Impact of Phosphorous Fertilization on Rape and Common Vetch Intercropped Fodder and Soil Phosphorus Dynamics in North China
Abstract
1. Introduction
2. Material and Methods
2.1. Site Description
2.2. Experimental Design and Crop Management
2.3. Sampling
2.3.1. Forage
2.3.2. Soil
2.4. Soil Analysis
2.4.1. General Soil Parameters
2.4.2. Phosphorus Fractionation
2.4.3. Formatting of Mathematical Components
2.5. Statistical Analysis
3. Results
3.1. Effect of Cropping System and P Application Rate on Forage Yields and Land Equivalent Ratios (LERs)
3.2. Changes in Soil Physiochemical Properties of the Rhizosphere
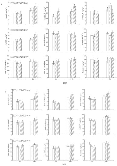
3.3. Changes in Soil P Fractions in the Rhizosphere
3.4. Relationships between P Fractions and pH, OM, TN, TP, AP, and PAC
3.5. PLS-PM Analysis
4. Discussion
5. Conclusions
Author Contributions
Funding
Institutional Review Board Statement
Informed Consent Statement
Data Availability Statement
Acknowledgments
Conflicts of Interest
Abbreviations
| AP | Available phosphorus |
| LER | Land equivalent ratio |
| OM | Organic matter |
| PAC | Phosphorus activation coefficient |
| TN | Total nitrogen |
| TP | Total phosphorus |
References
- Tian, J.; Wang, X.R.; Tong, Y.P.; Chen, X.P.; Liao, H. Bioengineering and management for efficient phosphorus utilization in crops and pastures. Curr. Opin. Biotechnol. 2012, 23, 866–871. [Google Scholar] [CrossRef] [PubMed]
- Chen, S.; Zhang, S.; Yan, Z.J.; Peng, Y.T.; Chen, Q. Differences in main processes to transform phosphorus influenced by ammonium nitrogen in flooded intensive agricultural and steppe soils. Chemosphere 2019, 226, 192–200. [Google Scholar] [CrossRef] [PubMed]
- Lu, X.C.; Han, X.Z.; Zou, W.X. Advance in the Efficient Utilization of Soil Phosphorus by Crops. Soil Crop 2013, 2, 2095–2961. [Google Scholar]
- Mahmood, M.; Tian, Y.; Ma, Q.X.; Hui, X.L.; Ahmed, S.E.; Waqas, A.; Sajid, M.; Wang, Z.H. Changes in phosphorus fractions in response to long-term nitrogen fertilization in loess plateau of China. Field Crops Res. 2021, 270, 108207. [Google Scholar] [CrossRef]
- Bieleski, R.L. Phosphate pools, phosphate transport, and phosphate availability. Plant Dis. Div. 1973, 24, 225–252. [Google Scholar] [CrossRef]
- Raghothama, K.G. Phosphate acquisition. Annu. Rev. Plant Physiol. Plant Mol. Biol. 1999, 50, 665–693. [Google Scholar] [CrossRef] [PubMed]
- Hinsinger, P. Bioavailability of soil inorganic P in the rhizosphere as affected by root-induced chemical changes: A review. Plant Soil 2001, 237, 173–195. [Google Scholar] [CrossRef]
- Zhang, Z.F.; Zhang, W.F. The situation and trend of fertilizer application in China. Phosphate Compd. Fertil. 2008, 23, 9–12. [Google Scholar]
- Nie, Y. Environmental hazards of excessive application of nitrogen and phosphate fertilizers. Cultiv. Cultiv. 2000, 4, 43. [Google Scholar]
- Kania, A.; Neumann, G.; Cesco, S.; Pinton, R.; Römheld, V. Use of plasma membrane vesicles for examination of phosphorus deficiency-induced root excretion of citrate in cluster roots of white lupin (Lupinus albus L.). Plant Nutr.-Food Secur. Sustain. Agro-Ecosyst. 2001, 92, 546–547. [Google Scholar]
- Li, L.; Li, S.M.; Sun, J.H.; Zhou, L.L.; Bao, X.G.; Zhang, H.G.; Zhang, F.S. Diversity enhances agricultural productivity via rhizosphere phosphorus facilitation on phosphorus-deficient soils. Proc. Natl. Acad. Sci. USA 2007, 104, 11192–11196. [Google Scholar] [CrossRef] [PubMed]
- Crème, A.; Rumpel, C.; Gastal, F. Effects of grasses and a legume grown in monoculture or mixture on soil organic matter and phosphorus forms. Plant Soil 2015, 402, 117–128. [Google Scholar] [CrossRef]
- Liao, D.; Zhang, C.; Li, H.; Lambers, H.; Zhang, F. Changes in soil phosphorus fractions following sole cropped and intercropped maize and faba bean grown on calcareous soil. Plant Soil 2020, 448, 587–601. [Google Scholar] [CrossRef]
- Tiemann, L.K.; Grandy, A.S.; Atkinson, E.E.; Marin-Spiotta, E.; McDaniel, M.D. Crop rotational diversity enhances belowground communities and functions in an agroecosystem. Ecol. Lett. 2015, 18, 761–771. [Google Scholar] [CrossRef] [PubMed]
- Sun, B.; Gao, Y.; Wu, X.; Ma, H.; Zheng, C.; Wang, X.; Yang, H. The relative contributions of pH, organic anions, and phosphatase to rhizosphere soil phosphorus mobilization and crop phosphorus uptake in maize/alfalfa polyculture. Plant Soil 2019, 447, 117–133. [Google Scholar] [CrossRef]
- Lu, R.K. General status of nutrients (N, P, K) in soil of China. J. Soil Sci. 1989, 26, 280–286. [Google Scholar]
- Xu, X.J.; Li, W.W. Discussion on the production status and economic benefits of forage feed in Inner Mongolia. China Feed. 2020, 24, 116–119. [Google Scholar]
- Liu, Z.K.; Qin, W.L.; Zhi, J.F. Hebei Province. Hebei Agric. Sci. 2006, 2, 26–30. [Google Scholar]
- Hedley, M.J.; Stewart, J.W.B.; Chauhan, B.S. Changes in inorganic and organic soil phosphorus fractions induced by cultivation practices and by laboratory incubations. Soil Sci. Soc. Am. J. 1982, 46, 970–976. [Google Scholar] [CrossRef]
- Tiessen, H.; Moir, J.O. Characterization of available P by sequential extraction. Soil Sampl. Methods Anal. 1993, 7, 229. [Google Scholar]
- Murphy, J.; Riley, J. A modified single solution method for the determination ofphosphate in natural waters. Anal. Chim. Acta 1962, 27, 31–36. [Google Scholar] [CrossRef]
- Li, L.; Yang, S.C.; Li, X.L. Interspecific complementary and competitive interactions between intercropped maize and faba bean. Plant Soil. 1999, 212, 105–114. [Google Scholar] [CrossRef]
- Yuan, K. Soil Chemistry of Plant Nutrients; Science Press: Beijing, China, 1983; pp. 5–12. [Google Scholar]
- Li, L. Wheat/maize or wheat/soybean strip intercropping I. Yield advantage and interspecific interactions on nutrients. Field Crops Res. 2001, 71, 123–137. [Google Scholar] [CrossRef]
- Wagg, C.; Ebeling, A.; Ravenek, J.; Bachmann, D.; Eisenhauer, N. Functional trait dissimilarity drives both species complementarity and competitive disparity. Funct. Ecol. 2017, 31, 2320–2329. [Google Scholar] [CrossRef]
- Li, Q.S.; Wu, L.K.; Chen, J.; Muhammad, A.K.; Luo, X.M.; Lin, W.X. Biochemical and microbial properties of rhizospheres under maize/peanut intercropping. J. Integr. Agric. 2016, 15, 101–110. [Google Scholar] [CrossRef]
- Raza, M.A.; Feng, L.Y. Growth and development of soybean under changing light environments in relay intercropping system. PeerJ 2019, 7, e7262. [Google Scholar] [CrossRef]
- Liu, C.; Cai, Q.; Liao, P.; Jiang, X.; Tang, X.; Yang, Q.; Zhou, L. Effects of Fallopia multiflora–Andrographis paniculata intercropping model on yield, quality, soil nutrition and rhizosphere microorganisms of F. multiflora. Plant Soil 2021, 467, 465–481. [Google Scholar] [CrossRef]
- Fan, Y.; Li, B.; Dai, X.; Ma, L.; Tai, X. Optimizing Cropping Systems of Cultivated Pastures in the Mountain–Basin Systems in Northwest China. Appl. Sci. 2020, 10, 6949. [Google Scholar] [CrossRef]
- Behzad, S.; Saeid, Z.S. Effect of different intercropping patterns on yield and yield components of dill and fenugreek. Azarian J. Agric. 2014, 1, 1–5. [Google Scholar]
- Ginwal, D.S.; Kumar, R.; Ram, H.; Dutta, S. Fodder productivity and profitability of different maize and legume intercropping systems. Indian J. Agric. Sci. 2018, 89, 1451–1455. [Google Scholar]
- Betencourt, E.; Duputel, M.; Colomb, B.; Desclaux, D.; Hinsinger, P. Intercropping promotes the ability of durum wheat and chickpea to increase rhizosphere phosphorus availability in a low P soil. Soil Biol. Biochem. 2012, 46, 181–190. [Google Scholar] [CrossRef]
- Alkama, N.; Bi Bolou, E.B.; Vailhe, H.; Roger, L.; Ounane, S.M.; Drevon, J.J. Genotypic variability in P use efficiency for symbiotic nitrogen fixation is associated with variation of proton efflux in cowpea rhizosphere. Soil Biol. Biochem. 2009, 41, 1814–1823. [Google Scholar] [CrossRef]
- Bowman, R.A.; Cole, C.V. Transformations of organic phosphorus substances in soil evaluated by NaHCO3 extraction. Soil Sci. Soc. Am. J. 1978, 125, 49–54. [Google Scholar] [CrossRef]
- Hauggaard-Nielsen, H.; Gooding, M.; Ambus, P.; Corre-Hellou, G.; Crozat, Y.; Dahlmann, C.; Jensen, E.S. Pea–barley intercropping for efficient symbiotic N2-fixation, soil N acquisition and use of other nutrients in European organic cropping systems. Field Crops Res. 2009, 113, 64–71. [Google Scholar] [CrossRef]
- Raven, J.A.; Franco, A.A.; de Jesus, E.L. H+ extrusion and organic-acid synthesis in N2-fixing symbioses involving vascular plants. New Phytol. 1990, 114, 369–389. [Google Scholar] [CrossRef]
- Tang, C.; Barton, L.; Raphael, C. Pasture legume species differ in their capacity to acidify soil. Aust. J. Agric. Res. 1998, 49, 53–58. [Google Scholar] [CrossRef]
- Bouray, M.; Moir, J.L.; Lehto, N.J.; Condron, L.M.; Touhami, D.; Hummel, C. Soil pH effects on phosphorus mobilization in the rhizosphere of Lupinus angustifolius. Plant Soil 2021, 469, 387–407. [Google Scholar] [CrossRef]
- Soltangheisi, A.; Rodrigues, M.; Coelho, M.J.A.; Gasperini, A.M.; Sartor, L.R.; Pavinato, P.S. Changes in soil phosphorus lability promoted by phosphate sources and cover crops. Soil Tillage Res. 2018, 179, 20–28. [Google Scholar] [CrossRef]
- Soltangheisi, A.; Teles, A.P.B.; Sartor, L.R.; Pavinato, P.S. Cover Cropping May Alter Legacy Phosphorus Dynamics under Long-Term Fertilizer Addition. Front. Environ. Sci. 2020, 8, 13. [Google Scholar] [CrossRef]






| pH | SOM (g/kg) | TN (g/kg) | AN (mg/kg) | TP (g/kg) | AP (mg/kg) | TK (g/kg) | AK (mg/kg) |
|---|---|---|---|---|---|---|---|
| 8.45 | 16.56 | 0.53 | 90.4 | 0.54 | 15.51 | 16.64 | 140.2 |
| Year | Annual P Rates (kg·hm−2) | Common Vetch (kg·hm−2) | Rape (kg·hm−2) | LER | ||
|---|---|---|---|---|---|---|
| Sole Cropped | Intercropped | Sole Cropped | Intercropped | |||
| 2019 | 0 | 9.66 ± 1.28 Bd | 12.79 ± 0.21 Bc | 17.43 ± 1.02 Bb | 24.82 ± 0.30 Ba | 1.38 |
| 45 | 15.10 ± 0.40 Ad | 23.86 ± 0.69 Ac | 31.95 ± 1.48 Ab | 45.90 ± 1.62 Aa | 1.52 | |
| 2020 | 0 | 10.01 ± 0.32 Bd | 13.14 ± 0.79 Bc | 22.80 ± 0.63 Bb | 23.70 ± 0.65 Ba | 1.22 |
| 45 | 13.53 ± 0.94 Ad | 18.85 ± 0.44 Ac | 29.92 ± 0.70 Ab | 33.15 ± 2.40 Aa | 1.23 | |
| Mean | 12.08 | 17.16 | 25.53 | 31.89 | 1.34 | |
| Significance of | F | P | F | P | ||
| Years (Y) | 1.06 | 0.31 | 1.00 | 0.323 | ||
| P rate (P) | 173.14 | <0.0001 | 112.46 | <0.0001 | ||
| Cropping system (C) | 108.13 | <0.0001 | 26.81 | <0.0001 | ||
| P × C | 16.06 | <0.0001 | 3.28 | 0.079 | ||
| Factors | pH | OM | TN | TP | AP | PAC |
|---|---|---|---|---|---|---|
| Year (Y) | *** | NS | ** | *** | *** | *** |
| P rate (P) | * | *** | *** | *** | *** | *** |
| Cropping pattern (CP) | *** | *** | *** | *** | *** | *** |
| Y × P | NS | NS | NS | *** | *** | NS |
| Y × CP | NS | NS | NS | * | *** | *** |
| P × CP | NS | NS | ** | *** | NS | NS |
| Y × P × CP | NS | NS | NS | NS | NS | NS |
| Year | P | Treatments | pH | OM (g·kg−1) | TN (g·kg−1) | TP (g·kg−1) | AP (mg·kg−1) | PAC (%) |
|---|---|---|---|---|---|---|---|---|
| 2019 | P0 | CV | 8.67 ± 0.11 a | 17.06 ± 1.13 b | 0.56 ± 0.02 a | 0.77 ± 0.05 ab | 16.64 ± 1.68 b | 2.16 ± 0.30 b |
| R | 8.68 ± 0.07 a | 18.30 ± 1.51 b | 0.54 ± 0.02 a | 0.73 ± 0.04 b | 18.59 ± 1.25 b | 2.56 ± 0.15 a | ||
| IRCV | 8.42 ± 0.15 b | 20.91 ± 2.51 a | 0.54 ± 0.04 a | 0.83 ± 0.02 a | 22.07 ± 2.30 a | 2.67 ± 0.32 a | ||
| P45 | CV | 8.52 ± 0.09 ab | 20.09 ± 3.81 b | 0.59 ± 0.02 b | 0.83 ± 0.05 b | 17.85 ± 1.95 b | 2.18 ± 0.35 b | |
| R | 8.60 ± 0.04 a | 20.22 ± 1.73 b | 0.57 ± 0.05 b | 0.84 ± 0.03 b | 22.52 ± 2.38 a | 2.69 ± 0.35 a | ||
| IRCV | 8.47 ± 0.09 b | 24.08 ± 1.29 a | 0.69 ± 0.04 a | 0.89 ± 0.01 a | 24.35 ± 0.97 a | 2.73 ± 0.09 a | ||
| 2020 | P0 | CV | 8.44 ± 0.23 ab | 18.57 ± 1.61 a | 0.54 ± 0.05 a | 0.71 ± 0.02 a | 15.14 ± 0.31 c | 2.13 ± 0.09 c |
| R | 8.58 ± 0.12 a | 20.50 ± 2.03 a | 0.50 ± 0.06 a | 0.67 ± 0.02 b | 18.68 ± 0.20 b | 2.78 ± 0.11 b | ||
| IRCV | 8.23 ± 0.21 b | 20.77 ± 1.32 a | 0.52 ± 0.09 a | 0.71 ± 0.01 a | 25.03 ± 0.80 a | 3.54 ± 0.12 a | ||
| P45 | CV | 8.40 ± 0.24 a | 19.12 ± 1.57 b | 0.60 ± 0.03 a | 0.79 ± 0.02 b | 20.50 ± 0.34 c | 2.59 ± 0.07 c | |
| R | 8.51 ± 0.24 a | 22.42 ± 2.41 ab | 0.53 ± 0.03 b | 0.86 ± 0.04 a | 24.51 ± 1.40 b | 2.85 ± 0.28 b | ||
| IRCV | 7.94 ± 0.31 b | 24.21 ± 3.01 a | 0.61 ± 0.06 a | 0.88 ± 0.01 a | 33.38 ± 0.64 a | 3.81 ± 0.07 a |
| Factors | Resin-P | NaHCO3-Pi | NaHCO3-Po | NaOH-Pi | NaOH-Po | 1 M HCl-Pi | conc. HCl-Pi | conc. HCl-Po | Residual-P |
|---|---|---|---|---|---|---|---|---|---|
| Year (Y) | *** | *** | *** | ** | *** | NS | *** | *** | ** |
| P rate (P) | *** | *** | *** | *** | NS | *** | *** | *** | *** |
| Cropping pattern (CP) | *** | NS | *** | *** | NS | *** | NS | *** | ** |
| Y × P | *** | *** | *** | NS | ** | *** | * | NS | * |
| Y × CP | NS | *** | *** | *** | NS | *** | * | *** | *** |
| P × CP | *** | *** | *** | *** | * | *** | *** | NS | *** |
| Y × P × CP | ** | *** | *** | * | NS | *** | *** | NS | NS |
Publisher’s Note: MDPI stays neutral with regard to jurisdictional claims in published maps and institutional affiliations. |
© 2022 by the authors. Licensee MDPI, Basel, Switzerland. This article is an open access article distributed under the terms and conditions of the Creative Commons Attribution (CC BY) license (https://creativecommons.org/licenses/by/4.0/).
Share and Cite
Qu, J.; Li, L.; Zhao, P.; Han, D.; Zhao, X.; Zhang, Y.; Han, L.; Wang, Y. Impact of Phosphorous Fertilization on Rape and Common Vetch Intercropped Fodder and Soil Phosphorus Dynamics in North China. Agriculture 2022, 12, 1949. https://doi.org/10.3390/agriculture12111949
Qu J, Li L, Zhao P, Han D, Zhao X, Zhang Y, Han L, Wang Y. Impact of Phosphorous Fertilization on Rape and Common Vetch Intercropped Fodder and Soil Phosphorus Dynamics in North China. Agriculture. 2022; 12(11):1949. https://doi.org/10.3390/agriculture12111949
Chicago/Turabian StyleQu, Jiahui, Lijun Li, Peiyi Zhao, Dongyu Han, Xinyao Zhao, Yanli Zhang, Li Han, and Ying Wang. 2022. "Impact of Phosphorous Fertilization on Rape and Common Vetch Intercropped Fodder and Soil Phosphorus Dynamics in North China" Agriculture 12, no. 11: 1949. https://doi.org/10.3390/agriculture12111949
APA StyleQu, J., Li, L., Zhao, P., Han, D., Zhao, X., Zhang, Y., Han, L., & Wang, Y. (2022). Impact of Phosphorous Fertilization on Rape and Common Vetch Intercropped Fodder and Soil Phosphorus Dynamics in North China. Agriculture, 12(11), 1949. https://doi.org/10.3390/agriculture12111949
