An Integrated Analysis of Dairy Farming: Direct and Indirect Environmental Interactions in Challenging Bio-Physical Conditions
Abstract
:1. Introduction
2. Materials and Methods
2.1. System Boundaries
2.1.1. Feed Production
2.1.2. Milk Production
2.1.3. Manure Management
2.1.4. Transportation
2.2. Allocation and Extraction
2.3. Inventory Data (LCI)
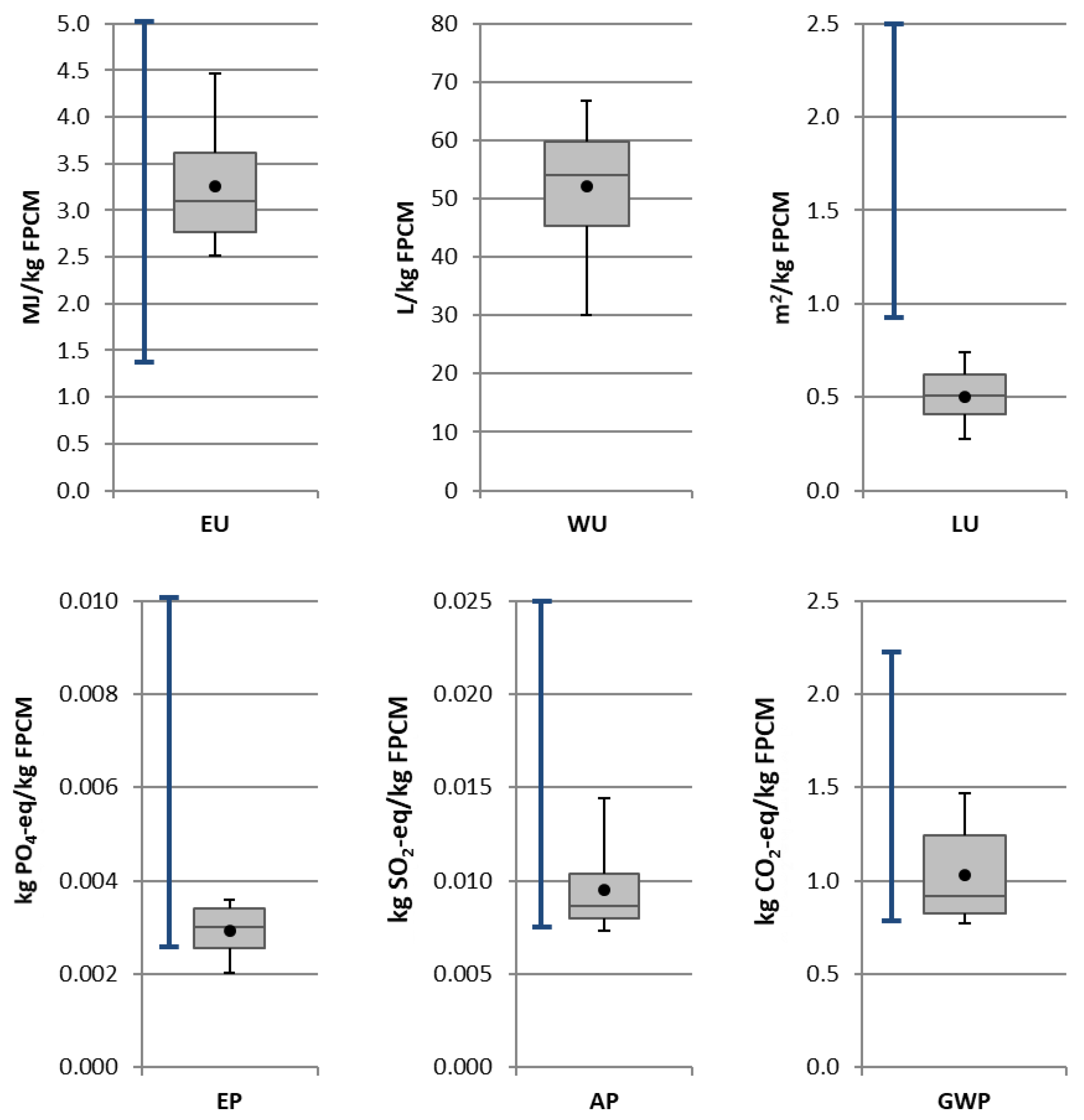
3. Results
4. Discussion
5. Conclusions
Supplementary Materials
Author Contributions
Funding
Institutional Review Board Statement
Informed Consent Statement
Data Availability Statement
Acknowledgments
Conflicts of Interest
References
- OECD; FAO. OECD-FAO Agricultural Outlook 2020–2029; FAO: Rome, Italy; OECD Publishing: Paris, France, 2020. [Google Scholar] [CrossRef]
- Nijdam, D.; Rood, T.; Westhoek, H. The price of protein: Review of land use and carbon footprints from life cycle assessments of animal food products and their substitutes. Food Policy 2012, 37, 760–770. [Google Scholar] [CrossRef]
- Poore, J.; Nemecek, T. Reducing food’s environmental impacts through producers and consumers. Science 2018, 360, 987–992. [Google Scholar] [CrossRef] [PubMed] [Green Version]
- FAO. Greenhouse Gas Emissions from the Dairy Sector: A Life Cycle Assessment; FAO: Rome, Italy, 2010. [Google Scholar]
- FAO. Tackling Climate Change Through Livestock: A Global Assessment of Emissions and Mitigation Opportunities; FAO: Rome, Italy, 2013. [Google Scholar]
- IDB; ICBA. The Dairy Industry in Israel 2008; Hojman, D., Malul, Y., Avrech, T., Eds.; Israel Dairy Board & Israel Cattle Breeders Association: Yehud, Israel, 2008. [Google Scholar]
- Roy, P.; Nei, D.; Orikasa, T.; Xu, Q.; Okadome, H.; Nakamura, N.; Shiina, T. A review of life cycle assessment (LCA) on some food products. J. Food Eng. 2009, 90, 1–10. [Google Scholar] [CrossRef]
- Baldini, C.; Gardoni, D.; Guarino, M. A critical review of the recent evolution of life cycle assessment applied to milk production. J. Clean. Prod. 2017, 140, 421–435. [Google Scholar] [CrossRef]
- Hagemann, M.; Hemme, T.; Ndambi, A.; Alqaisi, O.; Sultana, M.N. Benchmarking of greenhouse gas emissions of bovine milk production systems for 38 countries. Anim. Feed Sci. Technol. 2011, 166–167, 46–58. [Google Scholar] [CrossRef]
- Ibidhi, R.; Salem, H.B. Water footprint of livestock products and production systems: A review. Anim. Prod. Sci. 2020, 60, 1369–1380. [Google Scholar] [CrossRef]
- Baldini, M.; Da Borso, F.; Rossi, A.; Taverna, M.; Bovolenta, S.; Piasentier, E.; Corazzin, M. Environmental sustainability assessment of dairy farms rearing the Italian simmental dual-purpose breed. Animals 2020, 10, 296. [Google Scholar] [CrossRef] [PubMed] [Green Version]
- FAO. Environmental Performance of Animal Feeds Supply Chains: Guidelines for Assessment. Livestock Environmental Assessment and Performance Partnership; FAO: Rome, Italy, 2016. [Google Scholar]
- European Dairy Association. Product Environmental Footprint Category Rules for Dairy Products; European Dairy Association: Brussels, Belgium, 2018. [Google Scholar]
- IDF. Guide on Life Cycle Assessment towards Sustainability in the Dairy Chain; International Dairy Federation: Brussels, Belgium, 2005. [Google Scholar]
- IDF. A Common Carbon Footprint Approach for Dairy: The IDF Guide to Standard Lifecycle Assessment Methodology for the Dairy Sector; International Dairy Federation: Brussels, Belgium, 2010. [Google Scholar]
- ISO. ISO 14040 Environmental Management—Life Cycle Assessment—Principles and Framework; ISO: Geneva, Switzerland, 2006. [Google Scholar]
- FAO; IDF; IFCN. World Mapping of Animal Feeding Systems in the Dairy Sector; FAO: Rome, Italy; IDF: Brussels, Belgium; IFCN: Rome, Italy, 2014. [Google Scholar]
- Israel Ministry of Agriculture and Rural Development (MOAG). Israel Agriculture: Overview of Major Aspects MOAG; Israel Ministry of Agriculture and Rural Development (MOAG): Bet Dagan, Israel, 2013. [Google Scholar]
- IDB. The Israeli Dairy Board Yearbook 2019; Israel Dairy Board: Yehud, Israel, 2019. [Google Scholar]
- Israel Ministry of Agriculture and Rural Development (MOAG). By-Products in Israeli Agriculture: A Concluding Document for Setting Policy and Estimating Costs. 2015. Available online: https://www.moag.gov.il/yhidotmisrad/research_economy_strategy/publication/2015/Pages/Byproducts.aspx (accessed on 1 March 2020). (In Hebrew)
- Meul, M.; Van Middelaar, C.E.; de Boer, I.J.M.; Van Passel, S.; Fremaut, D.; Haesaert, G. Potential of life cycle assessment to support environmental decision making at commercial dairy farms. Agric. Syst. 2014, 131, 105–115. [Google Scholar] [CrossRef]
- Yan, M.J.; Humphreys, J.; Holden, N.M. An evaluation of life cycle assessment of European milk production. J. Environ. Manag. 2011, 92, 372–379. [Google Scholar] [CrossRef] [PubMed]
- EPA. Life Cycle Inventory (LCI) Data—Treatment Chemicals, Construction Materials, Transportation, On-Site Equipment, and Other Processes for Use in Spreadsheets for Environmental Footprint Analysis (SEFA); U.S. Environmental Protection Agency, Office of Research and Development: Cincinnati, OH, USA, 2016.
- Opher, T.; Friedler, E. Comparative LCA of Decentralized Wastewater Treatment Alternatives for Non-Potable Urban Reuse. J. Environ. Manag. 2016, 182, 464–476. [Google Scholar] [CrossRef]
- Ecoinvent Centre. Ecoinvent 2.2 Database; Swiss Centre for Life Cycle Inventories: Dübendorf, Switzerland, 2010. [Google Scholar]
- IEC. Environmental Report for 2014–2015. 2016. Available online: https://www.iec.co.il/environment/Documents/IECEnvironmentalReport122016.pdf (accessed on 1 March 2020).
- Israel Ministry of Environmental Protection (MEP). Auxiliary Calculator for Calculating Emissions of Air Pollutants from Vehicle Fleets. 2014. Available online: https://www.gov.il/he/departments/general/calculation_methodology (accessed on 1 March 2020). (In Hebrew)
- IPCC. Guidelines for National Greenhouse Gas Inventories Intergovernmental Panel on Climate Change; IPCC: Geneva, Switzerland, 2006. [Google Scholar]
- Gislon, G.; Ferrero, F.; Bava, L.; Borreani, G.; Dal Pra, A.; Pacchioli, M.T.; Tabacco, E. Forage systems and sustainability of milk production: Feed efficiency, environmental impacts and soil carbon stocks. J. Clean. Prod. 2020, 260, 121012. [Google Scholar] [CrossRef]
- Fridman, D.; Kissinger, M. An integrated biophysical and ecosystem approach as a base for ecosystem services analysis across regions. Ecosyst. Serv. 2018, 31, 242–254. [Google Scholar] [CrossRef]
- Kissinger, M.; Gottlieb, D. Place oriented ecological footprint analysis—The case of Israel’s grain supply. Ecol. Econ. 2010, 69, 1639–1645. [Google Scholar] [CrossRef]



| Item | Unit | Avg. | A | B | C | D | E | F | G | H | I | J | K | L |
|---|---|---|---|---|---|---|---|---|---|---|---|---|---|---|
| Herd size | Number of cows | 1051 | 545 | 601 | 528 | 634 | 999 | 1210 | 982 | 1136 | 724 | 1734 | 1562 | 1957 |
| Milk production | Kg FPCM/cow | 6366 | 6430 | 5854 | 6428 | 6441 | 7099 | 6349 | 6007 | 6129 | 6338 | 6633 | 7427 | 5257 |
| Milk yield | Kg FPCM/cow | 12,783 | 12,703 | 11,433 | 12,977 | 13,272 | 13,300 | 12,648 | 12,059 | 12,490 | 12,829 | 13,583 | 14,731 | 11,376 |
| DMI | Kg DM/cow/day | 16.76 | 17.05 | 16.48 | 17.32 | 14.84 | 17.01 | 16.03 | 14.46 | 20.83 | 16.54 | 18.09 | 17.68 | 14.80 |
| Ration composition | ||||||||||||||
| Concentrate | % | 41 | 36 | 37 | 36 | 42 | 37 | 32 | 42 | 63 | 43 | 40 | 38 | 35 |
| Forage | % | 42 | 51 | 55 | 34 | 44 | 55 | 27 | 49 | 27 | 46 | 48 | 49 | 33 |
| Food industry | % | 13 | 5 | 5 | 22 | 10 | 5 | 33 | 5 | 10 | 6 | 5 | 8 | 32 |
| Other (feed additives) | % | 4 | 8 | 3 | 8 | 4 | 3 | 8 | 4 | 0 | 5 | 7 | 5 | 0 |
| Total farm area | m3 | 52,000 | 40,000 | 30,000 | 38,000 | 30,000 | 40,000 | 60,000 | 38,000 | 40,000 | 35,000 | 124,000 | 88,000 | 66,000 |
| Water use | m3 | 47,110 | 26,450 | 29,438 | 27,095 | 43,111 | 55,188 | 40,700 | 41,600 | 40,200 | 43,613 | 71,306 | 102,132 | 44,482 |
| Electric use | kWh | 646,385 | 242,117 | 242,510 | 308,249 | 451,263 | 378,488 | 599,500 | 769,130 | 761,000 | 508,407 | 1,304,400 | 1,241,639 | 949,917 |
| Diesel use | L | 28,243 | 13,800 | 8090 | 24,287 | 12,720 | 14,704 | 47,000 | 6000 | 13,153 | 9599 | 71,670 | 59,695 | 58,200 |
| Unit | Land Use (m2) | Water Use (m3) | Energy Use (MJ) | GWP (kg CO2-eq) | AP (kg SO2-eq) | EP (kg PO4-eq) | Reference | |
|---|---|---|---|---|---|---|---|---|
| Local feed production | ||||||||
| Diesel (in-field) | L | 36.8 | 2.66 | 0.01 | 0.002 | [23] | ||
| Wastewater treatment | m3 | 2.12 | 0.39 | 0.0013 | 0.0001 | [24] | ||
| Fertilizer production | ||||||||
| N | kg | 0.07 | 0.009 | 59.5 | 4.57 | 0.015 | 0.0056 | [25] |
| p | kg | 0.08 | 0.1 | 26 | 2.025 | 0.033 | 0.045 | [2] |
| K | kg | 0.05 | 0.007 | 8 | 0.5 | 0.002 | 0.0007 | |
| Insecticide production | kg | 0.35 | 0.122 | 257 | 16.67 | 0.1 | 0.0676 | |
| Herbicide production | kg | 0.24 | 0.085 | 164 | 10.25 | 0.11 | 0.0276 | |
| Marine transport | tkm | 0.15 | 0.01 | 0.0002 | 0.00002 | |||
| Electricity production in Israel | MJ | 0.037 | 0.185 | 0.0006 | 0.000047 | [26] | ||
| Land transport in Israel | km | 22 | 0.5 | 0.0015 | 0.00028 | [27] | ||
| Regional feed center | ton TMR | 1.62 | 3 kwh 0.0003 L of diesel | The regional feed center | ||||
| Manure management | ||||||||
| Regional compost facility | m3 input manure | 0.67 | 1.16 L of diesel | The regional compost facility | ||||
| Anaerobic digestion facility | m3 input manure | 0.36 | [20] |
| Impact Category | Measured Unit | Contributing Substance | Characterization Factor | References |
|---|---|---|---|---|
| Land use | m2 | Land use for growing feed and dairy farm | ||
| Water use | m3 | Blue water footprint including water use for growing feed and for cow shed | ||
| Energy use | MJ | Use of diesel and electricity | ||
| Climate change (Global worming potential GWP) | kg CO2-eq | CO2 | 1 | [28] |
| CH4 | 25 | |||
| N2O | 298 | |||
| Acidification potential (AP) | kg SO2-eq | SO2 | 1 | [25] |
| NH3 | 1.88 | |||
| NOx | 0.7 | |||
| Atrophy cation potential (EP) | kg PO4-eq | PO4 | 1 | [25] |
| NH3 | 0.35 | |||
| NOx | 0.13 | |||
| NO3 | 0.1 | |||
| P | 3.06 |
| LU (m2) | WU (m3) | EU (MJ) | GWP (kg CO2-eq) | AP (kg SO2-eq) | EP (kg PO4-eq) | ||
|---|---|---|---|---|---|---|---|
| Feed production | Sum | 0.493 | 0.045 | 1.872 | 0.2 | 0.00203 | 0.0016 |
| Forages | 0.167 | 0.013 | 0.241 | 0.037 | 0.00104 | 0.00060 | |
| Fertilizer and pesticide production and application at field | 0.198 | 0.031 | 0.00102 | 0.00060 | |||
| Wastewater treatment for irrigation | 0.028 | 0.005 | 1.8 × 10−5 | 1.3 × 10−6 | |||
| diesel use at field | 0.015 | 0.001 | 4.3 × 10−6 | 8.0 × 10−7 | |||
| Concentrated feed | 0.327 | 0.032 | 1.631 | 0.163 | 0.001 | 0.001 | |
| Milk production | Sum | 0.008 | 0.007 | 0.674 | 0.55 | 0.00032 | 2.67 × 10−5 |
| Regional feed center | Sum | 0.001 | 1.8 × 10−5 | 1.8 × 10−6 | 6.5 × 10−9 | 8.9 × 10−10 | |
| Dairy farm | Sum | 0.007 | 0.007 | 0.673 | 0.55 | 0.00032 | 2.67 × 10−5 |
| Enteric fermentation | 0.468 | ||||||
| Operation | 0.082 | ||||||
| Direct | 0.436 | 0.066 | 0.00023 | 2.12 × 10−5 | |||
| Electricity | 0.306 | 0.057 | 0.00019 | 1.45 × 10−5 | |||
| Diesel | 0.130 | 0.009 | 3.62 × 10−5 | 6.70 × 10−6 | |||
| Indirect | 0.237 | 0.015 | 9.28 × 10−5 | 5.55 × 10−6 | |||
| Electricity production | 0.012 | ||||||
| Water production | 0.226 | 0.015 | 9.28 × 10−5 | 5.55 × 10−6 | |||
| Manure management | Sum | 0.001 | 0.025 | 0.242 | 0.00648 | 0.00121 | |
| Operation | 0.066 | 0.00026 | 4.73 × 10−5 | ||||
| Direct emission from manure | 0.176 | 0.00623 | 0.00116 | ||||
| CH4 | 0.032 | ||||||
| N2O | 0.144 | ||||||
| Direct emission N2O | 0.140 | ||||||
| Indirect emission N2O | 0.004 | ||||||
| Transport | Sum | 0.684 | 0.035 | 0.00067 | 7.4 × 10−5 | ||
| Feed transportation | 0.588 | 0.033 | 0.00066 | 7.3 × 10−5 | |||
| Marine transportation | 0.419 | 0.029 | 0.00065 | 7.1 × 10−5 | |||
| Land transportation | 0.169 | 0.003 | 1.0 × 10−5 | 1.9 × 10−6 | |||
| Milk transportation | 0.059 | 0.001 | 4.4 × 10−6 | 8.1 × 10−7 | |||
| Manure transportation | 0.027 | 0.001 | 1.8 × 10−6 | 3.3 × 10−7 | |||
| Carcasses transportation | 0.010 | 2.3 × 10−4 | 7.1 × 10−7 | 1.3 × 10−7 | |||
| Sum | 0.502 | 0.052 | 3.254 | 1.027 | 0.0095 | 0.00291 |
Publisher’s Note: MDPI stays neutral with regard to jurisdictional claims in published maps and institutional affiliations. |
© 2022 by the authors. Licensee MDPI, Basel, Switzerland. This article is an open access article distributed under the terms and conditions of the Creative Commons Attribution (CC BY) license (https://creativecommons.org/licenses/by/4.0/).
Share and Cite
Triky, S.; Kissinger, M. An Integrated Analysis of Dairy Farming: Direct and Indirect Environmental Interactions in Challenging Bio-Physical Conditions. Agriculture 2022, 12, 480. https://doi.org/10.3390/agriculture12040480
Triky S, Kissinger M. An Integrated Analysis of Dairy Farming: Direct and Indirect Environmental Interactions in Challenging Bio-Physical Conditions. Agriculture. 2022; 12(4):480. https://doi.org/10.3390/agriculture12040480
Chicago/Turabian StyleTriky, Shir, and Meidad Kissinger. 2022. "An Integrated Analysis of Dairy Farming: Direct and Indirect Environmental Interactions in Challenging Bio-Physical Conditions" Agriculture 12, no. 4: 480. https://doi.org/10.3390/agriculture12040480
APA StyleTriky, S., & Kissinger, M. (2022). An Integrated Analysis of Dairy Farming: Direct and Indirect Environmental Interactions in Challenging Bio-Physical Conditions. Agriculture, 12(4), 480. https://doi.org/10.3390/agriculture12040480

