Moderate Boron Concentration Beneficial for Flue-Cured Tobacco (Nicotiana tabacum L.) Seedlings Growth and Development
Abstract
1. Introduction
2. Materials and Methods
2.1. Experiment Design
2.2. Analyses Methods
2.2.1. Agronomic Traits
2.2.2. Biomass of Tobacco Seedlings
2.2.3. Soil–Plant Analysis Development (SPAD) Value
2.2.4. Photosynthetic Parameters
2.2.5. Boron Ion Content in Tobacco Seedlings
2.2.6. Nicotine Concentration
2.2.7. Defense-Related Enzymes and Compounds
2.2.8. Oxidative Stress Indicators
2.2.9. Nitrate Reductase (NR) Activity
2.2.10. Soil Physical and Chemical Parameters
2.3. Statistical Analysis
3. Results
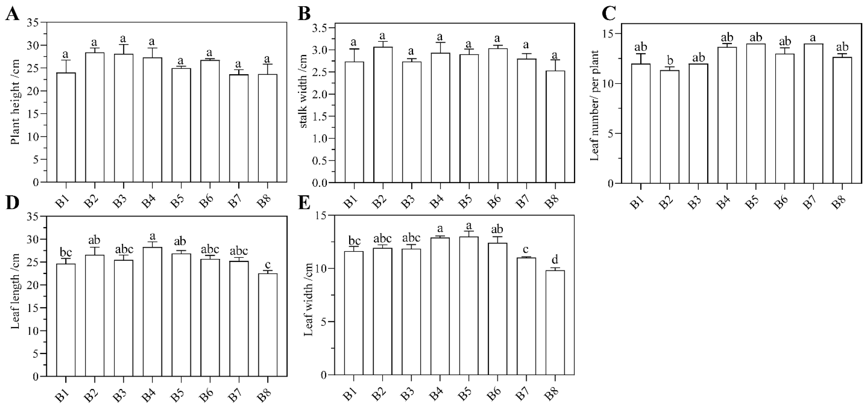
3.1. Effect of B Solution Concentration on Seedling Growth and Shoot Biomass Formation
3.2. Effect of B Solution Concentration on Photosynthetic Performance
3.3. Effect of B Solution Concentration on Antioxidant Enzymes and MDA Content
3.4. Effect of B Solution Concentration on B and Nicotine Concentration in Plant Tissue
3.5. Indices Related to Different B Solution Concentration
3.6. Effect of B Concentration on Plant Growth and Physiological Indices under Pot Experiment
4. Discussion
4.1. Effect of B Solution Concentration on Tobacco Seedling Agronomic Traits, and Photosynthetic Performance under Hydroponic Condition
4.2. Effect of B Solution Concentration on Tobacco Seedling Antioxidant Enzymes and MDA Content under Hydroponic Condition
4.3. Effect of B Solution Concentration on Tobacco Seedling Nicotine Level under Hydroponic Condition
4.4. Interactions between Indices to Different B Solution Concentrations under Hydroponic Condition
4.5. Preliminary Study on Production Practice
4.6. Boron Critical Value in Flue-Cured Tobacco Seedlings
5. Conclusions
Author Contributions
Funding
Conflicts of Interest
Abbreviations
References
- Niu, Y.; Zhang, S.L. The Present Conditions and Prospects of Plant Boron Nutrition. Chin. Agric. Sci. Bull. 2003, 19, 101–104. [Google Scholar]
- Zhang, D.; Zhao, H.; Shi, L.; Xu, F. Physiological and genetic responses to boron deficiency in Brassica napus: A review. Soil Sci. Plant Nutr. 2014, 60, 304–313. [Google Scholar] [CrossRef]
- Ruiz, J.; Garcia, P.C.; River, M.; Romero, L. Response of phenolic metabolism to the application of carbendazim plus boron in tobacco. Physiol. Plant. 1999, 106, 151–157. [Google Scholar] [CrossRef]
- Laura, M. Boron Nutrition of Burley and Dark Tobacco. Master’s Thesis, University of Kentucky, Lexington, KY, USA, 2014. [Google Scholar]
- Yang, B.; Zu, C.; Li, B.; Yao, Z.; Guo, D.; Jiang, C.; Shen, J. The influence of zinc and boron on tobacco growth and other mineral elements accumulation. Chin. Agric. Sci. Bulletin. 2014, 30, 218–222. [Google Scholar]
- McMurtrey, J. Hunger Signs in Crops, Plant-Nutrient Deficiency in Tobacco, Boron Deficiency; American Society of Agronomy and National Fertilizer Association: Washington, DC, USA, 1941; pp. 30–31. [Google Scholar]
- Herrera-Rodriguez, M. Role of Boron in Vascular Plants and Response Mechanisms to Boron Stress. Plant Stress 2010, 4, 115–122. [Google Scholar]
- Feng, X.H. Application Study on Boron in Tobacco Production. Master’s Thesis, University of Hunan, Changsha, China, 2012. [Google Scholar]
- Liu, G.D.; Dong, X.C.; Peng, L.C.; Jiang, C.C. Metabolic profiling reveals altered pattern of central metabolism in navel orange plants as a result of boron deficiency. Physiol. Plant. 2014, 153, 513–524. [Google Scholar] [CrossRef]
- Camacho-Cristóbal, J.J.; Martín-Rejano, E.M.; Herrera-Rodríguez, M.B.; Navarro-Gochicoa, M.T.; Rexach, J.; González-Fontes, A. Boron deficiency inhibits root cell elongation via an ethylene/auxin/ros-dependent pathway in arabidopsis seedlings. J. Exp. Bot. 2015, 13, 3831. [Google Scholar] [CrossRef]
- Luo, P.T.; Shao, Y. The effect of boron in plant and the use of boron in tobacco and production. J. Yunnan Agric. Univ. 1990, 5, 237–241. (In Chinese) [Google Scholar]
- Eaton, F. Deficiency toxicity and accumulation of boron in plants. J. Agric. Res. 1994, 69, 237–277. [Google Scholar]
- Lal, K.N.; Tyagi, R.S. Deficiency favorable and toxic effect of boron on tobacco. Ann. J. Bot. 1949, 36, 676–680. [Google Scholar] [CrossRef]
- Nable, R.O. Resistance to boron toxicity amongst several barley and wheat cultivars: A preliminary examination of the resistance mechanism. Plant Soil 1998, 112, 45–52. [Google Scholar] [CrossRef]
- Yau, S.K.; Ryan, J. Boron toxicity tolerance in crops: A viable alternative to soil amelioration. Crop Sci. 2008, 48, 854–865. [Google Scholar] [CrossRef]
- Aftab, T.; Khan, M.; Idrees, M.; Naeem, M.; Ram, M. Boron induced oxidative stress, antioxidant defence response and changes in artemisinin content in Artemisia annua L. J. Agron. Crop Sci. 2010, 196, 423–430. [Google Scholar] [CrossRef]
- Cervilla, L.M.; Blasco, B.; Rios, J.J.; Rosales, M.A.; Eva, S.R.; Rubio-Wilhelmi, M.M.; Romero, L.; Ruiz, J.M. Parameters symptomatic for boron toxicity in leaves of tomato plants. J. Bot. 2012, 2012, 726206. [Google Scholar] [CrossRef]
- Landi, M.; Guidi, L.; Pardossi, A.; Tattini, M.; Gould, K.S. Photoprotection by foliar anthocyanins mitigates effects of boron toxicity in sweet basil (Ocimum basilicum). Planta 2014, 240, 941–953. [Google Scholar] [CrossRef]
- Jing, Y.Q.; Zhang, B.L.; Yuan, X.X.; Min, X.U.; Zhang, Y.H.; Ping, L.U.; Liu, J.J. Effects of Spraying Boron and Phosphorus on Physiological Characteristics of Tobacco. Hunan Agric. Sci. 2015, 1, 70–73. (In Chinese) [Google Scholar]
- Brdar-Jokanović, M. Boron toxicity and deficiency in agricultural plants. Int. J. Mol. Sci. 2020, 21, 1424. [Google Scholar] [CrossRef]
- Qu, Q.; Liu, Q.Y. Effects of boron fertilizer on agronomic and economic traits and chemical quality of flue-cured tobacco. J. Hunan Ecol. Sci. 2020, 7, 1–7. (In Chinese) [Google Scholar]
- Dwyer, L.M.; Tollenaar, M.; Houwing, L. A nondestructive method to monitor leaf greenness in corn. Can. J. Plant Sci. 1991, 71, 505–509. [Google Scholar] [CrossRef]
- Ling, Q.; Huang, W.; Jarvis, P. Use of a SPAD-502 meter to measure leaf chlorophyll concentration in Arabidopsis thaliana. Photosynth. Res. 2011, 107, 209–214. [Google Scholar] [CrossRef]
- Kandel, B.P. Spad value varies with age and leaf of maize plant and its relationship with grain yield. BMC Res. Notes 2020, 13, 475. [Google Scholar] [CrossRef] [PubMed]
- Nova, P. Evaluation of conventional dry ashing and wet digestion methods for determination of Fe, Mn, Ni, Cu, Co, Mg, Zn, Ca, Mo, Se levels in dried samples of organic tomatoes (Solanum lycopersicum L.) by flame atomic absorption spectrometry (FAAS). J. Biotechnol. Biodivers. 2012, 3, 259–270. [Google Scholar]
- Ma, H.; Wang, F.; Wang, W.; Yin, G.; Zhang, D.; Ding, Y.; Timko, M.P.; Zhang, H. Alternative splicing of basic chitinase gene PR3b in the low-nicotine mutants of Nicotiana tabacum L. cv. Burley 21. J. Exp. Bot. 2016, 67, 5799–5809. [Google Scholar] [CrossRef] [PubMed]
- Stewert, R.R.C.; Bewley, J.D. Lipid peroxidation associated with accelerated aging of soybean axes. Plant Physiol. 1980, 65, 245–248. [Google Scholar] [CrossRef] [PubMed]
- Lacan, D.; Baccou, J.C. High levels of antioxidant enzymes correlate with delayed senescence in nonnetted muskmelon fruits. Planta 1998, 204, 377–382. [Google Scholar] [CrossRef]
- Beers, R.F.; Sizer, I.W. A spectrophotometric method for measuring the breakdown of hydrogen peroxide by catalase. J. Biol. Chem. 1952, 195, 133–140. [Google Scholar] [CrossRef]
- Dalton, D.A.; Russell, S.A.; Hanus, F.J.; Pascoe, G.A.; Evans, H.J. Enzymatic reactions of ascorbate and glutathione that prevent peroxide damage in soybean root nodules. Proc. Natl. Acad. Sci. USA 1986, 83, 3811–3815. [Google Scholar] [CrossRef]
- De Vos, C.H.R.; Schat, H.M.A.M.; De Waal, R.; Vooijs, H.; Ernst, W.H.O. Increased resistance to copper-induced damage of the root cell plasmalemma in copper tolerant Silene cucubalus. Physiol. Plant 1991, 82, 523–528. [Google Scholar] [CrossRef]
- Patterson, B.D.; MacRae, E.A.; Ferguson, I.B. Estimation of hydrogen peroxide in plant extracts using titanium (IV). Anal. Biochem. 1984, 139, 487–492. [Google Scholar] [CrossRef]
- Downs, M.R.; Nadelhoffer, K.J.; Melillo, J.M.; Aber, J.D. Foliar and fine root nitrate reductase activity in seedlings of four forest tree species in relation to nitrogen availability. Trees 1993, 7, 233–236. [Google Scholar] [CrossRef]
- Bower, C.A.; Reitemeier, R.F.; Fireman, M. Exchangeable cation analysis of saline and alkali soils. Soil Sci. 1952, 73, 251–262. [Google Scholar] [CrossRef]
- Bouyoucos, G.J. Hydrometer method improved for making particle size analysis of soils. J. Agron. 1962, 54, 464–465. [Google Scholar] [CrossRef]
- Walkley, A. A critical examination of a rapid method for determining organic carbon in soils. Soil Sci. 1947, 63, 251–264. [Google Scholar] [CrossRef]
- Soil Science Society of China. Methods of Soil Agricultural Chemical Analysis; China Agricultural Science and Technology Press: Beijing, China, 2000. [Google Scholar]
- John, M.K.; Chuah, H.H.; Neufeld, J.H. Application of improved azomethine-H method to the determination of boron in soils and plants. Anal. Lett. 1975, 8, 559–568. [Google Scholar] [CrossRef]
- Bariya, H.; Bagtharia, S.; Patel, A. Boron: A Promising Nutrient for Increasing Growth and Yield of Plants. In Nutrient Use Efficiency in Plants; Hawkesford, M., Kopriva, S., De Kok, L., Eds.; Springer: Cham, Switzerland, 2014; Volume 10. [Google Scholar]
- Matthes, M.S.; Robil, J.M.; McSteen, P. From Element to Development: The power of the essential micronutrient boron to shape morphological processes in plants. J. Exp. Bot. 2020, 71, 1681–1693. [Google Scholar] [CrossRef]
- Ying, X.; Jiang, C.; Wang, X.; Chen, F. Effects of low potassium stress on the photosynthesis and photosynthate partitioning of cotton. Chin. J. Ecol. 2013, 32, 1476–1482. [Google Scholar]
- Kutschera, U.; Niklas, K.J. Boron and the evolutionary development of roots. Plant Signal. Behav. 2017, 12, 132–136. [Google Scholar] [CrossRef]
- Hajiboland, R.; Farhanghi, F. Remobilization of boron, photosynthesis, phenolic metabolism and antioxidant defense capacity in boron deficient turnip (Brassica rapa L.) plants. Soil Sci. Plant Nutr. 2010, 56, 427–437. [Google Scholar] [CrossRef]
- Shah, F.; Bajwa, A.A.; Nazir, U.; Anjum, S.A.; Farooq, A.; Zohaib, A.; Sadia, S.; Nasim, W.; Adkins, S.; Saud, S.; et al. Crop production under drought and heat stress: Plant responses and management options. Front. Plant Sci. 2017, 8, 1147. [Google Scholar] [CrossRef]
- Cave, G.; Tolley, L.C.; Strain, B.R. Effect of carbon dioxide enrichment on chlorophyll content, starch content and starch grain structure in trifolium subterraneum leaves. Physiol. Plant. 2010, 51, 171–174. [Google Scholar] [CrossRef]
- Chen, M.; Mishra, S.; Heckathorn, S.A.; Frantz, J.M.; Krause, C. Proteomic analysis of arabidopsis thaliana leaves in response to acute boron deficiency and toxicity reveals effects on photosynthesis, carbohydrate metabolism, and protein synthesis. J. Plant Physiol. 2014, 171, 235–242. [Google Scholar] [CrossRef] [PubMed]
- Steppuhn, A.; Gase, K.; Krock, B.; Halitschke, R.; Baldwin, I.T. Nicotine’s defensive function in nature. PLoS Biol. 2004, 2, E217. [Google Scholar] [CrossRef] [PubMed]
- Dewey, R.E.; Xie, J. Molecular genetics of alkaloid biosynthesis in Nicotiana tabacum. Phytochemistry 2013, 94, 10–27. [Google Scholar] [CrossRef]
- Camacho -Cristóbal, J.J.; González-Fontes, A. Boron deficiency decreases plasmalemma H+-ATPase expression and nitrate uptake, and promotes ammonium assimilation into asparagine in tobacco roots. Planta 2007, 226, 443–451. [Google Scholar] [CrossRef] [PubMed]
- Reid, R. Update on Boron Toxicity and Tolerance in Plants. In Advances in Plant and Animal Boron Nutrition; Springer: Dordrecht, The Netherlands, 2007; pp. 83–90. [Google Scholar]
- Sheng, O.; Zhou, G.; Wei, Q.; Peng, S.; Deng, X. Effects of excess boron on growth, gas exchange, and boron status of four orange scion-rootstock combinations. J. Plant Nutr. Soil Sci. 2010, 173, 469. [Google Scholar] [CrossRef]
- Steinberg, R.A. Effect of Boron Deficiency on Nicotine Formation in Tobacco. Plant Physiol. 1955, 30, 84–86. [Google Scholar] [CrossRef]
- Lisuma, J.B.; Mbega, E.R.; Ndakidemi, P.A. The Effects of Cultivating Tobacco and Supplying Nitrogenous Fertilizers on Micronutrients Extractability in Loamy Sand and Sandy Soils. Plants 2021, 10, 1597. [Google Scholar] [CrossRef]
- Han, S.; Chen, L.S.; Jiang, H.X.; Smith, B.R.; Yang, L.T.; Xie, C.Y. Boron deficiency decreases growth and photosynthesis, and increases starch and hexoses in leaves of citrus seedlings. J. Plant Physiol. 2008, 165, 1331–1341. [Google Scholar] [CrossRef]
- Lu, Y.B.; Yang, L.T.; Li, Y.; Xu, J.; Liao, T.T.; Chen, Y.B.; Chen, L.S. Effects of boron deficiency on major metabolites, key enzymes and gas exchange in leaves and roots of Citrus sinensis seedlings. Tree Physiol. 2014, 34, 608–618. [Google Scholar] [CrossRef]
- Sang, W.; Huang, Z.R.; Yang, L.T.; Guo, P.; Ye, X.; Chen, L.S. Effects of high toxic boron concentration on protein profiles in roots of two citrus species differing in boron-tolerance revealed by a 2-DE based MS approach. Front. Plant Sci. 2017, 8, 180. [Google Scholar] [CrossRef]
- Tao, X.Q.; Huang, M. An Improved Method for Determining Available Boron in Soil. Tob. Sci. Technol. 2003, 7, 30–32. (In Chinese) [Google Scholar]
- Choi, E.Y.; Moon, J.H.; Lee, W.M.; Son, S.H.; Lee, S.G.; Cho, I.H. The response of antioxidant enzyme activity, growth and yield of pepper and watermelon plants to a single application of simulated acid rain. J. Food Agric. Environ. 2010, 8, 1265–1271. [Google Scholar]
- Huang, X.; Chen, S.; Li, W.; Tang, L.; Zhang, Y.; Yang, N.; Zou, Y.; Zhai, X.; Xiao, N.; Liu, W.; et al. ROS regulated reversible protein phase separation synchronizes plant flowering. Nat. Chem. Biol. 2021, 17, 549–557. [Google Scholar] [CrossRef] [PubMed]
- Brown, P.H.; Bellaloui, N.; Wimmer, M.A.; Bassil, E.S.; Ruiz, J.; Hu, H.; Pfeffer, H.; Dannel, F.; Romheld, V. Boron in plant biology. Plant Biol. 2002, 4, 205–223. [Google Scholar] [CrossRef]
- Yamagishi, M.; Yamamoto, Y. Effects of boron on nodule development and symbiotic nitrogen fixation in soybean plants. Soil Sci. Plant Nutr. 1994, 40, 265–274. [Google Scholar] [CrossRef]
- Camacho-Cristóbal, J.J.; González-Fontes, A. Boron deficiency causes a drastic decrease in nitrate content and nitrate reductase activity, and increases the content of carbohydrates in leaves from tobacco plants. Planta 1999, 209, 528–536. [Google Scholar] [CrossRef]
- Simón, I.; Díaz-López, L.; Gimeno, V.; Nieves, M.; Pereira, W.E.; Martínez, V.; Lidon, V.; García-Sánchez, F. Effects of boron excess in nutrient solution on growth, mineral nutrition, and physiological parameters of jatropha curcas seedlings. J. Plant Nutr. Soil Sci. 2013, 176, 165–174. [Google Scholar] [CrossRef]
- Moody, D.B.; Rathjen, A.J.; Cartwright, B.; Paull, J.G.; Lewis, J. Genetic Diversity and Geographical Distribution of Tolerance to High Levels of Soil Boron. In Proceedings of the 7th International Wheat Genetics Symposium, Cambridge, UK, 13–19 July 1988; Volume 2, pp. 859–865. [Google Scholar]
- Turan, M.A.; Taban, S.; Kayin, G.B.; Taban, N. Effect of boron application on calcium and boron concentrations in cell wall of durum (Triticum durum) and bread (Triticum aestivum) wheat. J. Plant Nutr. 2018, 41, 1351–1357. [Google Scholar] [CrossRef]






| Soil Type | Texture | Cation Exchange Capacity cmol·kg−1 | Organic Matter mg·kg−1 | Total N mg·kg−1 | Total P mg·kg−1 | Total K mg·kg−1 | Available B mg·kg−1 |
|---|---|---|---|---|---|---|---|
| Sandy soil | Sand | 1.26 | 3.65 | 0.14 | 0.07 | 23.75 | 0.167 |
| Treatments | Pn/(μmol/(m2·s)) | Cond/(mol/(m2·s)) | Ci/(μmol/mol) | Tr/(mmol/(m2·s)) |
|---|---|---|---|---|
| B1(CK) | 4.29 ± 1.43 cd | 0.064 ± 0.011 cd | 397.77 ± 6.26 b | 2.56 ± 1.15 cd |
| B2 | 10.25 ± 1.12 a | 0.080 ± 0.025 cd | 497.29 ± 4.83 a | 3.48 ± 0.68 bc |
| B3 | 10.50 ± 1.50 a | 0.108 ± 0.025 bc | 501.48 ± 5.95 a | 5.02 ± 0.82 a |
| B4 | 11.90 ± 1.59 a | 0.205 ± 0.038 a | 410.79 ± 8.05 b | 4.75 ± 0.70 ab |
| B5 | 11.75 ± 1.62 a | 0.129 ± 0.027 b | 267.78 ± 4.46 c | 3.70 ± 0.88 abc |
| B6 | 9.61 ± 1.32 ab | 0.136 ± 0.021 b | 381.16 ± 4.5 b | 3.79 ± 0.82 abc |
| B7 | 6.33 ± 1.59 bc | 0.071 ± 0.020 cd | 254.11 ± 7.04 c | 1.91 ± 0.64 d |
| B8 | 2.35 ± 0.74 d | 0.049 ± 0.017 d | 210.85 ± 6.29 c | 1.93 ± 0.78 d |
| Parameter | DBC | TBR | TBS | TBL | TNR | TNS | TNL | SPAD | Pn | Cond | Ci | Tr | SOD | POD | CAT | MDA |
|---|---|---|---|---|---|---|---|---|---|---|---|---|---|---|---|---|
| DBC | 1 | |||||||||||||||
| TBR | 0.977 ** | 1 | ||||||||||||||
| TBS | 0.943 ** | 0.935 ** | 1 | |||||||||||||
| TBL | 0.985 ** | 0.967 ** | 0.943 ** | 1 | ||||||||||||
| TNR | −0.783 ** | −0.756 ** | −0.681 ** | −0.754 ** | 1 | |||||||||||
| TNS | −0.490 * | −0.519 ** | −0.508 * | −0.476 * | 0.548 ** | 1 | ||||||||||
| TNL | −0.622 ** | −0.636 ** | −0.526 ** | −0.642 ** | 0.629 ** | 0.573 ** | 1 | |||||||||
| SPAD | 0.321 | 0.291 | 0.238 | 0.32 | −0.147 | 0.05 | −0.025 | 1 | ||||||||
| Pn | −0.284 | −0.29 | −0.298 | −0.296 | 0.15 | 0.088 | 0.141 | −0.069 | 1 | |||||||
| Cond | −0.079 | −0.159 | −0.098 | −0.091 | −0.174 | 0.241 | 0.271 | 0.155 | 0.625 ** | 1 | ||||||
| Ci | −0.733 ** | −0.703 ** | −0.618 ** | −0.709 ** | 0.503 * | 0.29 | 0.289 | −0.394 | 0.473 * | 0.262 | 1 | |||||
| Tr | −0.36 | −0.357 | −0.306 | −0.372 | 0.069 | 0.133 | 0.366 | −0.326 | 0.563 ** | 0.624 ** | 0.557 ** | 1 | ||||
| SOD | 0.32 | 0.358 | 0.388 | 0.371 | 0.052 | −0.14 | −0.231 | 0.187 | −0.696 ** | −0.785 ** | −0.443 * | −0.718 ** | 1 | |||
| POD | 0.047 | 0.005 | 0.029 | 0.021 | 0.022 | 0.141 | 0.07 | 0.088 | −0.410 * | −0.23 | −0.236 | −0.363 | 0.430 * | 1 | ||
| CAT | 0.378 | 0.391 | 0.421 * | 0.373 | −0.099 | −0.116 | −0.296 | 0.139 | −0.733 ** | −0.679 ** | −0.351 | −0.703 ** | 0.845 ** | 0.509 * | 1 | |
| MDA | −0.005 | 0.019 | 0.041 | 0.013 | 0.18 | −0.129 | −0.217 | −0.243 | −0.705 ** | −0.869 ** | −0.167 | −0.651 ** | 0.715 ** | 0.382 | 0.714 ** | 1 |
Publisher’s Note: MDPI stays neutral with regard to jurisdictional claims in published maps and institutional affiliations. |
© 2022 by the authors. Licensee MDPI, Basel, Switzerland. This article is an open access article distributed under the terms and conditions of the Creative Commons Attribution (CC BY) license (https://creativecommons.org/licenses/by/4.0/).
Share and Cite
Li, M.; Sun, H.; Sun, J.; Li, J.; Zhang, X.; Zhang, K.; Wang, T.; Ji, X.; Deng, X.; He, C.; et al. Moderate Boron Concentration Beneficial for Flue-Cured Tobacco (Nicotiana tabacum L.) Seedlings Growth and Development. Agriculture 2022, 12, 1670. https://doi.org/10.3390/agriculture12101670
Li M, Sun H, Sun J, Li J, Zhang X, Zhang K, Wang T, Ji X, Deng X, He C, et al. Moderate Boron Concentration Beneficial for Flue-Cured Tobacco (Nicotiana tabacum L.) Seedlings Growth and Development. Agriculture. 2022; 12(10):1670. https://doi.org/10.3390/agriculture12101670
Chicago/Turabian StyleLi, Mengxia, Haowei Sun, Jianfeng Sun, Jialiang Li, Xiaowei Zhang, Ke Zhang, Tao Wang, Xinwei Ji, Xiaopeng Deng, Chenggang He, and et al. 2022. "Moderate Boron Concentration Beneficial for Flue-Cured Tobacco (Nicotiana tabacum L.) Seedlings Growth and Development" Agriculture 12, no. 10: 1670. https://doi.org/10.3390/agriculture12101670
APA StyleLi, M., Sun, H., Sun, J., Li, J., Zhang, X., Zhang, K., Wang, T., Ji, X., Deng, X., He, C., Li, Y., & Zou, C. (2022). Moderate Boron Concentration Beneficial for Flue-Cured Tobacco (Nicotiana tabacum L.) Seedlings Growth and Development. Agriculture, 12(10), 1670. https://doi.org/10.3390/agriculture12101670

