Next Article in Journal
Novel 3-D Spacer Textiles to Protect Crops from Insect Infestation and That Enhance Plant Growth
Previous Article in Journal
Nitrate Concentration in Leachate—Essential Information for Reducing Nitrogen Surplus and Groundwater Pollution from Agricultural Land in Slovakia
Previous Article in Special Issue
Utilization of Sewage Sludge-Derived Pyrogenic Material as a Promising Soil Amendment
 
 
Font Type:
Arial Georgia Verdana
Font Size:
Aa Aa Aa
Line Spacing:
Column Width:
Background:
Article

Biomass Accumulation and Technical and Economic Efficiency of Potassium Sources Applied via Fertigation to Corn

by
Fernando Rodrigues Cabral Filho
1,*,
Frederico Antonio Loureiro Soares
1,
Daniely Karen Matias Alves
1,
Marconi Batista Teixeira
1,
Fernando Nobre Cunha
1,
Edson Cabral da Silva
1,
Cícero Teixeira Silva Costa
2,
Nelmício Furtado da Silva
1,
Gabriela Nobre Cunha
3 and
Wendson Soares da Silva Cavalcante
4
1
Department of Hydraulics and Irrigation, Federal Institute of Education, Science and Technology Goiano, Rio Verde 75901-170, Brazil
2
Natural Resources and Agricultural Technologies (RENTA), Federal Institute of Education, Science and Technology of Mato Grosso do Sul, Naviraí 79950-000, Brazil
3
Pontifical Catholic University of Goiás—PUC Goiás, Goiania 74605-900, Brazil
4
Department of Biochemistry and Plant Physiology, University of Rio Verde—UniRV, Rio Verde 75901-970, Brazil
*
Author to whom correspondence should be addressed.
Agriculture 2022, 12(4), 497; https://doi.org/10.3390/agriculture12040497
Submission received: 10 December 2021 / Revised: 2 February 2022 / Accepted: 7 February 2022 / Published: 31 March 2022
(This article belongs to the Special Issue From Waste to Fertilizer in Sustainable Agriculture)

Abstract

To achieve high corn yield, optimal amounts of nutrients that can be extracted by the crop must be supplied at adequate proportions. Vinasse from sugarcane ethanol production can be applied as a soil fertilizer to corn crops in ethanol production plants. In this context, the present study compared the effects of mineral potassium fertilization with potassium chloride and organic fertilization with concentrated sugarcane vinasse on corn dry matter and grain yield and explored the technical and economic efficiency of these sources. The experiment was carried out at the experimental station of the Federal Institute Goiano, Rio Verde Campus, Brazil. The experiment followed a randomized block design in a 2 × 4 factorial scheme, with three replicates. The treatments comprised two sources of potassium, namely concentrated vinasse and potassium chloride, applied at four doses of potassium, representing 0%, 50%, 100%, and 200% of the recommended rate for corn. The dry matter accumulation of corn throughout the crop cycle, yield components at harvest, and technical and economic efficiency of the applied potassium sources were measured. Neither potassium dose nor its source affected leaf, stem, and aboveground dry matter accumulation at harvest. Regardless of the potassium source, the 100% dose produced higher cob dry mass, grain dry mass, grain dry mass per ear, grain yield, number of bags of 60 kg ha−1 produced per hectare, and harvest index. The agronomic efficiency of vinasse compared to potassium chloride was 68.5% at the 100% dose of the recommendation, showing enough potential as an organic fertilizer in corn crop.

1. Introduction

Currently, corn is one of the world’s leading cereal crops because of the versatility of its products and by-products [1,2]. In the 2020–2021 crop year, corn production in Brazil reached 106.5 million tons, divided between the first and second harvest, representing an increase of 3.7% over production in the previous crop year. Moreover, according to the Brazilian Supply Company (Companhia Brasileira de Abastecimento, CONAB, Brasília, Brazil), the area under corn cultivation reached 19,873,400 hectares, with the productivity of 5355 kg·ha−1 [3]. According to projections by the Ministry of Agriculture, Livestock and Supply (Ministério da Agricultura Pecuária e Abastecimento, MAPA, Brasília, Brazil) [4], these values are expected to rise beyond 113 million tons by the 2027–2028 crop year. Within Brazil, the municipality of Rio Verde, in the of Goiás State stands out as the largest producer of corn [5].
To increase crop productivity, optimal amounts of nutrients that can be extracted from the soil by crops must be supplied at adequate proportions. Typically, tropical soils are deficient in potassium, and during corn cultivation in these soils, potassium fertilization is essential to achieve satisfactory yields [6]. Moreover, potassium is the second most essential nutrient, following nitrogen, for maize [1,7].
According to [8], advances in soil fertility improvement techniques in the Cerrado region have favored large-scale production of maize, similar to that of other crops, rendering corn cultivation profitable. As a result of the stability of corn production and advances in agricultural technologies, corn ethanol has been gaining prominence in the country, and its production has grown over 532% in the last four years. During 2020–2021 alone, corn ethanol production was 33 billion liters, representing 10% of the ethanol market in Brazil. At present, 18 corn ethanol production plants are operating in the country [9].
The growing demand of agricultural production has significantly intensified the use of mineral fertilizers. In this context, management practices that enhance the use efficiency of natural resources and agricultural inputs, particularly fertilizers, must be implemented to reduce fertilizer input while increasing productivity and improving economic efficiency [10].
During corn cultivation for ethanol production, vinasse derived from sugarcane ethanol production may be applied as a fertilizer to improve soil fertility through the recycling of nutrients, specifically potassium. However, when used for this purpose, the amount of vinasse supplied should not exceed its ion retention capacity [11,12].
Sugarcane industrialization generates large volumes of vinasse (12 times the volume of ethanol produced), and its residue contains considerable amounts of organic matter and potassium, in addition to other plant nutrients. However, due to the large amount of water in the residue, the cost of transportation limits the use of “in natura” vinasse in areas far from the production plants. To address this limitation, the volume of water in the residue can be reduced through evaporation, generating concentrated vinasse, and the evaporated water can be reused for other purposes.
In recent years, the use of vinasse as fertigation for crops has garnered much attention, particularly in the context of the production and appropriate disposal of effluents from the agro-industrial sector. As such, vinasse is an effluent composed of 93% water and 7% solids. Comprising 75% organic matter, the solid fraction of vinasse is mainly composed of organic compounds and mineral elements, of which nearly 20% is potassium a determinant of the dose of vinasse to be applied as a soil fertilizer [13,14,15,16]. However, to increase soil fertility, vinasse should be applied at amounts that do not exceed its ion retention capacity [17,18]. Specifically, vinasse dose should be determined based on the intrinsic characteristics of a given soil, since the imbalance of minerals and organic elements in soil may lead to the leaching of various ions, particularly nitrate and potassium [19].
Therefore, the use of vinasse in corn as a source of potassium can replace mineral fertilization with potassium chloride, with improvements in soil chemical attributes, increase in grain, silage and corn forage yield [20,21] in addition to the economic benefit, because it is an organic source with reduced cost.
To this end, the present study compared the effects of mineral fertilization with potassium chloride and organic fertilization with concentrated sugarcane vinasse on corn dry mass and grain yield and evaluated the technical and economic efficiency of these potassium sources.

2. Materials and Methods

The experiment was carried out in plastic pots, arranged in the open air, from November 2019 to February 2020 (corn crop) at the experimental station of the Federal Goiano Institute, Rio Verde Campus, Brazil (17°48′28″S, 50°53′57″O, 720 m a.s.l.). According to [22], the climate of the region is classified as Aw (tropical) [23], with rainfall from October to May and drought from June to September. Rainfall recorded in the months of corn cultivation during the 2019–2020 growing season was as follows: November = 267.30 mm; December = 241.20 mm; January = 182.30 mm; and February = 186.70 mm.
The experiment followed a randomized block design in a 2 × 4 factorial scheme, with three replicates. The treatments comprised two sources of potassium (concentrated vinasse and potassium chloride) applied at four doses, corresponding to 0% (0 kg·ha−1), 50% (45 kg·ha−1), 100% (90 kg·ha−1), and 200% (180 kg·ha−1 potassium (K2O)) of the recommended rate for corn cultivation (expected yield of 12,000 kg·ha−1) in the Cerrado region [24]. A total of 24 experimental plots were arranged, each with five pots containing two plants, totaling 120 experimental units. The potassium dose per pot was determined based on the number of plants, considering a population of 70,000 plants per hectare.
The pots were filled with soil collected from the depth of 0.0–0.30 m from a native Cerrado region belonging to the Federal Goiano Institute, Rio Verde Campus. The soil in this region is classified as Latossolo Vermelho distroférrico (LVdf) of clayey texture according to the Brazilian Soil Classification System [25], as Oxisol (Rhodic Haplustox) according to the USDA soil taxonomy [26], and as Ferralsol according to WRB/FAO [27]. The physicochemical characteristics of soil, analyzed according to methodologies described by [28], are summarized in Table 1.
Polyethylene plastic pots (25 L) with a 4-cm-thick drain of gravel no. 32 kg of soil (ds = 1350 kg·m−3), were used. Thirty days before sowing, soil pH was corrected by applying calcitic filler limestone at the dose of 2000 kg·ha−1 (0.065 kg per pot) to increase the base saturation to 65% [24].
Soil humidity was raised to field capacity when 10 seeds of hybrid corn SYN522 VIP3 were sowing per pot, and thinning was performed 15 days after sowing (DAS), leaving only two plants per pot, which were maintained until the end of the crop cycle.
In the sowing furrow, all experimental units were fertilized with phosphorus and nitrogen. Moreover, at the phenological stages V4 and V6 (four and six fully developed leaves, respectively) of corn, only nitrogen fertilizer was applied as topdressing following the recommendations of [24]: 67 kg nitrogen ha−1 as urea (0.002 kg per pot) at sowing and 200 kg P ha−1 (0.005 kg per pot) as super simple and 155 kg N ha−1 (0.004 kg per pot) as urea divided into two applications as topdressing.
The treatments (potassium doses and sources) were applied in the form of fertigation at the phenological stages V4 and V6 following the recommended of Sousa and Lobato (2004) (90 kg·ha−1 potassium). Potassium was applied in the form of reddish granules K2O at 60% concentration.
The concentrated vinasse used in the experiment was collected from the Raízen Industry, Jataí Unit. Comprehensive chemical analysis of vinasse residue was performed at the beginning of the experiment, according to the methodology described by [28] (Table 2).
Dry matter accumulation in the aerial part of corn plants was evaluated at 30, 58, 86, and 114 DAS. Specifically, leaf dry matter (MSF, g plant−1), stem dry matter (MSC, g plant−1), and aboveground dry matter (MSPA, g plant−1) were quantified.
Briefly, the plants were divided into leaves and stems, placed in paper bags previously labeled according to the treatments, and dried in a forced air oven at 65 °C for 72 h. Finally, dry mass was determined using a high-precision analytical balance with a resolution of 0.001 g. Based on the results, the following mass ratios (photoassimilate partitioning, PFA) were determined: MSF/MSC, MSF/MSPA, MSC/MSPA, MSSBG/MSPA, and MSG/MSPA.
At harvest, the number of cobs per plant (NESP), ear length (CESP, cm), ear diameter (DESP, mm), number of grain rows (NFG), number of grains per row (NGF), cob diameter (DSBG, mm), cob length (CSBG, cm), cob dry matter (MSSBG, g per plant), grain size (TG, mm), grain dry mass (MSG, g per plant), grain dry mass per ear (MSGESP, g per cob), grain yield (PROD, kg·ha−1), and the number of bags per hectare (SCHA) were determined.
Briefly, the grains were placed in paper bags previously labelled according to the treatments and dried in a forced aid oven at 65 °C for 72 h. For the calculation of grain yield, moisture content was corrected to 13% on a wet basis. MSG and MSGESP were determined using a high-precision analytical balance with a resolution of 0.001 g.
Yield per hectare and the number of bags per hectare were estimated using Equations (1) and (2), and the harvest index (CI) was determined using Equation (3).
PROD = MSGESP   ×   NESP   ×   70,000
SCHA = PROD / 60
CI = MSG MSPA
where PROD is grain yield at 13% moisture (kg·ha−1); MSGESP is grain dry mass per ear (kg per cob); NESP is the number of cobs per plant; 70,000 is the number of plants per hectare; SCHA is the number of 60 kg bags produced per hectare; 60 is the conversion factor for 60 kg bags; CI is the harvest index; and MSPA is the dry matter of aerial parts (g per plant).
The maximum technical (MET, Equation (4)) and economic (MEE, Equation (5)) efficiencies of the mineral fertilizer chloride and vinasse as the potassium sources were determined according to grain yield, as follows:
MET = b 1 2   ×   b 2
MEE = ( t w b 1 ) 2   ×   b 2
where MET is the maximum technical efficiency; b1 and b2 are the coefficients of the regression equation; MEE is the maximum economic efficiency; t is the value of input (R$ kg−1); and w is the value of output (grains, R$ kg−1).
For vinasse, a cost of R$ 8 per cubic meter was considered, including treatment, storage, transportation, and application. For potassium chloride, a cost of R$ 1500 per ton was considered, including purchase, shipping, and application [29]. The value of the product was estimated at R$30.00 for a 60 kg bag [30].
For vinasse, the agronomic efficiency index was calculated using Equation (6) [31].
IEA = P r P o P s P o   ×   100
where IEA is the agronomic efficiency index (%); Pr is the grain yield obtained with vinasse applied at dose n (kg·ha−1); Po is the grain yield obtained with potassium chloride applied at dose n (kg·ha−1); and Ps is the grain yield obtained in the absence of fertilization (kg·ha−1).
Moreover, productivity was determined as a function of potassium dose (Equation (7)) and yield obtained with potassium chloride (Equation (8)):
PRDK = PROD DK
PRV = PRODv PRODKCl
where PRDK is the productivity depending on the amount of potassium applied at dose n (kg·ha−1); PROD is the productivity depending on the source of potassium applied at dose n (kg·ha−1); DK is the amount of potassium applied at dose n (kg·ha−1); PRV is the productivity obtained from vinasse as a function of productivity obtained from potassium chloride applied at dose n (kg·ha−1); PRODv is the productivity obtained from vinasse applied at dose n (kg·ha−1); and PRODKCl is the productivity obtained from potassium chloride applied at dose n (kg·ha−1).
The dry matter data obtained during each phase of development and the yield parameters at harvest were subjected to the analysis of variance using the F test at 5% probability level. For the factor dose, significance results were subjected to linear and quadratic polynomial regression analysis. For the factor source, means were compared using the Tukey’s test at 5% probability level. For all variables, the interaction between dose factors and potassium sources was also analyzed using R CORE® [32].

3. Results

According to the regression variance analysis, there was no interaction effect between the sources × potassium doses for leaf dry matter (MSF) at 58 and 114 days after sowing (DAS), stem dry matter (MSC) at 30, 58 and 114 DAS, aboveground dry matter (MSPA) at 58 and 114 DAS and grain dry matter (MSG).
Neither the different potassium doses nor its different sources affected corn dry matter accumulation at 114 DAS, additionally, isolated sources of potassium did not affect any of the variables analyzed.
However, there was an isolated effect of potassium sources, in which, for MSF at 58 DAS, and MSC at 30 DAS (Figure 1A,B), after every 50% increase in the dose, the estimated increase in was 4.22% (0.89 g per plant) for overall dry matter accumulation and 4.51% (0.38 g per plant) for MSC. Specifically, at the 200% dose, dry matter accumulation was 24.48 g per plant and MSC was 9.81 g per plant, corresponding to respectively 16.91% and 18% increase compared with the values at the 0% dose. At 58 DAS, MSC and MSPA fitted the quadratic model, with the highest values estimated at respectively 70.5 and 97.12 g per plant (Figure 1B,C) recorded at the 139% and 155%.MSG (Figure 1D) was directly correlated with NESP, and the highest MSG of 151.57 g per plant was recorded at the 113.85% dose.
According to variance analysis (ANAVA), there was an effect of interactions between potassium doses × sources for MSF and MSPA at 30 and 86 DAS, MSC at 86 DAS and MSSBG.
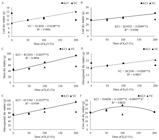
MSF data at 30 DAS for the potassium chloride source and those at 86 DAS for the concentrated vinasse source did not fit the regression models tested (Figure 2A,B). For the concentrated vinasse source at 30 DAS and the potassium chloride source at 86 DAS, every 50% increase in the dose was estimated to increase leaf dry matter accumulation by respectively 0.69 and 2.55 g per plant. According to the regression equation (Figure 2A,B), the highest leaf dry matter accumulation of 13.1 and 37.14 g per plant was recorded at the 200% doses of potassium chloride and vinasse, respectively.
Regarding MSC at 86 DAS (Figure 2C), every 50% increase in the dose resulted in an estimated increment of 19.55% (13.19 g per plant) for the potassium chloride source. At the 200% dose, the estimated MSC was 92.98 g per plant, corresponding to a 131% increase compared with the value at the 0% dose.
For the potassium chloride source, MSPA at 30 DAS did not significantly differ among the doses, with an average value of 20.34 g per plant (Figure 2D).
For the concentrated vinasse source at 30 DAS and the potassium chloride source at 86 DAS (Figure 2D,E), every 50% increase in the dose was estimated to increase MSPA by respectively 1.35 and 16.19 g per plant. The highest MSPA of 23.62 (30 DAS) and 131.92 g per plant (86 DAS) was recorded at the 200% dose of vinasse and potassium chloride, respectively.
Moreover, for the concentrated vinasse source, the MSSBG data did not fit the regression models tested. For the potassium chloride source, the highest MSSBG (27.92 g per plant) was recorded at the 109% dose (Figure 2F).
Table 3 shows the breakdown of the interaction of potassium sources and doses. Similar trends were noted among the tested variables. Specifically, there were no differences among the tested variables, except MSSBG, between the potassium chloride and concentrated vinasse sources at the 50% and 100% doses. As such, MSSBG was 37.14% higher with the potassium chloride source than with the concentrated vinasse source.
At the 200% dose, MSF at 30 DAS was 18.55% higher with the concentrated vinasse source than with the potassium chloride source. At 86 DAS, however, MSF was 26.58% higher with the potassium chloride source than with the concentrated vinasse source. At the 200% doses, there was significant difference in MSC between the sources. MSC was 39% higher with the potassium chloride source than with the concentrated vinasse source.
PFA strongly affected MSF and MSC at the 200% dose, MSPA at 30 DAS was 18.5% higher with the concentrated vinasse source than with the potassium chloride source; at 86 DAS, however, the highest MSPA (55.25%) was recorded with the potassium chloride source.
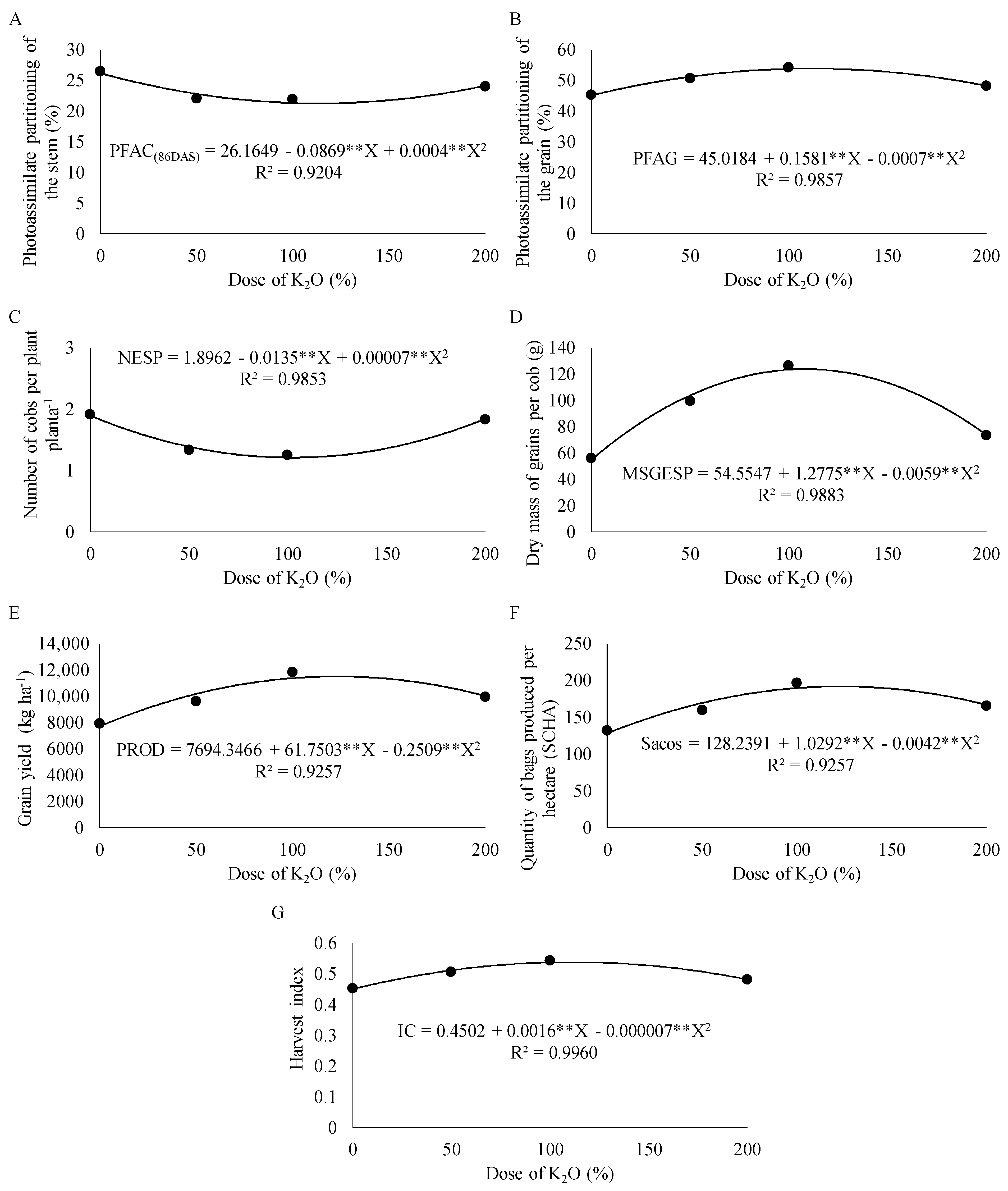
In the accumulation of photoassimilates in the plant, only potassium doses influenced its partitioning in the stem (PFAC) and grain (PFAG), in addition to the number of cobs per plant (NESP), grain dry mass er cob (MSGESP), grain yield (PROD), number of bags produced per hectare (SCHA) and harvest index (G). PFAC and PFAG significantly affected over dry matter accumulation by corn. At the 109% and 113% doses, PFAC was the lowest (21%) and PFAG was the highest (54%). In other words, when not exported to the grains, a large portion of the photoassimilates is stored in the corn stalks. The sum of PFAC and PFAG accounted for over 70% of the total PFA of corn (Figure 3A,B).
NESP decreased until the estimated dose of 96.43%, at which the lowest value of 1.25 was recorded; at the 200% dose, NESP was 1.99. In contrast, MSGESP exhibited the opposite trend, with the highest value of 123.70 g per cob recorded the 108% dose (Figure 3C,D).
Given the direct correlation between MSG and PROD, both variables exhibited similar trends (Figure 4E); as such, at the 123% dose, PROD was approximately 11,494 kg·ha−1, leading to a higher productivity (191.57 bags ha−1) (Figure 3F).
As expected, IC followed similar trends as all productivity-related variables observed (Figure 3G). Depending on the applied doses of potassium, the highest IC of 0.54 was recorded at the 114% dose, and this value was, respectively, 20%, 5.6%, 0.2%, and 10.5% higher than values at the 0%, 50%, 100%, and 200% doses.
In the present study, for the potassium chloride source, the MET and MEE were achieved at the estimated the doses of 120.27% and 116.76%, corresponding to 108.24 and 105.08 kg·ha−1 of potassium (K2O), respectively (Figure 4A). For the concentrated vinasse source, the MET and MEE were achieved at the estimated doses of 139.18% and 139.17%, corresponding to 125.26 and 125.25 kg·ha−1 of potassium, respectively (Figure 4B). However, at these doses, PROD obtained using the potassium chloride source was 28% higher than that obtained using the concentrated vinasse source.
As an alternative source to organic potassic fertilizers, grain yield produced using concentrated vinasse as a function of that produced using potassium chloride was 0.84, 0.71, and 0.89 kg at the 45 kg·ha−1, 90 kg·ha−1, and 180 kg·ha−1 doses, respectively (Figure 5A).
Furthermore, the agronomic efficiency index (IEA) of concentrated vinasse, which represents the agronomic efficiency of the fertilizer relative to the lack of fertilizer (herein, 0% dose) or a standard fertilizer (herein, potassium chloride), was the highest at the 90 kg·ha−1 dose (68.5%), followed by the 45 kg·ha−1 (65.07%) and 180 kg·ha−1 (44.92%) doses (Figure 5B).

4. Discussion

In no-till systems, a 70 kg·ha−1 dose of potassium chloride is sufficient to produce high dry matter yield from corn [33]. In other studies refs. [34] and [21] observed an increase in corn MSPA with increasing dose of vinasse. In a previous study on the initial development of corn as a function of different doses of potassium chloride, ref. [35] observed that at 30 days after emergence, dry matter accumulation per plant varied according to the doses (114 mg·dm−3).
There was an isolated effect of the potassium dose on the stem PFA (PFAC), grain PFA (PFAG), NESP, MSGESP, PROD, SCHA, and CI (Figure 3). Neither the potassium doses nor its sources affected NFG and NGF, corroborating with the findings of [36,37], who reported that higher potassium supply to maize produced higher grain mass.
Similar to our findings (Figure 2), ref. [38] observed a residual effect of the doses of potassium from sugarcane vinasse in corn; the authors reported that an increase in potassium dose above 200 kg·ha−1 increased in dry matter accumulation in the leaves, stem, and aboveground parts at 49 DAS. Differential dry matter accumulation to specific plant organs can be attributed to the differences in the physiological processes of photosynthetic products or photoassimilates [39], as evidenced in Figure 3.
In the absence of potassium application, PROD surpassed the national average, (7694 kg·ha−1), due possibly to the naturally high fertility of soil, as shown in Table 1. Nonetheless, this PROD value was, respectively, 33%, 48%, and 30% lower than that recorded under potassium application at the 50%, 100%, and 200% doses. Likewise, ref. [37] observed quadratic behavior of maize grain yield depending on potassium doses; in their experiment, 256 kg·ha−1 potassium application produced the highest grain yield, corresponding to a 28% increase in productivity compared with the value in the absence of potassium application (7168 kg·ha−1). Contrasting with our results, ref. [10] observed that corn yield under fertilization with different doses of vinasse was similar to that under NPK mineral fertilization.
According to [40], the organic matter supplied to the soil through vinasse can convert exchangeable aluminum to more complex forms, which increase soil pH. This increases the cation exchange capacity of soil, which explains the superior productive performance of corn when grown in the presence of vinasse application as topdressing, compared to cultivation without vinasse application.
Even in soils with presumably adequate existing potassium content [24], potassium fertilization affected maize dry matter and grain yield, supporting the notion that the recommended calibration of potassium fertilization warrants revision [41].
In a study on the mineral potassium fertilization of corn, [42] reported that the increase in potassium dose favored the increase in grain yield, straw production, and harvest index, which contradicts the results of the present study that potassium application at doses exceeding 150% reduced grain yield (Figure 3E) and, consequently, CI (Figure 3G). Nonetheless, as shown in Figure 2, these doses continued to favor the increase in total dry matter, except for the reduction in cob dry matter (Figure 2).
Ref. [43] observed that increasing the dose of potassium chloride up to 150 kg·ha−1 augmented the electrical conductivity of soil but reduced the dry mass of roots in maize, which adversely affected dry matter accumulation and grain yield, as observed in the present study.
According to [44], in years with adequate or low average of rainfall, respective doses of 35–44 or >70 kg·ha−1 potassium should be applied to achieve the best economic results.
In the present study, the MET and MEE values showed little variation, confirming that the dose for MEE ensures optimal grain yield while reducing the cost of fertilization, particularly for potassium [45].
Contrary to the results of the present study for the concentrated vinasse and potassium chloride sources, [46], in a study on the potassium fertilization of corn, found that the MET was achieved at the dose of 89 kg·ha−1 of K2O, with a productivity of 6007 kg·ha−1; however, the performance trends were similar when fitted to a quadratic equation, such that values above the required dose for MET reduced yield; the authors attributed these trends to the imbalance of sorptive complexes among K+, Ca++, and Mg++. Similarly, ref. [47] observed that at increased doses of potassium mineral fertilization, productivity related to the agronomic efficiency of potassium application was 6607.5 kg·ha−1 at an average dose of 53 kg·ha−1 K2O.
Consistent with these reports, the grain yield obtained using the two potassium sources as function of the amount of potassium gradually reduced with each increase in dose applied; specifically, at the doses of 50%, 100%, and 200%, the grain yield was respectively 230.83, 153.47, and 58.47 kg per kg of potassium using the potassium chloride source and respectively 195, 108.54, and 51.94 kg per kg of potassium using the concentrated vinasse source (Figure 4C); these values represent 33.51% and 61.9% reductions using the potassium chloride source and 44.34% and 52.14% reductions using the concentrated vinasse source from the 50% to 100% doses and from the 100% to 200% doses, respectively.
Consistent with the results presented in Figure 4C and Figure 5B, refs. [47,48] observed that the agronomic efficiency of potassium use reduced exponentially with the increase in the application doses; in other words, the applied dose that provided the highest grain yield was different from the one that provided the highest efficiency of potassium usage. According to those authors, the dose of 30 kg·ha−1 potassium was the most efficient, but this value is lower than the optimal doses for the relative productivity of potassium chloride and concentrated vinasse sources and the AEI for vinasse observed in the present study.
Based on the reports of [49,50], as well as the results of the present study regarding dry matter and grain yield, vinasse exhibits substantial potential to replace mineral fertilizers, given its superior nutrient and organic matter load and cost effectiveness [51]. Furthermore, the use of vinasse residue can enable the recycling of nutrients and organic matter to the soil, while ensuring the appropriate disposal of this agro-industrial waste. Nonetheless, caution is warranted during its application to subsequent crops for avoiding the imbalance of nutrients in the soil and/or the contamination of soil or waterbodies.

5. Conclusions

Potassium doses or sources did not affect the accumulation of dry matter in the leaves, stems, and aboveground parts of maize at harvest.
Regardless of the source used, doses between 114% and 120% of the recommended level, produced the highest corn grain dry mass, grain dry mass per cob, grain yield, number of bags produced per hectare, and harvest index.
The maximum technical and economic efficiency was achieved at the doses of 120% and 116% of the recommended level, respectively, with the use of potassium chloride and at the dose of 139% of the recommended level with the use of concentrated vinasse.
Potassium chloride produced higher corn grain yield per kilogram of potassium applied than concentrated vinasse.
The highest agronomic efficiency with the use of concentrated vinasse was achieved at the dose of 100% of the recommended level per hectare for corn.
Overall, the application of vinasse via fertigation is beneficial to the biomass accumulation of corn, which directly affects crop yield. In particular, thanks to its environmental and socioeconomic advantages, vinasse is a viable alternative as a fertilizer for corn cultivation, in addition to being an excellent source of nutrients for crops for achieving optimal productive potential.

Author Contributions

The author F.R.C.F., contributed with: Conceptualization, validation and writing—original draft preparation. The author F.A.L.S., contributed with: Conceptualization, data curation and supervision. The author D.K.M.A., contributed with: validation, methodology and writing—original draft preparation. The author M.B.T., contributed with: Conceptualization, project administration and writing—original draft preparation. The author F.N.C., contributed with: validation, methodology and writing—original draft preparation. The author E.C.d.S., contributed with: validation, methodology and writing—original draft preparation. The author C.T.S.C., contributed with: validation and writing—original draft preparation. The author N.F.d.S., contributed with: validation and writing—original draft preparation. The author G.N.C., contributed with: validation and writing—original draft preparation. The author W.S.d.S.C. with: validation. All authors have read and agreed to the published version of the manuscript.

Funding

This research received no external funding.

Institutional Review Board Statement

Not applicable.

Informed Consent Statement

Not applicable.

Acknowledgments

The authors would like to thank the Research Foundation of Brazil (National Council for Scientific and Technological Development (CNPq), the Coordination for Upgrading Higher Institution Personnel (CAPES); the Research Support Foundation of the State of Goias (FAPEG); the Financier of Studies and Projects (FINEP); Center of Excellence in Agro Exponential (CEAGRE) and the Federal Institute Goiano for their financial and logistical support.

Conflicts of Interest

The authors declare no conflict of interest. The funders had no role in the design of the study; in the collection, analyses, or interpretation of data; in the writing of the manuscript, or in the decision to publish the results.

References

  1. Morais, M.; Amaral, H.F.; Nunes, M.P. Desenvolvimento e assimilação de nutrientes da cultura de milho inoculado com Azospirillum brasilense e diferentes doses de nitrogênio e potássio. Rev. Terra Cult. Cader. Ensino Pesq. 2018, 34, 160–176. [Google Scholar]
  2. Foster, E.J.; Hansen, N.; Wallenstein, M.; Cotrufo, M.F. Biochar and manure amendments impact soil nutrients and microbial enzymatic activities in a semi-arid irrigated maize cropping system. Agric. Ecosyst. Environ. 2016, 233, 404–414. [Google Scholar] [CrossRef]
  3. Companhia Nacional De Abastecimento–CONAB. Acompanhamento da Safra Brasileira de Grãos, v.8, n.12, Safra 2020/21–Décimo Segundo Levantamento. Available online: https://www.conab.gov.br/info-agro/safras/graos/boletim-da-safra-de-graos/item/download/39034_3ccad80c555e633d26ed7fb5e9393037 (accessed on 10 August 2021).
  4. Ministério da Agricultura, Pecuária e Abastecimento–MAPA. Projeções do Agronegócio: Brasil 2017/18 a 2027/28 Projeções de Longo Prazo. Brasília, 2018. Available online: chrome-extension://efaidnbmnnnibpcajpcglclefindmkaj/viewer.html?pdfurl=https%3A%2F%2Fwww.bnb.gov.br%2Fdocuments%2F80223%2F3732326%2FInforme%2BAgronegocio%2B03%2B-%2BOut2018.pdf%2Faf384b9e-40aa-684d-60ae-e35222f015bd (accessed on 22 March 2021).
  5. Radiografia do Agro. Secretaria de Estado de Agricultura, Pecuária e Abastecimento (Seapa). 2021. Available online: chrome-extension://efaidnbmnnnibpcajpcglclefindmkaj/viewer.html?pdfurl=https%3A%2F%2Fwww.agricultura.go.gov.br%2Ffiles%2Fagro-em-goias%2Fportugues-radiografia-2021.pdf&clen=66486542&chunk=true (accessed on 2 April 2021).
  6. Serafim, M.E.; Ono, F.B.; Zeviani, W.M.; Novelino, J.O.; Silva, J.V. Umidade do solo e doses de potássio na cultura da soja. Rev. Ciên. Agronôm. 2012, 43, 222–227. [Google Scholar] [CrossRef][Green Version]
  7. Coelho, A.M.; França, G.E.; Pitta, G.V.E.; Alves, V.M.C.; Hernani, L.C. Sistemas de produção 1: Cultivo do milho. Brasíl Embrapa CNPMS 2007, 6, 10. [Google Scholar]
  8. Matos, P.F.; Pessôa, V.L.S. A apropriação do cerrado pelo agronegócio e os novos usos do território. CAMPO TERRITÓRIO Rev. Geogr. Agric. 2014, 9, 6–26. [Google Scholar]
  9. ECONOMIA. Available online: https://economia.uol.com.br/reportagens-especiais/agronegocio-etanol-de-milho-biocombustivel/#cover (accessed on 10 May 2021).
  10. Hochman, Z.; Carberry, P.S.; Robertson, M.J.; Gaydon, D.S.; Bell, L.W.; McIntosh, P.C. Prospects for ecological intensification of Australian agriculture. Eur. J. Agron. 2013, 44, 109–123. [Google Scholar] [CrossRef]
  11. Christofoletti, C.A.; Escher, J.P.; Correia, J.E.; Marinho, J.F.U.; Fontanetti, C.S. Sugarcane vinasse: Environmental implications of its use. Waste Manag. 2013, 33, 2752–2761. [Google Scholar] [CrossRef]
  12. da Silva, S.F.; de Oliveira Garcia, G.; dos Reis, E.F.; Dalvi, L.P. Foliar nutrient content and maize yield with vinasse application during three crops. Rev. Brasil. Ciências Agrárias 2020, 15. [Google Scholar] [CrossRef]
  13. Cetesb–Companhia De Tecnologia De Saneamento Ambiental. Vinhaça–Critérios e Procedimentos Para Aplicação no Solo Agrícola; Norma Técnica nº P 4.231; CETESB: São Paulo, Brazil, 2006; p. 12. Available online: http://www.ambientenet.eng.br/TEXTOS/VINHA%C3%87A.pdf (accessed on 21 May 2021).
  14. Marques, M.O. Aspectos técnicos e legais da produção, transporte e aplicação de vinhaça. Piracicaba Liv. Ceres 2006, 1, 369–375. [Google Scholar]
  15. Filho, F.R.C.; Vieira, G.D.S.; Da Silva, N.F.; Cunha, E.S.; Santos, L.; Rodrigues, C.R.; Cunha, F.N.; Teixeira, M.B.; Soares, F.A.L. Sugarcane Vinasse Cations Dynamics in Cerrado Soils, Brazil. Sugar Technol. 2018, 21, 38–46. [Google Scholar] [CrossRef]
  16. Cabral Filho, F.R.; da Silva Vieira, G.; Cunha, F.N.; Alves, D.K.M.; Soares, F.A.L.; dos Santos, L.N.S.; da Silva Cavalcante, W.S. Cation Concentrations and Dynamics in the Surface Profile of Two Oxisols After The Application of Vinasse. Roman. Agric. Res. 2021, 38, 259–269. [Google Scholar]
  17. Lelis Neto, J.A. Monitoramento de Componentes Químicos da Vinhaça Aplicados em Diferentes Tipos de Solo. Master’s Thesis, Universidade de São Paulo, São Paulo, Brazil, 2008. [Google Scholar]
  18. Ribeiro, P.H.P.; Neto, J.A.L.; Teixeira, M.B.; Guerra, H.O.C.; da Silva, N.F.; Cunha, F.N. Distribuição de potássio aplicado via vinhaça em latossolo vermelho amarelo e nitossolo vermelho. Rev. Bras. Agric. Irrig. 2014, 8, 403–410. [Google Scholar] [CrossRef]
  19. da Silva, M.A.; Griebeler, N.P.; Borges, L.C. Uso de vinhaça e impactos nas propriedades do solo e lençol freático. Rev. Bras. Eng. Agricola Ambient. 2007, 11, 108–114. [Google Scholar] [CrossRef]
  20. SILVA, S.F. Uso da Vinhaça na Cultura do Milho: Efeitos no Solo, nos Teores Nutricionais do Tecido Foliar e na Produção Durante Três Safras. Ph.D. Thesis, Centro de Ciências Agrárias e Engenharias da Universidade Federal do Espírito Santo–ES, Alegre, Brazil, 2017; 92p. [Google Scholar]
  21. Basso, C.J.; Santi, A.L.; Lamego, F.P.; Somavilla, L.; Brigo, T.J. Vinhaça como fonte de potássio: Resposta da sucessão aveia-preta/milho silagem/milho safrinha e alterações químicas do solo na Região Noroeste do Rio Grande do Sul. Ciência Rural 2013, 43, 596–602. [Google Scholar] [CrossRef][Green Version]
  22. Alvares, C.A.; Stape, J.L.; Sentelhas, P.C.; de Moraes Gonçalves, J.L.; Sparovek, G. Köppen’s climate classification map for Brazil. Meteorol. Z. 2013, 22, 711–728. [Google Scholar] [CrossRef]
  23. Köppen, W.; Geiger, R. Klimate der Erde. Gotha: Verlagcondicionadas. Justus Perthes 1928. [Google Scholar]
  24. Sousa, D.M.G.; Lobato, E. Cerrado: Correção do Solo e Adubação, 2nd ed.; Embrapa Informação Tecnológica: Brasília, Brazil, 2004; 416p. [Google Scholar]
  25. Santos, H.G.; Dos Jacomine, P.K.T.; Anjos, L.H.C.; Dos Oliveira, V.A.; De Lumbreras, J.F.; Coelho, M.R.; Almeida, J.A.; de Araujo Filho, J.C.; De Oliveira, J.B.; De Cunha, T.J.F. Sistema Brasileiro de Classificação de Solos, 5th ed.; Embrapa: Brasília, Brazil, 2018. [Google Scholar]
  26. USDA-United States Department of Agriculture Natural Resources Conservation Service. Soil Taxonomy: A Basic System of Soil Classification for Making and Interpreting Soil Surveys, 2nd ed.; USDA: Washington, DC, USA, 1999; 863p. [Google Scholar]
  27. FAO–Food and Agriculture Organization of the United Nations. World Reference Base for Soil Resources 2014: International Soil Classification System for Naming Soils and Creating Legends for Soil Maps; FAO: Rome, Italy, 2015; 192p. [Google Scholar]
  28. Teixeira, P.C.; Donagemma, G.K.; Fontana, A.; Teixeira, W.G. Manual de Métodos de Análise de Solo, 3th ed.; Revista e Ampliada; Embrapa: Brasília, Brazil, 2017; 574p. [Google Scholar]
  29. BRASIL. Ministério do Desenvolvimento, Indústria e Comércio Exterior: Estudo de Viabilidade Técnica e Econômica de um Grupo Selecionado de Tecnologias Inovadoras Relacionadas à Cadeia Sucroenergética. Rev. Ceres Inteligência Financ. 2013, 143. [Google Scholar]
  30. Companhia Nacional de Abastecimento-CONAB. Preços Agrícolas, da Sociobio e da Pesca. Available online: http://sisdep.conab.gov.br/precosiagroweb/ (accessed on 6 September 2019).
  31. Gava, J.L.; Gonçalves, J.L.M.; Shibata, F.Y.; Corradini, L. Eficiência relativa de fertilizantes fosfatados no crescimento inicial de eucalipto cultivado em solos do cerrado. Rev. Brasil. Ciência Solo 1997, 21, 497–504. [Google Scholar] [CrossRef]
  32. R CORE TEAM. R: A Language and Environment for Statistical Computing; R Foundation for Statistical Computing: Vienna, Austria, 2015. [Google Scholar]
  33. Meneghette, H.H.A.; Lazarini, E.; Bossolani, J.W.; dos Santos, F.L.; Sanches, I.R.; Biazi, N.Q. Adubação potássica em plantas de coberturas no sistema de plantio direto e efeitos na cultura da soja em sucessão. Colloq. Agrar. 2019, 15, 1–12. [Google Scholar] [CrossRef]
  34. Pereira, J.; Alvarenga, E.; Tostes, J.; Fontes, L. Efeito da adição de diferentes dosagens de vinhaça a um Latossolo Vermelho-Amarelo distrófico na germinação e vigor de sementes de milho. Rev. Bras. Sementes 1992, 14, 147–150. [Google Scholar] [CrossRef]
  35. Gomes, M.D.P.; Cordido, J.P.D.B.R.; Dos Santos, M.L.; Pereira, A.M. Desenvolvimento Inicial Do Milho Em Resposta A Doses De Potássio. Rev. Bras. Milho Sorgo 2018, 17, 27–36. [Google Scholar] [CrossRef][Green Version]
  36. Büll, L.T. Nutrição mineral do milho. Cultura do milho: Fatores que afetam a produtividade. Piracicaba Potafos 1993, 1, 63–145. [Google Scholar]
  37. Cavalli, E.; Lange, A. Efeito residual do potássio no sistema de cultivo soja-milho safrinha no cerrado Mato-Grossense. Rev. Cult. Agron. 2018, 27, 310–326. [Google Scholar] [CrossRef]
  38. Bastos, A.V.S.; Teixeira, M.B.; Soares, F.A.L.; da Silva, E.C.; dos Santos, L.N.S.; Gomes, F.H.F. Immediate and Residual Effects of Mineral and Organomineral Nitrogen Sources Associated with Concentrated Vinasse on Maize. J. Soil Sci. Plant Nutr. 2021, 21, 1382–1396. [Google Scholar] [CrossRef]
  39. Shakya, R.A.; Lal, M. Photoassimilate translocation. In Plant Physiology, Development and Metabolism; Springer: Singapore, 2018; pp. 227–251. [Google Scholar]
  40. Zhao, J.; Chen, S.; Hu, R.; Li, Y. Aggregate stability and size distribution of red soils under different land uses integrally regulated by soil organic matter, and iron and aluminum oxides. Soil Tillage Res. 2017, 167, 73–79. [Google Scholar] [CrossRef]
  41. Yamada, T.; Roberts, T.L. Potássio na Agricultura Brasileira; Associação Brasileira para Pesquisa da Potassa e do Fosfato (Piracicaba—SP): Piracicaba, Brazil, 2005; 841p. [Google Scholar]
  42. Vieria, C.P. Resposta Agronômica do Milho à Adubação Nitrogenada e Potássica em Sistema de Plantio Direto; Trabalho de conclusão de curso (Graduação em Agronomia); Centro de Ciências Agrárias Universidade Federal da Paraíba: Areia, Brazil, 2017; 33p. [Google Scholar]
  43. Kawavata, C.K.H.; Fois, D.A.F.; Coppo, J.C.; Alves Neto, A. Influência de doses e de duas fontes de potássio no sistema radicular do milho e na condutividade elétrica no solo. Investig. Agrar. 2017, 19, 28–34. [Google Scholar]
  44. Sousa, R.R. Viabilidade Econômica e Agronômica de Adubação Nitrogenada e Potássica em Milho. Trabalho de Conclusão de Curso (Graduação em Agronomia)-Centro de Ciências Agrárias; Universidade Federal da Paraíba: Areia, Brazil, 2018; 46p. [Google Scholar]
  45. Silveira, E.R.; Pelissari, A.; de Moraes, A.; von Linsingen Piazzetta, H.; Lang, C.R.; de Faccio Carvalho, P.C. Intensidade de pastejo e adubação nitrogenada na massa seca de aveia e produtividade do milho na integração lavoura-pecuária. Sem. Ciências Agrárias 2012, 33, 1323–1331. [Google Scholar] [CrossRef][Green Version]
  46. Parente, T.L.; Lazarini, E.; Caioni, S.; de Souza, L.G.M.; Pivetta, R.S.; Bossolani, J.W. Potássio em cobertura no milho e efeito residual na soja em sucessão. Rev. Agro@ Mbiente On-Line 2016, 10, 193–200. [Google Scholar] [CrossRef][Green Version]
  47. Deparis, G.A. Espaçamento, adubação nitrogenada e potássica em cobertura na cultura do milho. Acta Sci. Agron. 2006, 29, 517–525. [Google Scholar] [CrossRef]
  48. Petter, F.A.; Andrade, F.R.; Zuffo, A.M.; de Sousa Monteiro, M.M.; Pacheco, L.P.; de Almeida, F.A. Doses e épocas de aplicação de potássio no desempenho agronômico do milho no cerrado piauiense. Comun. Sci. 2016, 7, 372–382. [Google Scholar] [CrossRef]
  49. Gianchini, C.F. Benefícios da Utilização de Vinhaça em Terras de Plantio de Cana-Deaçúcar–Revisão da Literatura. Revista Científica Eletrônica de Agronomia. 2009. Available online: www.revista.inf.br/agro15/revisao/TEVLIT01.pdf (accessed on 25 June 2019).
  50. Andrade, F.P. Uso da Vinhaça na Fertirrigação: Revisão da Literatura Sobre a Técnica e Seus Benefícios Trabalho de Conclusão de Curso. Master’s Thesis, Universidade Federal de São Paulo, Lorena, Brazil, 2012; 57p. [Google Scholar]
  51. Silva, V.L. Estudo econômico das diferentes formas de transporte em fertirrigação na cana-de-açúcar. Ph.D. Thesis, Faculdade de Ciências Agrárias e Veterinárias, Unesp, Jaboticabal, Brazil, 2009. [Google Scholar]
Figure 1. Leaf dry matter (MSF) at 58 days after sowing (DAS) (A), stem dry matter (MSC) at 30 and 58 DAS (B), aboveground dry matter (MSPA) at 58 DAS (C), and grain dry matter (MSG) (D) as a function of potassium doses. Rio Verde, Goias, 2019–2020 gowing season. ** and *: significant at 1% or 5% probability.
Figure 1. Leaf dry matter (MSF) at 58 days after sowing (DAS) (A), stem dry matter (MSC) at 30 and 58 DAS (B), aboveground dry matter (MSPA) at 58 DAS (C), and grain dry matter (MSG) (D) as a function of potassium doses. Rio Verde, Goias, 2019–2020 gowing season. ** and *: significant at 1% or 5% probability.
Agriculture 12 00497 g001
Figure 2. Plots of the interactions of potassium sources and doses for leaf dry matter (MSF) at 30 and 86 days after sowing (DAS) (A,B), stem dry matter (MSC) at 86 DAS (C), above ground dry matter (MSPA) at 30 and 86 DAS (D,E), and cob dry matter (MSSBG) (F). KCl: potassium chloride; VC: concentrated vinasse. Rio Verde, Goias, 2019–2020 gowing season. **: significant at 1% probability.
Figure 2. Plots of the interactions of potassium sources and doses for leaf dry matter (MSF) at 30 and 86 days after sowing (DAS) (A,B), stem dry matter (MSC) at 86 DAS (C), above ground dry matter (MSPA) at 30 and 86 DAS (D,E), and cob dry matter (MSSBG) (F). KCl: potassium chloride; VC: concentrated vinasse. Rio Verde, Goias, 2019–2020 gowing season. **: significant at 1% probability.
Agriculture 12 00497 g002
Figure 3. Photoassimilate partitioning of stem (PFAC) (A) and grains (PFAG) (B), number of cobs per plant (NESP) (C), grain dry mass er cob (MSGESP) (D), grain yield (PROD) (E), number of bags produced per hectare (SCHA) (F), and harvest index (G) of corn as a function of potassium doses. Rio Verde, Goias, 2019–2020 gowing season. **: significant at 1% probability.
Figure 3. Photoassimilate partitioning of stem (PFAC) (A) and grains (PFAG) (B), number of cobs per plant (NESP) (C), grain dry mass er cob (MSGESP) (D), grain yield (PROD) (E), number of bags produced per hectare (SCHA) (F), and harvest index (G) of corn as a function of potassium doses. Rio Verde, Goias, 2019–2020 gowing season. **: significant at 1% probability.
Agriculture 12 00497 g003
Figure 4. Maximum technical efficiency (MET) and economic efficiency (MEE) of concentrated vinasse (VC) and potassium chloride (KCl) at the applied potassium doses (45 kg·ha−1 = 50%, 90 kg·ha−1 = 100%, and 180 kg·ha−1 = 200%) (A,B) and yield obtained using these potassium sources relative to the amount of potassium applied (C). **: significant at 1% probability.
Figure 4. Maximum technical efficiency (MET) and economic efficiency (MEE) of concentrated vinasse (VC) and potassium chloride (KCl) at the applied potassium doses (45 kg·ha−1 = 50%, 90 kg·ha−1 = 100%, and 180 kg·ha−1 = 200%) (A,B) and yield obtained using these potassium sources relative to the amount of potassium applied (C). **: significant at 1% probability.
Agriculture 12 00497 g004
Figure 5. Comparison of produced yield between concentrated vinasse and potassium chloride (A) and the agronomic efficiency index of concentrated vinasse (B).
Figure 5. Comparison of produced yield between concentrated vinasse and potassium chloride (A) and the agronomic efficiency index of concentrated vinasse (B).
Agriculture 12 00497 g005
Table 1. Physicochemical characteristics of the Latossolo Vermelho Distroférrico soil used in the experiment.
Table 1. Physicochemical characteristics of the Latossolo Vermelho Distroférrico soil used in the experiment.
CaMgCa + MgAlH + AlKKSPpH
---------------------cmolc·dm−3--------------------------------mg·dm−3-----------CaCl2
4.31.25.50.002.50.17679.955.35.6
NaFeMnCuZnBCTCSBV%m%
-----------Micronutrients (mg·dm−3)-----------cmolc·dm−3SBv%
0.019.99.32.951.50.068.25.769.10.00
Texture (g·kg−1)MOCa/MgCa/KMg/KCa/CTCMg/CTCK/CTC
ClaySiltSandg·dm−3----------------Relationship between bases-----------------
5024944927.63.625.37.10.50.20.02
Source: Authors (2021). Ca, Mg and Al: 1 mol·L−1 KCl; K and S: 0.01 mol·L−1 Ca (H2PO4)2; P, Na, Fe, Mn, Cu and Zn: Mehlich 1; B: hot water; CTC: cation exchange capacity; SB: base sum; V%: base saturation; m%: aluminum saturation; MO: organic matter (colorimetric method).
Table 2. Physicochemical characteristic of vinasse residue used in the experiment.
Table 2. Physicochemical characteristic of vinasse residue used in the experiment.
NP2O5K2OCaMgOnNaCO
----------------------------------Macronutrients (g·dm−3)----------------------------------g·dm−3
3.121.5615.72 (1.57%)2.041.32-351.84
FeMnCuZnpHDensityMS
------------Micronutrients (g·kg−1)--------------g L−1%
0.24<0.1<0.1<0.14.01.2-
Source: Authors (2021). P (P2O5), K (K2O), Na, Cu, Fe, Mn, and Zn: Mehlich 1; Ca and Mg: 1 mol·L−1 KCl; S: 0.01 mol·L−1 Ca(H2PO4)2; CO: organic carbon (colorimetric method); MO: organic matter (colorimetric method).
Table 3. Breakdown of the interactions of potassium sources and doses for leaf dry matter (MSF) at 30 and 86 days after sowing (DAS), stem dry matter (MSC) at 86 DAS, aboveground dry matter (MSPA) at 30 and 86 DAS, and cob dry matter (MSSBG).
Table 3. Breakdown of the interactions of potassium sources and doses for leaf dry matter (MSF) at 30 and 86 days after sowing (DAS), stem dry matter (MSC) at 86 DAS, aboveground dry matter (MSPA) at 30 and 86 DAS, and cob dry matter (MSSBG).
FP *MSF at 30 DASMSPA at 30 DAS
--------------------------------------------------g plant−1-------------------------------------------
0%50%100%200%0%50%100%200%
KCl12.64 a10.95 a11.35 a11.01 a21.23 a19.34 a21.08 a19.74 b
VC10.25 b11.10 a11.64 a13.06 b17.87 b19.85 a21.16 a23.41 a
MSF at 86 DASMSC at 86 DAS
0%50%100%200%0%50%100%200%
KCl28.15 a29.34 a31.39 a39.85 a43.19 a47.74 a69.25 a93.09 a
VC28.43 a27.84 a33.01 a29.26 b47.46 a47.92 a52.68 a56.37 b
MSPA at 86 DASMSSBG
0%50%100%200%0%50%100%200%
KCl71.34 a77.08 a100.64 a132.94 a20.33 a23.50 a29.17 a21.25 a
VC75.89 a75.75 a85.69 a85.63 b21.17 a23.00 a18.33 b21.33 a
* FP: Potassium source. KCl: potassium chloride; VC: concentrated vinasse. The experiment was conducted in Rio Verde, Goiás, during the 2019–2020 crop year. Values followed by the same letter in the column are not significantly different at the 5% probability level by Tukey test.
Publisher’s Note: MDPI stays neutral with regard to jurisdictional claims in published maps and institutional affiliations.

Share and Cite

MDPI and ACS Style

Cabral Filho, F.R.; Soares, F.A.L.; Alves, D.K.M.; Teixeira, M.B.; Cunha, F.N.; Silva, E.C.d.; Costa, C.T.S.; Silva, N.F.d.; Cunha, G.N.; Cavalcante, W.S.d.S. Biomass Accumulation and Technical and Economic Efficiency of Potassium Sources Applied via Fertigation to Corn. Agriculture 2022, 12, 497. https://doi.org/10.3390/agriculture12040497

AMA Style

Cabral Filho FR, Soares FAL, Alves DKM, Teixeira MB, Cunha FN, Silva ECd, Costa CTS, Silva NFd, Cunha GN, Cavalcante WSdS. Biomass Accumulation and Technical and Economic Efficiency of Potassium Sources Applied via Fertigation to Corn. Agriculture. 2022; 12(4):497. https://doi.org/10.3390/agriculture12040497

Chicago/Turabian Style

Cabral Filho, Fernando Rodrigues, Frederico Antonio Loureiro Soares, Daniely Karen Matias Alves, Marconi Batista Teixeira, Fernando Nobre Cunha, Edson Cabral da Silva, Cícero Teixeira Silva Costa, Nelmício Furtado da Silva, Gabriela Nobre Cunha, and Wendson Soares da Silva Cavalcante. 2022. "Biomass Accumulation and Technical and Economic Efficiency of Potassium Sources Applied via Fertigation to Corn" Agriculture 12, no. 4: 497. https://doi.org/10.3390/agriculture12040497

APA Style

Cabral Filho, F. R., Soares, F. A. L., Alves, D. K. M., Teixeira, M. B., Cunha, F. N., Silva, E. C. d., Costa, C. T. S., Silva, N. F. d., Cunha, G. N., & Cavalcante, W. S. d. S. (2022). Biomass Accumulation and Technical and Economic Efficiency of Potassium Sources Applied via Fertigation to Corn. Agriculture, 12(4), 497. https://doi.org/10.3390/agriculture12040497

Note that from the first issue of 2016, this journal uses article numbers instead of page numbers. See further details here.

Article Metrics

Back to TopTop