaction between factors
Table A3. Coefficients of the linear mixed effects regression model for the dependent variable hourly fuel consumption of the combine harvester with corresponding standard errors (SE), t-values (t) and p-values (p).
Table A3. Coefficients of the linear mixed effects regression model for the dependent variable hourly fuel consumption of the combine harvester with corresponding standard errors (SE), t-values (t) and p-values (p).
CoefficientValueSEtp
Intercept Flail knives41.4513.74511.068<0.0001
Standard knives35.8823.7429.588<0.0001
Choppers disengaged34.7453.7449.279<0.0001
Harvesting speedFlail knives8.8210.58315.140<0.0001
Standard knives8.1670.58313.997<0.0001
Choppers disengaged7.6200.58712.988<0.0001
Cutting height −0.0350.045−0.7740.4587
Cutting height
*
Harvesting speed
−0.0150.007−2.1060.0376
pseudo R² = 0.887 (based on fixed factors); N = 16368; (*) Interaction between factors.
Figure A6. Percentage engine load of the combine harvester depending on harvesting speed for the levels of corn header configuration at cutting height level 2 (Markers indicate harvesting speed levels at cutting height level 2, dashed lines represent extrapolation up to a theoretical engine load of 90%).
Figure A6. Percentage engine load of the combine harvester depending on harvesting speed for the levels of corn header configuration at cutting height level 2 (Markers indicate harvesting speed levels at cutting height level 2, dashed lines represent extrapolation up to a theoretical engine load of 90%).
Agriculture 13 00833 g0a6
Figure A7. Percentage engine load of the combine harvester depending on harvesting speed for the levels of corn header configuration at cutting height level 3 (Markers indicate harvesting speed levels at cutting height level 3, dashed lines represent extrapolation up to a theoretical engine load of 90%).
Figure A7. Percentage engine load of the combine harvester depending on harvesting speed for the levels of corn header configuration at cutting height level 3 (Markers indicate harvesting speed levels at cutting height level 3, dashed lines represent extrapolation up to a theoretical engine load of 90%).
Agriculture 13 00833 g0a7
Figure A8. Percentage engine load of the combine harvester depending on harvesting speed for the levels of corn header configuration at cutting height level 4 (Markers indicate harvesting speed levels at cutting height level 4, dashed lines represent extrapolation up to a theoretical engine load of 90%).
Figure A8. Percentage engine load of the combine harvester depending on harvesting speed for the levels of corn header configuration at cutting height level 4 (Markers indicate harvesting speed levels at cutting height level 4, dashed lines represent extrapolation up to a theoretical engine load of 90%).
Agriculture 13 00833 g0a8
Figure A9. Fuel consumption of the combine harvester depending on harvesting speed for the levels of corn header configuration at cutting height level 2 (Markers indicate harvesting speed levels at cutting height level 2, dashed lines represent extrapolation up to a theoretical engine load of 90%).
Figure A9. Fuel consumption of the combine harvester depending on harvesting speed for the levels of corn header configuration at cutting height level 2 (Markers indicate harvesting speed levels at cutting height level 2, dashed lines represent extrapolation up to a theoretical engine load of 90%).
Agriculture 13 00833 g0a9
Figure A10. Fuel consumption of the combine harvester depending on harvesting speed for the levels of corn header configuration at cutting height level 3 (Markers indicate harvesting speed levels at cutting height level 3, dashed lines represent extrapolation up to a theoretical engine load of 90%).
Figure A10. Fuel consumption of the combine harvester depending on harvesting speed for the levels of corn header configuration at cutting height level 3 (Markers indicate harvesting speed levels at cutting height level 3, dashed lines represent extrapolation up to a theoretical engine load of 90%).
Agriculture 13 00833 g0a10
Figure A11. Fuel consumption of the combine harvester depending on harvesting speed for the levels of corn header configuration at cutting height level 4 (Markers indicate harvesting speed levels at cutting height level 4, dashed lines represent extrapolation up to a theoretical engine load of 90%).
Figure A11. Fuel consumption of the combine harvester depending on harvesting speed for the levels of corn header configuration at cutting height level 4 (Markers indicate harvesting speed levels at cutting height level 4, dashed lines represent extrapolation up to a theoretical engine load of 90%).
Agriculture 13 00833 g0a11

References

  1. Mason, C.E.; Rice, M.E.; Di Fonzo, C.D.; Porter, R.P. European Corn Borer Ecology, Management, and Association with Other Corn Pests; NCR 0327; Iowa State University Extension and Outreach: Ames, IA, USA, 2018. [Google Scholar]
  2. Meissle, M.; Mouron, P.; Musa, T.; Bigler, F.; Pons, X.; Vasileiadis, V.P.; Otto, S.; Antichi, D.; Kiss, J.; Pálinkás, Z.; et al. Pests, pesticide use and alternative options in European maize production: Current status and future prospects. J. Appl. Entomol. 2010, 134, 357–375. [Google Scholar] [CrossRef]
  3. Melchinger, A.E.; Kreps, R.; Späth, R.; Klein, D.; Schulz, B. Evaluation of early-maturing European maize inbreds for resistance to the European corn borer. Euphytica 1998, 99, 115–125. [Google Scholar] [CrossRef]
  4. Albert, R.; Maier, G.; Dannemann, K. Maiszünslerbekämpfung–Bekämpfung und neue Entwicklungen beim Trichogramma brassicae-Einsatz. Gesunde Pflanz. 2008, 60, 41–54. [Google Scholar] [CrossRef]
  5. Freier, B.; Wendt, C.; Neukampf, R. Zur Befallssituation des Maiszünslers (Ostrinia nubilalis) und Westlichen Maiswurzelbohrers (Diabrotica virgifera virgifera) in Deutschland und deren Bekämpfung. J. fÜR Kult. 2015, 67, 113–123. [Google Scholar] [CrossRef]
  6. Brookes, G. The Existing and Potential Impact of Using GM Insect Resistant (GM IR) Maize in the European Union; PG Economics: Dorchester, UK, 2009. [Google Scholar]
  7. Trnka, M.; Muška, F.; Semerádová, D.; Dubrovský, M.; Kocmánková, E.; Žalud, Z. European Corn Borer life stage model: Regional estimates of pest development and spatial distribution under present and future climate. Ecol. Model. 2007, 207, 61–84. [Google Scholar] [CrossRef]
  8. Saß, M.; Schorling, M.; Goßmann, M.; Büttner, C. Artenspektrum und Befallshäufigkeit von Fusarium spp. in Bt- und konventionellem Mais im Maiszünsler-Befallsgebiet Oderbruch. Gesunde Pflanze 2007, 59, 119–125. [Google Scholar] [CrossRef]
  9. Lenz, M. Auftreten des Maiszünslers in Hessen. Nachr. Des Dtsch. Pflanzenschutzd. 2007, 59, 261–263. [Google Scholar]
  10. Götzke, G.; Schröder, G. Der Maiszünsler (Ostrinia nubilalis Hbn.) in Brandenburg-Besonderheiten und Versuchsergebnisse aus dem Oderbruch. Nachr. Des Dtsch. Pflanzenschutzd. 2007, 59, 275. [Google Scholar]
  11. Blandino, M.; Scarpino, V.; Vanara, F.; Sulyok, M.; Krska, R.; Reyneri, A. Role of the European corn borer (Ostrinia nubilalis) on contamination of maize with 13 Fusarium mycotoxins. Food Addit. Contam. Part A Chem. Anal. Control. Expo. Risk Assess. 2015, 32, 533–543. [Google Scholar] [CrossRef]
  12. Gatch, E.W.; Munkvold, G.P. Fungal Species Composition in Maize Stalks in Relation to European Corn Borer Injury and Transgenic Insect Protection. Plant Dis. 2002, 86, 1156–1162. [Google Scholar] [CrossRef]
  13. Scarpino, V.; Reyneri, A.; Vanara, F.; Scopel, C.; Causin, R.; Blandino, M. Relationship between European Corn Borer injury, Fusarium proliferatum and F. subglutinans infection and moniliformin contamination in maize. Field Crops Res. 2015, 183, 69–78. [Google Scholar] [CrossRef]
  14. Sobek, E.A.; Munkvold, G.P. European Corn Borer (Lepidoptera: Pyralidae) Larvae as Vectors of Fusarium moniliforme, Causing Kernel Rot and Symptomless Infection of Maize Kernels. J. Econ. Entomol. 1999, 92, 503–509. [Google Scholar] [CrossRef]
  15. Schröder, G.; Goetzke, G.; Kuntzke, D. Perspektiven der Kontrolle des Maiszünslers (Ostrinia nubilalis Hbn.) mit Insektiziden–Versuchsergebnisse aus dem Oderbruch. Gesunde Pflanz. 2006, 58, 143–151. [Google Scholar] [CrossRef]
  16. USDA. European Union: Agricultural Biotechnology Annual E42020-0101. 2020. Available online: https://apps.fas.usda.gov/newgainapi/api/Report/DownloadReportByFileName?fileName=Agricultural%20Biotechnology%20Annual_Brussels%20USEU_European%20Union_11-20-2020 (accessed on 12 November 2022).
  17. Razinger, J.; Vasileiadis, V.; Giraud, M.; van Dijk, W.; Modic, S.; Sattin, M.; Urek, G. On-farm evaluation of inundative biological control of Ostrinia nubilalis (Lepidoptera: Crambidae) by Trichogramma brassicae (Hymenoptera: Trichogrammatidae) in three European maize-producing regions. Pest Manag. Sci. 2016, 72, 246–254. [Google Scholar] [CrossRef]
  18. Bzowska-Bakalarz, M.; Bulak, P.; Beres, P.; Czarnigowska, A.; Czarnigowski, J.; Karamon, B.; Pniak, M.; Bieganowski, A. Using gyroplane for application of Trichogramma spp. against the European corn borer in maize. Pest Manag. Sci. 2020, 76, 2243–2250. [Google Scholar] [CrossRef]
  19. Folcher, L.; Weissenberger, A.; Delos, M. Quantitative relationships between Ostrinia nubilalis activity and deoxynivalenol contamination in French maize. International J. Pest Manag. 2012, 58, 302–309. [Google Scholar] [CrossRef]
  20. Schaafsma, A.W.; Melochie, F.; Pitblado, R.E. Effect of Mowing Corn Stalks and Tillage on Overwintering Mortality of European Corn Borer (Lepidoptera: Pyralidae) in Field Corn. J. Econ. Entomol. 1996, 89, 1587–1592. [Google Scholar] [CrossRef]
  21. Schneider, M.; Lenz, M. Möglichkeiten zur Bekämpfung von Maiszünsler und Fusarium: Vorteile der Strohzerkleinerung und Stoppelbearbeitung nutzen. In DMK-Schwerpunkt: Stroh- und Stoppelmanagement Nach Mais; Deutsches Maiskomitee e.V. (DMK), Ed.; Bonn, Germany. 2017, pp. 3–11. Available online: https://www.maiskomitee.de/web/upload/pdf/produktion/Sonderheft_Strohmanagement.pdf (accessed on 15 January 2023).
  22. Uppenkamp, N. Zerkleinern von Maisstoppeln und Maisstroh. Innovation 2012, 3, 20–22. [Google Scholar]
  23. Dutzi, S. Körnermaisanbau weltweit: Maispflücker dominieren. Innovation 2019, 3, 18–19. [Google Scholar]
  24. Handler, F.; Nadlinger, M.; Paar, J. Comparison of different systems of stalk choppers for corn headers. In Tagung Landtechnik 2005. In Proceedings of the International Conference on Agricultural Engineering, Hannover, Germany, 4–5 November 2005; Max-Eyth-Gesellschaft für, A., Ed.; VDI-Verl: Düsseldorf, Germany, 2005; pp. 417–423, ISBN 3180918950. [Google Scholar]
  25. Zhang, Z.; McHugh, A.D.; Li, H.; Ma, S.; Wang, Q.; He, J.; Zheng, K. Global Overview of Research and Development of Crop Residue Management Machinery. Appl. Eng. Agric. 2017, 33, 329–344. [Google Scholar] [CrossRef]
  26. Grosa, A.; Bögel, T.; Edler v., d. Planitz, B. Mulchen von Maisstoppeln: Optimierung des Mulchereinsatzes zur wirksamen Bekämpfung von Fusariumerkrankungen und Maiszünslerbefall im pfluglosen Ackerbau; Schriftenreihe des LfULG No. 15: Dresden, Germany, 2016. [Google Scholar]
  27. Uppenkamp, N.; Demmel, M.; Kirchmeier, H. Maisstoppeln und Maisstroh—Den Mulchern gehört die Zukunft: Mulchgeräte verschiedener Bauart und Zerkleinerungswerkzeuge im Test. Mais 2011, 38, 30–33. [Google Scholar]
  28. Kirchmeier, H.; Demmel, M. Fusariuminfektionen im Winterweizen–Effekte von Maisstrohzerkleinerung und Bodenbearbeitungsverfahren. Landtechnik 2008, 63, 150–151. [Google Scholar] [CrossRef]
  29. Herter, F.; Schwaer, S. Valuation Method for Corn head integrated Stubble Cracker System. In International Conference on Agricultural Engineering; AgEng-Land.Technik 2022, Berlin, 22–23 November 2022; Max-Eyth-Gesellschaft für Agrartechnik, Ed.; VDI Verlag GmbH: Düsseldorf, Germany, 2022; pp. 173–177. [Google Scholar] [CrossRef]
  30. R Core Team. R: A Language and Environment for Statistical Computing; R Foundation for Statistical Computing: Vienna, Austria, 2022; ISBN 3-900051-07-0. [Google Scholar]
  31. Pinheiro, J.C.; Bates, D.M. Mixed-Effects Models in S and S-PLUS; Springer: New York, NY, USA, 2000; ISBN 978-0-387-22747-4. [Google Scholar]
  32. Carroll, R.J.; Ruppert, D. Transformation and Weighting in Regression; Chapman and Hall: London, UK, 1988. [Google Scholar]
  33. Cochran, W.G. Analysis Of Covariance-Its Nature And Uses. Biometrics 1957, 13, 261–281. [Google Scholar] [CrossRef]
  34. Nakagawa, S.; Schielzeth, H. A General and Simple Method for Obtaining R2 from Generalized Linear Mixed-Effects Models. Edited by Robert, B. O’Hara. Methods Ecol. Evol. 2013, 4, 133–142. [Google Scholar] [CrossRef]
  35. Prasad, J.; Gupta, C.P. Mechanical properties of maize stalk as related to harvesting. J. Agric. Eng. Res. 1975, 20, 79–87. [Google Scholar] [CrossRef]
  36. Huang, H.; Faulkner, D.B.; Berger, L.L.; Eckhoff, S.R. Harvest Date Influence on Dry Matter Yield and Moisture of Corn and Stover. Trans. ASABE 2012, 55, 593–598. [Google Scholar] [CrossRef]
  37. Edens, W.C.; Pordesimo, L.O.; Sokhansanj, S. Field Drying Characteristics and Mass Relationships of Corn Stover Fractions. In Proceedings of the 2002 ASAE Annual International Meeting/CIGR XVth World Congress, Chicago, IL, USA, 28–31 July 2002. [Google Scholar]
  38. D’Amours, L.; Savoie, P.; Lavoie, F.; Lefsrud, M. Vertical partition of corn stover fractions prior to harvest. In Proceedings of the 2008 ASABE Annual International Meeting, Providence, RI, USA, 29 June–2 July 2008. [Google Scholar]
  39. Igathinathane, C.; Womac, A.R.; Sokhansanj, S.; Pordesimo, L.O. Mass and moisture distribution in aboveground components of standing corn plants. Trans. ASABE 2006, 49, 97–106. [Google Scholar] [CrossRef]
  40. Shinners, K.; Binversie, B.; Muck, R.; Weimer, P. Comparison of wet and dry corn stover harvest and storage. Biomass Bioenergy 2007, 31, 211–221. [Google Scholar] [CrossRef]
  41. Miranda, M.T.; García-Mateos, R.; Arranz, J.I.; Sepúlveda, F.J.; Romero, P.; Botet-Jiménez, A. Selective Use of Corn Crop Residues: Energy Viability. Appl. Sci. 2021, 11, 3284. [Google Scholar] [CrossRef]
  42. Fleschhut, M.; Hülsbergen, K.-J.; Thurner, S.; Eder, J. Analysis of different corn stover harvest systems. Landtechnik 2016, 71, 252–270. [Google Scholar] [CrossRef]
  43. Golub, M.; Marinov, M.; Bojic, S.; Viskovic, M.; Djatkov, D.; Dragutinovic, G.; Dallemand, J.F. Investigation on Possibilities for Sustainable Provision of Corn Stover as an Energy Source: Case Study for Vojvodina. Agric. Mech. Asia Afr. Lat. Am. 2016, 47, 7–15. [Google Scholar]
Figure 1. Schematic structure of the experimental design.
Figure 1. Schematic structure of the experimental design.
Agriculture 13 00833 g001
Figure 2. Structural diagram of the Horizon Star* III row unit (Adapted with permission from Carl Geringhoff GmbH & Co. KG, 2023).
Figure 2. Structural diagram of the Horizon Star* III row unit (Adapted with permission from Carl Geringhoff GmbH & Co. KG, 2023).
Agriculture 13 00833 g002
Figure 3. Power consumption of the corn header depending on harvesting speed for the different levels of corn header configuration and cutting height.
Figure 3. Power consumption of the corn header depending on harvesting speed for the different levels of corn header configuration and cutting height.
Agriculture 13 00833 g003
Figure 4. Percentage engine load of the combine harvester depending on harvesting speed for the levels of corn header configuration at cutting height level 1 (Markers indicate harvesting speed levels at cutting height level 1).
Figure 4. Percentage engine load of the combine harvester depending on harvesting speed for the levels of corn header configuration at cutting height level 1 (Markers indicate harvesting speed levels at cutting height level 1).
Agriculture 13 00833 g004
Figure 5. Fuel consumption of the combine harvester depending on harvesting speed for the levels of corn header configuration at cutting height level 1 (Markers indicate harvesting speed levels at cutting height level 1).
Figure 5. Fuel consumption of the combine harvester depending on harvesting speed for the levels of corn header configuration at cutting height level 1 (Markers indicate harvesting speed levels at cutting height level 1).
Agriculture 13 00833 g005
Table 1. Signals (SPNs) approximated time delta between consecutive observations on the CAN bus system.
Table 1. Signals (SPNs) approximated time delta between consecutive observations on the CAN bus system.
SourceSignalApproximated Time Delta [s]
Torque and rotational speed sensor
(left side)
Rotational speed0.01
Torque
Torque and rotational speed sensor
(right side)
Rotational speed0.01
Torque
Combine harvester
CAN bus
Hourly fuel consumption0.25
Engine load
Wheel based speed0.05
Auto Contour set value0.25
GPS systemLatitude0.1
Longitude
Table 2. Average corn stubble height depending on cutting height setting and corn header configuration.
Table 2. Average corn stubble height depending on cutting height setting and corn header configuration.
Cutting HeightStubble Height [cm]
Total Height/Height of the Solid Segments
LevelSet ValueFlail KnivesStandard KnivesChoppers Disengaged
159.6511.1/6.811.9/11.331.7/16.0
267.8514.8/10.116.5/15.634.8/23.0
381.8022.0/17.022.0/20.940.4/27.3
495.6131.1/26.830.9/30.050.5/37.1
Table 3. Harvesting speed, power consumption of the corn header, area performance and fuel consumption for three different corn header configurations at 90% engine load of the combine harvester.
Table 3. Harvesting speed, power consumption of the corn header, area performance and fuel consumption for three different corn header configurations at 90% engine load of the combine harvester.
Cutting Height LevelCorn Header
Configuration
Harvesting Speed [km/h]Power Consumption [kW]Area Performance [ha/h]Fuel Consumption [L/ha]
1Flail knives6.7129.44.022.9
Standard knives8.2116.44.919.0
Choppers disengaged8.8108.65.317.3
2Flail knives6.9128.54.122.4
Standard knives8.3113.95.018.6
Choppers disengaged9.0106.85.417.0
3Flail knives7.1127.04.221.7
Standard knives8.6109.65.217.9
Choppers disengaged9.3103.75.616.3
4Flail knives7.3125.74.421.0
Standard knives8.9105.05.317.3
Choppers disengaged9.6100.35.715.7
Disclaimer/Publisher’s Note: The statements, opinions and data contained in all publications are solely those of the individual author(s) and contributor(s) and not of MDPI and/or the editor(s). MDPI and/or the editor(s) disclaim responsibility for any injury to people or property resulting from any ideas, methods, instructions or products referred to in the content.

Share and Cite

MDPI and ACS Style

Ramm, S.; Hasler, M.; Reckleben, Y.; Hartung, E. Single-Pass Grain Corn Harvest and Stubble Shredding: Performance of Three Corn Header Configurations as Effected by Harvesting Speed and Cutting Height. Agriculture 2023, 13, 833. https://doi.org/10.3390/agriculture13040833

AMA Style

Ramm S, Hasler M, Reckleben Y, Hartung E. Single-Pass Grain Corn Harvest and Stubble Shredding: Performance of Three Corn Header Configurations as Effected by Harvesting Speed and Cutting Height. Agriculture. 2023; 13(4):833. https://doi.org/10.3390/agriculture13040833

Chicago/Turabian Style

Ramm, Sebastian, Mario Hasler, Yves Reckleben, and Eberhard Hartung. 2023. "Single-Pass Grain Corn Harvest and Stubble Shredding: Performance of Three Corn Header Configurations as Effected by Harvesting Speed and Cutting Height" Agriculture 13, no. 4: 833. https://doi.org/10.3390/agriculture13040833

APA Style

Ramm, S., Hasler, M., Reckleben, Y., & Hartung, E. (2023). Single-Pass Grain Corn Harvest and Stubble Shredding: Performance of Three Corn Header Configurations as Effected by Harvesting Speed and Cutting Height. Agriculture, 13(4), 833. https://doi.org/10.3390/agriculture13040833

Note that from the first issue of 2016, this journal uses article numbers instead of page numbers. See further details here.

Article Metrics

Back to TopTop