Next Article in Journal
Sex and Body Colour Affect the Variation in Internal Body Temperature of Oedaleus decorus asiaticus in Natural Habitats in Inner Mongolia, China
Next Article in Special Issue
Modeling the Water and Nitrogen Management Practices in Paddy Fields with HYDRUS-1D
Previous Article in Journal
How Perceived Stress Affects Farmers’ Continual Adoption of Farmland Quality Improvement Practices
Previous Article in Special Issue
Agricultural Water Optimal Allocation Using Minimum Cross-Entropy and Entropy-Weight-Based TOPSIS Method in Hetao Irrigation District, Northwest China
 
 
Font Type:
Arial Georgia Verdana
Font Size:
Aa Aa Aa
Line Spacing:
Column Width:
Background:
Article

Effects of Nitrogen Fertilization on Physiological Response of Maize to Soil Salinity

1
School of Water Conservancy and Hydroelectric Power, Hebei University of Engineering, Handan 056038, China
2
State Key Laboratory of Simulation and Regulation of Water Cycle in River Basin, China Institute of Water Resources and Hydropower Research, Beijing 100048, China
3
Department of Irrigation and Drainage, China Institute of Water Resources and Hydropower Research, Beijing 100048, China
*
Authors to whom correspondence should be addressed.
Agriculture 2022, 12(6), 877; https://doi.org/10.3390/agriculture12060877
Submission received: 14 May 2022 / Revised: 9 June 2022 / Accepted: 15 June 2022 / Published: 17 June 2022
(This article belongs to the Special Issue Water-Saving Irrigation Technology and Strategies for Crop Production)

Abstract

:
Soil salinization is a global problem that causes huge losses in agricultural production. Salt can interfere with crop absorption and metabolism of nutrients and water, affect plant physiological responses and reduce plant biomass. Maize, a very important economic crop, can adapt to a certain degree of saline-alkali soil. It is essential to understand the physiological indexes of response to soil salinity concentrations and explore the effects of different nitrogen fertilizer treatments on maize growth. In this study, three soil salinity gradients (S1, S2 and S3 were with soil salt concentration, Ssc, of 0, 0.1% and 0.25%, respectively) and two nitrogen application rates (N0 and N1 were without and with nitrogen applied (13.2 g per pot), respectively) were set up. Plant growth and photosynthetic parameters were measured. Whether nitrogen was applied or not, with the increase in Ssc, leaf area, plant height, stem diameter, SPAD, leaf water potential, RuBP carboxylase, and PEP carboxylase activities, photosynthetic rate (A), stomatal conductance (gs), the maximum stomatal conductance (gsmax), and the stomatal morphological parameters such as stomatal width and maximum stomatal area (amax), all showed a downward trend. Under the S1 and S2 treatments, compared with the N0, the N1 treatment alleviated the stress effect of the Ssc on these indicators. However, under S3 treatment, the stress degrees of leaf water potential, gs, gsmax and amax, were aggravated after nitrogen application. This indicated that under the high Ssc of S3, the interaction between nitrogen application and soil salinity should be considered. WUEin increased with the increase in Ssc. Moreover, under N1 treatments, the increase in WUEin with Ssc was greater than that with N0. With the increase in Ssc, whether nitrogen was applied or not, the dry weight of maize declined by 44.2% and 73.0%, respectively, for the S2 and S3 treatments. Under S2 treatment, N1 significantly improved the dry matter mass of maize compared with the N0 treatment. The results showed that soil salt stress can inhibit crop growth, physiology and dry matter accumulation, and that nitrogen application can alleviate this within a specific salinity range. Such results indicate that in saline-alkali areas, whether nitrogen fertilizer is applied or not should depend on the level of Ssc to improve plant growth.

1. Introduction

According to incomplete statistics from the United Nations Educational, Scientific and Cultural Organization (UNESCO) and the Food and Agriculture Organization of the United Nations (FAO), the world’s saline soil area is 9.5438 × 108 hm2 [1]. China has the third-largest area of saline-alkali land. There are more than 30 million hm2 of saline-alkali land in China [2]. Of that total, the saline-alkali land with agricultural development potential accounts for more than 10% of the total cultivated land in China [3]. Maize is one of the essential food crops in northern China. It is an important feed source for animal husbandry, aquaculture, and other industries [3]. It can adapt to a certain degree of saline-alkali soil. Planting maize on saline-alkali land needs to meet the nutrition required for its normal growth during its growth period. Still, fertilization will increase the soil salt concentration (Ssc), and that should be considered when determining the fertilization rates on saline-alkali cropland. Rational fertilization to tap the yield potential of maize in saline-alkali soils is vital for stabilizing grain production. However, at present, the results of studies on the interaction between Ssc and nitrogen vary significantly depending on the physical and chemical characteristics of soil in different areas.
Maize is sensitive to salinity stress. The accumulation of soil salinity often decreases maize yield. The presence of soil salinity has a range of physiological effects on plants [4]. Stomatal conductance (gs) is a sensitive physiological indicator of plant response to salt [5]. Moreover, stomatal area and stomatal density can also reflect plants’ response to salinity. Chlorophyll concentration often decreases when plants are grown in saline soils [6]. Both the osmotic and ionic effects of salt affect plant growth [5]. The accumulation of salt ions in the cytoplasm of cells can lead to toxic ion effects [7]. Ions associated with soil salinity can cause an ionic imbalance that reduces the ratio of essential to non-essential nutrients in the soil, thereby reducing nitrogen uptake by plants and negatively interacting with cations and anions [8,9]. Some studies have found that microbes can alleviate salt stress. For example, the use of salt-tolerant rhizobia can increase the nutrient uptake (N, P, K) of rapeseed and alleviate the effects of salt stress [10]. In another study, the authors found growth promoting rhizobacteria limited Na uptake, increased K and Ca uptake, and stimulated nitrogenase activity in both shoots and roots [11]. Moreover, nitrogen is generally deficient in saline-alkali soils [12]. Sometimes increasing nitrogen nutrition can alleviate salt stress in plants and promote plant growth [13]. For example, previous research found that moderate (135 kg ha−1) and high (180 kg ha−1) levels of N fertilization could provide the maximum benefit in low- to moderate-salinity and high- or severe-salinity fields, respectively, in the Hetao Irrigation District. [14]. In another study on maize, the authors found that at the salinity levels of 3.4, 6.7, 9.2, and 12.5 ds m−1, the nitrogen application of 240 kg N ha−1 could improve the growth of plants [15].
It was found by Xie et al., through a comprehensive analysis of data from 571 works in the literature involving two-factor cross-experiments of soil salinity and nitrogen fertilizer, that increasing the nitrogen application rate within the range of 0.18–0.29% salinity can improve crop yield and economic benefits [16]. In the same study, they also found that above the salinity threshold of 0.35%, soils are not suitable for growing food crops. Machado found that the low water salinity threshold for most fruit crops was between 0.9 and 1.5 ds m−1, except for pistachios, dates, olives, and figs [17]. Fertilization combined with drip irrigation can alleviate fruit salt stress, and organic composting has a specific potential to improve soil physical and chemical properties and salt tolerance of fruit crops. The study by Xu et al. found that moderate irrigation and nitrogen application under border irrigation has the advantages of water and fertilizer saving, stable yield, and high light efficiency for maize in salinized farmland [18]. Liu et al. found that an appropriate soil nitrogen application rate can alleviate the effects of salt stress on plant height, leaf area, and 1000-grain weight of winter wheat [19]. The effect of relieving salt stress on leaf area was more significant. Song et al. found that nitrogen application can alleviate the inhibitory effect of salinity accumulation on sunflower net photosynthesis and stomatal conductance [20]. Sunflower dry matter accumulation decreases with increases in soil salinity and increases with increased nitrogen application rates. The above studies researched the effect of fertilization in saline-alkali land on crop growth from different perspectives. They drew valuable research conclusions, but these studies did not explore the internal mechanism of how fertilization alleviates the effect of salt stress on crop physiological functions.
Nitrogen application can alleviate the inhibitory effect of soil salinity on the gs value of maize to a certain extent, but in soils with high Ssc, how does the interaction between nitrogen fertilizer and soil salinity regulate the variation in stomatal conductance? What about its deeper physiological mechanism and even molecular regulation mechanism? There are still few related studies on these questions.
There is a large amount of saline-alkali land in the Hetao Irrigation District, which is one of the three super-large irrigation districts in China and the main growing area for maize cultivation. Similar soil salinity composition and concentration ranges were considered in setting up the soil salinity treatments and whether or not to apply nitrogen fertilizer in this study. The research goal was to study the effects of nitrogen fertilization on physiological response of maize to soil salinity. Plant growth and photosynthetic physiological indicators were systematically measured to explain the internal mechanisms of crop physiological response to soil salt concentration and nitrogen from the aspects of leaf anatomy and osmotic regulation, such as stomatal morphology and leaf water potential. Hopefully, this study can provide basic data and a theoretical basis for the study of plant physiological responses to soil salt in saline-alkali areas.

2. Materials and Methods

2.1. Overview of Research Station

The experiment was carried out from April to September 2021 at the Daxing Experimental Station (116.44 E, 39.62 N) of the National Water-Saving Irrigation Beijing Engineering Technology Research Center of the China Water Resources and Hydropower Research Institute. The weather of the station is a warm temperate, semi-humid continental monsoon climate, with annual average, maximum and minimum temperatures of 12.0 °C, 17 °C, and 7 °C, respectively, and average annual rainfall of 540 mm.

2.2. Experimental Design

The soil of the test site was silt loam from the 0–40 cm layer of surface soil of a farm field at the experiment station. The volumetric weight was 1.41 g cm−3, the field capacity was 0.33 cm3 cm−3, the organic mass was 12.17 g kg−1, and the total nitrogen content was 1.00 g kg−1. Available phosphorus and potassium were 16.9 mg kg−1 and 123.6 mg kg−1, respectively. The experimental containers used were polyethylene plastic cuboid flowerpots with a length, width, and height of 34.5 cm × 34.5 cm × 45 cm, respectively. Each pot was filled with 64 kg of soil. Soil water, heat, and salt probes were installed at the depth of 20 cm below the ground surface in each pot. After loading, the soil was watered thoroughly until it was completely saturated and water discharged from the bottom of the basin. After standing for 24 h, the weight of all containers was determined.
The soil salinity concentration in this experiment was set according to the soil salinity composition and concentration in Hetao Irrigation District. According to the weight ratio, three Ssc were set: 0 (S1), 0.1% (S2), and 0.25% (S3). NaCl, CaHCO3, and MgSO4 (Sinopharm Chemical Reagent Co., Ltd, Shanghai, China) were mixed with the mass ratio of 2:2:1 and added to the total weight according to the dry soil weight in the container. The salt was dissolved in water and evenly poured into the container filled with soil.
The base fertilizer was fully dissolved in water according to the set amount of nitrogen fertilizer, and then evenly poured into the container. Two nitrogen application rates were set, namely, no nitrogen application (N0) and nitrogen application (N1). The nitrogen application mode of the N1 treatment is shown in Table 1, and the total amount of N was 13.2 g per pot. The total amounts of P2O5 and K2O fertilizers (9.49 g, 6.33 g, Table 1) were the same for all the treatments. Full irrigation was applied with tap water, and the irrigation amount was determined by the weighing method. During the experiment, the soil surface was covered with plastic film to reduce soil evaporation. When filling containers with water after salt application, if there was water drainage, the drained water was collected and added back to the same container with the next irrigation.
The maize variety was Jintian 8 (seed cultivated in Inner Mongolia that is suitable for growth and development in saline-alkali soil). Two locations were selected for sowing in the container: 4–6 seeds were buried in each location, and two plants were fixed in each container. Maize was sown on 2021.5.15 and harvested on 2021.9.25. The planting rate was 100%, and the maize was harvested in the R5 stage.

2.3. Observation Items and Methods

The following parameters were regularly measured: (1) dynamic changes in soil water and salt content in the root layer of each treatment and each growth period; (2) the crop growth index, physiological index, and biomass of each treatment.

2.3.1. Meteorological Elements and Soil Water and Salt Dynamics

The meteorological data were collected by an automated weather station (Hobo, Onset., Cape Cod, MA, USA) at the station every 15 min, including solar radiation, temperature, humidity, wind speed, precipitation, etc.
An EC5 probe (METER Group Inc., Pullman, WA, USA) was used to monitor soil moisture content. The salt content of the soil was measured as the electrical conductivity (EC) with a salt probe and automatically collected by a data logger (Zl6, METER Group Inc., Pullman, WA, USA). The probes were buried at a depth of 20 cm from the soil surface when the pots were filled. EC values of S1, S2 and S3 were 1.9 ds m−1, 3.21 ds m−1, 5.6 ds m−1, respectively.

2.3.2. Growth Index

Plant height was measured with a tape from the soil surface to the top of the maize plant at the stages of twelfth leaf (V12) and tasseling (VT). At the same time, stem diameter was measured by averaging the long axis width and short axis width of maize stalk with a vernier caliper at the height of 20 cm from the ground surface. Leaf area was also measured at the stages of V12 and VT. Using a tape measure, we measured the leaf length from the position where the leaf was connected with the stem to the leaf tip, and the leaf width as the width at the middle of the leaf, and obtained the regression equation of maize area through the grid method, y = 0.75×, and then measured the actual leaf area of maize plants in each treatment according to the regression equation.

2.3.3. Chlorophyll Content SPAD

A SPAD-502 chlorophyll meter (SPAD-502 plus, Konica Minolta Holdings, Inc., Chiyoda-ku, Tokyo, Japan) was used to measure the SPAD value at eight positions evenly distributed on the middle part of leaves.

2.3.4. Leaf Water Potential

Leaf water potential was measured by the PMS 600 Portable Plant Water Potential Cavitation Pressure Chamber (Particle Measuring Systems, Boulder, CO, USA). Leaf water potential was measured by the pressure chamber, as follows. Remove the leaf from the plant with scissors, tear a part of the leaf along the main vein at the incision site, move the leaf into the pressure chamber, extend the leaf main vein incision at the air chamber cover so that the veins can be seen. Close the air cover chamber and open the intake valve to increase the pressure in the pressure chamber. When tiny water droplets appear at the incision, stop the pressure immediately and read the pressure value. At this time, the negative number of the pressure value is the leaf water potential.

2.3.5. Gas Exchange, A-Ci Response Curve

The LI-6800 photosynthetic measurement system (Li-Cor Inc., Lincoln, NE, USA) was used to measure the gas exchange during the day. The measured parameters included gs, A, and intercellular CO2 concentration (Ci). Intrinsic water use efficiency, WUEin, was calculated with Equation (1) [21]:
WUE in = A g s
where:
  • A—net photosynthetic rate, µmol m−2 s−1;
  • gs—stomatal conductance, mol m−2 s−1.
A-Ci response curves were measured once at the V12 stage. The A-Ci response data were gathered using the auto program with a portable photosynthesis system (Li-6800, Li-COR Inc., Lincoln, NE, USA). The A-Ci curves were measured from 9:00 to 14:00 with the photosynthetic active radiation (PAR) of 1800 μmol m−2 s−1 and the temperature of 25 °C. The carbon dioxide concentrations in the leaf chamber were set to 400, 300, 200, 150, 100, 80, 40, 400, 400, 600, 800, 1000, 1200, and 1500 μmol mol−1, a total of 14 values. The A-Ci curve fitting utility model [22] was used to determine the values of Vpmax and Vcmax.

2.3.6. Stomatal Morphology Index

Nail polish was applied to the middle, suitable part of the most developed leaf at the top of each sample. After formation, the film was peeled off and placed into a slide. The stomatal morphological parameters were photographed by Motic Panthera (Motic China Group Co., LTD, Xiamen, China), which were: the length of the stomata long axis, the short axis length of stomata, and stomatal density (the number of pores in the visible area divided by the visible area). The length and width of the stomata were measured by Motic Panthera software 1.0.23. (Motic China Group Co., LTD, Xiamen, China). The area of pores was calculated by using the elliptic area calculation formula. Estimation of theoretical maximum stomatal conductance (gsmax) [23]:
g smax = d × SD × a m a x 1.6 v × ( P D + π 2 a m a x π )
where:
  • d—diffusion coefficient of water vapor in air (24.9 × 10−6 m−2 s−1);
  • SD—stomatal density (mm−2);
  • amax—pore area (mm2);
  • v—molar volume of air (22.4 × 10−3 m3 mol−1, 25 °C, 101.3 Mpa);
  • PD—stomatal depth, assumed to be equal to stomatal guard width (um).

2.4. Data Processing Methods

The experimental data obtained were processed by SPSS statistical analysis software, and significant differences in the data were tested with Tukey’s HSD method for multiple comparisons (p < 0.05 significant level). SPSS 25.0 software was used for data univariate analysis, paired analysis, variance analysis, and linear regression analysis. The Origin software was used for graphing.

3. Results

3.1. Leaf Area, Plant Height and Stem Diameter of Maize Plants under Different Treatments

At the V12 stage, under N0, the leaf area of plants under the S2 and S3 treatments was significantly lower than that of plants under S1 treatment, by 28.83% and 67.7% (p = 0.006, p < 0.001), respectively. Under N1, the leaf area of the S2 and S3 treated plants was significantly lower than that of the plants under S1 treatment, by 37.5% and 61.4% (p = 0.004, p < 0.001), respectively. Under S2, the leaf area with N1 was significantly higher than that obtained with N0, by 41.6% (p = 0.021). Under S1 and S3 treatments, the leaf area differences between N1and N0 were not significant (Figure 1a).
At the VT stage, under N0, the leaf area of plants under the S2 and S3 treatments was significantly lower than that of plants under S1, by 25.4% and 41.3% (p = 0.002, p < 0.001), respectively. Under N1 treatment, the leaf area of plants under the S2 and S3 treatments was significantly lower than that of S1-treated plants, by 25.8% and 40.2% (p = 0.009, p < 0.001), respectively. Under S1, S2 and S3, the leaf area differences between N1and N0 were not significant (Figure 1b).
At the V12 stage, under N0, the height of the S3-treated plants was significantly lower than that of S1-treated plants, by 46.7% (p = 0.003). The height of the S2-treated plants was not significantly different from that of S1. Under N1, the heights of plants under the S2 and S3 treatments were significantly lower than that of S1-treated plants, by 34.2% and 54.0% (p < 0.001, p < 0.001), respectively. Under S1, the height of N1-treated plants was significantly higher than that of N0, by 31.8% (p = 0.005). Under S2 and S3, the plant height differences between N1and N0 were not significant (Figure 2a).
At the VT stage, under N0, the heights of plants under the S2 and S3 treatments were significantly lower than that of S1, by 24.1% and 44.9% (p = 0.008, p < 0.001), respectively. Under N1 treatment, the heights of plants under the S2 and S3 treatments were significantly lower than that of S1, by 28.7% and 51.1% (p = 0.001, p < 0.001), respectively. Under S1, plant height with N1 was significantly higher than that with N0, by 14.8% (p = 0.001). Under S2 and S3, the plant height differences between N1and N0 were not significant. The impact of nitrogen application in the early stage of maize growth was better than that in the later stage of development (Figure 2b).
At the V12 stage, under N0, the stem diameters with the S2 and S3 treatments were significantly lower than that with S1, by 18.1% and 28.9% (p = 0.049, p = 0.08), respectively. Under N1 treatment, the stem diameters with S2 and S3 treatments were significantly lower than that with S1, by 12.8% and 22.4% (p = 0.027, p = 0.03), respectively. Under S1, S2 and S3, the stem diameter differences between N1 and N0 were not significant (Figure 3a).
Under N0, the dry matter values with the S2 and S3 treatments were significantly lower than that with S1, by 48.1% and 52.5% (p = 0.002, p = 0.002), respectively. Under N1, the dry matter value with the S3 treatment was significantly lower than that with S1, by 58.3% (p = 0.003). The dry matter value obtained with S3 was not significantly different from that with S1. Under S1, S2 and S3, the dry matter differences between N1 and N0 were not significant (Figure 3b).

3.2. SPAD Value of Maize with Different Treatments

At the V12 stage, under N0, the SPAD values obtained with the S2 and S3 treatments were significantly lower than that with S1, by 2.8% and 3.1% (p = 0.042, p = 0.02), respectively. Under the N1 treatment, the SPAD values with the S2 and S3 treatments were significantly lower than that with S1, by 3.2% and 3.9% (p = 0.017, p = 0.012), respectively. Under S1, S2 and S3, the SPAD value differences between N1 and N0 were not significant (Figure 4a).
At the VT stage, under N0, the differences in the SPAD values obtained with the S1, S2 and S3 treatments were not significant. Under the N1 treatment, the SPAD values with the S2 and S3 treatments were significantly lower than that with S1, by 14.3% and 20.2% (p = 0.045, p = 0.018), respectively. Under S1, the SPAD with N1 was significantly higher than that with N0, by 16.7% (p = 0.014). Under S2 and S3, the SPAD differences between N1 and N0 were not significant (Figure 4b).

3.3. Maize Leaf Water Potential under Different Treatments

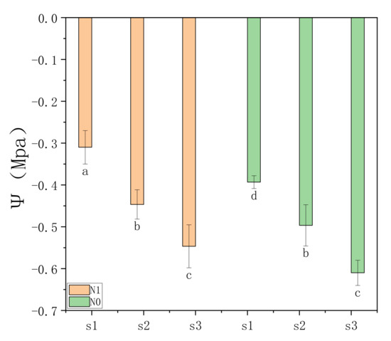
At the V12 stage, under N0, the Ψ values with the S2 and S3 treatments were significantly lower than that with S1, by 20.8% and 35.5% (p = 0.01, p < 0.001), respectively. Under the N1 treatment, the Ψ values with the S2 and S3 treatments were significantly lower than that with S1 by 30.6% and 23.8% (p = 0.008, p = 0.028), respectively. Under S1, the Ψ with N1 was significantly higher than that with N0 by 20.5% (p = 0.08). Under S2 and S3, the Ψ differences between N1 and N0 were not significant (Figure 5).

3.4. Differences in Photosynthetic Parameters

At the V12 stage, under N0, the A values obtained with the S2 and S3 treatments were significantly lower than that with S1, by 21.9% and 25.2% (p = 0.017, p = 0.009), respectively. Under the N1 treatment, the A value obtained with the S3 treatment was significantly lower than that with S1, by 20.2% (p = 0.014). Under S1 and S3, the A differences between N1 and N0 were not significant. Under S2, the A with N1 treatment was significantly higher than that with N0, by 23.7% (p = 0.014) (Figure 6a).
At the V12 stage, under N0, the gs value obtained with the S3 treatment was significantly lower than that with S1, by 17.6% (p = 0.007). Under the N1 treatment, the gs obtained with the S3 treatment was significantly lower than that with S1, by 50% (p < 0.001). Under S1 and S2, the gs differences between N1 and N0 were not significant. Under S3, the gs with N1 treatment was significantly lower than that with N0, by 30.4% (p = 0.013) (Figure 6b).
At the V12 stage, under N0, the WUEin values obtained with the S1, S2 and S3 treatments were not significant. Under the N1 treatment, the WUEin obtained with the S3 treatment was significantly higher than that with S1, by 56.3% (p = 0.002). Under S1 and S2, the WUEin differences between N1 and N0 were not significant. Under S3, the WUEin with N1 was significantly higher than that with N0, by 54.2% (p < 0.001) (Figure 6c).

3.5. Effects of Different Treatments on Vpmax and Vcmax

It can be seen that, regardless of whether nitrogen was applied or not, the Vcmax and Vpmax values decreased with the increase in Ssc. Under N0, the Vpmax with the S3 treatment was significantly lower than that with S1, by 41.8% (p = 0.03). The difference in Vpmax values with S1 and S2 was not significant. Under N1, the Vpmax values with the S2 and S3 treatments were significantly lower than that with S1, by 33.5% and 38.6% (p < 0.001, p < 0.001), respectively. Under S1, the Vpmax with N1 was significantly higher than that with N0, by 28.5% (p = 0.014). Under S2 and S3, the Vpmax differences between N1 and N0 were not significant (Figure 7a).
Under N0, the differences in Vcmax with the S1, S2 and S3 treatments were not significant. Under N1, the Vcmax obtained with the S3 treatment was significantly lower than that with S1, by 19.3% (p = 0.019). The Vcmax with the S2 treatment was not significantly different from the values obtained with S1 and S3. Under S1, the Vcmax with N1 was significantly higher than that with N0, by 20.2% (p = 0.04). Under S2 and S3, the Vcmax differences between N1 and N0 were not significant (Figure 7b).

3.6. Morphological Parameters of Maize Stomata in Different Treatments

The values of the upper and lower surfaces of the blade were measured, and only the results of the upper surface were used for analysis because the patterns of the lower surfaces were similar. Under N0, the stomatal widths obtained with the S2 and S3 treatments were significantly lower than that with S1, by 22.2% and 33.3% (p = 0.002, p < 0.001), respectively. Under N1, the stomatal widths with the S2 and S3 treatments were significantly lower than that with S1, by 23.1% and 39.2% (p = 0.01, p = 0.001), respectively. Under S1, the stomatal width with N1 was significantly higher than that with N0, by 20.3 (p = 0.002). Under S2 and S3, the stomatal width differences between N1 and N0 were not significant (Figure 8a).
conductance (e) at the stage of V12. The ANOVE results are given for each S and N. Values are means ± SD per treatment. Different letters indicate statistically significant (p < 0.05) differences between the treatments using a Tukey post hoc test. N1 is nitrogen application, and N0 is no nitrogen application. S1, S2 and S3 are the soil salinity concentrations of 0%, 0.1% and 0.25%, respectively.
Under N0, stomatal circumference under the S3 treatment was significantly lower than that with S1, by 13.3% (p = 0.005). The differences in stomatal circumference between S1 and S2 treatments were not significant. Under N1, the differences in stomatal circumference between the S1, S2 and S3 treatments were not significant. Under S3, the stomatal circumference with N1 was significantly higher than that with N0, by 9.9% (p = 0.015). Under S1 and S2, the stomatal circumference differences between N1 and N0 were not significant (Figure 8b).
Under N0, the amax values with the S2 and S3 treatments were significantly lower than that with S1, by 9.3% and 19.2% (p = 0.003, p < 0.001), respectively. Under N1, the amax values with the S2 and S3 treatments were significantly lower than that with S1, by 26.9% and 46.1% (p = 0.003, p < 0.001), respectively. Under S1 and S2, the amax values with N1 were significantly higher than those with N0, by 36.9% and 10.3% (p = 0.001, p = 0.049), respectively. Under S3, the amax with N1 was significantly lower than that with N0, by 8.6% (p = 0.02) (Figure 8c).
Under N0, the SD values with the S2 and S3 treatments were significantly higher than that with S1, by 9.2% and 24.8% (p = 0.003, p < 0.001), respectively. Under N1, the SD values with the S2 and S3 treatments were significantly higher than that with S1, by 13.8% and 48.2% (p = 0.003, p < 0.001), respectively. Under S3, the SD with N1 was significantly higher than that with N0, by 9.4% (p < 0.001) (Figure 8d).
Under N0, the gsmax with the S3 treatment was significantly lower than that with S1, by14.3% (p = 0.015). Under N1, the difference in gsmax between S1 and S2 treatments was not significant. Under N1, the gsmax with the S3 treatment was significantly lower than that with S1, by 13.9 % (p = 0.015). Under S1, S2 and S3, the gsmax differences between N1 and N0 were not significant (Figure 8e).

4. Discussion

Clarifying the physiological response mechanism of maize after nitrogen application under soil salt stress is necessary to alleviate soil salt stress and stabilize grain production [5,24,25]. Previous studies focused on how to select crop varieties with solid salt and alkali resistance or management measures such as leaching soil salt and alkali to improve maize biomass and yield. There are few studies on improving maize biomass, yield, and water use efficiency from the perspective of leaf photosynthetic physiology and biochemistry.
In this study, we evaluated the effects of salinity and nitrogen fertilizers on maize growth and physiological indexes. We found that the leaf area, plant height, stem diameter, and SPAD of maize decreased with increases in Ssc (Figure 1, Figure 2, Figure 3 and Figure 4). Our conclusion is similar to that of Nathan E. G. Smith et al., namely, that plant biomass, height and SPAD decrease with increasing salinity [26]. Plant growth responds to salinity in two phases: a rapid, osmotic phase that inhibits growth of young leaves, and a slower, ionic phase that accelerates senescence of mature leaves [5]. The osmosis of salt and the toxic ion effect are the main reasons for the growth decline. The application of NH4+ can help provide favorable ion homeostasis [14]. Many permeable substances contain the element N. Therefore, nitrogen application can alleviate the effects of salt stress on leaf area, plant height and stem diameter. In the N1 treatment in our study with nitrogen application under the same salt treatment, all indexes except leaf area were significantly higher than those of the N0 treatment (Figure 1, Figure 2 and Figure 3). However, nitrogen application under the high salt S3 treatment reduced leaf area. The application of nitrogen fertilizer in a certain range can alleviate the stress effect of salt on maize growth indicators. Similar results were obtained by Xu et al. They found that applying nitrogen fertilizer at 281.18 kg hm−2 and 229.4 kg hm−2 had the best effect on the biomass of maize when the soil salt concentration was 0.247 and 0.839 g kg1, respectively [18].
We also found that the soil salinity stress with each treatment had a significant effect on the water potential of maize leaves (Figure 5). The higher the Ssc, the lower the Ψ, and the worse the ability of maize to absorb water from the soil. Liao et al. found that leaf osmotic adjustment was a key physiological trait under water and salt stress. Mild water-salt stress can increase osmotic regulation and water resistance [27]. The conclusion was similar to that of our study, which found that nitrogen fertilization alleviates the effect of salt stress on leaf water potential caused by the S1, S2 and S3 treatments (Figure 5). Previous studies have shown that water or salt stress will change the coupling relationship between grain yield and water use and change the proportion of photosynthetic maize products allocated to reproductive organs [28,29,30,31]. In this study, with the increase in soil salt content, the dry matter mass of maize in each treatment showed a significant downward trend. Under the S2 treatment, compared with no nitrogen application, the nitrogen application increased the dry maize matter. Nitrogen application reduced the dry matter mass of maize under S1 and S3 treatments. It can be seen that with the increase in Ssc, the dry matter weight of maize showed a significant downward trend. Under the S2 treatment, nitrogen application significantly increased the dry matter weight. Under S1, S2, and S3 treatments, nitrogen application increased the dry matter (Figure 3b).
RuBP carboxylase and PEP carboxylase are key enzymes in the photosynthetic carbon cycle [32]. The values of Vcmax and Vpmax after nitrogen application were higher than those with no nitrogen application, indicating that within the range of salt treatment concentration set in this experiment (Figure 7), the nitrogen application could alleviate the inhibitory effect of soil salt on the carboxylation of Rubisco and PEP protease in maize. Additionally, after nitrogen application, Vpmax, and Vcmax values decreased more than before nitrogen application among the three soil salinity treatments. With the increase in Ssc, the difference in Vpmax before and after nitrogen application first decreased and then increased, and the difference in Vcmax gradually decreased. The alleviating effect of nitrogen application on RuBP carboxylase activity decreased, and the alleviating effect on PEP carboxylase activity increased first, then decreased, and then increased again.
It was also found that with the increase in Ssc, A, gs, stomatal width, amax, stomatal circumference, gsmax, stomatal density (SD) and other parameters all showed a downward trend; however, the SD increased. Previous research has shown that salt reduces A and gs in plants [5]. Through regression analysis, Liao and others found that the decreases in A and gs were related to the decreases in leaf water potential and leaf nitrogen content under water and salt stress [27]. Nitrogen is a component of many permeable solutes, proteins, and membranes to maintain cell swelling [33,34]. Ssc can result in an imbalance of solute water potential and an inability to maintain cell swelling. Therefore, the stomatal width, gsmax, and amax. will decrease. However, after nitrogen application, cell expansion will be restored, so nitrogen application will relieve the stress from salt on stomatal width, gsmax and amax. Under S1 and S2 salinity treatments, nitrogen application alleviated the stress effect of soil salinity on the above indicators. However, under S3 treatment, gs, amax and gsmax of maize leaves all decreased after nitrogen application (Figure 6 and Figure 8). This may be because when nitrogen is applied at a high Ssc, the SPAC water transport system is stressed. It is difficult for the root system to absorb enough water to meet the needs of plants, resulting in a decrease in leaf water potential and cell water content, which will have a negative impact on the leaves, resulting in the decrease in air pore conductivity and net photosynthetic rate, which is similar to the conclusions of Munns [5] and Tardieu [24]. In this study, under N0 and N1 treatments, the WUEin increased with the increase in Ssc. Under the same soil salinity treatment, each value after nitrogen application was higher than that with no nitrogen application (Figure 6).
The purpose of the evolution of stomata to adapt to the environment is to achieve greater water use and photosynthetic productivity [35]. Higher stomatal conductance and photosynthesis lead to more water utilization and carbon-organic synthesis, which are converted to biomass [36,37]. At the same time, maize adapts to stress through its own osmotic regulation ability [38]. In this study, how maize copes with the stress of nitrogen application in high-salt soil through osmotic regulation and its own physiological regulation system, thus maintaining higher WUEin, is still unclear. We will carry out further research in the future.

5. Conclusions

Soil salinity stress will inhibit crop growth, physiology, and dry matter accumulation. This inhibition can be alleviated by scientific nitrogen application. In this study, when the Ssc was less than 0.25%, appropriate nitrogen application could alleviate the inhibitory effect of soil salinity on crop growth, physiology, dry matter, and yield. When the Ssc was higher than 0.25%, nitrogen application decreased dry matter weight. In actual production, the synergistic effect of water, salt, and fertilizer should be considered in research on the optimization model for water and fertilizer on saline-alkali cropland. In saline-alkali and water-deficient areas, it is necessary to combine the alleviation of soil salinity stress with water management during the crop growth period and explore scientific and reasonable water regulation and management modes such as the deficit irrigation mode to achieve stable economic output and improve water use efficiency.

Author Contributions

Conceptualization, Y.Z. and S.W.; methodology, K.D., Y.Z., S.Q., B.Z. and S.W.; formal analysis, K.D., Y.Z. and S.W.; investigation, K.D. and L.W.; writing—original draft preparation, K.D.; writing—review and editing, Y.Z. and S.W.; funding acquisition, Y.Z. and S.W. All authors have read and agreed to the published version of the manuscript.

Funding

This work was supported by the National Natural Science Foundation of China (51979288, 51879277, 52130906), the Ministry of Science and Technology of China (2019YFC0409203) and Innovation Capability Improvement Plan of Hebei Province (21557001K).

Data Availability Statement

Not applicable. The data that support the finding of this study are available from the corresponding author upon reasonable request.

Conflicts of Interest

The authors declare that they have no known competing financial interests or personal relationships that could have appeared to influence the work reported in this paper.

References

  1. Zhang, J. Ecological Restoration of Saline-Alkaline Land. Soil Water Conserv. Res. 2008, 15, 74–78. [Google Scholar]
  2. Wang, J.; Huang, X.; Zhong, T.; Chen, Z. A review of sustainable utilization of saline-alkali land. Acta Geogr. Sin. 2011, 66, 673–684. [Google Scholar]
  3. Chen, Y.; Wang, Q.; Xiang, Y. Analysis of my country’s corn production status, advantages and self-sufficiency rate. China Agric. Res. Zoning 2019, 40, 7–16. [Google Scholar]
  4. Negrão, S.; Schmöckel, S.M.; Tester, M. Evaluating physiological responses of plants to salinity stress. Ann. Bot. 2017, 119, 1–11. [Google Scholar] [CrossRef] [Green Version]
  5. Munns, R.; Tester, M. Mechanisms of salinity tolerance. Annu. Rev. Plant Biol. 2008, 59, 651–681. [Google Scholar] [CrossRef] [Green Version]
  6. Caudle, K.L.; Johnson, L.C.; Baer, S.G.; Maricle, B.R. A comparison of seasonal foliar chlorophyll change among ecotypes and cultivars of Andropogon gerardii (Poaceae) by using nondestructive and destructive methods. Photosynthetica 2014, 52, 511–518. [Google Scholar] [CrossRef]
  7. Hasegawa, P.M.; Bressan, R.A.; Zhu, J.K.; Bohnert, H.J. Plant cellular and molecular responses to high salinity. Annu. Rev. Plant Biol. 2000, 51, 463–499. [Google Scholar] [CrossRef] [Green Version]
  8. Esmaili, E.; Kapourchal, S.A.; Malakouti, M.J.; Homaee, M. Interactive effect of salinity and two nitrogen fertilizers on growth and composition of sorghum. Plant Soil Environ. 2008, 54, 537–546. [Google Scholar] [CrossRef] [Green Version]
  9. Fageria, N.K.; Gheyi, H.R.; Moreira, A. Nutrient bioavailability in salt affected soils. J. Plant Nutr. 2011, 34, 945–962. [Google Scholar] [CrossRef]
  10. Hamdia, M.; Shaddad, M.A.K.; Doaa, M.M. Mechanisms of salt tolerance and interactive effects of Azospirillum brasilense inoculation on maize cultivars grown under salt stress conditions. Plant Growth Regul. 2004, 44, 165–174. [Google Scholar] [CrossRef]
  11. Saghafi, D.; Ghorbanpour, M.; Ajirloo, H.S.; Lajayer, B.A. Enhancement of growth and salt tolerance in Brassica napus L. seedlings by halotolerant Rhizobium strains containing ACC-deaminase activity. Plant Physiol. Rep. 2019, 24, 225–235. [Google Scholar] [CrossRef]
  12. Ibrahim, M.E.H.; Zhu, X.; Zhou, G.; Muhl, E. Nitrogen fertilizer alleviated negative impacts of NaCl on some physiological parameters of wheat. Pak. J. Bot. 2018, 50, 2097–2104. [Google Scholar]
  13. Miranda, R.S.; Mesquita, R.O.; Freitas, N.S.; Prisco, J.T.; Gomes-Filho, E. Nitrate: Ammonium nutrition alleviates detrimental effects of salinity by enhancing photosystem II efficiency in sorghum plants. Rev. Bras. Eng. Agrícola Ambient. 2014, 18, 8–12. [Google Scholar] [CrossRef] [Green Version]
  14. Zeng, W.; Xu, C.; Huang, J.; Wu, J.; Ma, T. Emergence rate, yield, and nitrogen-use efficiency of sunflowers (Helianthus annuus) vary with soil salinity and amount of nitrogen applied. Commun. Soil Sci. Plant Anal. 2015, 46, 1006–1023. [Google Scholar] [CrossRef]
  15. Alzubaidi, A.; Aljanabi, A.S.; Al-Rawi, A. Interaction between nitrogen and phosphorus fertilizers and soil salinity and its effect on growth and ionic composition of corn (Zea mays L.). In Genetic Aspects of Plant Mineral Nutrition; Springer: Berlin/Heidelberg, Germany, 1990; pp. 195–202. [Google Scholar]
  16. Xie, H.; Li, J.; Zhang, Y.; Xu, X.; Wang, L.; Ouyang, Z. Evaluation of coastal farming under salinization and optimized fertilization strategies in China. Sci. Total Environ. 2021, 797, 149038. [Google Scholar] [CrossRef]
  17. Machado, R.; Serralheiro, R. Salt stress alleviation through fertilization in fruit crops. In Fruit Crops; Elsevier: Amsterdam, The Netherlands, 2020; pp. 465–480. [Google Scholar]
  18. Xu, Z.; Shi, H.; Li, X.; Zhou, H. Effects of limited water and nitrogen supply on light energy utilization and yield of maize in salinized farmland. Trans. Chin. Soc. Agric. Mach. 2018, 50, 334–343. [Google Scholar]
  19. Liu, G.; Zhou, B.; Hou, Y. Effects of nitrogen application on salt stress in winter wheat. J. Irrig. Drain. 2019, S1, 36–40. [Google Scholar]
  20. Song, Y.; Huang, J.; Zeng, W. Applicability analysis and evaluation of crop growth model based on photosynthetic characteristics in saline farmland. China Rural Water Hydropower 2018, 12, 1–7. [Google Scholar]
  21. Franks, P.J.; Beerling, D.J. Maximum leaf conductance driven by CO2 effects on stomatal size and density over geologic time. Proc. Natl. Acad. Sci. USA 2009, 106, 10343–10347. [Google Scholar] [CrossRef] [Green Version]
  22. Sharkey, T.D.; Bernacchi, C.J.; Farquhar, G.D.; Singsaas, E.L. Fitting photosynthetic carbon dioxide response curves for C3 leaves. Plant Cell Environ. 2007, 30, 1035–1040. [Google Scholar] [CrossRef]
  23. Neto, A.A.; Prisco, J.T.; Enéas-Filho, J.; de Lacerda, C.F. Effects of salt stress on plant growth, stomatal response and solute accumulation of different maize genotypes. Braz. J. Plant Physiol. 2004, 16, 31–38. [Google Scholar] [CrossRef]
  24. Tardieu, F.; Simonneau, T.; Muller, B. The physiological basis of drought tolerance in crop plants: A scenario-dependent probabilistic approach. Annu. Rev. Plant Biol. 2018, 69, 733–759. [Google Scholar] [CrossRef] [PubMed] [Green Version]
  25. Leakey, A.; Ferguson, J.N.; Pignon, C.P.; Wu, A.; Jin, Z.; Hammer, G.L.; Lobell, D.B. Water use efficiency as a constraint and target for improving the resilience and productivity of C3 and C4 crops. Annu. Rev. Plant Biol. 2019, 70, 781–808. [Google Scholar] [CrossRef] [PubMed]
  26. Smith, N.E.G.; Tooley, E.G.; Maricle, B.R. Inorganic fertilizer and salt tolerance in Sorghum bicolor (L.) moench ssp. bicolor. J. Plant Nutr. 2020, 43, 1390–1399. [Google Scholar] [CrossRef]
  27. Liao, Q.; Gu, S.; Kang, S. Mild water and salt stress improve water use efficiency by decreasing stomatal conductance via osmotic adjustment in field maize. Sci. Total Environ. 2022, 805, 150364. [Google Scholar] [CrossRef] [PubMed]
  28. Houshmand, S.; Arzani, A.; Mirmohammadi-Maibody, S.A.M. Effects of salinity and drought stress on grain quality of durum wheat. Commun. Soil Sci. Plant Anal. 2014, 45, 297–308. [Google Scholar] [CrossRef]
  29. Liu, F.; Stützel, H. Biomass partitioning, specific leaf area, and water use efficiency of vegetable amaranth (Amaranthus spp.) in response to drought stress. Sci. Hortic. 2004, 102, 15–27. [Google Scholar] [CrossRef]
  30. Santos, L.C.; Coelho, R.D.; Barbosa, F.S.; Leal, D.P.V.; Fraga, E.F., Jr.; Barros, T.H.S.; Lizcano, J.V.; Ribeiro, N.L. Influence of deficit irrigation on accumulation and partitioning of sugarcane biomass under drip irrigation in commercial varieties. Agric. Water Manag. 2019, 221, 322–333. [Google Scholar] [CrossRef]
  31. Zhang, F.; Yan, F.; Fan, X. Effects of drip irrigation and fertilization levels on yield and water and fertilizer use efficiency of spring maize in Ningxia. Trans. Chin. Soc. Agric. Eng. 2018, 34, 111–120. [Google Scholar]
  32. Luo, H. Two important enzymes RuBP carboxylase and PEP carboxylase in photosynthetic carbon assimilation. J. High. Corresp. Educ. Nat. Sci. Ed. 1999, 3, 49–52. [Google Scholar]
  33. Hsiao, T.C. Plant responses to water stress. Annu. Rev. Plant Physiol. 1973, 24, 519–570. [Google Scholar] [CrossRef]
  34. Maurel, C.; Verdoucq, L.; Luu, D.-T.; Santoni, V. Plant aquaporins: Membrane channels with multiple integrated functions. Annu. Rev. Plant Biol. 2008, 59, 595–624. [Google Scholar] [CrossRef] [PubMed] [Green Version]
  35. Henry, C.; John, G.P.; Pan, R.; Bartlett, M.K.; Fletcher, L.R.; Scoffoni, C.; Sack, L. A stomatal safety-efficiency trade-off constrains responses to leaf dehydration. Nat. Commun. 2019, 10, 3398. [Google Scholar] [CrossRef] [Green Version]
  36. Condon, A.G.; Richards, R.A.; Rebetzke, G.J.; Farquhar, G.D. Breeding for high water-use efficiency. J. Exp. Bot. 2004, 55, 2447–2460. [Google Scholar] [CrossRef] [PubMed] [Green Version]
  37. Long, S.P.; Marshall-Colon, A.; Zhu, X.G. Meeting the global food demand of the future by engineering crop photosynthesis and yield potential. Cell 2015, 161, 56–66. [Google Scholar] [CrossRef] [PubMed] [Green Version]
  38. Blum, A. Osmotic adjustment is a prime drought stress adaptive engine in support of plant production. Plant Cell Environ. 2017, 40, 4–10. [Google Scholar] [CrossRef]
Figure 1. Effects of different nitrogen (N) and salt (S) treatments on leaf area at the stage of twelfth leaf (V12, (a)) and tasseling (VT, (b)). The ANOVE results are given for each S and N. Values are means ± standard deviation (SD) per treatment. Different letters indicate statistically significant (p < 0.05) differences between the treatments using a Tukey post hoc test. N1 is nitrogen application, and N0 is no nitrogen application. S1, S2 and S3 are the soil salinity concentrations of 0%, 0.1% and 0.25%, respectively.
Figure 1. Effects of different nitrogen (N) and salt (S) treatments on leaf area at the stage of twelfth leaf (V12, (a)) and tasseling (VT, (b)). The ANOVE results are given for each S and N. Values are means ± standard deviation (SD) per treatment. Different letters indicate statistically significant (p < 0.05) differences between the treatments using a Tukey post hoc test. N1 is nitrogen application, and N0 is no nitrogen application. S1, S2 and S3 are the soil salinity concentrations of 0%, 0.1% and 0.25%, respectively.
Agriculture 12 00877 g001
Figure 2. Effects of different nitrogen (N) and salt (S) treatments on plant height at the stages of twelfth leaf (V12, (a)) and tasseling (VT, (b)). Different letters indicate statistically significant (p < 0.05) differences between the treatments using a Tukey post hoc test. N1 is nitrogen application, and N0 is no nitrogen application. S1, S2 and S3 are the soil salinity concentrations of 0%, 0.1% and 0.25%, respectively.
Figure 2. Effects of different nitrogen (N) and salt (S) treatments on plant height at the stages of twelfth leaf (V12, (a)) and tasseling (VT, (b)). Different letters indicate statistically significant (p < 0.05) differences between the treatments using a Tukey post hoc test. N1 is nitrogen application, and N0 is no nitrogen application. S1, S2 and S3 are the soil salinity concentrations of 0%, 0.1% and 0.25%, respectively.
Agriculture 12 00877 g002
Figure 3. Effects of different nitrogen (N) and salt (S) treatments on stem diameter at the stage of V12 (a) and dry matter at the maturity stage (b). Different letters indicate statistically significant (p < 0.05) differences between the treatments using a Tukey post hoc test. N1 is nitrogen application, and N0 is no nitrogen application. S1, S2 and S3 are the soil salinity concentrations of 0%, 0.1% and 0.25%, respectively.
Figure 3. Effects of different nitrogen (N) and salt (S) treatments on stem diameter at the stage of V12 (a) and dry matter at the maturity stage (b). Different letters indicate statistically significant (p < 0.05) differences between the treatments using a Tukey post hoc test. N1 is nitrogen application, and N0 is no nitrogen application. S1, S2 and S3 are the soil salinity concentrations of 0%, 0.1% and 0.25%, respectively.
Agriculture 12 00877 g003
Figure 4. Effects of different nitrogen (N) and salt (S) treatments on SPAD at the stage of V12 (a) and VT (b). The ANOVE results are given for each S and N. Values are means ± SD per treatment. Different letters indicate statistically significant (p < 0.05) differences between the treatments using a Tukey post hoc test. N1 is nitrogen application, and N0 is no nitrogen application. S1, S2 and S3 are the soil salinity concentrations of 0%, 0.1% and 0.25%, respectively.
Figure 4. Effects of different nitrogen (N) and salt (S) treatments on SPAD at the stage of V12 (a) and VT (b). The ANOVE results are given for each S and N. Values are means ± SD per treatment. Different letters indicate statistically significant (p < 0.05) differences between the treatments using a Tukey post hoc test. N1 is nitrogen application, and N0 is no nitrogen application. S1, S2 and S3 are the soil salinity concentrations of 0%, 0.1% and 0.25%, respectively.
Agriculture 12 00877 g004
Figure 5. Effects of different nitrogen (N) and salt (S) treatments on leaf water potential (Ψ) at the stage of V12. The ANOVE results are given for each S and N. Values are means ± SD per treatment. Different letters indicate statistically significant (p < 0.05) differences between the treatments using a Tukey post hoc test. N1 is nitrogen application, and N0 is no nitrogen application. S1, S2 and S3 are the soil salinity concentrations of 0%, 0.1% and 0.25%, respectively.
Figure 5. Effects of different nitrogen (N) and salt (S) treatments on leaf water potential (Ψ) at the stage of V12. The ANOVE results are given for each S and N. Values are means ± SD per treatment. Different letters indicate statistically significant (p < 0.05) differences between the treatments using a Tukey post hoc test. N1 is nitrogen application, and N0 is no nitrogen application. S1, S2 and S3 are the soil salinity concentrations of 0%, 0.1% and 0.25%, respectively.
Agriculture 12 00877 g005
Figure 6. Effects of different nitrogen (N) and salt (S) treatments on A, net photosynthesis rate (a), gs, stomatal conductance (b), and WUEin, intrinsic water use efficiency (c). The ANOVE results are given for each S and N. Values are means ± SD per treatment. Different letters indicate statistically significant (p < 0.05) differences between the treatments using a Tukey post hoc test. N1 is nitrogen application, and N0 is no nitrogen application. S1, S2 and S3 are the soil salinity concentrations of 0%, 0.1% and 0.25%, respectively.
Figure 6. Effects of different nitrogen (N) and salt (S) treatments on A, net photosynthesis rate (a), gs, stomatal conductance (b), and WUEin, intrinsic water use efficiency (c). The ANOVE results are given for each S and N. Values are means ± SD per treatment. Different letters indicate statistically significant (p < 0.05) differences between the treatments using a Tukey post hoc test. N1 is nitrogen application, and N0 is no nitrogen application. S1, S2 and S3 are the soil salinity concentrations of 0%, 0.1% and 0.25%, respectively.
Agriculture 12 00877 g006
Figure 7. Effects of different nitrogen (N) and salt (S) treatments on Vpmax, the maximum carbon fixation rate of PEP (a) and Vcmax, the maximum carbon fixation rate of Rubisco (b) at the stage of V12. The ANOVE results are given for each S and N. Values are means ± SD per treatment. Different letters indicate statistically significant (p < 0.05) differences between the treatments using a Tukey post hoc test. N1 is nitrogen application, and N0 is no nitrogen application. S1, S2 and S3 are the soil salinity concentrations of 0%, 0.1% and 0.25%, respectively.
Figure 7. Effects of different nitrogen (N) and salt (S) treatments on Vpmax, the maximum carbon fixation rate of PEP (a) and Vcmax, the maximum carbon fixation rate of Rubisco (b) at the stage of V12. The ANOVE results are given for each S and N. Values are means ± SD per treatment. Different letters indicate statistically significant (p < 0.05) differences between the treatments using a Tukey post hoc test. N1 is nitrogen application, and N0 is no nitrogen application. S1, S2 and S3 are the soil salinity concentrations of 0%, 0.1% and 0.25%, respectively.
Agriculture 12 00877 g007
Figure 8. Effects of different nitrogen (N) and salt (S) treatments on stomatal width (a), perimeter of stomata (b), amax, maximum stomatal area (c), SD, stomatal density (d), gsmax, maximum stomatal conductance (e) at the stage of V12. The ANOVE results are given for each S and N. Values are means ± SD per treatment. Different letters indicate statistically significant (p < 0.05) differences between the treatments using a Tukey post hoc test. N1 is nitrogen application, and N0 is no nitrogen application. S1, S2 and S3 are the soil salinity concentrations of 0%, 0.1% and 0.25%, respectively.
Figure 8. Effects of different nitrogen (N) and salt (S) treatments on stomatal width (a), perimeter of stomata (b), amax, maximum stomatal area (c), SD, stomatal density (d), gsmax, maximum stomatal conductance (e) at the stage of V12. The ANOVE results are given for each S and N. Values are means ± SD per treatment. Different letters indicate statistically significant (p < 0.05) differences between the treatments using a Tukey post hoc test. N1 is nitrogen application, and N0 is no nitrogen application. S1, S2 and S3 are the soil salinity concentrations of 0%, 0.1% and 0.25%, respectively.
Agriculture 12 00877 g008
Table 1. Fertilization patterns of maize at different growth stages.
Table 1. Fertilization patterns of maize at different growth stages.
Growing Stages Fertilizer (g)
N1N0P2O5K2O
Base fertilizer2.6404.751.9
Small trumpet period2.6401.422.53
Big trumpet period3.301.421.9
Tasseling period2.6401.90
Filling period1.98000
Sum13.209.496.33
Publisher’s Note: MDPI stays neutral with regard to jurisdictional claims in published maps and institutional affiliations.

Share and Cite

MDPI and ACS Style

Du, K.; Zhang, Y.; Qin, S.; Wang, L.; Zhang, B.; Wang, S. Effects of Nitrogen Fertilization on Physiological Response of Maize to Soil Salinity. Agriculture 2022, 12, 877. https://doi.org/10.3390/agriculture12060877

AMA Style

Du K, Zhang Y, Qin S, Wang L, Zhang B, Wang S. Effects of Nitrogen Fertilization on Physiological Response of Maize to Soil Salinity. Agriculture. 2022; 12(6):877. https://doi.org/10.3390/agriculture12060877

Chicago/Turabian Style

Du, Kaixuan, Yanqun Zhang, Shanshan Qin, Lijuan Wang, Baozhong Zhang, and Shuji Wang. 2022. "Effects of Nitrogen Fertilization on Physiological Response of Maize to Soil Salinity" Agriculture 12, no. 6: 877. https://doi.org/10.3390/agriculture12060877

APA Style

Du, K., Zhang, Y., Qin, S., Wang, L., Zhang, B., & Wang, S. (2022). Effects of Nitrogen Fertilization on Physiological Response of Maize to Soil Salinity. Agriculture, 12(6), 877. https://doi.org/10.3390/agriculture12060877

Note that from the first issue of 2016, this journal uses article numbers instead of page numbers. See further details here.

Article Metrics

Back to TopTop