Genome-Wide Association Study (GWAS) Identifies Key Candidate Genes Associated with Leaf Size in Alfalfa (Medicago sativa L.)
Abstract
:1. Introduction
2. Materials and Methods
2.1. Plant Materials and Growth Conditions
2.2. Phenotypic Data Collection and Analysis
2.3. Sequencing and SNP Calling
2.4. Genome-Wide Association Study (GWAS) and Haplotype Analysis
2.5. Candidate Gene Analysis
3. Results
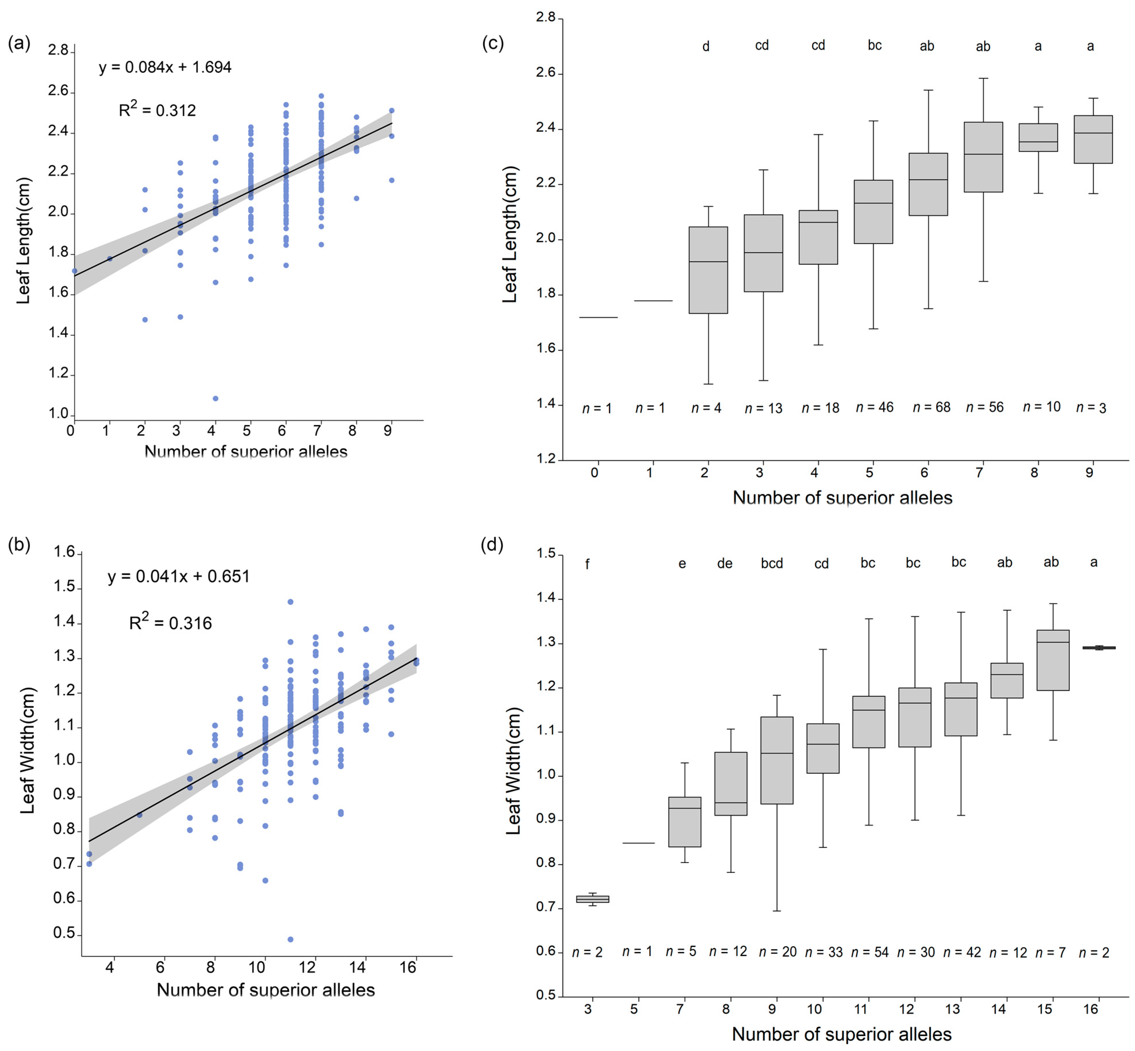
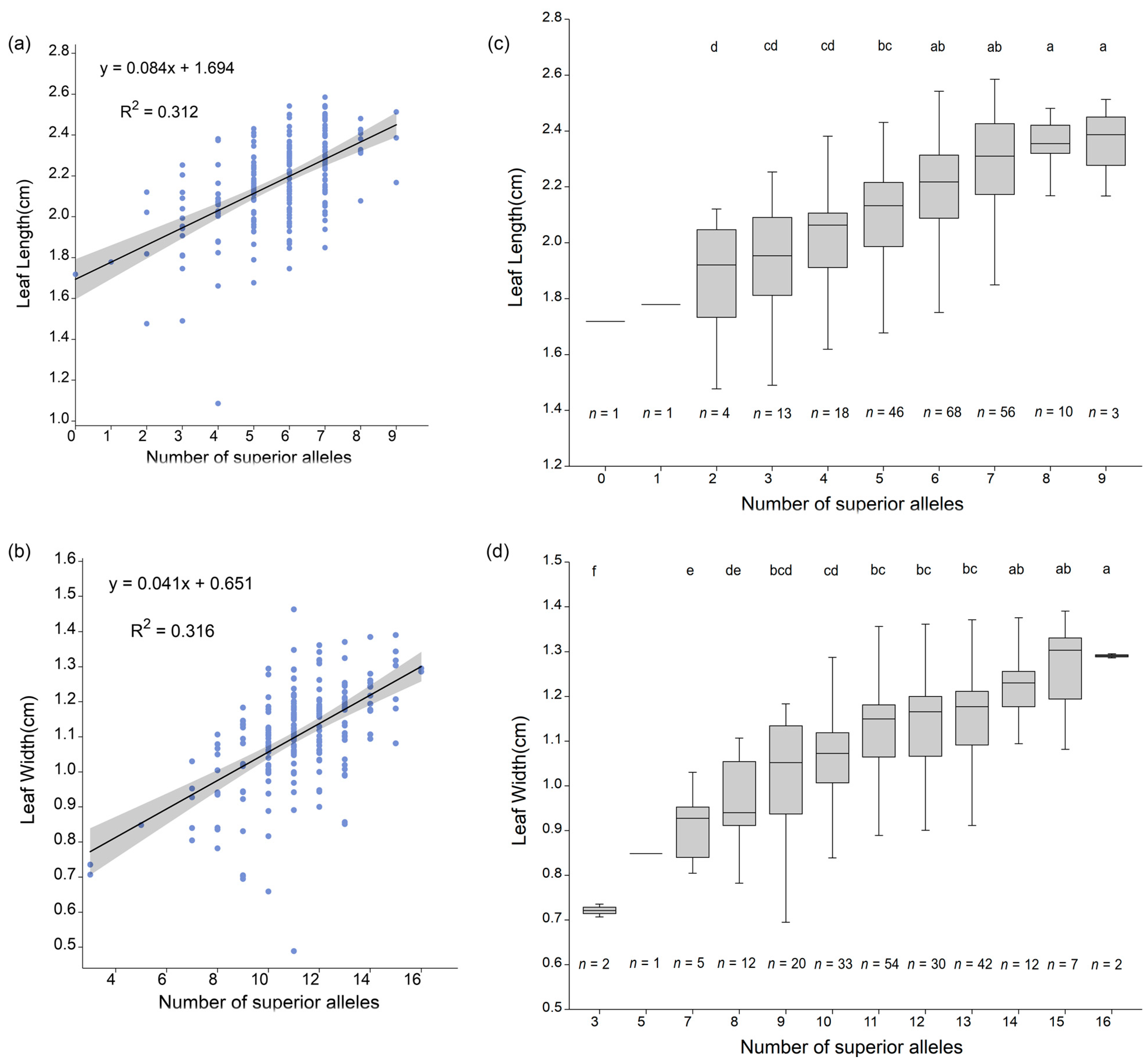
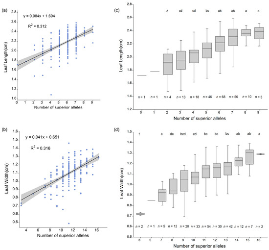
3.1. Phenotypic Data Analysis
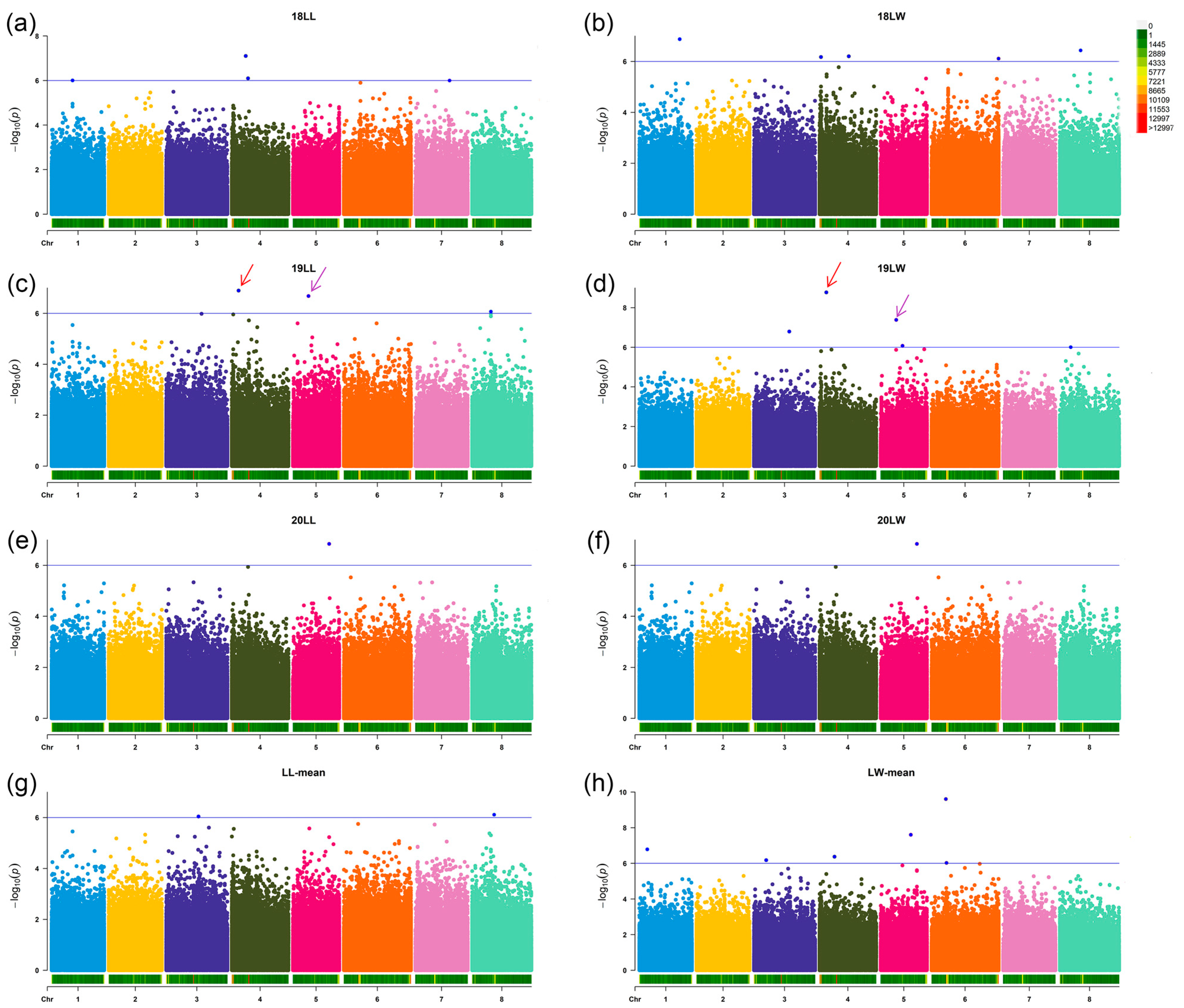
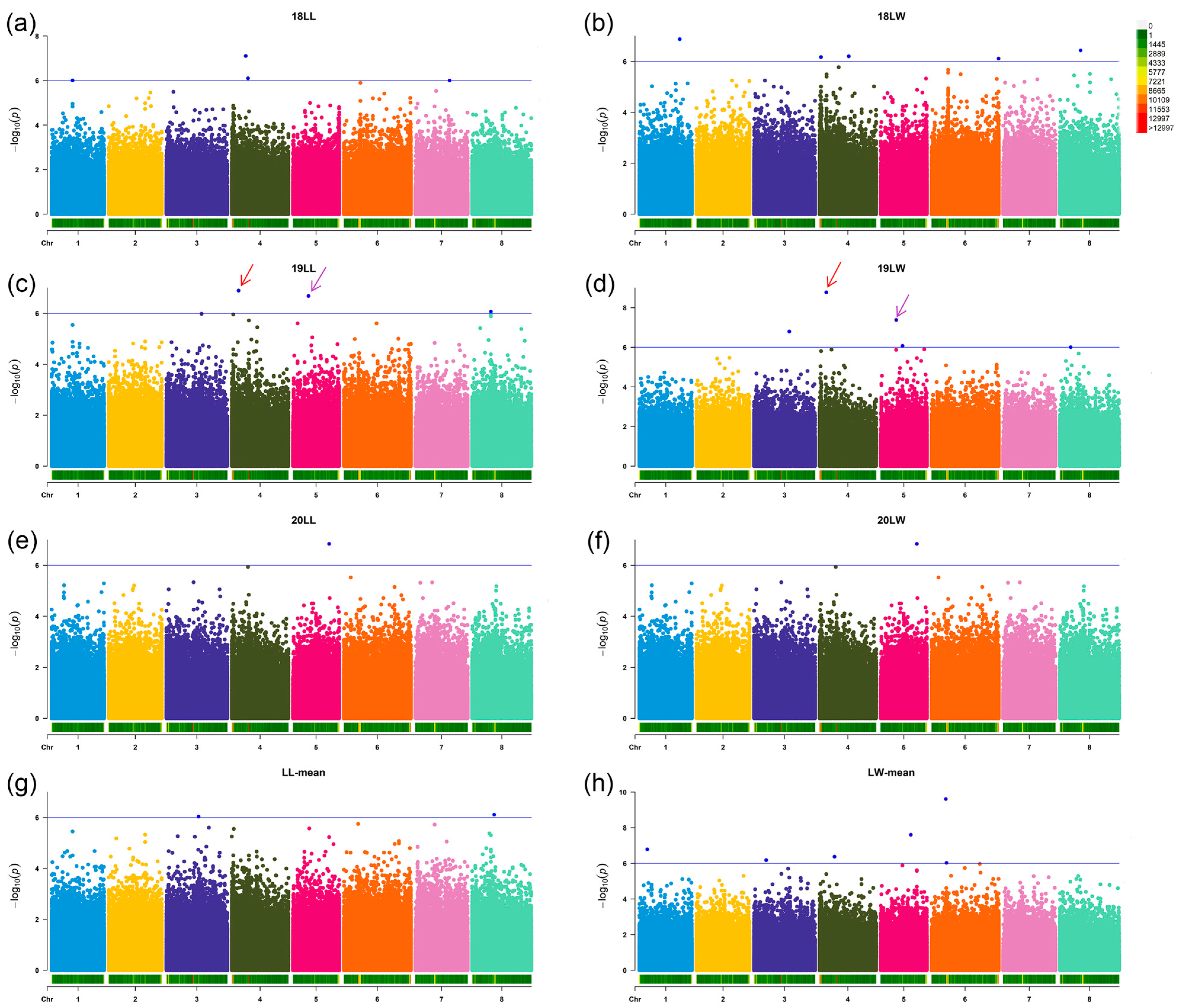
3.2. Genome-Wide Association Studies
3.3. Candidate Gene Analysis for Leaf Development in Alfalfa
4. Discussion
Supplementary Materials
Author Contributions
Funding
Institutional Review Board Statement
Data Availability Statement
Conflicts of Interest
References
- Gonzalez, N.; Vanhaeren, H.; Inzé, D. Leaf size control: Complex coordination of cell division and expansion. Trends Plant Sci. 2012, 17, 332–340. [Google Scholar] [CrossRef]
- Francisco, M.; Doghri, M.; Rodríguez, V.M. Time of day of leaf wounding determines plant biomass and affects the interplay between growth and defence in Brassica crops. Plant Biol. 2023, 25, 785–792. [Google Scholar] [CrossRef]
- Walter, A.; Silk, W.K.; Schurr, U. Environmental effects on spatial and temporal patterns of leaf and root growth. Annu. Rev. Plant Biol. 2009, 60, 279–304. [Google Scholar] [CrossRef]
- Giuliani, R.; Koteyeva, N.; Voznesenskaya, E.; Evans, M.A.; Cousins, A.B.; Edwards, G.E. Coordination of Leaf Photosynthesis, Transpiration, and Structural Traits in Rice and Wild Relatives (Genus oryza). Plant Physiol. 2013, 162, 1632–1651. [Google Scholar] [CrossRef]
- Xu, P.; Ali, A.; Han, B.; Wu, X. Current Advances in Molecular Basis and Mechanisms Regulating Leaf Morphology in Rice. Front. Plant Sci. 2018, 9, 1528. [Google Scholar] [CrossRef]
- Wang, H.; Kong, F.; Zhou, C. From genes to networks: The genetic control of leaf development. J. Integr. Plant Biol. 2021, 63, 1181–1196. [Google Scholar] [CrossRef]
- Spartz, A.K.; Lee, S.H.; Wenger, J.P.; Gonzalez, N.; Itoh, H.; Inzé, D.; Peer, W.A.; Murphy, A.S.; Overvoorde, P.J.; Gray, W.M. The SAUR19 subfamily of SMALL AUXIN UP RNA genes promote cell expansion. Plant J. Cell Mol. Biol. 2012, 70, 978–990. [Google Scholar] [CrossRef]
- Hu, Y.; Xie, Q.; Chua, N.H. The Arabidopsis auxin-inducible gene ARGOS controls lateral organ size. Plant Cell 2003, 15, 1951–1961. [Google Scholar] [CrossRef]
- Mallory, A.C.; Reinhart, B.J.; Jones-Rhoades, M.W.; Tang, G.; Zamore, P.D.; Barton, M.K.; Bartel, D.P. MicroRNA control of PHABULOSA in leaf development: Importance of pairing to the microRNA 5′ region. EMBO J. 2004, 23, 3356–3364. [Google Scholar] [CrossRef]
- Song, X.; Li, Y.; Cao, X.; Qi, Y. MicroRNAs and Their Regulatory Roles in Plant-Environment Interactions. Annu. Rev. Plant Biol. 2019, 70, 489–525. [Google Scholar] [CrossRef]
- Yu, L.; Yu, X.; Shen, R.; He, Y. HYL1 gene maintains venation and polarity of leaves. Planta 2005, 221, 231–242. [Google Scholar] [CrossRef]
- Yang, C.; Tang, D.; Qu, J.; Zhang, L.; Zhang, L.; Chen, Z.; Liu, J. Genetic mapping of QTL for the sizes of eight consecutive leaves below the tassel in maize (Zea mays L.). Theor. Appl. Genet. 2016, 129, 2191–2209. [Google Scholar] [CrossRef]
- Tang, X.; Gong, R.; Sun, W.; Zhang, C.; Yu, S. Genetic dissection and validation of candidate genes for flag leaf size in rice (Oryza sativa L.). Theor. Appl. Genet. 2018, 131, 801–815. [Google Scholar] [CrossRef]
- Fan, X.; Cui, F.; Zhao, C.; Zhang, W.; Yang, L.; Zhao, X.; Han, J.; Su, Q.; Ji, J.; Zhao, Z. QTLs for flag leaf size and their influence on yield-related traits in wheat (Triticum aestivum L.). Mol. Breed. 2015, 35, 24. [Google Scholar] [CrossRef]
- Liu, L.; Sun, G.; Ren, X.; Li, C.; Sun, D. Identification of QTL underlying physiological and morphological traits of flag leaf in barley. BMC Genet. 2015, 16, 29. [Google Scholar] [CrossRef]
- Dong, X.; Deng, H.; Ma, W.; Zhou, Q.; Liu, Z. Genome-wide identification of the MADS-box transcription factor family in autotetraploid cultivated alfalfa (Medicago sativa L.) and expression analysis under abiotic stress. BMC Genom. 2021, 22, 603. [Google Scholar] [CrossRef]
- Nasrollahi, V.; Allam, G.; Kohalmi, S.E.; Hannoufa, A. MsSPL9 Modulates Nodulation under Nitrate Sufficiency Condition in Medicago sativa. Int. J. Mol. Sci. 2023, 24, 9615. [Google Scholar] [CrossRef]
- Chen, F.; Zhang, J.; Ha, X.; Ma, H. Genome-wide identification and expression analysis of the Auxin-Response factor (ARF) gene family in Medicago sativa under abiotic stress. BMC Genom. 2023, 24, 498. [Google Scholar] [CrossRef]
- Chen, H.; Zeng, Y.; Yang, Y.; Huang, L.; Tang, B.; Zhang, H.; Hao, F.; Liu, W.; Li, Y.; Liu, Y.; et al. Allele-aware chromosome-level genome assembly and efficient transgene-free genome editing for the autotetraploid cultivated alfalfa. Nat. Commun. 2020, 11, 2494. [Google Scholar] [CrossRef] [PubMed]
- Miculan, M.; Nelissen, H.; Ben Hassen, M.; Marroni, F.; Inzé, D.; Pè, M.E.; Dell’Acqua, M. A forward genetics approach integrating genome-wide association study and expression quantitative trait locus mapping to dissect leaf development in maize (Zea mays). Plant J. Cell Mol. Biol. 2021, 107, 1056–1071. [Google Scholar] [CrossRef]
- Sun, M.; Yan, H.; Zhang, A.; Jin, Y.; Lin, C.; Luo, L.; Wu, B.; Fan, Y.; Tian, S.; Cao, X.; et al. Milletdb: A multi-omics database to accelerate the research of functional genomics and molecular breeding of millets. Plant Biotechnol. J. 2023, 21, 2348–2357. [Google Scholar] [CrossRef] [PubMed]
- Gupta, P.K.; Kulwal, P.L.; Jaiswal, V. Association mapping in plants in the post-GWAS genomics era. Adv. Genet. 2019, 104, 75–154. [Google Scholar] [CrossRef] [PubMed]
- Gupta, P.K.; Rustgi, S.; Kulwal, P.L. Linkage disequilibrium and association studies in higher plants: Present status and future prospects. Plant Mol. Biol. 2005, 57, 461–485. [Google Scholar] [CrossRef] [PubMed]
- Chiteri, K.O.; Chiranjeevi, S.; Jubery, T.Z.; Rairdin, A.; Dutta, S.; Ganapathysubramanian, B.; Singh, A. Dissecting the genetic architecture of leaf morphology traits in mungbean (Vigna radiata (L.) Wizcek) using genome-wide association study. Plant Phenome J. 2023, 6, e20062. [Google Scholar] [CrossRef]
- Hoang, G.T.; Gantet, P.; Nguyen, K.H.; Phung, N.T.P.; Ha, L.T.; Nguyen, T.T.; Lebrun, M.; Courtois, B.; Pham, X.H. Genome-wide association mapping of leaf mass traits in a Vietnamese rice landrace panel. PLoS ONE 2019, 14, e0219274. [Google Scholar] [CrossRef]
- Tian, F.; Bradbury, P.J.; Brown, P.J.; Hung, H.; Sun, Q.; Flint-Garcia, S.; Rocheford, T.R.; McMullen, M.D.; Holland, J.B.; Buckler, E.S. Genome-wide association study of leaf architecture in the maize nested association mapping population. Nat. Genet. 2011, 43, 159–162. [Google Scholar] [CrossRef]
- Yang, W.; Yao, D.; Wu, H.; Zhao, W.; Chen, Y.; Tong, C. Multivariate genome-wide association study of leaf shape in a Populus deltoides and P. simonii F1 pedigree. PLoS ONE 2021, 16, e0259278. [Google Scholar] [CrossRef]
- Chen, S.; Liu, F.; Wu, W.; Jiang, Y.; Zhan, K. A SNP-based GWAS and functional haplotype-based GWAS of flag leaf-related traits and their influence on the yield of bread wheat (Triticum aestivum L.). Theor. Appl. Genet. 2021, 134, 3895–3909. [Google Scholar] [CrossRef]
- Würschum, T.; Langer, S.M.; Longin, C.F.; Korzun, V.; Akhunov, E.; Ebmeyer, E.; Schachschneider, R.; Schacht, J.; Kazman, E.; Reif, J.C. Population structure, genetic diversity and linkage disequilibrium in elite winter wheat assessed with SNP and SSR markers. Theor. Appl. Genet. 2013, 126, 1477–1486. [Google Scholar] [CrossRef]
- Chen, L.; He, F.; Long, R.; Zhang, F.; Li, M.; Wang, Z.; Kang, J.; Yang, Q. A global alfalfa diversity panel reveals genomic selection signatures in Chinese varieties and genomic associations with root development. J. Integr. Plant Biol. 2021, 63, 1937–1951. [Google Scholar] [CrossRef]
- Bradbury, P.J.; Zhang, Z.; Kroon, D.E.; Casstevens, T.M.; Ramdoss, Y.; Buckler, E.S. TASSEL: Software for association mapping of complex traits in diverse samples. Bioinformatics 2007, 23, 2633–2635. [Google Scholar] [CrossRef]
- Simkin, A.J. Genetic Engineering for Global Food Security: Photosynthesis and Biofortification. Plants 2019, 8, 586. [Google Scholar] [CrossRef] [PubMed]
- Tanaka, M.; Keira, M.; Yoon, D.K.; Mae, T.; Ishida, H.; Makino, A.; Ishiyama, K. Photosynthetic Enhancement, Lifespan Extension, and Leaf Area Enlargement in Flag Leaves Increased the Yield of Transgenic Rice Plants Overproducing Rubisco Under Sufficient N Fertilization. Rice 2022, 15, 10. [Google Scholar] [CrossRef] [PubMed]
- Huang, S.; Sun, L.; Hu, X.; Wang, Y.; Zhang, Y.; Nevo, E.; Peng, J.; Sun, D. Associations of canopy leaf traits with SNP markers in durum wheat (Triticum turgidum L. durum (Desf.)). PLoS ONE 2018, 13, e0206226. [Google Scholar] [CrossRef] [PubMed]
- Liu, J.; Shi, K.; Wang, S.; Zhu, J.; Wang, X.; Hong, J.; Wang, Z. MsCYP71 is a positive regulator for drought resistance in alfalfa. Plant Physiol. Biochem. 2023, 203, 107999. [Google Scholar] [CrossRef]
- Yan, H.; Sun, M.; Zhang, Z.; Jin, Y.; Zhang, A.; Lin, C.; Wu, B.; He, M.; Xu, B.; Wang, J.; et al. Pangenomic analysis identifies structural variation associated with heat tolerance in pearl millet. Nat. Genet. 2023, 55, 507–518. [Google Scholar] [CrossRef]
- Zanini, S.F.; Bayer, P.E.; Wells, R.; Snowdon, R.J.; Batley, J.; Varshney, R.K.; Nguyen, H.T.; Edwards, D.; Golicz, A.A. Pangenomics in crop improvement-from coding structural variations to finding regulatory variants with pangenome graphs. Plant Genome 2022, 15, e20177. [Google Scholar] [CrossRef]
- Long, R.; Zhang, F.; Zhang, Z.; Li, M.; Chen, L.; Wang, X.; Liu, W.; Zhang, T.; Yu, L.X.; He, F.; et al. Genome Assembly of Alfalfa Cultivar Zhongmu-4 and Identification of SNPs Associated with Agronomic Traits. Genom. Proteom. Bioinform. 2022, 20, 14–28. [Google Scholar] [CrossRef]
- Chen, Y.; Niu, S.; Deng, X.; Song, Q.; He, L.; Bai, D.; He, Y. Genome-wide association study of leaf-related traits in tea plant in Guizhou based on genotyping-by-sequencing. BMC Plant Biol. 2023, 23, 196. [Google Scholar] [CrossRef]
- Jiang, X.; Yang, X.; Zhang, F.; Yang, T.; Yang, C.; He, F.; Gao, T.; Wang, C.; Yang, Q.; Wang, Z.; et al. Combining QTL mapping and RNA-Seq Unravels candidate genes for Alfalfa (Medicago sativa L.) leaf development. BMC Plant Biol. 2022, 22, 485. [Google Scholar] [CrossRef]
- He, F.; Kang, J.; Zhang, F.; Long, R.; Yu, L.-X.; Wang, Z.; Zhao, Z.; Zhang, T.; Yang, Q. Genetic mapping of leaf-related traits in autotetraploid alfalfa (Medicago sativa L.). Mol. Breed. 2019, 39, 147. [Google Scholar] [CrossRef]
- Li, X.; Brummer, E.C. Applied genetics and genomics in alfalfa breeding. Agronomy 2012, 2, 40–61. [Google Scholar] [CrossRef]
- Avia, K.; Pilet-Nayel, M.L.; Bahrman, N.; Baranger, A.; Delbreil, B.; Fontaine, V.; Hamon, C.; Hanocq, E.; Niarquin, M.; Sellier, H.; et al. Genetic variability and QTL mapping of freezing tolerance and related traits in Medicago truncatula. Theor. Appl. Genet. 2013, 126, 2353–2366. [Google Scholar] [CrossRef] [PubMed]
- Badri, M.; Chardon, F.; Huguet, T.; Aouani, M.E. Quantitative trait loci associated with drought tolerance in the model legume Medicago truncatula. Euphytica 2011, 181, 415–428. [Google Scholar] [CrossRef]
- Li, Y.; Xiong, H.; Guo, H.; Zhao, L.; Xie, Y.; Gu, J.; Zhao, S.; Ding, Y.; Li, H.; Zhou, C.; et al. Genome-wide characterization of two homeobox families identifies key genes associated with grain-related traits in wheat. Plant Sci. Int. J. Exp. Plant Biol. 2023, 336, 111862. [Google Scholar] [CrossRef] [PubMed]
- Zhao, Y.; Tian, H.; Li, C.; Yi, H.; Zhang, Y.; Li, X.; Zhao, H.; Huo, Y.; Wang, R.; Kang, D.; et al. HTPdb and HTPtools: Exploiting maize haplotype-tag polymorphisms for germplasm resource analyses and genomics-informed breeding. Plant Commun. 2022, 3, 100331. [Google Scholar] [CrossRef] [PubMed]
- Shen, S.; Xu, S.; Wang, M.; Ma, T.; Chen, N.; Wang, J.; Zheng, H.; Yang, L.; Zou, D.; Xin, W.; et al. BSA-Seq for the Identification of Major Genes for EPN in Rice. Int. J. Mol. Sci. 2023, 24, 14838. [Google Scholar] [CrossRef] [PubMed]
- Sjögren, L.L.; Clarke, A.K. Assembly of the chloroplast ATP-dependent Clp protease in Arabidopsis is regulated by the ClpT accessory proteins. Plant Cell 2011, 23, 322–332. [Google Scholar] [CrossRef]
- Sjögren, L.L.; Stanne, T.M.; Zheng, B.; Sutinen, S.; Clarke, A.K. Structural and functional insights into the chloroplast ATP-dependent Clp protease in Arabidopsis. Plant Cell 2006, 18, 2635–2649. [Google Scholar] [CrossRef]
- Shu, K.; Yang, W. E3 Ubiquitin Ligases: Ubiquitous Actors in Plant Development and Abiotic Stress Responses. Plant Cell Physiol. 2017, 58, 1461–1476. [Google Scholar] [CrossRef]
- Shen, G.; Adam, Z.; Zhang, H. The E3 ligase AtCHIP ubiquitylates FtsH1, a component of the chloroplast FtsH protease, and affects protein degradation in chloroplasts. Plant J. Cell Mol. Biol. 2007, 52, 309–321. [Google Scholar] [CrossRef] [PubMed]
- Miao, Y.; Zentgraf, U. A HECT E3 ubiquitin ligase negatively regulates Arabidopsis leaf senescence through degradation of the transcription factor WRKY53. Plant J. Cell Mol. Biol. 2010, 63, 179–188. [Google Scholar] [CrossRef] [PubMed]
- Kang, C.Y.; Lian, H.L.; Wang, F.F.; Huang, J.R.; Yang, H.Q. Cryptochromes, phytochromes, and COP1 regulate light-controlled stomatal development in Arabidopsis. Plant Cell 2009, 21, 2624–2641. [Google Scholar] [CrossRef] [PubMed]
- Kotak, J.; Saisana, M.; Gegas, V.; Pechlivani, N.; Kaldis, A.; Papoutsoglou, P.; Makris, A.; Burns, J.; Kendig, A.L.; Sheikh, M.; et al. The histone acetyltransferase GCN5 and the transcriptional coactivator ADA2b affect leaf development and trichome morphogenesis in Arabidopsis. Planta 2018, 248, 613–628. [Google Scholar] [CrossRef] [PubMed]
- Tang, W.; Wang, W.; Chen, D.; Ji, Q.; Jing, Y.; Wang, H.; Lin, R. Transposase-derived proteins FHY3/FAR1 interact with PHYTOCHROME-INTERACTING FACTOR1 to regulate chlorophyll biosynthesis by modulating HEMB1 during deetiolation in Arabidopsis. Plant Cell 2012, 24, 1984–2000. [Google Scholar] [CrossRef]
- Ma, L.; Li, G. FAR1-RELATED SEQUENCE (FRS) and FRS-RELATED FACTOR (FRF) Family Proteins in Arabidopsis Growth and Development. Front. Plant Sci. 2018, 9, 692. [Google Scholar] [CrossRef]
- Cenci, A.; Concepción-Hernández, M.; Guignon, V.; Angenon, G.; Rouard, M. Genome-Wide Classification and Phylogenetic Analyses of the GDSL-Type Esterase/Lipase (GELP) Family in Flowering Plants. Int. J. Mol. Sci. 2022, 23, 12114. [Google Scholar] [CrossRef]
- Tamaki, H.; Konishi, M.; Daimon, Y.; Aida, M.; Tasaka, M.; Sugiyama, M. Identification of novel meristem factors involved in shoot regeneration through the analysis of temperature-sensitive mutants of Arabidopsis. Plant J. Cell Mol. Biol. 2009, 57, 1027–1039. [Google Scholar] [CrossRef]





| Category | Average | SD | Median | Minimum | Maximum | Skewness | Kurtosis | SE | CV (%) | p-Value |
|---|---|---|---|---|---|---|---|---|---|---|
| 18LL | 1.76 | 0.22 | 1.8 | 1 | 2.3 | −0.16 | 0.36 | 0.01 | 12.56 | <0.001 |
| 19LL | 2.53 | 0.31 | 2.6 | 1.6 | 3.3 | −0.49 | 0.5 | 0.02 | 12.1 | <0.001 |
| 20LL | 2.3 | 0.27 | 2.3 | 1.5 | 3 | −0.14 | 0.22 | 0.02 | 11.6 | <0.01 |
| LL-mean | 2.17 | 0.22 | 2.19 | 1.09 | 2.59 | −0.29 | −0.43 | 0.01 | 10.09 | <0.001 |
| 18LW | 0.83 | 0.1 | 0.8 | 0.5 | 1.1 | −0.14 | 0.02 | 0.01 | 12.08 | <0.001 |
| 19LW | 1.44 | 0.24 | 1.5 | 0.6 | 2 | −0.4 | 0.46 | 0.02 | 16.53 | <0.001 |
| 20LW | 1.09 | 0.14 | 1.1 | 0.7 | 1.6 | 0.32 | 1.08 | 0.01 | 13.22 | <0.001 |
| LW-mean | 1.1 | 0.15 | 1.12 | 0.49 | 1.46 | −0.71 | 0.8 | 0.01 | 13.25 | <0.001 |
| Trait | Marker | Variant | Superior Allele | Chromosome | p-Value | LOD | R2 (%) |
|---|---|---|---|---|---|---|---|
| 18LL | chr4__21547816 | T/C | T/T | 4 | 7.88 × 10−8 | 7.103 | 10.9 |
| chr4__25161830 | A/G | A/A | 4 | 8.01 × 10−7 | 6.096 | 10.7 | |
| chr1__32276127 | G/A | G/G | 1 | 9.97 × 10−7 | 6.001 | 10.5 | |
| 18LW | chr1__62417155 | C/T | C/T | 1 | 1.34 × 10−7 | 6.873 | 11.6 |
| chr8__32102377 | A/G | A/G | 8 | 3.68 × 10−7 | 6.435 | 12.4 | |
| chr4__45272900 | C/T | C/T, C/C | 4 | 6.31 × 10−7 | 6.2 | 12 | |
| chr4__2117557 | A/G | A/G | 4 | 6.69 × 10−7 | 6.175 | 10.4 | |
| chr6__104023158 | G/A | A/G | 6 | 7.77 × 10−7 | 6.11 | 10.3 | |
| 19LL | chr4__10421186 | A/T | A/T, A/A | 4 | 1.27 × 10−7 | 6.897 | 13.5 |
| chr5__24099977 | T/G | T/T | 5 | 2.09 × 10−7 | 6.68 | 11.4 | |
| chr8__28919244 | T/G | T/T, G/T | 8 | 8.55 × 10−7 | 6.068 | 12.2 | |
| 19LW | chr4__10421186 | A/T | A/A, A/T | 4 | 1.69 × 10−9 | 8.773 | 14.7 |
| chr5__24099977 | T/G | T/T | 5 | 4.12 × 10−8 | 7.385 | 11.1 | |
| chr3__54671421 | A/G | A/G, A/A | 3 | 1.60 × 10−7 | 6.795 | 11.5 | |
| chr5__33941257 | C/G | C/G | 5 | 8.43 × 10−7 | 6.074 | 11 | |
| chr8__16727552 | T/G | G/T, T/T | 8 | 9.89 × 10−7 | 6.005 | 10.4 | |
| 20LL | chr5__56222287 | C/A | C/C | 5 | 1.44 × 10−7 | 6.841 | 11.2 |
| 20LW | chr7__25704991 | T/C | T/T | 7 | 9.88 × 10−7 | 6.005 | 9.8 |
| LL-mean | chr8__34096759 | T/C | C/T | 8 | 7.76 × 10−7 | 6.11 | 10.1 |
| chr3__49868041 | C/T | C/C | 3 | 9.14 × 10−7 | 6.039 | 11.5 | |
| LW-mean | chr6__22371428 | G/A | A/G | 6 | 2.48 × 10−10 | 9.605 | 15.6 |
| chr5__46799336 | C/T | C/C | 5 | 2.49 × 10−8 | 7.603 | 12.4 | |
| chr1__12214599 | G/T | G/T, G/G | 1 | 1.64 × 10−7 | 6.785 | 12.5 | |
| chr4__23137976 | T/C | T/T | 4 | 4.26 × 10−7 | 6.371 | 11.9 | |
| chr3__18740637 | G/A | A/G, A/A | 3 | 6.65 × 10−7 | 6.177 | 11.4 | |
| chr6__23303002 | A/C | A/C | 6 | 9.44 × 10−7 | 6.025 | 9.7 |
| Trait | Marker | Gene Model | Position | BLAST-P | |||||
|---|---|---|---|---|---|---|---|---|---|
| Chromosome | Start-Pos | End-Pos | Stand | Annotation | E-Value | %ID | |||
| 18LL | chr4__21547816 | Msa0540020 | 4 | 21527816 | 21567816 | - | TATA-binding protein-associated factor BTAF1 isoform X1 | 0 | 95.68% |
| 18LW | chr1__62417155 | Msa0034440 | 1 | 62397155 | 62437155 | - | putative histone acetyltransferase | 4.00 × 10−76 | 78.53% |
| chr8__32102377 | Msa1189740 | 8 | 32082377 | 32122377 | - | GDSL esterase/lipase At5g22810 | 3.00 × 10−87 | 70.44% | |
| chr4__45272900 | Msa0549940 | 4 | 45252900 | 45292900 | - | ATP-dependent Clp protease proteolytic subunit 6, chloroplastic | 0 | 95.99% | |
| 19LW | chr4__10421186 | Msa0534800 | 4 | 10401186 | 10441186 | + | protein FAR1-RELATED SEQUENCE 5-like | 0 | 86.65% |
| chr3__54671421 | Msa0362890 | 3 | 54651421 | 54691421 | - | E3 ubiquitin-protein ligase KEG | 0 | 96.87% | |
Disclaimer/Publisher’s Note: The statements, opinions and data contained in all publications are solely those of the individual author(s) and contributor(s) and not of MDPI and/or the editor(s). MDPI and/or the editor(s) disclaim responsibility for any injury to people or property resulting from any ideas, methods, instructions or products referred to in the content. |
© 2023 by the authors. Licensee MDPI, Basel, Switzerland. This article is an open access article distributed under the terms and conditions of the Creative Commons Attribution (CC BY) license (https://creativecommons.org/licenses/by/4.0/).
Share and Cite
Xu, M.; Jiang, X.; He, F.; Sod, B.; Yang, T.; Zhang, F.; Cong, L.; Long, R.; Li, M.; Wang, X.; et al. Genome-Wide Association Study (GWAS) Identifies Key Candidate Genes Associated with Leaf Size in Alfalfa (Medicago sativa L.). Agriculture 2023, 13, 2237. https://doi.org/10.3390/agriculture13122237
Xu M, Jiang X, He F, Sod B, Yang T, Zhang F, Cong L, Long R, Li M, Wang X, et al. Genome-Wide Association Study (GWAS) Identifies Key Candidate Genes Associated with Leaf Size in Alfalfa (Medicago sativa L.). Agriculture. 2023; 13(12):2237. https://doi.org/10.3390/agriculture13122237
Chicago/Turabian StyleXu, Ming, Xueqian Jiang, Fei He, Bilig Sod, Tianhui Yang, Fan Zhang, Lili Cong, Ruicai Long, Mingna Li, Xue Wang, and et al. 2023. "Genome-Wide Association Study (GWAS) Identifies Key Candidate Genes Associated with Leaf Size in Alfalfa (Medicago sativa L.)" Agriculture 13, no. 12: 2237. https://doi.org/10.3390/agriculture13122237
APA StyleXu, M., Jiang, X., He, F., Sod, B., Yang, T., Zhang, F., Cong, L., Long, R., Li, M., Wang, X., Yang, Q., Zhang, T., & Kang, J. (2023). Genome-Wide Association Study (GWAS) Identifies Key Candidate Genes Associated with Leaf Size in Alfalfa (Medicago sativa L.). Agriculture, 13(12), 2237. https://doi.org/10.3390/agriculture13122237

