Insights into Rural Stress: Using the Community Capitals Framework to Help Inform Rural Policies and Interventions
Abstract
1. Introduction
Conceptual Framework
2. Materials and Methods
- Describe an absolute rating frequency count of community capitals associated with importance to rural stress;
- Describe an absolute ranking frequency count of community capitals associated with importance to rural stress;
- Develop a preliminary ranking of importance of community capitals related to rural stress using the Borda Count method;
- Develop a preliminary ranking of importance of community capitals related to rural stress using a weighted ranking method.
2.1. Data Analysis
2.1.1. Rating Data
2.1.2. Ranking Data
2.1.3. Modified Borda Count
- n denotes the number of possible rankings;
- i denotes the i-th ranking (e.g., i = 1 implies capital is given first-place ranking);
- frequencyi denotes the number of times a capital is given an i-th place ranking.
2.1.4. Paired Data
3. Results
4. Discussion
Author Contributions
Funding
Institutional Review Board Statement
Informed Consent Statement
Data Availability Statement
Conflicts of Interest
References
- Arbuckle, J.; Kast, C. Quality of life on the agricultural treadmill: Individual and community determinants of farm family well-being. J. Rural Soc. Sci. 2007, 27, 84–113. Available online: https://egrove.olemiss.edu/jrss/vol27/iss1/4 (accessed on 17 December 2020).
- Hirsch, J.K. A review of the literature on rural suicide: Risk and protective factors, incidence, and prevention. Crisis 2006, 27, 189–199. [Google Scholar] [CrossRef] [PubMed]
- Key Findings about American Life in Urban, Rural, and Suburban Areas. Available online: https://www.pewresearch.org/fact-tank/2018/05/22/key-findings-about-american-life-in-urban-suburban-and-rural-areas/ (accessed on 5 April 2022).
- Behringer, B.; Friedell, G.H. Appalachia: Where place matters in health. Prev. Chronic Dis. 2006, 3, 1–4. [Google Scholar]
- Kilpatrick, S.; Willis, K.; Johns, S.; Peek, K. Supporting farmer and fisher health and wellbeing in ‘difficult times’: Communities of place and industry associations. Rural Soc. 2012, 22, 31–44. [Google Scholar] [CrossRef]
- Parent, M.; Steede, M. Minority stress among gay and bisexual men in agricultural occupations. J. Rural Soc. Sci. 2020, 35, 1–22. Available online: https://egrove.olemiss.edu/jrss/vol35/iss1/3 (accessed on 17 December 2020).
- Clay, R.A. Reducing rural suicide. Am. Psychol. Assoc. 2014, 45, 36–38. Available online: https://www.apa.org/monitor/2014/04/rural-suicide (accessed on 17 December 2020).
- Skobba, K.; Osinubi, A.; Tinsley, K.L. What about rural blight? Housing and neighborhood conditions in southeastern small towns. Rural Sociol. 2020, 85, 85–110. [Google Scholar] [CrossRef]
- Hoyt, D.R.; Conger, R.D.; Velde, J.G.; Weihs, K. Psychological distress and help-seeking in rural America. Am. J. Community Psychol. 1997, 25, 449–470. [Google Scholar] [CrossRef]
- Healy, K.; Hampshire, A.; Ayres, L. Beyond the local: Extending the social capital discourse. Aust. J. Soc. Issues 2004, 39, 329–342. [Google Scholar] [CrossRef]
- McKenzie, F.H. The challenges of achieving community self-determination and capacity building in a neo-liberal political environment. Aust. J. Prim. Health 2003, 9, 39–49. [Google Scholar] [CrossRef]
- Borron, A.; Lamm, K.; Darbisi, C.; Randall, N. Social impact assessment in the cooperative extension system: Revitalizing the community capitals framework in measurement and approach. J. Int. Agric. Ext. Educ. 2019, 26, 75–88. [Google Scholar] [CrossRef]
- Borron, A.; Lamm, K.W.; Atkins, K. The development and validation of a personal agency scale based in the community capitals framework. J. Int. Agric. Ext. Educ. 2020, 27, 43–58. [Google Scholar] [CrossRef]
- Emery, M.; Flora, C.B. Spiraling-up: Mapping community transformation with community capitals framework. Community Dev. 2006, 37, 19–35. [Google Scholar] [CrossRef]
- Flint, R.W. Seeking resiliency in the development of sustainable communities. Hum. Ecol. Rev. 2010, 17, 44–57. Available online: https://www.jstor.org/stable/24707514 (accessed on 17 December 2020).
- Lamm, K.; Borron, A.; Atkins, K. The development and validation of an empirical scale to inform community diagnostics and change. J. Agric. Ext. Educ. 2021, 27, 287–306. [Google Scholar] [CrossRef]
- Lamm, K.W.; Borron, A.; Atkins, K. The community diagnostics and social impact toolkit: Development and validation of a reliable measure. J. Agric. Educ. 2020, 61, 249–265. [Google Scholar] [CrossRef]
- What is Community Capital-Sustainable Measures? Available online: http://www.sustainablemeasures.com/Training/Indicators/Capital.html (accessed on 5 April 2022).
- Mueller, D.; Hoard, S.; Roemer, K.; Sanders, C.; Rijkhoff, S.A.M. Quantifying the community capitals framework: Strategic application of the community assets and attributes model. Community Dev. 2020, 51, 535–555. [Google Scholar] [CrossRef]
- Yang, X.; Guo, S.; Deng, X.; Xu, D. Livelihood adaptation of rural households under livelihood stress: Evidence from Sichuan Province, China. Agriculture 2021, 11, 506. [Google Scholar] [CrossRef]
- Lamm, K.W.; Powell, A.N.; Holt, J.; Borron, A.; Atkins, D.K. Development and validation of a rural stress instrument. J. Agric. Educ. 2020, 61, 32–43. [Google Scholar] [CrossRef]
- Somashekar, B.; Reddy, P.S.; Wuntakal, B. Stress and rural mental health. In Mental Health and Illness in the Rural World; Chaturvedi, S.K., Ed.; Springer: Singapore, 2020; pp. 74–96. [Google Scholar] [CrossRef]
- Derringer, J.C.; Biddle, M.J. Potential directions for farm stress research: A systematic review of educational interventions to reduce psychosocial stress among farm and rural populations. J. Rural Health 2021, 1–20. [Google Scholar] [CrossRef]
- Hansen, B.G.; Østerås, O. Farmer welfare and animal welfare: Exploring the relationship between farmer’s occupational well-being and stress, farm expansion and animal welfare. Prev. Vet. Med. 2019, 170, 104741. [Google Scholar] [CrossRef] [PubMed]
- Carvajal, S.C.; Kibor, C.; McClelland, D.J.; Ingram, M.; de Zapien, J.G.; Torres, E.; Redondo, F.; Rodriguez, K.; Rubio-Goldsmith, R.; Meister, J.; et al. Stress and sociocultural factors related to health status among US-Mexico border farmworkers. J. Immigr. Minority Health 2014, 16, 1176–1182. [Google Scholar] [CrossRef] [PubMed]
- Hounsome, B.; Edwards, R.T.; Hounsome, N.; Edward-Jones, G. Psychological morbidity of farmers and non-farming population: Results from a UK survey. Community Ment. Health J. 2012, 48, 503–510. [Google Scholar] [CrossRef]
- Raja, U.; McManus, D.J.; Hardin, J.M.; Haynes, B.C. Collaborative rural healthcare network: A conceptual model. Int. J. Interact. Mob. Technol. 2011, 5, 20–23. [Google Scholar] [CrossRef][Green Version]
- Bauerly, B.C.; McCord, R.F.; Hulkower, R.; Pepin, D. Broadband access as a public health issue: The role of law in expanding broadband access and connecting underserved communities for better health outcomes. J. Law Med. Ethics 2019, 47, 39–42. [Google Scholar] [CrossRef] [PubMed]
- Kornelsen, J.; Stoll, K.; Grzybowski, S. Stress and anxiety associated with lack of access to maternity services for rural parturient women. Aust. J. Rural Health 2011, 19, 9–14. [Google Scholar] [CrossRef] [PubMed]
- Emerson, P. The original Borda count and partial voting. Soc. Choice Welf. 2013, 40, 353–358. [Google Scholar] [CrossRef]
- Qu, Z.; Wei, Y.; Li, X. Risk perception of rural land supply reform in China: From the perspective of stakeholders. Agriculture 2021, 11, 646. [Google Scholar] [CrossRef]
- Sackey, J.; Sanda, M. Sustenance of human capital: Social support as a managerial stress reliever for women in developing economies. Res. Pract. Hum. Resour. Manag. 2011, 19, 1–23. Available online: https://www.researchgate.net/publication/287378114_Sustenance_of_human_capital_Social_support_as_a_managerial_stress_reliever_for_women_in_developing_economies (accessed on 17 December 2020).
- Joshi, M.L.; Bliss, J.C.; Bailey, C.; Teeter, L.J.; Ward, K.J. Investing in industry, underinvesting in human capital: Forest-based rural development in Alabama. Soc. Nat. Resour. 2000, 13, 291–319. [Google Scholar] [CrossRef]
- Čadil, J.; Petkovovö, L.; Blatná, D. Human capital, economic structure, and growth. Procedia Econ. Financ. 2014, 12, 85–92. [Google Scholar] [CrossRef]
- Ramos, R.; Surinach, J.; Artís, M. Regional economic growth and human capital: The role of overeducation. Reg. Stud. 2012, 46, 1389–1400. [Google Scholar] [CrossRef]
- Graham, D.L.; Arnold, S.; Jayaratne, K.S.U. Research priority six: Vibrant, resilient communities. In American Association for Agricultural Education National Research Agenda: 2016–2020; Roberts, T.G., Harder, A., Brashears, M.T., Eds.; American Association of Agricultural Education: Gainesville, FL, USA, 2016; pp. 50–56. Available online: http://aaaeonline.org/resources/Documents/AAAE_National_Research_Agenda_2016-2020.pdf (accessed on 17 December 2020).
- Cook, J.; Cuervo, H. Staying, leaving, and returning: Rurality and the development of reflexivity and motility. Curr. Sociol. 2020, 68, 60–76. [Google Scholar] [CrossRef]
- Why Some Return Home to Rural America and Why it Matters. Available online: https://www.ers.usda.gov/amber-waves/2015/july/why-some-return-home-to-rural-america-and-why-it-matters/ (accessed on 5 April 2022).
- Gift from Alumni Create CAES Rural Scholars Program. Available online: https://news.uga.edu/caes-rural-scholars-program/ (accessed on 5 April 2022).
- Kaplan, S. The restorative benefits of nature: Toward an integrative framework. J. Environ. Psychol. 1995, 15, 169–182. [Google Scholar] [CrossRef]
- Wells, N.M.; Evans, G.W. Nearby nature: A buffer of life stress among rural children. Environ. Behav. 2003, 35, 311–330. [Google Scholar] [CrossRef]
- Greenwood, A.; Gatersleben, B. Let’s go outside! Environmental restoration among adolescents and the impact of friends and phones. J. Environ. Psychol. 2016, 48, 131–139. [Google Scholar] [CrossRef]
- Cindrich, S.L.; Lansing, J.E.; Brower, C.S.; McDowell, C.P.; Herring, M.P.; Meyer, J.D. Associations between change in outside times pre- and post-COVID-19 public health restrictions and mental health: Brief research report. Front. Public Health 2021, 9, 8. [Google Scholar] [CrossRef]
- Naomi, A.S. Access to nature has always been important; With COVID-19, it is essential. Health Environ. Res. Des. J. 2020, 13, 242–244. [Google Scholar] [CrossRef]
- Henning-Smith, C.; Alberth, A.; Bjornestad, A.; Becot, F.; Inwood, S. Farmer mental health in the US Midwest: Key informant perspectives. J. Agromedicine 2022, 27, 15–24. [Google Scholar] [CrossRef]
- Farmer Stress in Georgia. Available online: https://extension.uga.edu/content/dam/extension/topic-areas/timely-topics/rural/Report_Farmer%20Stress%20in%20Georgia.pdf (accessed on 5 April 2022).
- Morton, L.W.; McGuire, J.M.; Cast, A.D. A good farmer pays attention to the weather. Clim. Risk Manag. 2017, 15, 18–31. [Google Scholar] [CrossRef]
- U.S. Farmers to Leverage Land as Farm Economy Deteriorates: Survey. Available online: https://www.reuters.com/article/us-usa-farmers-land/u-s-farmers-to-leverage-land-as-farm-economy-deteriorates-survey-idUSKBN1XN1AU (accessed on 5 April 2022).
- Farms and Farm Households during the COVID-19 Pandemic. Available online: https://www.ers.usda.gov/covid-19/farms-and-farm-households/ (accessed on 5 April 2022).
- Lamm, K.W.; Lamm, A.J.; Carter, H.S. Opinion leadership development: Context and audience characteristics count. J. Agric. Educ. 2014, 55, 91–105. [Google Scholar] [CrossRef]
- U.S. Department of Agriculture [USDA] (n.d.). Grants and Loans. Available online: https://www.usda.gov/topics/farming/grants-and-loans (accessed on 4 March 2022).
- Duxbury, N.; Campbell, H. Developing and revitalizing rural communities through arts and culture. Small Cities Impr. 2011, 3, 111–122. [Google Scholar]
- Acebes, P.; Iglesias-González, Z.; Muñoz-Galvez, F.J. Do Traditional Livestock Systems Fit into Contemporary Landscapes? Integrating Social Perceptions and Values on Landscape Change. Agriculture 2021, 11, 1107. [Google Scholar] [CrossRef]
- Majee, W.; Anakwe, A.; Jooste, K. Youth and young adults these days: Perceptions of community resources and factors associated with rural community engagement. J. Rural Soc. Sci. 2020, 35, 1–24. Available online: https://egrove.olemiss.edu/jrss/vol35/iss1/1 (accessed on 17 December 2020).


| Community Capital | n | 1 | 2 | 3 | 4 | 5 |
|---|---|---|---|---|---|---|
| Built–Financial | 167 | 2 | 5 | 32 | 75 | 53 |
| Social | 167 | 2 | 5 | 30 | 81 | 49 |
| Natural | 167 | 2 | 14 | 40 | 62 | 49 |
| Cultural | 167 | 2 | 8 | 43 | 86 | 28 |
| Political | 167 | 2 | 18 | 55 | 64 | 28 |
| Human | 167 | 2 | 5 | 60 | 76 | 24 |
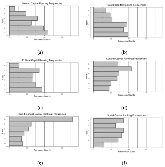
| Community Capital | n | 1 | 2 | 3 | 4 | 5 | 6 |
|---|---|---|---|---|---|---|---|
| Human | 165 | 44 | 39 | 25 | 32 | 19 | 6 |
| Natural | 165 | 39 | 34 | 38 | 21 | 19 | 14 |
| Political | 135 | 37 | 30 | 26 | 27 | 34 | 11 |
| Cultural | 165 | 18 | 20 | 27 | 29 | 43 | 28 |
| Built–Financial | 165 | 15 | 14 | 17 | 22 | 25 | 72 |
| Social | 165 | 12 | 28 | 32 | 34 | 25 | 34 |
| Community Capital | Borda Count |
|---|---|
| Human | 699 |
| Natural | 671 |
| Political | 636 |
| Social | 526 |
| Cultural | 517 |
| Built–Financial | 416 |
| Community Capital | Weighted Ranking |
|---|---|
| Human | 329 |
| Natural | 301 |
| Social | 274 |
| Political | 262 |
| Built–Financial | 233 |
| Cultural | 209 |
Publisher’s Note: MDPI stays neutral with regard to jurisdictional claims in published maps and institutional affiliations. |
© 2022 by the authors. Licensee MDPI, Basel, Switzerland. This article is an open access article distributed under the terms and conditions of the Creative Commons Attribution (CC BY) license (https://creativecommons.org/licenses/by/4.0/).
Share and Cite
Lamm, K.W.; Powell, A.; Borron, A.; Atkins, K.; Hollifield, S. Insights into Rural Stress: Using the Community Capitals Framework to Help Inform Rural Policies and Interventions. Agriculture 2022, 12, 694. https://doi.org/10.3390/agriculture12050694
Lamm KW, Powell A, Borron A, Atkins K, Hollifield S. Insights into Rural Stress: Using the Community Capitals Framework to Help Inform Rural Policies and Interventions. Agriculture. 2022; 12(5):694. https://doi.org/10.3390/agriculture12050694
Chicago/Turabian StyleLamm, Kevan W., Alyssa Powell, Abigail Borron, Keith Atkins, and Stephanie Hollifield. 2022. "Insights into Rural Stress: Using the Community Capitals Framework to Help Inform Rural Policies and Interventions" Agriculture 12, no. 5: 694. https://doi.org/10.3390/agriculture12050694
APA StyleLamm, K. W., Powell, A., Borron, A., Atkins, K., & Hollifield, S. (2022). Insights into Rural Stress: Using the Community Capitals Framework to Help Inform Rural Policies and Interventions. Agriculture, 12(5), 694. https://doi.org/10.3390/agriculture12050694

