Effect of Nitrogen Application Methods on Yield and Grain Quality of an Extremely Early Maturing Rice Variety
Abstract
1. Introduction
2. Materials and Methods
2.1. Meteorological Data
2.2. Experimental Site and Rice Plant Material
2.3. Experimental Treatments
2.4. Cultivation Methods
2.5. Traits Evaluation
2.5.1. Agronomic Traits
2.5.2. Grain Quality Traits
2.6. Statistical Analysis
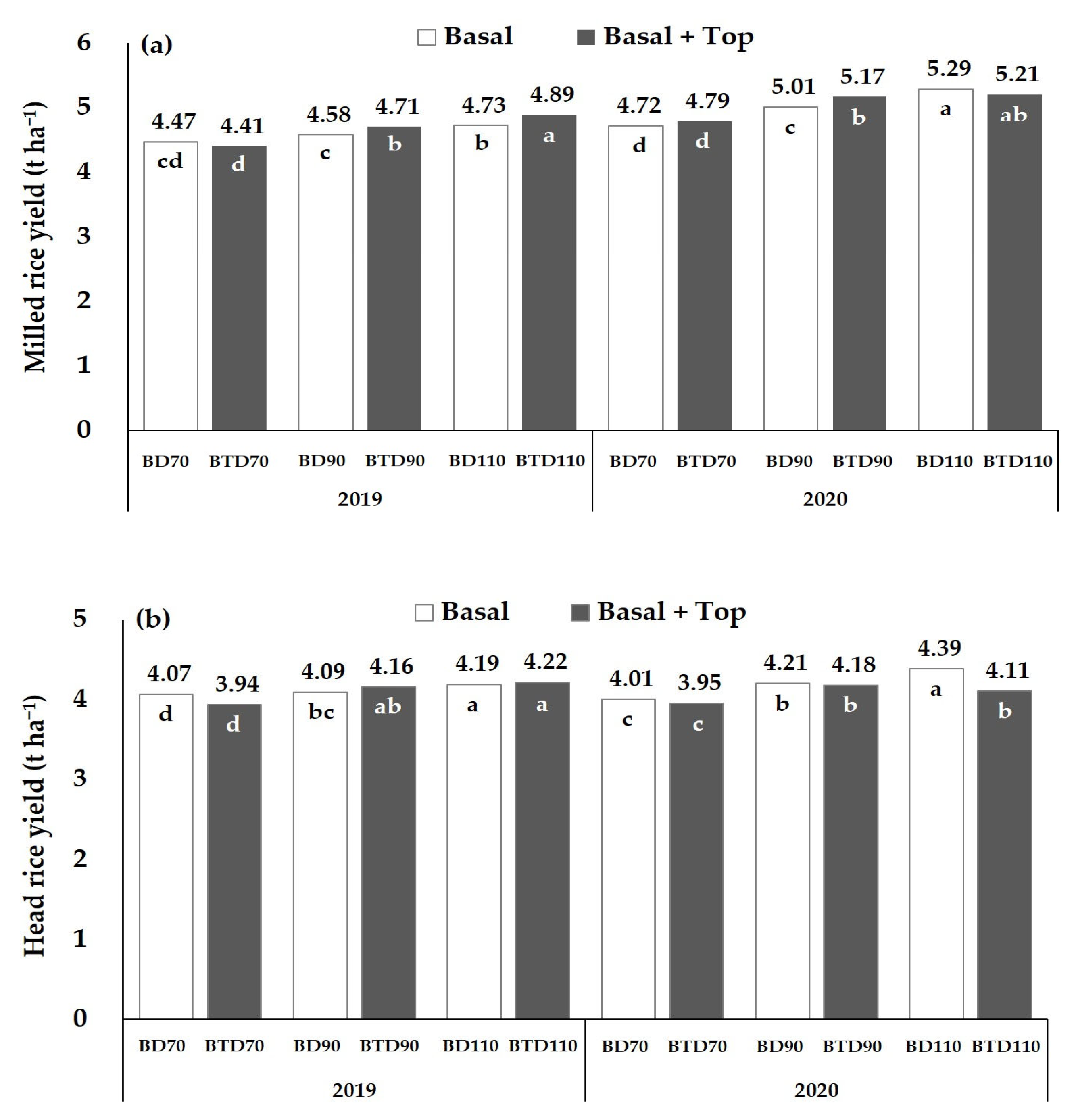
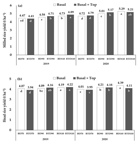
3. Results
3.1. Meteorological Conditions during Rice Growing Periold
3.2. Agronomic Traits
3.3. Grain Quality Traits
3.4. Relationship among the Traits
4. Discussion
4.1. Importance of Temperature at Vegetative Growth Period
4.2. Variation in Agronomic Traits and Yield
4.3. Effect of Nitrogen Application on Milled Rice Grain Quality
5. Conclusions
Author Contributions
Funding
Data Availability Statement
Acknowledgments
Conflicts of Interest
References
- Gutierrez, J.; Kim, S.Y.; Kim, P.J. Effect of rice cultivar on CH4 emissions and productivity in Korean paddy soil. Field Crops Res. 2013, 146, 16–24. [Google Scholar] [CrossRef]
- Jiang, M.; Li, X.; Xin, L.; Tan, M.; Zhang, W. Impacts of Rice Cropping System Changes on Paddy Methane Emissions in Southern China. Land 2023, 12, 270. [Google Scholar] [CrossRef]
- Yun, Y.T.; Chung, C.T.; Kim, G.C.; Yun, T.S. ‘Bbareumi,’ An Extremely Early-Maturing Rice Cultivar Adaptable for Early Transplanting in the Chungnam Plain Area. Korean J. Breed Sci. 2022, 54, 238–243. [Google Scholar] [CrossRef]
- Yun, Y.T.; Kim, G.C.; Cho, G.W.; Yun, T.S. Changes in Growth and Quality Traits According to Transplanting Dates using ‘Bbareumi,’ an Extremely Early Maturing Rice Cultivar in the Chungnam Plain Area. Korean J. Breed Sci. 2022, 54, 305–314. [Google Scholar] [CrossRef]
- Peng, B.; Kong, H.; Li, Y.; Wang, L.; Zhong, M.; Sun, L.; Gao, G.; Zhang, Q.; Luo, L.; Wang, G.; et al. OsAAP6 functions as an important regulator of grain protein content and nutritional quality in rice. Nat. Commun. 2014, 5, 4847. [Google Scholar] [CrossRef]
- Yang, Y.; Guo, M.; Sun, S.; Zou, Y.; Yin, S.; Liu, Y.; Tang, S.; Gu, M.; Yang, Z.; Yan, C. Natural variation of OsGluA2 is involved in grain protein content regulation in rice. Nat. Commun. 2019, 10, 1949. [Google Scholar] [CrossRef]
- Shi, S.; Wang, E.; Li, C.; Cai, M.; Cheng, B.; Cao, C.; Jiang, Y. Use of protein content, amylose content, and RVA parameters to evaluate the taste quality of rice. Front. Nutr. 2022, 8, 1223. [Google Scholar] [CrossRef]
- Liang, H.; Gao, S.; Ma, J.; Zhang, T.; Wang, T.; Zhang, S.; Wu, Z. Effect of nitrogen application rates on the nitrogen utilization, yield and quality of rice. Food Nutr. Sci. 2021, 12, 13–27. [Google Scholar] [CrossRef]
- Zhu, D.W.; Zhang, H.C.; Guo, B.W.; Ke, X.; DAI, Q.G.; Wei, H.Y.; Gao, H.; Hu, Y.J.; Cui, P.Y.; HUO, Z.Y. Effects of nitrogen level on yield and quality of japonica soft super rice. J. Integr. Agric. 2017, 16, 1018–1027. [Google Scholar] [CrossRef]
- Shi, S.; Zhang, G.; Li, L.; Chen, D.; Liu, J.; Cao, C.; Jiang, Y. Effects of nitrogen fertilizer on the starch structure, protein distribution, and quality of rice. ACS Food Sci. Technol. 2022, 2, 1347–1354. [Google Scholar] [CrossRef]
- Wang, X.; Wang, K.; Yin, T.; Zhao, Y.; Liu, W.; Shen, Y.; Ding, Y.; Tang, S. Nitrogen fertilizer regulated grain storage protein synthesis and reduced chalkiness of rice under actual field warming. Front. Plant Sci. 2021, 12, 715436. [Google Scholar] [CrossRef]
- Chen, Y.; Wang, M.; Ouwerkerk, P.B. Molecular and environmental factors determining grain quality in rice. Food Energy Secur. 2012, 1, 111–132. [Google Scholar] [CrossRef]
- Fiaz, S.; Ahmad, S.; Noor, M.A.; Wang, X.; Younas, A.; Riaz, A.; Riaz, A.; Ali, F. Applications of the CRISPR/Cas9 System for Rice Grain Quality Improvement: Perspectives and Opportunities. Int. J. Mol. Sci. 2019, 20, 888. [Google Scholar] [CrossRef]
- Nguyen, T.H.; Kim, M.H.; Lee, B.W. Response of grain yield and milled-rice protein content to nitrogen topdress timing at panicle initiation stage of rice. Korean J. Crop Sci. 2006, 51, 1–13. [Google Scholar]
- Kim, M.H.; Lee, K.J.; Lee, B.W. Response of Grain Protein Content to Nitrogen Top dress Rate at Panicle Initiation Stage under Different Growth and Plant Nitrogen Status of Rice. Korean J. Crop Sci. 2007, 52, 104–111. [Google Scholar]
- Rural Development Administration (RDA). Available online: http://soil.rda.go.kr/soil/index.jsp (accessed on 10 February 2023).
- Prom-U-Thai, C.; Rerkasem, B. Rice quality improvement. A review. Agron. Sustain. Dev. 2020, 40, 28. [Google Scholar] [CrossRef]
- Custodio, M.C.; Cuevas, R.P.; Ynion, J.; Laborte, A.G.; Velasco, M.L.; Demont, M. Rice quality: How is it defined by consumers, industry, food scientists, and geneticists? Trends Food Sci. Technol. 2019, 92, 122–137. [Google Scholar] [CrossRef]
- Oh, S.K. Development of rice varieties for processing and trend of food industry. Food Ind. Nutr. 2016, 21, 8–14. [Google Scholar]
- Yang, W.H.; Park, J.H.; Choi, J.S.; Kang, S.G.; Kim, S.J. Yield characteristics and related agronomic traits affected by the transplanting date in early maturing varieties of rice in the central plain area of Korea. Korean J. Crop Sci. 2019, 64, 165–175. [Google Scholar] [CrossRef]
- Lee, J.H.; Park, D.S.; Kwak, D.Y.; Yeo, U.S.; Song, Y.C.; Kim, C.S.; Jeon, M.G.; Oh, B.G.; Shin, M.S.; Kim, J.K. Yield and grain quality of early maturing rice cultivars as affected by early transplanting in Yeongnam plain area. Korean J. Crop Sci. 2008, 53, 326–332. [Google Scholar]
- Yun, Y.T.; Chung, C.T.; Lee, Y.J.; Na, H.J.; Lee, J.C.; Lee, D.H.; Lee, K.W.; Kang, J.W.; Ahn, S.N. Variation of yield and quality in early maturing rice cultivars by transplanting date in Chungnam plain area in Korea. Plant Breed Biotech. 2015, 3, 47–57. [Google Scholar] [CrossRef]
- Yun, Y.T.; Chung, C.T.; Lee, Y.J.; Na, H.J.; Lee, J.C.; Lee, S.G.; Lee, K.W.; Yoon, Y.H.; Kang, J.W.; Lee, H.S.; et al. QTL mapping of grain quality traits using introgression lines carrying Oryza rufipogon chromosome segments in Japonica rice. Rice 2016, 9, 62. [Google Scholar] [CrossRef] [PubMed]
- National Institute of Agricultural Science and Technology (NIAST). Methods of Soil Chemical Analysis; RDA: Suwon, Republic of Korea, 2010; pp. 13–144. [Google Scholar]
- Yun, Y.T.; Chung, C.T.; Kim, G.C.; Kim, B.R. Improving Efficiency and Effectiveness of Disinfection by Soaking Seeds before Rice Seed Disinfection. Korean J. Crop Sci. 2022, 67, 137–146. [Google Scholar] [CrossRef]
- Dou, Z.; Tang, S.; Li, G.; Liu, Z.; Ding, C.; Chen, L.; Wang, S.; Ding, Y. Application of nitrogen fertilizer at heading stage improves rice quality under elevated temperature during grain-filling stage. Crop Sci. 2017, 57, 2183–2192. [Google Scholar] [CrossRef]
- Shi, W.; Yin, X.; Struik, P.C.; Xie, F.; Schmidt, R.C.; Jagadish, K.S. Grain yield and quality responses of tropical hybrid rice to high night-time temperature. Field Crops Res. 2016, 190, 18–25. [Google Scholar] [CrossRef]
- Shimono, H.; Fujimura, S.; Nishimura, T.; Hasegawa, T. Nitrogen uptake by rice (Oryza sativa L.) exposed to low water temperatures at different growth stages. J. Agron. Crop Sci. 2012, 198, 145–151. [Google Scholar] [CrossRef]
- Jia, Y.; Wang, J.; Qu, Z.; Zou, D.; Sha, H.; Liu, H.; Sun, J.; Zheng, H.; Wang, J.; Yang, L.; et al. Effects of low water temperature during reproductive growth on photosynthetic production and nitrogen accumulation in rice. Field Crops Res. 2019, 242, 107587. [Google Scholar] [CrossRef]
- Hwang, W.H.; Kang, J.R.; Baek, J.S.; An, S.H.; Jeong, J.H.; Jeong, H.Y.; Lee, H.S.; Yun, J.T.; Lee, G.H.; Choi, K.J. Effect of active nutrient uptake on heading under low temperature in rice. Korean J. Crop Sci. 2016, 61, 163–170. [Google Scholar] [CrossRef]
- Chen, K.; Lyskowski, A.; Jaremko, L.; Jaremko, M. Genetic and molecular factors determining grain weight in rice. Front. Plant Sci. 2021, 12, 1444. [Google Scholar] [CrossRef]
- Yuan, H.; Qin, P.; Hu, L.; Zhan, S.; Wang, S.; Gao, P.; Li, J.; Jin, M.; Xu, Z.; Gao, Q.; et al. OsSPL18 controls grain weight and grain number in rice. J. Genet. Genom. 2019, 46, 41–51. [Google Scholar] [CrossRef]
- Ying, J.Z.; Ma, M.; Bai, C.; Huang, X.H.; Liu, J.L.; Fan, Y.Y.; Song, X.J. TGW3, a major QTL that negatively modulates grain length and weight in rice. Mol. Plant 2018, 11, 750–753. [Google Scholar] [CrossRef]
- Sakamoto, T.; Matsuoka, M. Identifying and exploiting grain yield genes in rice. Curr. Opin. Plant Biol. 2008, 11, 209–214. [Google Scholar] [CrossRef]
- Abookheili, F.A.; Mobasser, H.R. Effect of planting density on growth characteristics and grain yield increase in successive cultivations of two rice cultivars. Agrosyst. Geosci Environ. 2021, 4, e20213. [Google Scholar] [CrossRef]
- Meas, V.; Shon, D.; Lee, Y.H. Impacts of Planting Density on Nutrients Uptake by System of Rice Intensification under No-tillage Paddy in Korea. Korean J. Soil Sci. Fertil. 2011, 44, 98–103. [Google Scholar] [CrossRef]
- Ren, D.; Li, Y.; He, G.; Qian, Q. Multifloret spikelet improves rice yield. New Phytol. 2020, 225, 2301–2306. [Google Scholar] [CrossRef]
- Son, Y.; Park, S.T.; Kim, S.C.; Lee, S.S.; Lee, S.K. Varietal response on different planting densities in rice. Res. Rept. RDA 1989, 34, 1–6. [Google Scholar]
- Hong, K.P.; Kim, Y.G.; Joung, W.K.; Shon, G.M.; Song, G.W.; Choi, Y.J.; Choe, Z.R. Varietal Differences and Time Course Changes in Greenness Values in Rice Leaf. Korean J. Crop Sci. 2003, 48, 479–483. [Google Scholar]
- Zhang, L.; Hashimoto, N.; Saito, Y.; Obara, K.; Ishibashi, T.; Ito, R.; Yamamoto, S.; Maki, M.; Homma, K. Validation of Relation between SPAD and Rice Grain Protein Content in Farmer Fields in the Coastal Area of Sendai, Japan. AgriEngineering 2023, 5, 369–379. [Google Scholar] [CrossRef]
- Hu, Y.; Cong, S.; Zhang, H. Comparison of the Grain Quality and Starch Physicochemical Properties between Japonica Rice Cultivars with Different Contents of Amylose, as Affected by Nitrogen Fertilization. Agriculture 2021, 11, 616. [Google Scholar] [CrossRef]
- Balindong, J.L.; Ward, R.M.; Liu, L.; Rose, T.J.; Pallas, L.A.; Ovenden, B.W.; Snell, P.J.; Waters, D.L.E. Rice grain protein composition influences instrumental measures of rice cooking and eating quality. J. Cereal Sci. 2018, 79, 35–42. [Google Scholar] [CrossRef]
- Kwon, S.W.; Cho, Y.C.; Lee, J.H.; Kim, J.J.; Kim, M.K.; Choi, I.S.; Hwang, H.G.; Koh, H.J.; Kim, Y.G. Identification of quantitative trait loci associated with rice eating quality traits using a population of recombinant inbred lines derived from a cross between two temperate japonica cultivars. Mol. Cells 2011, 31, 437–445. [Google Scholar] [CrossRef] [PubMed]







| Property | pH (1:5) | EC (dS/m) | Organic Matter (g/kg) | Available P2O5 (g/kg) | Available SiO2 (g/kg) | Exchangeable Cation (cmolckg−1) | ||
|---|---|---|---|---|---|---|---|---|
| K | Ca | Mg | ||||||
| Data | 6.3 | 0.37 | 16.2 | 25 | 353 | 0.3 | 6.6 | 1.7 |
| Recommendation | 6.0–6.5 | - | 30–50 | 80–120 | >157 | 0.2–0.3 | 5.0–6.0 | 1.5–2.0 |
| Treatment | Application Method | Total Nitrogen (kg/ha) | Split Application Method (kg/ha) | |
|---|---|---|---|---|
| Basal Dressing | Top Dressing | |||
| BD70 | Basal dressing | 70 (100%) | 70 (100%) | - |
| BD90 | 90 (100%) | 90 (100%) | - | |
| BD110 | 110 (100%) | 110 (100%) | - | |
| BTD70 | Basal + Top dressing | 70 (100%) | 49 (70%) | 21 (30%) |
| BTD90 | 90 (100%) | 63 (70%) | 27 (30%) | |
| BTD110 | 110 (100%) | 77 (70%) | 33 (30%) | |
| Year | Treatment | Heading Date (m.dd) | Days to Heading (Days) | Culm Length (cm) | Panicle Length (cm) | Panicle Number Hill−1 | |
|---|---|---|---|---|---|---|---|
| 2019 | Basal (BD) | BD70 | 6.26 a | 53 a | 62.4 d | 17.8 c | 14.2 c |
| BD90 | 6.26 a | 53 a | 63.8 c | 18.1 bc | 14.5 b | ||
| BD110 | 6.26 a | 53 a | 65.3 b | 18.3 b | 14.7 a | ||
| Basal + Top (BTD) | BTD70 | 6.26 a | 53 a | 64.5 bc | 18.2 b | 13.7 d | |
| BTD90 | 6.26 a | 53 a | 65.4 b | 18.5 ab | 14.2 c | ||
| BTD110 | 6.26 a | 53 a | 67.1 a | 18.7 a | 14.5 b | ||
| Mean | BD | 6.26 | 53 | 63.8 | 18.1 | 14.4 | |
| BTD | 6.26 | 53 | 65.6 | 18.5 | 14.1 | ||
| t-test | ns | ns | ** | * | ** | ||
| 2020 | Basal (BD) | BD70 | 6.24 a | 51 a | 70.6 c | 19.2 c | 15.5 b |
| BD90 | 6.24 a | 51 a | 71.3 c | 19.3 c | 16.3 a | ||
| BD110 | 6.24 a | 51 a | 72.5 b | 19.5 bc | 16.8 a | ||
| Basal + Top (BTD) | BTD70 | 6.24 a | 51 a | 73.4 ab | 19.6 bc | 15.1 b | |
| BTD90 | 6.24 a | 51 a | 74.0 | 19.8 ab | 15.4 b | ||
| BTD110 | 6.24 a | 51 a | 75.8 | 20.1 a | 15.6 b | ||
| Mean | BD | 6.24 | 51 | 71.5 | 19.3 | 16.2 | |
| BTD | 6.24 | 51 | 71.0 | 19.8 | 15.4 | ||
| t-test | ns | ns | ** | ** | ** | ||
| Mean | 2019 | 6.26 | 53 | 64.7 | 18.3 | 14.3 | |
| 2020 | 6.24 | 51 | 72.9 | 19.6 | 15.8 | ||
| t-test | ** | ** | ** | ** | ** | ||
| Year | Treatment | Spikelet No. Panicle−1 | Spikelet No. m−2 | Ripened Grain (%) | Ripened Grain No. m−2 | 1000-Grain Weight (g) | |
|---|---|---|---|---|---|---|---|
| 2019 | Basal (BD) | BD70 | 75.7 d | 25,526 c | 85.9 a | 21,932 c | 20.5 a |
| BD90 | 78.6 c | 27,080 b | 84.7 b | 22,925 b | 20.3 ab | ||
| BD110 | 79.7 bc | 27,863 b | 82.6 d | 23,014 b | 20.1 ab | ||
| Basal + Top (BTD) | BTD70 | 80.4 bc | 26,200 c | 83.8 bc | 21,956 c | 20.3 ab | |
| BTD90 | 81.5 b | 27,657 b | 83.4 cd | 23,077 b | 20.0 b | ||
| BTD110 | 85.9 a | 29,657 a | 80.6 e | 23,904 a | 20.1 ab | ||
| Mean | BD | 78.0 | 26,823 | 84.4 | 22,624 | 20.3 | |
| BTD | 82.6 | 27,838 | 82.6 | 22,979 | 20.1 | ||
| t-test | ** | ** | ** | ns | * | ||
| 2020 | Basal (BD) | BD70 | 76.9 d | 28,410 c | 79.5 a | 22,574 b | 20.4 a |
| BD90 | 78.3 d | 30,440 b | 77.1 bc | 23,478 ab | 20.3 a | ||
| BD110 | 80.5 cd | 31,966 a | 76.7 c | 24,507 a | 20.1 a | ||
| Basal + Top (BTD) | BTD70 | 83.1 bc | 29,884 b | 78.3 ab | 23,390 ab | 20.5 a | |
| BTD90 | 85.0 ab | 31,174 ab | 77.4 bc | 24,135 a | 20.3 a | ||
| BTD110 | 86.4 a | 32,102 a | 75.2 d | 24,154 a | 20.3 a | ||
| Mean | BD | 78.6 | 30,322 | 77.8 | 23,558 | 20.3 | |
| BTD | 84.9 | 31,054 | 77.0 | 23,893 | 20.3 | ||
| t-test | ** | ** | ** | ns | ns | ||
| Mean | 2019 | 80.3 | 27,331 | 83.5 | 22,801 | 20.2 | |
| 2020 | 81.7 | 30,663 | 77.4 | 23,706 | 20.3 | ||
| t-test | ns | ** | ** | ** | ns | ||
| Year | Treatment | Appearance Traits | Protein (%) | Glossiness of Cooked Rice | ||||
|---|---|---|---|---|---|---|---|---|
| Head | Chalky | Broken | Damaged | |||||
| 2019 | Basal (BD) | BD70 | 90.9 a | 7.1 d | 1.6 b | 0.4 a | 6.4 e | 58.8 a |
| BD90 | 89.4 b | 8.2 cd | 2.1 a | 0.3 a | 6.5 d | 58.6 a | ||
| BD110 | 88.6 b | 9.1 c | 2.2 a | 0.1 a | 6.7 c | 58.3 a | ||
| Basal + Top (BTD) | BTD70 | 89.3 b | 8.9 c | 1.5 b | 0.3 a | 6.8 b | 57.4 b | |
| BTD90 | 88.4 b | 10.2 b | 1.2 b | 0.2 a | 6.9 b | 57.1 b | ||
| BTD110 | 86.2 c | 12.2 a | 1.2 b | 0.4 a | 7.1 a | 56.1 c | ||
| Mean | BD | 89.6 | 8.1 | 2.0 | 0.3 | 6.5 | 58.6 | |
| BTD | 88.0 | 10.4 | 1.3 | 0.3 | 6.9 | 56.9 | ||
| t-test | ** | ** | ** | ns | ** | ** | ||
| 2020 | Basal (BD) | BD70 | 84.9 a | 10.4 b | 4.5 d | 0.2 a | 6.2 c | 61.8 a |
| BD90 | 84.0 ab | 10.7 b | 5.2 c | 0.1 a | 6.3 c | 61.3 ab | ||
| BD110 | 82.9 b | 12.9 a | 3.8 d | 0.4 a | 6.5 b | 60.9 b | ||
| Basal + Top (BTD) | BTD70 | 82.5 b | 10.7 b | 6.5 b | 0.3 a | 6.5 b | 60.1 c | |
| BTD90 | 80.8 d | 14.0 a | 4.9 c | 0.3 a | 6.8 a | 59.5 c | ||
| BTD110 | 78.9 e | 13.5 a | 7.2 a | 0.4 a | 6.9 a | 58.2 d | ||
| Mean | BD | 83.9 | 11.3 | 4.5 | 0.2 | 6.3 | 61.3 | |
| BTD | 80.7 | 12.7 | 6.2 | 0.3 | 6.7 | 59.3 | ||
| t-test | ** | ** | * | * | ** | ** | ||
| Mean | 2019 | 88.8 | 9.3 | 1.6 | 0.3 | 6.7 | 57.7 | |
| 2020 | 82.3 | 12.0 | 5.4 | 0.3 | 6.5 | 60.3 | ||
| t-test | ** | ** | ** | ns | * | ** | ||
Disclaimer/Publisher’s Note: The statements, opinions and data contained in all publications are solely those of the individual author(s) and contributor(s) and not of MDPI and/or the editor(s). MDPI and/or the editor(s) disclaim responsibility for any injury to people or property resulting from any ideas, methods, instructions or products referred to in the content. |
© 2023 by the authors. Licensee MDPI, Basel, Switzerland. This article is an open access article distributed under the terms and conditions of the Creative Commons Attribution (CC BY) license (https://creativecommons.org/licenses/by/4.0/).
Share and Cite
Yun, Y.; Kim, G.; Cho, G.; Lee, Y.; Yun, T.; Kim, H. Effect of Nitrogen Application Methods on Yield and Grain Quality of an Extremely Early Maturing Rice Variety. Agriculture 2023, 13, 832. https://doi.org/10.3390/agriculture13040832
Yun Y, Kim G, Cho G, Lee Y, Yun T, Kim H. Effect of Nitrogen Application Methods on Yield and Grain Quality of an Extremely Early Maturing Rice Variety. Agriculture. 2023; 13(4):832. https://doi.org/10.3390/agriculture13040832
Chicago/Turabian StyleYun, Yeotae, Gyucheol Kim, Giwon Cho, Youngju Lee, Tugsang Yun, and Hakhun Kim. 2023. "Effect of Nitrogen Application Methods on Yield and Grain Quality of an Extremely Early Maturing Rice Variety" Agriculture 13, no. 4: 832. https://doi.org/10.3390/agriculture13040832
APA StyleYun, Y., Kim, G., Cho, G., Lee, Y., Yun, T., & Kim, H. (2023). Effect of Nitrogen Application Methods on Yield and Grain Quality of an Extremely Early Maturing Rice Variety. Agriculture, 13(4), 832. https://doi.org/10.3390/agriculture13040832

