You are currently viewing a new version of our website. To view the old version click .
Agriculture
  • Communication
  • Open Access

10 October 2023

Post-Fire Soil Nutrient Dynamics in Seriphium plumosum L. Encroached Semi-Arid Grassland of Gauteng Province, South Africa

,
and
1
Agricultural Research Council, Animal Production, Range and Forage Science, Irene 0062, South Africa
2
School of Life Sciences, College of Agriculture, Engineering and Science, University of Kwa-Zulu Natal, Scottsville 4041, South Africa
*
Author to whom correspondence should be addressed.
This paper is a part of the PhD Thesis of Hosia T. Pule, presented at the University of KwaZulu-Natal (UKZN), South Africa.
This article belongs to the Special Issue Soil Degradation and Remediation

Abstract

Seriphium plumosum L. is an indigenous unpalatable shrub that occurs in fire-prone semi-arid South African grassland areas, yet research proposes the use of fire to control its encroachment of rangelands. This study investigated the interaction effects of burning and soil depth on components of soil fertility. Soil samples were collected from the surface (<10 cm) and subsurface (>10 ≤ 20 cm) soil, before and after burning in randomly selected paired subplots (25 m × 25 m), with six replicates. Data was analysed as a randomised complete block design, with repeated measures (before and after burning) in a 2 × 2 factorial analysis of variance (ANOVA) using generalised linear model (GLM) procedures. Components of soil fertility measured (K, Ca, Mg, Org C, P, pH and TN) showed a significant decrease with increasing soil depth both before and after burning, except for K and P, which were significantly higher in surface soils after burning. The results showed that the response of soil nutrients to fire depends on the temperature tolerance threshold of individual soil nutrient elements. Increasing surface soil available K and P concentrations after burning may improve the conditions for S. plumosum encroachment, with implications for similar environments and species worldwide.

1. Introduction

Global drylands have evolved with fires [1], which occur from both natural and anthropogenic ignition [2]. Africa is referred to as the “fire continent” [3], with fires occurring from January to April in West Africa and from July to October in eastern and southern Africa [4]. These fires affect the soil, flora and fauna [5], thus shaping the global biome’s distribution and maintaining its structure and function [6]. Although fire is a cost-effective management tool to control woody plant encroachment [7], and increase forage production [8], its effectiveness in semi-arid grasslands is questioned [9,10,11], especially without browsers [12]. Hence, understanding the role of fire in shaping both vegetation and soil structure and functioning is key to managing woody plant encroachment, especially in fire-prone semi-arid grasslands.
Research on post-fire soil nutrient concentrations in semi-arid rangelands is lacking [13], yet it is important in biogeochemical cycles and the ecology of microbial, plant, and animal communities [14], among others. Soil nutrients also play an important role in maintaining the structure and function of grassland ecosystems [15], but the interaction effect of fire and soil fertility in driving rangelands’ ecosystem structure and function remains underresearched. Consequently, this limits our understanding of the role of fire in soil nutrient cycling and on woody plant encroachment control, especially of species such as S. plumosum, which thrive in fire-prone areas.
The effects of fire on soils may be brief, extended, or permanent, depending on the soil property concerned, the frequency and severity of the fire [16], the type of burned vegetation, and the regional climatic conditions [17]. These effects on soil nutrients are usually restricted to the first few centimeters of the topsoil [18,19] and are driven by fire temperature. Consequently, understanding how soil nutrients respond to fire may provide essential knowledge about biogeochemical cycles, ecosystem succession, and general grassland management [20].
Seriphium plumosum L., also known as slangbos or bankrupt bush, is a multi-stemmed encroacher shrub in the Asteraceae family, indigenous to South Africa [21,22]. Its encroachment reduces grass production [23,24,25] and biodiversity [26]. While chemical and mechanical control measures for S. plumosum encroachment are expensive and labour intensive [24], the use of fire in controlling S. plumosum encroachment remains a subject of much debate [27]. In addition, research on post-fire soil nutrient dynamics of S. plumosum encroached areas is lacking [28], yet it is critical to aid land managers in predicting ecosystem recovery responses post fire [29], and to quantify land degradation processes and post-fire restoration plans [30].
This study explored the short-term interaction effect of burning (before and after fire) and soil depth (<10 cm and 10–20 cm) on components of soil fertility (potassium (K), phosphorus (P), magnesium (Mg), total nitrogen (TN), sodium (Na), calcium (Ca), soil organic carbon (SOC) and pH) in S. plumosum encroached semi-arid grassland communities in Gauteng Province. It is hypothesized that (1) intense fires on surface soils will lead to the combustion of SOC and TN loss caused by volatilization, and (2) accumulating ash post-fire will increase the general surface soil nutrients (K, P, Mg, Na, Ca and pH) content.

2. Materials and Methods

2.1. Study Area

The experiment was conducted on Carletonville Dolomite Grassland (CDG) [31], situated in Gauteng Province, South Africa. The experimental sites are located on a gentle (approx. 10°) north-facing slope [32], at an elevation of approximately 1614 m above sea level. Rain falls almost exclusively in the summer (October–April), with a mean of 593 mm per annum [31]. The average minimum and maximum summer and winter temperatures for the CDG are 15.4–30 °C and 6–21 °C [31], respectively.
Seriphium plumosum L. density and canopy size at the experimental site were 1 plant/2.17 m2 (±2.39 (SEM)) and 1.39 m2 (±0.11), respectively. The soils are predominantly from Dolomite and Chert of the Malmani subgroup, which support mostly shallow Mispah and Glenrosa soil forms typical of the Fa land type [31]. These soils had a mean silt and clay content of 8.66% (±0.96) and 28% (±0.29), respectively [32]. The land use is mainly cattle grazing and the area burns approximately once every three years.

2.2. Sampling Design

The study used a factorial design consisting of burning (before and after fire) and soil depth (<10 cm and 10–20 cm), with six replicates [32]. Soil samples were randomly collected from burned subplots of 25 m × 25 m each before and after burning. The sampling was carried out on the same subplots before and after burning to allow for comparison. There was a minimum distance of 10 m between the randomly selected subplots. These experimental plots were in an enclosed camp, free from human disturbance and cattle grazing. Furthermore, soil sampling before and after fire was performed before rainfall to avoid the effect of rainfall on components of soil fertility.

2.3. Soil Sampling

Since southern African fires occur mostly between July and October [6], soil samples (n = 20) were randomly collected an hour before burning (August) and a month after burning (September), with each fire lasting for the duration of approximately 30–45 min. These soil samples were collected from the surface (<10 cm) (n = 10) and subsurface (10–20 cm) soil layers (n = 10), and pooled together per soil depth. The total number of soil samples before and after burning, was 36 and 36, respectively. The soils were analysed for K, P, Mg, TN, Na, Ca, SOC and pH. Soil P was determined using a P Bray No. 1, following Mallarino and Blackmer [33]. Soil K, Ca, Mg and Na content were determined using the soil ammonium acetate extraction method [34]. Soil organic carbon was determined following the Walkley Black [35] procedure, while TN was determined using a Total Nitrogen digester. Soil pH was determined using water, with a 2:5 soil:water ratio [36].

2.4. Statistical Analysis

The effects of burning (before and after fire), soil depth (<10 cm and 10–20 cm), and their interactions on components of soil fertility were analysed as a randomised complete block design, with repeated measures (before and after fire) in a 2 × 2 factorial analysis of variance (ANOVA) using generalized linear model (GLM) procedures. Burning and soil depth were analysed as independent variables and components of soil fertility were analysed as dependent variables. Soil Mg, TN, Ca and pH values were log-transformed to meet the normality and homogeneity assumptions of ANOVA, but this transformation was not necessary for K, P, Na and SOC. The data was analysed using SPSS, version 15 of 2016. When the ANOVA produced significant results, the means were compared using Tukey’s HSD test, and the differences were declared significant at p < 0.05.

3. Results

Burning significantly affected soil K, Na, and P (p < 0.05). Similarly, soil depth had a significant effect on soil K, Ca, Mg, Org C, P, pH and TN (p < 0.05), and the interaction between burning and soil depth significantly affected soil K, Ca, Mg, Org C, P and TN (p < 0.05; Table 1).
Table 1. ANOVA results for the main factor of burning, soil depth, and their interaction on components of soil fertility.
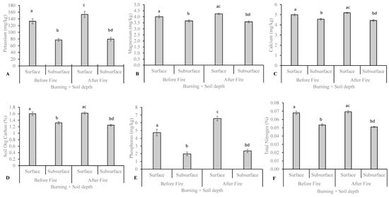
Burning significantly increased soil K (before: 94.74 ± 3.36 (SEM), after: 116.20 mg/kg ± 6.74), Na (before: 4.33 mg/kg ± 0.21, after: 6.27 mg/kg ± 0.41) and P (before: 3.23 mg/kg ± 0.15, after: 4.34 mg/kg ± 0.27). Soil K (surface: 127.64 mg/kg ± 4.77, subsurface: 76.15 mg/kg ± 2.65), Ca (surface: 154.88 mg/kg ± 7.02, subsurface: 90.37 mg/kg ± 4.28), Mg (surface: 60. 70 mg/kg ± 3.08, subsurface: 39.72 mg/kg ± 1.78) and Org C (surface: 1.54 mg/kg ± 0.02, subsurface: 1.28 mg/kg ± 0.01) were significantly higher in the surface compared to subsurface soils. Similarly, soil P (surface: 4.99 mg/kg ± 0.01, subsurface: 2.29 mg/kg ± 0.13), pH (surface: 4.91 ± 0.022, subsurface: 4.71 ± 0.01) and TN (surface: 0.06% ± 0.0009, subsurface: 0.05% ± 0.067) content was significantly higher in surface soils compared to subsurface soils. There was a significant interaction effect of burning × soil depth on soil K, Ca, Mg, Org C, P and TN (p < 0.05). However, these effects were pronounced on soil available K and P concentrations, which were significantly higher after fire than before fire on the surface soil (p < 0.05; Figure 1).
Figure 1. Interaction effect of burning × soil depth on the concentration of soil P (A), Ca (B), Mg (C), SOC (D), P (E) and TN (F) concentrations. The same letters on the bars mean that p > 0.05.

4. Discussion

The fire increased soil available K, Na, and P, but not Ca, Mg, SOC and TN concentrations and pH levels. Soil fertility (K, P, Mg, TN, Ca, SOC and pH) decreased with soil depth, while fire × soil depth increased soil K and P concentrations post fire, especially in the surface soils.
Fire has the potential to mobilize nutrients, so depending on its intensity and frequency, it may increase or decrease nutrient availability in the ecosystem [37]. Nitrogen and SOC have a temperature tolerance threshold as low as 200 °C [38], with half of nitrogen volatilization occurring at a temperature of 500 °C. This suggests that the prescribed fire used in this study was relatively hot (>200 °C) to cause combustion of organic matter and nitrogen loss by volatilization [39]. The fire increased soil available P, K and Mg concentrations [40,41,42]. Soil available K and P have moderate fire sensitivity and a fire tolerance threshold of 774 °C [43], hence their increase with fire in this study. The higher heat tolerance thresholds of soil available Mg, Ca, and Mn of 1107 °C, 1484 °C, and 1962 °C [44], respectively, in part explaining their stability post-fire in this study. Gowlett et al. [45] also found temperatures for the grass-brush communities in South African semi-arid areas to peak at 500 °C, which may suggest that the prescribed fire used in this experiment was probably above 200 °C but lower than 774 °C. Hence, the observed changes occurred exclusively on components of soil fertility with a threshold of 774 °C in this study.
Generally, the responses of individual components of soil fertility to fire are inconsistent and non-universal [46], in part because each has an inherent temperature tolerance threshold [44], among other factors. Soil available K and P increase with fire [47], especially in the surface soils, as shown in this study. Ando et al. [48] reported increasing levels of available nutrients such as P and exchangeable K following fire. Although soil-available P responds differently to fire, substantial amounts of readily available P are found in the ash and on the soil surface immediately following a fire [44]. Soil available P [49] and K [50] are the most important soil parameters influencing woody plant cover after mean annual precipitation and fire. Consequently, their increase after fire in surface soils may contribute to facilitating S. plumosum encroachment in the semi-arid grassland communities of Gauteng Province, South Africa.
A combination of combustion and heat transfer that produces a sharp temperature gradient in the surface soil profile [51] might contribute to explaining the association between S. plumosum and high-temperature and/or fire-prone areas [52]. Fire may contribute to controlling woody plant encroachment [53,54] while improving soil nutrient status, especially soil K and P concentrations, which favour the conditions for S. plumosum germination from a soil seedbank [21], which explains its encroachment on rangelands. The reduction in SOC and TN concentrations post-burning [39] and the lack of their change with fire in this study favours the condition for S. plumosum encroachment [24]. These results suggest that fire is an important factor driving S. plumosum distribution and occurrence, hence its association with fire-prone areas. There is, however, a need for more long-term research on the effects of fire intensity and frequency on components of soil fertility and S. plumosum population dynamics in South African semi-arid grasslands.

5. Conclusions

This study has shown that fire did not affect SOC and TN, but improved soil available K and P concentrations, especially in the surface soil. These conditions may favour S. plumosum germination from soil seed banks, seedling recruitment and, consequently, its potential encroachment on rangeland communities. Furthermore, the ability of S. plumosum to coppice or resprout after fire might improve with improved conditions for growth. An understanding of the role of fire intensity and severity on soil fertility, soil seed banks, and the control of S. plumosum encroachment is also lacking. Hence, there is a need for more long-term research on how multiple interacting factors in space and time contribute directly or indirectly to causing S. plumosum encroachment in South African grassland communities.

Author Contributions

Study Conceptualization, H.T.P., J.T.T. and M.J.T. Methodology, H.T.P., J.T.T. and M.J.T. Validation, J.T.T. and M.J.T. Formal Analysis, H.T.P. Writing—Original Draft Preparation, H.T.P. Writing—Review and Editing, H.T.P., J.T.T. and M.J.T. Supervision, J.T.T. and M.J.T. Project Administration, H.T.P., J.T.T. and M.J.T. Funding Acquisition, J.T.T. All authors have read and agreed to the published version of the manuscript.

Funding

The work was funded by the National Research Foundation (Grant No: 116280), South Africa. Julius Tjelele received this grant or research support from the National Research Foundation (NRF), South Africa.

Institutional Review Board Statement

Ethical review and approval were waived for this study because it is not applicable for studies not involving humans or animals.

Data Availability Statement

The datasets generated during and/or analysed during the current study are available from the corresponding author and can be made available on reasonable request.

Acknowledgments

We are very grateful to the Agricultural Research Council: Animal Production Range and Forages Sciences team for their assistance during data collection. We are thankful to the ARC: ISCW (Noluthando Sotaka) for helping us with soil analysis. We would also like to acknowledge and thank the ARC: AP-Biometry (Eric Mathebula), for assistance with data analysis. This work was funded by the National Research Foundation (Grant No: 116280), South Africa.

Conflicts of Interest

The authors declare no conflict of interest. The funders had no role in the design of the study; in the collection, analyses, or interpretation of data; in the writing of the manuscript; or in the decision to publish the results.

References

  1. Dixon, A.P.; Faber-Langendoen, D.; Josse, C.; Morrison, J.C.; Loucks, C.J.; Jenkins, C.N.; Murray, S. Distribution mapping of world grassland types. J. Biogeogr. 2014, 41, 2003–2019. [Google Scholar] [CrossRef]
  2. Bond, W.; Zaloumis, N.P. The deforestation story: Testing for anthropogenic origins of Africa’s flammable grassy biomes. Philos. Trans. R. Soc. B 2016, 371, 20150170. [Google Scholar] [CrossRef]
  3. Archibald, S.; Nickless, A.; Gevender, N.M.; Scholes, R.J.; Lehsten, V. Climate and the inter-annual variability of fire in southern Africa: A meta-analysis using long-term field data and satellite-derived burnt area data. Glob. Ecol. Biogeogr. 2010, 19, 794–809. [Google Scholar] [CrossRef]
  4. Archibald, S.; Hempson, G.P. Competing consumers: Contrasting the patterns and impacts of fire and mammalian herbivory in Africa. Philos. Trans. R. Soc. B 2016, 371, 20150309. [Google Scholar] [CrossRef]
  5. Butler, A.; Davis, C.A.; Fuhlendorf, S.D.; Wilder, S.M. Effects of Fire on ground-dwelling arthropods in a shrub-dominated grassland. Ecol. Evol. 2021, 11, 427–442. [Google Scholar] [CrossRef]
  6. Bond, W.J.; Keeley, J.E. Fire as a global “herbivore”: The ecology and evolution of flammable ecosystems. Trends Ecol. Evol. 2005, 20, 387–394. [Google Scholar] [CrossRef]
  7. Case, F.M.; Staver, A.C. Fire prevents woody encroachment only at higher-than historical frequencies in a South African savanna. J. Appl. Ecol. 2017, 54, 955–962. [Google Scholar] [CrossRef]
  8. Ratnam, J.; Sheth, C.; Sankaran, M. African and Asian savannas: Comparisons of vegetation composition and drivers of vegetation structure and function. In Savanna Woody Plants and Large Herbivores; Scogings, P.F., Sankaran, M., Eds.; John Wiley & Sons Ltd.: Hoboken, NJ, USA, 2019; pp. 25–49. [Google Scholar] [CrossRef]
  9. Snyman, H.A. Fire and the dynamics of semi-arid grassland: Influence on plant survival, productivity and water-use efficiency. Afr. J. Range Forage Sci. 2003, 20, 29–39. [Google Scholar] [CrossRef]
  10. Snyman, H.A. Short-term response of rangeland following an unplanned fire in terms of soil characteristics in a semi-arid climate of South Africa. J. Arid Environ. 2003, 55, 160–180. [Google Scholar] [CrossRef]
  11. Clark, M.D.; Wonkka, C.L.; Kreuter, U.P.; Rogers, W.E. Interactive effect of prescribed fire and livestock grazing on Seriphium plumosum in South African sour bushveld. Afr. J. Range Forage Sci. 2020, 37, 278–285. [Google Scholar] [CrossRef]
  12. O’Connor, R.C.; Taylor, J.H.; Nippert, J.B. Browsing and fire decreases dominance of a resprouting shrub in woody encroached grassland. Ecology 2020, 101, e02935. [Google Scholar] [CrossRef] [PubMed]
  13. Snyman, A.H. Short-term responses of Southern African semi-arid rangelands to fire: A review of impact on soils. Arid Land Res. Manag. 2015, 29, 222–236. [Google Scholar] [CrossRef]
  14. Bowd, J.E.; Banks, S.C.; Strong, C.L.; Lindenmayer, D.B. Long-term impacts of wildfire and logging on forest soils. Nat. Geosci. 2019, 12, 113–118. [Google Scholar] [CrossRef]
  15. See, C.R.; Yanai, R.D.; Fisk, M.C.; Vandencoeur, M.A.; Quintero, B.A.; Fahey, T.J. Soil nitrogen affects phosphorus recycling foliar resorption and plant–soil feedbacks in a northern hardwood forest. Ecology 2015, 96, 2488–2498. [Google Scholar] [CrossRef] [PubMed]
  16. Doerr, S.H.; Cerda, A. Fire effects on soil system functioning: New insights and future challenges. Int. J. Wildland Fire 2005, 14, 339–342. [Google Scholar] [CrossRef]
  17. Govender, N.; Trollope, W.S.W.; van Wilgen, B.W. The effect of fire season, fire frequency, rainfall and management of fire intensity in savanna vegetation in South Africa. J. Appl. Ecol. 2006, 43, 748–758. [Google Scholar] [CrossRef]
  18. Snyman, A.H. Short-term responses of Southern African semi-arid rangelands to fire: A review of impact on plants. Arid Land Res. Manag. 2015, 29, 237–254. [Google Scholar] [CrossRef]
  19. Pereira, P.; Francos, M.; Brevik, E.C.; Ubeda, X.; Bogunovic, I. Post-fire soil management. Curr. Opin. Environ. Sci. Health 2018, 5, 26–32. [Google Scholar] [CrossRef]
  20. Liu, J.; Qiu, L.; Wang, X.; Wei, X.; Gao, H.; Zhang, Y.; Cheng, J. Effects of wildfire and topography on soil nutrients in a semiarid restored grassland. Plant Soil 2018, 428, 123–136. [Google Scholar] [CrossRef]
  21. Snyman, H.A. Short-term response of the encroacher shrub Seriphium plumosum to fire. Afr. J. Range Forage Sci. 2011, 28, 65–77. [Google Scholar] [CrossRef]
  22. Nkosi, S.E.; Brown, L.R.; Barrett, S.A. A baseline study for controlling the indigenous encroacher Stoebe vulgaris in natural grasslands of Southern Africa. Agric. Ecosyst. Environ. 2018, 265, 209–216. [Google Scholar] [CrossRef]
  23. Snyman, H.A. Habitat preferences of the encroacher shrub, Seriphium plumosum. S. Afr. J. Bot. 2012, 81, 34–39. [Google Scholar] [CrossRef]
  24. Snyman, H.A. Control measures for the encroacher shrub Seriphium plumosum. S. Afr. J. Plant Soil 2012, 29, 157–163. [Google Scholar] [CrossRef]
  25. Marquart, A.; Slooten, E.; Jordaan, F.P.; Vermeulen, M.; Kellner, K. The control of the encroaching shrub Seriphium plumosum L. Thunb. (Asteraceae) and the response of the grassy layer in a South African semi-arid rangeland. Afr. J. Range Forage Sci. 2022, 40, 316–321. [Google Scholar] [CrossRef]
  26. Graham, S.C.; Barrett, S.A.; Brown, L.R. Impact of Seriphium plumosum densification on Mesic Highveld Grassland biodiversity in South Africa. R. Soc. Open Sci. 2020, 7, 192025. [Google Scholar] [CrossRef]
  27. Snyman, H.A. Short-term response in productivity following an unplanned fire in the semi-arid rangeland of South Africa. J. Arid Environ. 2004, 56, 465–485. [Google Scholar] [CrossRef]
  28. Mills, M.F.L.; Olmos, F.; Melo, M.; Dean, W.R.J. Mount Moco: Its importance to the conservation of Swierstrai and Afromontana avifauna of Angola. Birds Conserv. Int. 2011, 21, 119–133. [Google Scholar] [CrossRef]
  29. Fultz, L.M.; Moore-Kucera, J.; Dathe, J.; Davinic, M.; Perry, G.; Wester, D.; Schwilk, D.W.; Rideout-Hanzak, S. Forest wildfire and grassland prescribed fire effects on soil biogeochemical processes and microbial communities: Two case studies in the semi-arid Southwest. Appl. Soil Ecol. 2016, 99, 118–128. [Google Scholar] [CrossRef]
  30. Caon, L.; Vallejo, V.R.; Ritsema, C.J.; Geissen, V. Effects of wildfire on soil nutrients in Mediterranean ecosystems. Earth Sci. Rev. 2014, 139, 47–58. [Google Scholar] [CrossRef]
  31. Mucina, L.; Rutherford, M.C. The Vegetation of Southern Africa, Lesotho and Swaziland; Strelitzia 19; South African National Botanical Institute: Pretoria, South Africa, 2006; pp. 376–388. [Google Scholar]
  32. Pule, H.T.; Tjelele, T.J.; Tedder, M.J. The effect of abiotic factors in South African the semi-arid grassland communities on Seriphium plumosum L density and canopy sizes. PLoS ONE 2018, 13, e0202809. [Google Scholar] [CrossRef]
  33. Mallarino, A.P.; Blackmer, A.M. Comparison of methods for determining critical concentrations of soil test phosphorus for corn. J. Agron. 1992, 84, 850–856. [Google Scholar] [CrossRef]
  34. Schollenberger, C.J.; Driebelbis, E.R. Analytical methods in base-exchangeable investigations on soils. Soil Sci. 1930, 30, 161–174. [Google Scholar] [CrossRef]
  35. Walkley, A.; Black, I.A. An examination of the Degtjareff method for determining soil organic matter and a proposed modification of the chromic acid titration method. Soil Sci. 1934, 37, 29–38. [Google Scholar] [CrossRef]
  36. Jackson, P.R. Pale fire and Sherlock Holmes. In Studies in American Fictions; Johns Hopkins University Press: Baltimore, MD, USA, 1982; Volume 10, pp. 101–105. [Google Scholar] [CrossRef]
  37. Bento-Gonçalves, A.; Viera, A.; Úbeda, X.; Martin, D. Fire and Soils: Key concepts and recent advances. Geoderma 2012, 191, 3–13. [Google Scholar] [CrossRef]
  38. Giovannini, G.; Lucchesi, S. Modifications induced in soil physico-chemical parameters by experimental fires at different intensities. Soil Sci. 1997, 162, 479–486. [Google Scholar] [CrossRef]
  39. Agbeshie, A.A.; Abugre, S.; Atta-Darkwa, T.; Awuah, R. A review of the effects of forest fire on soil properties. J. For. Res. 2022, 33, 1419–1441. [Google Scholar] [CrossRef]
  40. Snyman, H.A. Fire and the dynamics of a semi-arid grassland: Influence on soil characteristics. Afr. J. Range Forage Sci. 2002, 19, 137–145. [Google Scholar] [CrossRef]
  41. Rau, B.M.; Johnson, D.W.; Blank, R.R.; Chambers, J.C. Soil carbon and nitrogen in a Great Basin pinyon–juniper woodland: Influence of vegetation, burning, and time. J. Arid Environ. 2009, 73, 472–479. [Google Scholar] [CrossRef]
  42. Nghalipo, E.; Joubert, D.; Throop, H.; Groengroeft, A. The effect of fire history on soil nutrients and soil organic carbon in a semi-arid savanna woodland, central Namibia. Afr. J. Range Forage Sci. 2019, 36, 9–16. [Google Scholar] [CrossRef]
  43. Raison, R.J.; Khanna, P.K.; Woods, P.V. Mechanisms of element transfer to the atmosphere during vegetation fires. Can. J. For. Res. 1985, 15, 132–140. [Google Scholar] [CrossRef]
  44. DeBano, L.F. The effect of forest fire on soil properties. In Proceedings of the Management and Productivity of Western Montane Forest Soil, Boise, ID, USA, 10–12 April 1990; pp. 151–156. [Google Scholar]
  45. Gowlett, J.A.J.; Brink, J.S.; Caris, A.; Hoare, S.; Rucina, S.M. Evidence of burning from bushfires in southern, East Africa, and its relevance to hominin evolution. Curr. Anthropol. 2017, 58, S206–S216. [Google Scholar] [CrossRef]
  46. Adams, M.; Attiwill, P. Burning Issues: Sustainability and Management of Australia’s Southern Forests; Bushfire Co-operative Research Centre, CSIRO Publishing: Clayton, Australia, 2011. [Google Scholar]
  47. Duguy, D.; Rovira, P.; Valleja, R. Land-use history and fire effects on soil fertility in eastern Spain. Eur. J. Soil Sci. 2007, 58, 83–91. [Google Scholar] [CrossRef]
  48. Ando, K.; Shinjo, H.; Noro, Y.; Takenake, S.; Miura, R.; Sokotela, S.B. Short-term effects of fire intensity on soil organic matter and nutrient release after slash-and-burn in Eastern Province, Zambia. Soil Sci. Plant Nutr. 2014, 60, 173–182. [Google Scholar] [CrossRef]
  49. Sankaran, M.; Ratnam, J.; Hanan, N. Woody cover in African savannas: The role of resources, fire and herbivory. Glob. Ecol. Biogeogr. 2008, 17, 236–245. [Google Scholar] [CrossRef]
  50. Tiawoun, M.A.P.; Malan, P.; Comole, A.A. Effects of soil properties on the distribution of woody plants in communally managed rangelands in Ngaka Modiri Molema District, North-West Province, South Africa. Ecologies 2023, 3, 361–375. [Google Scholar] [CrossRef]
  51. Certini, G. Effects of fire on properties of forest soils: A review. Oecologia 2005, 143, 1–10. [Google Scholar] [CrossRef] [PubMed]
  52. Adepoju, K.; Adelabu, S.; Mokubung, C. Mapping Seriphium plumosum encroachment and interaction with wildfire and environmental factors in a protected mountainous grassland. Environ. Monit. Assess. 2020, 192, 328. [Google Scholar] [CrossRef]
  53. Hoffmann, W.A.; Franco, A.C. Comparative growth analysis of tropical forest and savanna woody plants using phylogenetically independent contrasts. J. Ecol. 2003, 91, 475–484. [Google Scholar] [CrossRef]
  54. Gignoux, J.; Lahoreau, G.; Julliard, R.; Barot, S. Establishment and early persistence of tree seedling in an annually burned savanna. J. Ecol. 2009, 97, 484–495. [Google Scholar] [CrossRef]
Disclaimer/Publisher’s Note: The statements, opinions and data contained in all publications are solely those of the individual author(s) and contributor(s) and not of MDPI and/or the editor(s). MDPI and/or the editor(s) disclaim responsibility for any injury to people or property resulting from any ideas, methods, instructions or products referred to in the content.

Article Metrics

Citations

Article Access Statistics

Multiple requests from the same IP address are counted as one view.