Abstract
Increasing planting density is an important ways to increase maize yield. A hot topic of conversation in the current research is how to improve crop light efficiency and yield potential by optimizing the cultivation mode under high density planting is a hot topic in current research. Thus, in this study, a field experiment was conducted to explore the effects of stereo-planting patterns on water and the utilization light resource and maize yields. Planting patterns included the conventional flat planting pattern (as the control, CK) and the stereo-planting in ridge and furrow (T). Each planting pattern had three planting densities, i.e., 60,000 plants ha−1 (D1), 75,000 plants ha−1 (D2) and 90,000 plants ha−1 (D3). The results showed that stereo-planting affected the physiological characteristics of plants by changing the spatial distribution of soil moisture. At the silking stage (R1), photosynthetic rate (Pn) of plants on the ridge was similar to CK, and transpiration rate (Tr) was significantly lower than that of CK. Pn of maize in the furrow was significantly higher than that of CK, and Tr was similar to CK. Stereoscopic planting had different effects on intraspecific competition intensity in maize population in different growing stages. In the six-leaf stage (V6), stereo-planting increased competition intensity of maize on the ridge, but lowered that of maize in the furrow by affecting the spatial distribution of soil moisture. During the R1 stage, stereo-planting increased the light transmittance rate within the canopy and eased the plant’s competition for light by reducing plant height and leaf area of maize under three density conditions. Stereo-planting had no effect on grain yield and dry matter accumulation of ridge-planted maize in the later growing stage, but it did increased the dry matter accumulation and grain yield of furrow-planted maize due to the improvement of the light environment and photosynthetic characteristics of the population. In two test years, stereo-planting increased 5.0–11.0% average yield of maize compared to CK under three density conditions. These results indicate that stereo-planting can reduce the plant’s competition for light and water resources and improve its physiological traits of plant by optimizing its spatial distribution of soil moisture and canopy structure, thus further increasing grain yield of maize under high-density planting conditions.
1. Introduction
Maize (Zea mays L.) is an important food crop and feed crop in China. Improving the yield of maize plays an important role in ensuring the country’s national food security. An important way to increase maize yield is to appropriately increase planting density []. However, planting density cannot indefinitely increase. The competition among individuals for light, nutrients and water becomes increasingly intense when planting density increases []. In addition, the high planting density also leads to a high photosynthetic effective radiation interception rate in the upper canopy of the population, especially in the late growth stage, which weakens the light conditions in the middle and lower leaf positions, restricts the photosynthetic capacity of the population, and thus leads to the decrease of crop yield [,]. Therefore, how to further increase maize yield potential has become a the key problems to be solved under high density planting conditions [].
The fluctuation of meteorological conditions is one of the main factors influencing maize production []. He et al. [] found that maize yield was positively correlated with the total radiation and thermal time during the growth period. Maize yield was positively correlated with photosynthesis, dark respiration, and stomata. Niu et al. [] showed that the photosynthetic rate, dark respiration and stoma conductance of crops at high planting density are lower than those at low planting density. It is an important way to achieve high yield of maize by improving the microenvironment of crop growth under high-density planting condition. Ridge planting and furrow planting both improve the water and temperature conditions of soil and photosynthetic characteristics of plant by changing the microenvironment of crop growth, thus increasing the grain yield and water use efficiency (WUE) of the crop [,,]. Moreover, light conditions within the population are the basis of plant photosynthesis, and the canopy structure has an important effect on the population’s light conditions of the population [,]. Maintaining optimal canopy structure and light conditions within the canopy helps to increase the population yield of the crop []. Previous ridge/furrow planting modes improved the water and temperature conditions of the soil and alleviate the contradiction of water demand among individuals [,,,].However, that hasn’t lowered the intense competition for light among individuals in plant populations. Therefore, in order to further increase crop yield in high-density populations, it is necessary to reduce the competition among individuals in demand for light by optimizing cultivation modes and improving the microenvironment and canopy structure of crop []. A previous study showed that ridge and furrow planting optimized canopy structure and improved light conditions of the population, thus increasing maize yield []. However, in ridge and furrow planting modes, the changes in micro-topography can lead to an uneven distribution of soil moisture between the ridge and furrow, which not only can affect the physiology and growth of plants but also the competition for water and light among individuals. Although there are some studies on the effect of ridge/furrow planting on the population and canopy character and maize yield [,,], no information has been made available on population competition in ridge and furrow planting modes.
In this study, summer maize was planted as stereo-planting in the ridge and furrow under three density conditions. We hypothesized that stereo-planting would regulate the physiological characteristics and dry matter accumulation of the plant by easing the plant’s competition for water and light resources, thus increasing the grain yield of maize. Based on the above hypothesis, the spatial distribution of soil water and light, the characteristics of photosynthesis, and the population and yield of summer maize were analyzed under different planting modes. Therefore, we determined if stereoscopic planting could obtain a higher grain yield by optimizing population structure and easing the plant’s competition for water and light resources under high-density planting conditions. These findings are of great importance to determine the suitable cultivation measures for high-yield maize production.
2. Materials and Methods
2.1. Materials and Experimental Design
A 2-year field experiment was conducted between 2017 and 2018 at the experimental station of Ping’an seed company in Wenxian County (35°11′ N, 113°15′ E), Henan Province, China. Figure 1 shows the distribution of the historical average precipitation and monthly precipitation in growing season of summer maize were showed in Figure 1. The maize cultivar “Yu’an 3” was planted on 6 June 2017, and 8 June 2018. A two-factor split plot design was used in this experiment, including the planting patterns and planting density. Planting patterns included the conventional flat planting pattern (as the control, CK) and stereo-planting in the ridge and furrow (T). Each planting pattern had three planting densities, i.e., 60,000 plants ha−1 (D1), 75,000 plants ha−1 (D2) and 90,000 plants ha−1 (D3). In the conventional flat planting pattern, the row spacing of maize was 60 cm. In stereo-planting pattern, the height and width of the ridges were 15 cm and 90 cm respectively, and the width of the furrows was 30 cm. One row of maize was planted in each ridge and furrow (Figure 2). Each treatment included three replicated plots. Each plot was 10 m long and 5 m wide. The size of the drip tape (Netafirm Limited Company, Tel Aviv HaShalom, Israel) was 15.9 mm (inner diameter). It also had an emitter spacing of 40 cm and had an emitter flow rate of 1.38 L H−1 at 100 kPa pressure. The irrigation quota was 600 mm ha−1. Fertilizer (N, P2O5 and K2O) were supplied at 150, 120 and 90 kg ha−1 when planting, respectively. The plant was irrigated via drip irrigation in the seedling stage, six-leaf stage (V6), and silking stage (R1) [], respectively. Irrigation tapes were placed along each ridge and furrow. Fertilizer (N) topdressing was applied at 100kg ha−1 at the 12-leaf stage (V12) [].

Figure 1.
Distribution of the historical average precipitation and monthly precipitation in growing season of summer maize.

Figure 2.
The schematic diagrams of the planting pattern.
2.2. Experimental Method
2.2.1. Soil Water Content and Leaf Water Content of Maize
During the V6 and R1 stages, the soil water content and leaf water content of maize were gravimetrically measured using the weighing method 7 days after drip irrigation. Soil water content was measured at 20 cm intervals to 60 cm soil layer depth during the V6 stage and at 30 cm intervals to 100 cm soil layer depth during the R1 stage. Three measurements were made in each plot of the conventional flat planting pattern. In the stereo-planting planting pattern, three measurements were made in ridge and furrow of each plot, respectively. The uppermost expanded leaf was randomly selected to measure leaf water content. Sampled leaves were medially put into a homemade ice box to avoid water loss before the wet weight was obtained. In the conventional flat planting pattern, 9 replicate leaves were measured in each plot. In the stereo-planting planting pattern, 9 replicate leaves were measured in ridge and furrow of each plot, respectively. The plant and soil samples were dried at 75 °C.
2.2.2. Population Characteristics and Light Transmission Ratio
The plant height and leaf area of summer maize were measured during the V6, V12, R1, and R6 (physiological maturity) stages. During R1, photo-synthetically active radiation (PAR) at different leaf layers and above the canopy was measured from 11:00 a.m. to 12:00 a.m. using a line quantum sensor (LP-80, Lincoln, NE, USA). Three measurements were made in each plot. Light transmission ratio (LT) at every leaf layer was determined according to the following formula []:
where IPAR is the intercepted PAR during every leaf layer, and TPAR is the total PAR above the canopy.
2.2.3. Photosynthesis (Pn) and Transpiration rate (Tr)
During the V6 and R1 stages, the leaf at the same leaf strata was randomly chosen to measure Pn and Tr of using a LI-6400XT Portable Photosynthesis System (LI-Cor, Inc., Lincoln, NE, USA) between 10:00 a.m. and 11:00 a.m. 7 days after drip irrigation. The sixth fully expanded leaves were randomly chosen to measure Pn and Tr during the V6 stage, and the ear leaves were chosen during the R1 stage. In total, 5 measurements were made in each plot.
2.2.4. Aboveground Dry Matter and Yield Traits
The 6 plants from each plot were randomly collected to measure aboveground dry matter during the V6, R1, and R6 stages. Dry matter weight per plant was determined after plants were dried to constant weight. During harvest, 30 ears of maize were randomly hand-harvested from each plot of CK. In the furrow and ridge planting pattern, 30 ears were randomly collected from ridges and furrows of each plot, respectively. They were used to investigate yield characteristics.
2.2.5. Estimation of Competitive Intensity between Individuals
Competition between individuals was estimated by calculating the relative yield (RDM) and competitive intensity (CI).
RDM and CI were calculated according to the revised formulas presented by Zhai et al. []. RDM was calculated it as follows:
where, ADMc is the accumulated dry matter of the control plant under D1 density condition at a certain growth stage. ADMd is the accumulated dry matter of other treatments under different density conditions at a certain growth stage. Higher RDM value means lower competition among individuals. ADM is calculated as the following formula:
where, DMWt1 and DMWt2 are the dry matter weights of the plant at the beginning (t1) and end (t2) of a growth phase, respectively.
CI can be calculated as follows:
where, DMWc is the dry matter weight of the control plant under a D1 density condition at a certain growth stage. DMWd is the dry matter weight of other treatments under different density conditions. A higher CI value means higher competition among individuals.
2.3. Statistical Analysis
In order to embody the concept of stereoscopic planting, we set up two different soil microenvironments (furrow (T-F) and ridge (T-R)) in the stereoscopic planting plot to form the spatial environment of stereoscopic planting. Due to the differences of soil factors (especially soil moisture), the individual morphological and physiological characteristics (e.g., plant height, photosynthesis, etc.) of plants in different soil microenvironments (T-F and T-R) showed significant differences, which affected the population characteristics of the crops (e.g., light transmission and yield, etc.). However, in the conventional flat planting pattern (i.e., the control, (CK)), the soil environment of individuals was the same, so the morphology and physiological characteristics of the individuals were similar. In the stereoscopic planting mode, T-F and T-R were shown separately in the figure and table and were compared against the control. This was done to more clearly explain the reasons for the difference in population and yield characteristics of crops between the stereoscopic planting and the control.
All datasets of each index were analyzed using a general linear model for a factorial design, with planting modes, planting density, and the stage considered as the fixed factors. The data obtained were analyzed using analysis of variance in SPSS 13.0 (SPSS Inc., Chicago, IL, USA). Significant differences among different planting modes were compared using the least significant difference (LSD) tests (p < 0.05).
3. Results
3.1. Soil Water Content and Leaf Water Content of Maize under Different Planting Patterns
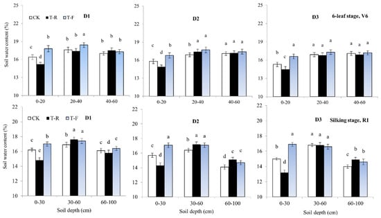
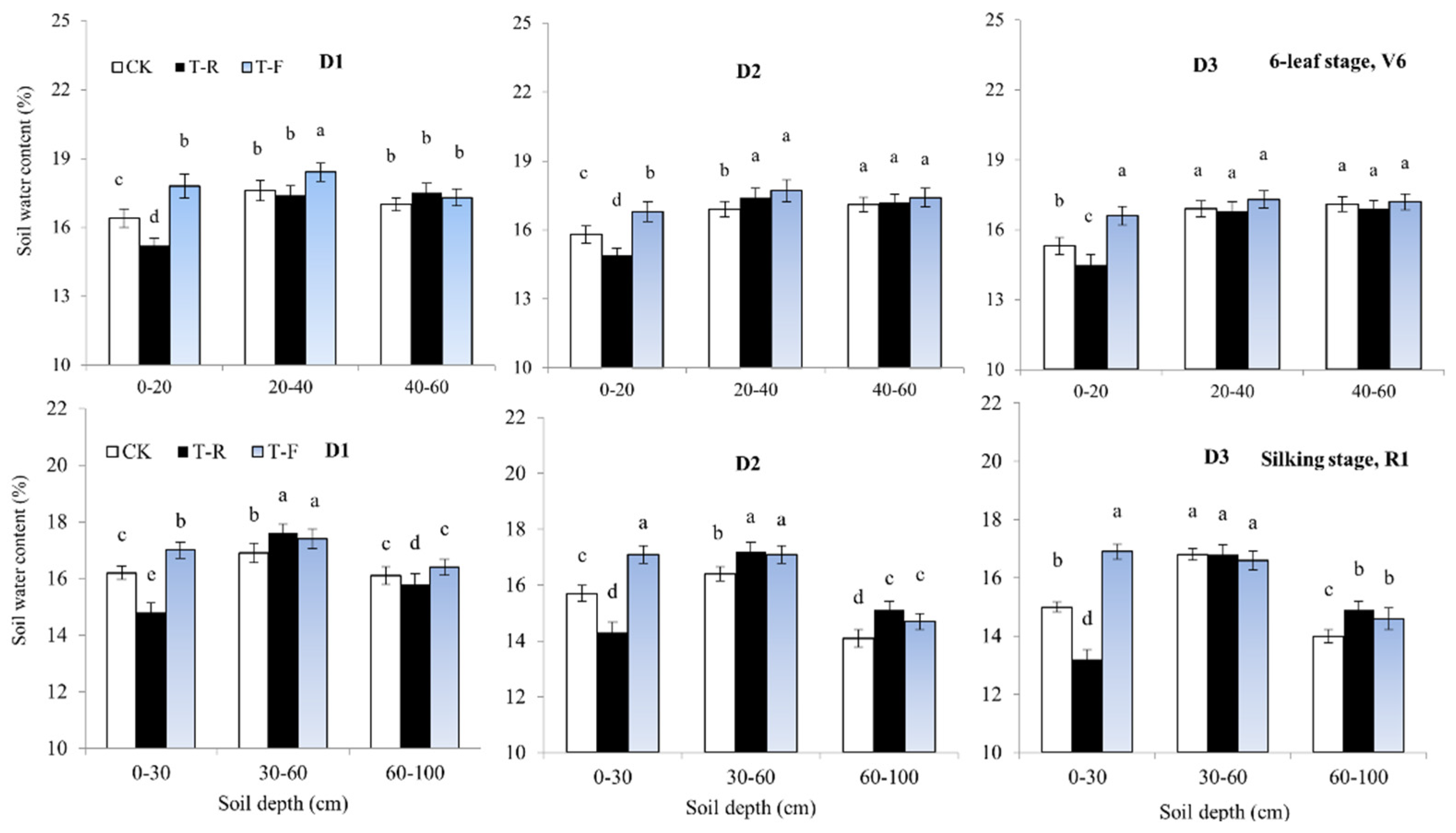
Stereoscopic planting affected the spatial distribution of soil moisture. During the V6 stage, the soil moisture content of the surface layer (0–20 cm) was significantly lower on ridges (T-R) and higher in furrows (T-F) than that of the control under three planting density conditions (Figure 3). In the 20–40 cm soil layer, there was no significant difference in soil moisture content between the ridges and the control, while furrows showed higher soil moisture content compared to the control. There was no significant difference in the soil moisture content of 40–60 cm soil layer among the treatments. During the R1 stage, the soil moisture content of the surface layer (0–30 cm) was also significantly lower in the ridges (T-R) and higher in the furrows (T-F), especially when compared to the control under three different density conditions. In the 30–60 cm soil layer, the soil moisture contents in the ridges and furrows were both significantly higher than that of the control under the D1 and D2 conditions. Under the D3 condition, stereoscopic planting had no effect on soil moisture content of the 30–60 cm soil layer but increased that of the 60–100 cm soil layer. It is clear that furrow and ridge planting changed the spatial distribution of soil water.

Figure 3.
Soil water content under different planting patterns (2018). Different letters above the bars indicate that there is a significant difference between treatments at p < 0.05. D1, D2 and D3 represent maize were planted at 60,000, 75,000 and 90,000 plants ha−1, respectively. CK and T represent maize were planted in the conventional flat planting pattern and in the stereo-planting pattern, respectively. T-R and T-F represent maize were planted on the ridge and in the furrow, respectively. Vertical bar means the standard errors (n = 3).
Over the course of two years, planting methods and planting density were found to have extremely significant effects on the leaf water content of maize (p < 0.01). The interaction between plant methods and density was found to have no significant impact (Table 1). Stereoscopic planting had different effects on the leaf water content of maize by changing the spatial distribution of soil water. During the V6 stage, the leaf water content of ridge-planted maize was significantly lower than that of the control under three different density conditions, but the leaf water content of furrow-planted maize was significantly higher than that of the control (Figure 4). During the R1 stage, stereoscopic planting increased the leaf water content of maize compared to the control, but there were no significant differences in the leaf water content between the ridge-planted and furrow-planted maize.

Table 1.
The F value of the statistical analysis.

Figure 4.
Leaf water content of maize under different planting patterns. At the same testing time, different letters above the bars indicate a significant difference between treatments at p < 0.05. D1, D2, and D3 represent maize were planted at 60,000, 75,000 and 90,000 plants ha−1, respectively. CK and T represent maize were planted in the conventional flat planting pattern and in the stereo-planting pattern, respectively. T-R and T-F represent maize were planted on the ridge and in the furrow, respectively. V6 and R1 represent six-leaf stage and silking stage, respectively. Vertical bar means the standard errors (n = 3).
3.2. Population Characteristic and Light Transmission Ratio
Planting methods and density were found to have extremely significant effects on the plant height, leaf area, and LT of maize (p < 0.01). The interaction between plant methods and density was also found to have a significant impact on the plant height and LT (p < 0.01) (Table 1). Stereoscopic planting resulted in different effects on the population characteristics of maize in different growing stages. During the two experimental years of the V6 stage, plant height and leaf area of ridge-planted maize (T-R) were significantly lower than those of the control, but those of furrow-planted maize (T-F) were significantly higher than the control. From V12 to R6, plant height and leaf area of ridge-planted maize (T-R) were significantly lower than those of the control, while those of furrow-planted maize (T-F) were similar to the control (Figure 5). In addition, stereoscopic planting significantly improved the light condition of maize population by reducing plant height and leaf area. The light transmission ratio at the ear leaf layer and bottom leaf layer of maize in the stereoscopic planting pattern was significantly higher than that of the control under the three density conditions (Figure 6).

Figure 5.
Plant height and leaf area of summer maize under different growing stages (2018). At the same testing time, different letters above the bars indicate that there is a significant difference between treatments at p < 0.05. D1, D2 and D3 represent maize were planted at 60,000, 75,000 and 90,000 plants ha−1, respectively. CK and T represent maize planted in the conventional flat planting pattern and in the stereo-planting pattern, respectively. T-R and T-F represent maize were planted on the ridge and in the furrow, respectively. V6, V12, and R6 represent the 6-leaf stage, 12-leaf stage and physiological maturity, respectively. The vertical bar indicates the standard errors (n = 3).

Figure 6.
Light transmission ratio (LT) at different leaf layer under different planting patterns (2018). Different letters above the bars indicate in the same leaf layer that there is a significant difference between treatments at p < 0.05. D1, D2 and D3 represent maize were planted at 60,000, 75,000 and 90,000 plants ha−1, respectively. CK and T represent maize were planted in the conventional flat planting pattern and in the stereo-planting pattern, respectively. T-R and T-F represent maize were planted on the ridge and in the furrow, respectively. EL and BL indicate light transmission ratio at ear leaf layer and bottom leaf layer, respectively. The vertical bar indicates the standard errors (n = 3).
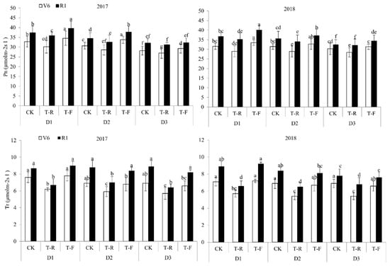
3.3. Pn and Tr of Maize under Different Planting Patterns
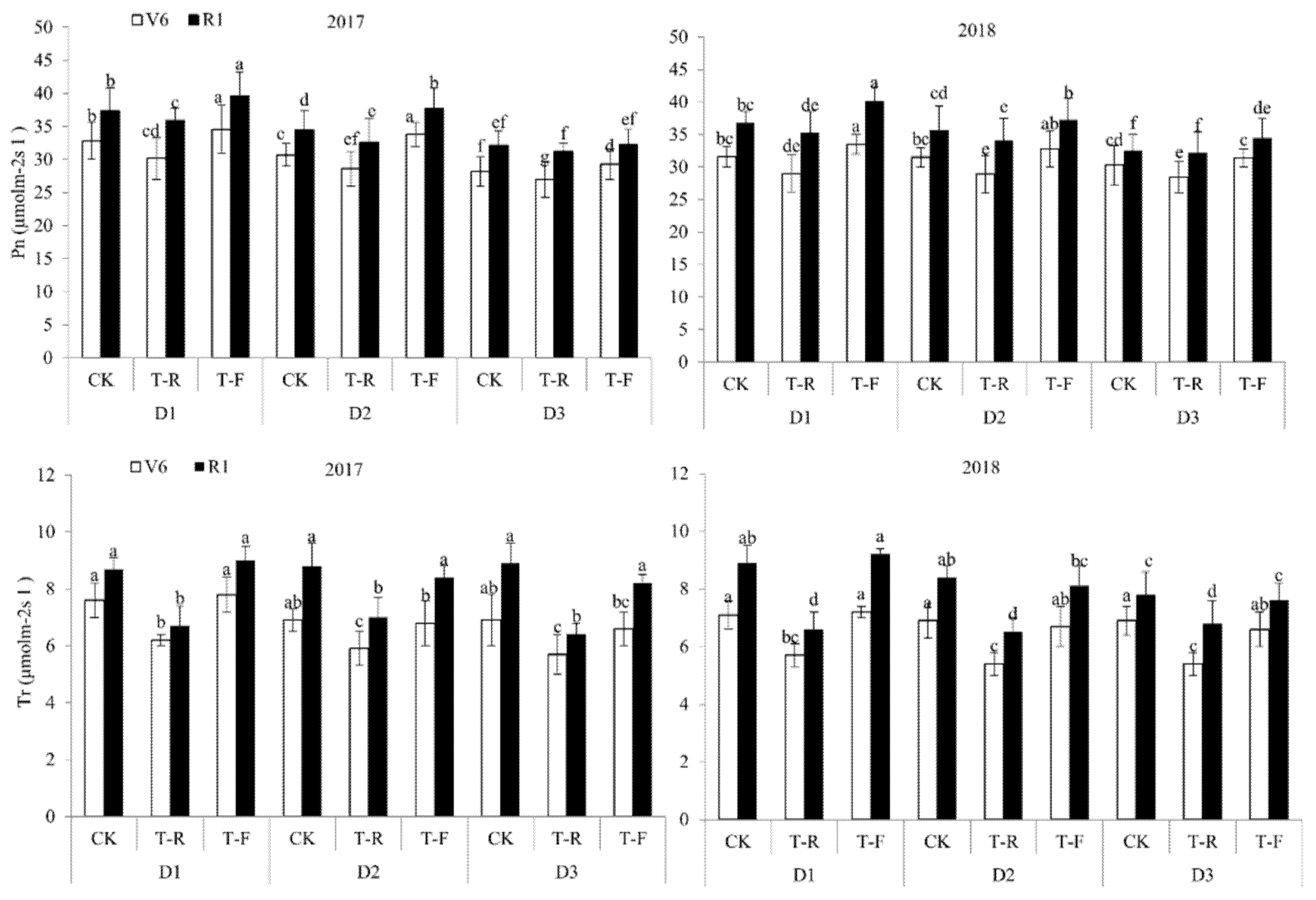
Planting methods and planting density were found to have extremely significant effects on the Pn of maize in two years (p < 0.01). The interaction between plant methods and density was found to have a very significant impact on Pn in 2017 (p < 0.01) and a significant impact in 2018 (p < 0.05). Planting methods were found to have extremely significant effects on the Tr of maize in two years (p < 0.01). Planting density was found to have a significant effect on Tr in 2018 (p < 0.05) The interaction between plant methods and density was found to have no significant impact in two years (Table 1).
Stereoscopic planting had different effects on the Pn and Tr of maize during different growing stages. During the V6 stage, the Pn and Tr of ridge-planted maize (T-R) were significantly lower than those of the control under three density conditions. Pn of furrow-planted maize (T-F) was significantly higher than that of the control, but its Tr was similar to the control (Figure 7). During the R1 stage, ridge planting had no significant effect on Pn of maize but lowered its Tr compared to the control. Pn of furrow-planted maize (T-F) was significantly higher than that of the control, but its Tr was similar to the control under D1and D2 conditions. Under the condition of high density (D3), Pn and Tr of furrow-planted maize (T-F) were similar to those of the control.

Figure 7.
The photosynthetic rate and transpiration rate of maize under different planting patterns. At the same testing time different letters above the bars indicate that there is a significant difference between treatments at p < 0.05. D1, D2 and D3 represent maize were planted at 60,000, 75,000 and 90,000 plants ha−1, respectively. CK and T represent maize were planted in the conventional flat planting pattern and in the stereo-planting pattern, respectively. T-R and T-F represent maize were planted on the ridge and in the furrow, respectively. V6 and R1 represent the 6-leaf stage and the silking stage, respectively. The vertical bar means the standard errors (n = 3).
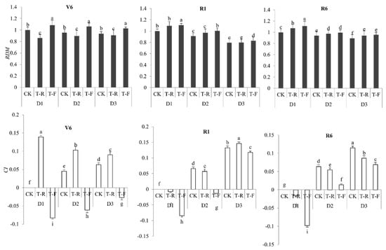
3.4. Relative Dry Matter (RDM) and Competitive Intensity (CI) in Different Planting Patterns
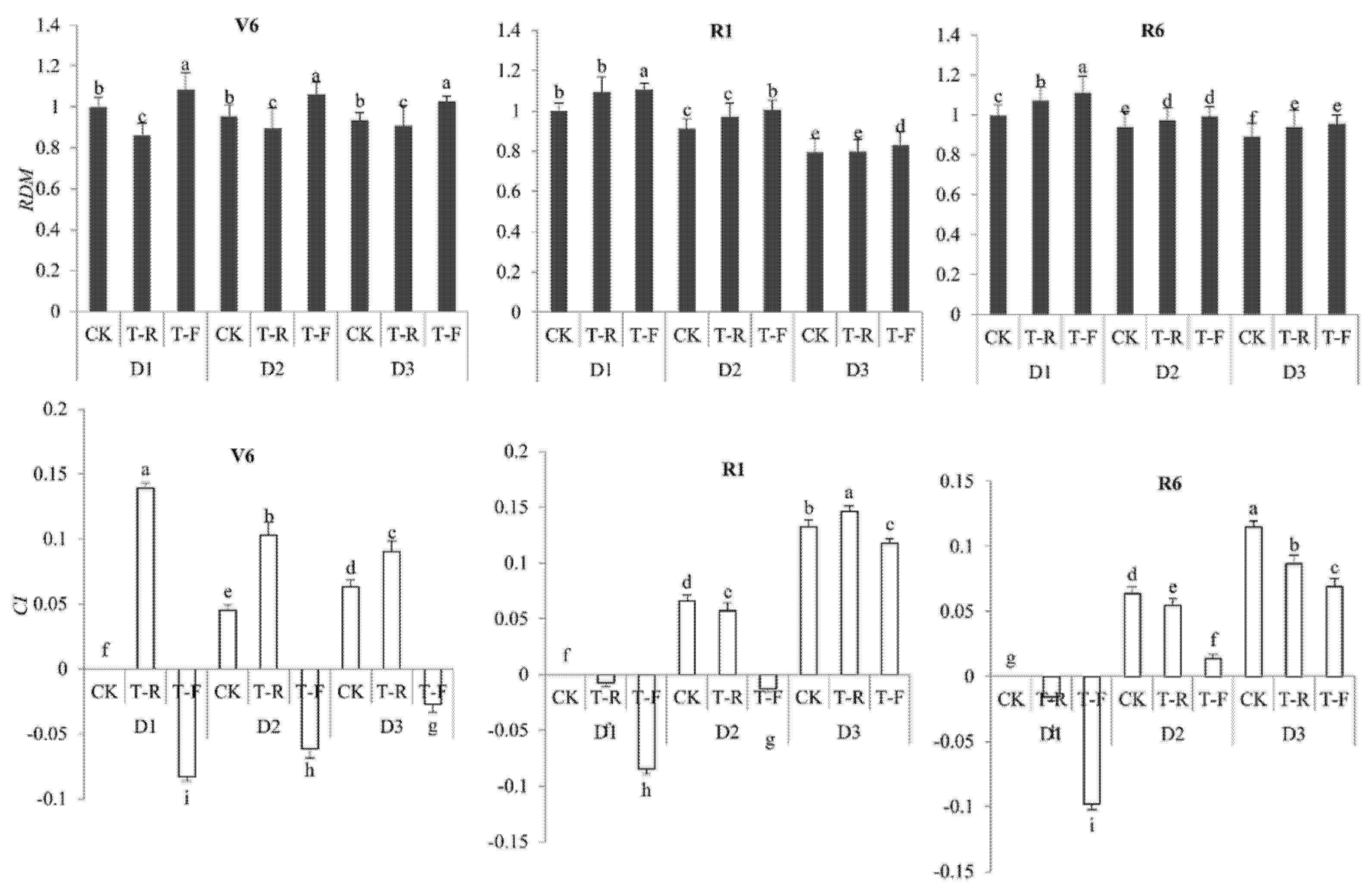
During the V6 stage, RDM of ridge-planted maize (T-R) were significantly lower than that of control and RDM of furrow-planted maize (T-F) was significantly higher than that of the control under the three density conditions (Figure 8). During the R1 stage, RDM of ridge-planted maize (T-R) and furrow-planted maize (T-F) were both significantly higher than that of the control under the D1and D2 conditions. RDM of furrow-planted maize (T-F) was significantly higher than that of the control, but RDM of ridge-planted maize (T-R) was similar to the control under D3 conditions. During the R6 stage, RDM of ridge-planted maize (T-R) and furrow-planted maize (T-F) were both significantly higher than that of the control under the three density conditions.

Figure 8.
Relative dry matter weight (RDM) and competitive intensity (CI) of maize under different planting patterns (2018a). At the same testing time different letters above the bars indicate that there is a significant difference between treatments at p < 0.05. D1, D2 and D3 represent maize were planted at 60,000, 75,000, and 90,000 plants ha−1, respectively. CK and T represent maize were planted in the conventional flat planting pattern and in the stereo-planting pattern, respectively. T-R and T-F represent maize were planted on the ridge and in the furrow, respectively. V6, R1 and R6 represent 6-leaf stage, 12-leaf stage and physiological maturity, respectively. The vertical bar means the standard errors (n = 3).
During the V6 stage, ridge-planted maize (T-R) had significantly higher CI, and furrow-planted maize (T-F) had significantly lower CI compared to the control under the three density conditions (Figure 8). During the R1 stage, stereoscopic planting lowered CI of T-R and T-F compared to the control under D1and D2 conditions. However, under D3 conditions, CI of furrow–planted maize (T-F) was significantly lower than that of the controland CI of ridge-planted maize (T-R) was higher than that of the control. During the R6 stage, stereoscopic planting lowered CI of T-R and T-F compared to the control under three density conditions. These competitive indices showed that stereoscopic planting affected mutual competition among adjacent individuals for water and light by optimizing the spatial distribution of soil water and increasing the light transmittance rate within the canopy.
3.5. Dry Matter Accumulation and Yield Characteristics of Maize in Different Planting Pattern
Planting methods, planting density and the interaction between the two were found to have extremely significant effects on the dry matter weight per plant of maize (p < 0.01) (Table 1). Stereoscopic planting significantly affected accumulation of dry matter and grain yield. Under three density conditions, dry matter weight per plant of furrow-planted maize (T-F) was significantly higher than that of control in whole growing stage. During the V6 stage, dry matter weight per plant of ridge-planted maize (T-R) was significantly lower than that of the control under three density conditions (Figure 9). During the R1 stage, dry matter weight per plant of ridge-planted maize (T-R) was similar to the control under D1 and D2 conditions, and lower than that of control under D3 condition. During the R6 stage, dry matter weight per plant of ridge-planted maize (T-R) was similar to the control under three density conditions.

Figure 9.
Dry matter weight per plant of maize under different planting patterns. At the same testing time different letters above the bars indicate that there is a significant difference between treatments at p < 0.05. D1, D2 and D3 represent maize were planted at 60,000, 75,000 and 90,000 plants ha−1, respectively. CK and T represent maize were planted in the conventional flat planting pattern and in the stereo-planting pattern, respectively. T-R and T-F represent maize were planted on the ridge and in the furrow, respectively. V6, R1 and R6 represent the 6-leaf stage, silking stage and physiological maturity, respectively. The vertical bar means the standard errors (n = 3).
Planting methods and planting density, as well as the interaction between the two were found to have extremely significant effects on the number of grains per ear, thousand-grain weight and grain yield (p < 0.01) (Table 2). Under the condition of low density (D1), grain number per ear and 1000-grain weight of furrow-planted maize (T-F) were seen to be significantly higher than those of the control, while the grain number per ear and 1000-grain weight of ridge-planted maize (T-R)were similar to those of the control. Under the condition of median density (D2), the grain number per ear of the furrow-planted maize (T-F) was similar to that of the control, but the 1000-grain weight was higher than that of the control (Table 2). The grain number per ear of the ridge-planted maize (T-R) was significantly higher than that of control, but the 1000-grain weight was similar to that of the control. Under the condition of high density (D3), the grain number per ear of maize in both the furrow and ridge were similar to the control, but, in 2017, the 1000-grain weight was significantly higher than that of the control. In 2018, the grain number per ear of maize in both the furrow and ridge were higher than that of the control, but the 1000-grain weight was similar to the control. In 2017, under the three planting densities, the yield of furrow-planted maize (T-F) was significantly higher than that of the control, while the yield of ridge-planted maize (T-R) was similar to that of the control. In 2018, under the condition of low density (D1), the yield of furrow-planted maize (T-F) was significantly higher than that of the control, while the yield of ridge-planted maize (T-R) was similar to that of control. Under the condition of high density (D2 and D3), grain yield of maize in both the furrow and ridge were significantly higher than that of the control. In two test year, the average yield of the maize population in stereoscopic planting pattern was significantly higher 5.0–11.0% than that of the control under the three planting densities.

Table 2.
Yield characteristics of maize in different planting pattern.
4. Discussion
4.1. Effect of Stereoscopic Planting on the Characteristics of the Population and Canopy Structure of Maize
Increasing planting density is an effective method for increasing the grain yield of crop []. However, the competition among individuals for light, nutrients and water has become increasingly intense due to the increase of planting density, which is not conducive to crop production. Therefore, this is an important way to achieve a high yield of maize by optimizing the cultivation mode and reducing the individuals’ competition for light, nutrient and water under high-density planting conditions. In this study, stereoscopic planting formed the micro-topography of furrow and ridge intersecting, which allowed runoff through the ridge surface and gathering it in the furrows, and increase deep soil water storage []. Therefore, stereoscopic planting changed the spatial distribution characteristics of soil water. The surface soil moisture content on the ridge was significantly lower than the control, while that in the furrow was significantly higher than the control. Soil moisture is one of the important factors that impacts the growth and physiology of plants. Root systems in drying soil produces drought signals (ABA), which are transmitted to the shoot to regulate the stoma opening and leaf expanding, thus reducing water loss through transpiration of plant []. In this study, the soil moisture content of the soil surface on the ridge was significantly lower than that of the control. The drought signal induced by the root in the surface soil is transmitted to the shoot to inhibit the stoma opening and leaf expansion. This may be the reason why the plant height, leaf area and Tr of maize on the ridges were significantly lower than those of the plants in the furrow and the control.
The distribution of photosynthetic effective radiation in the maize population was mainly determined by canopy structure. As the canopy deepened, the light intensity decreased. Therefore, the photosynthetic efficiency of the middle and lower leaves, especially the lower leaves, decreases significantly, and the light energy utilization rate also decreased accordingly [,,]. A reasonable canopy structure can improve the utilization rate of light energy and the photosynthetic characteristics of the population by increasing the photosynthetic effective radiation at different leave positions, which can thus increase the crop population yield [,]. The leaves of plants in canopy structure are closely related to the distribution of light in population and the interception of photosynthetic effective radiation by plants. In this study, ridge planting reduced the mutual shading among individuals, and increased the light transmittance of the population by lowering plant height and leaf area of maize, thus improving light transmission ratio of the lower leaves. This is consistent with the findings of Liu et al. []. It is clear that stereoscopic planting can regulate the growth and canopy structure of plants by changing the micro-topography of the field and regulating the spatial distribution of soil water, which is conducive to improving the utilization rate of light energy of the population and alleviating the competition contradiction among individuals on light and water.
4.2. Effect of Stereoscopic Planting on Leaf Water Content and Pn of Maize
Leaf Pn is the basis of the growth and yield formation of plant. Soil moisture had significant effect on leaf Pn of plant, by which affect the growth and grain yield of crop [,]. Compared with soil water content, leaf water content can more directly reflect water status of plants. When leaves are short of water, chlorophyll biosynthesis is affected, and existing chlorophyll accelerates decomposition, thus affecting leaf photosynthesis [,]. In this study, stereoscopic planting changed the spatial distribution of soil moisture and thus affected on the physiological characteristics of plants. At V6 stage, the root system of plants is mainly distributed on the soil surface. Since the surface soil moisture content of on the ridge is significantly lower than that of the control, leaf water content and Pn of ridge-planted maize were lower than those of the control. Reduced Pn finally affected the plant growth, so the plant height, leaf area and dry matter accumulation were significantly lower than those of the control. The leaf stomata are the common pathway of CO2 and H2O, and transpiration and photosynthesis of plants are regulated by stomata opening. The diffusion resistance of CO2 was about 0.64 times that of water vapor, and so decreased stomata opening has less effect on photosynthesis than on transpiration []. Tr of plants has a linear relationship with stomatal conductance, while Pn has an increasingly saturated relationship with stomatal conductance. Therefore, if the stomatal conductance is appropriately reduced, the transpiration water consumption can be significantly reduced, but the photosynthetic rate is not significantly affected []. In this study, ridge planting reduced soil water consumption by lowing Tr, by the silking stage (R1), althrough the surface soil moisture content on the ridge was significantly lower than that of the control, deep soil moisture content was higher compared to the control. ABA induced by drought in the surface soil was transmitted to the shoot to inhibit the stomatal opening and Tr of plant, but the soil moisture in the deep soil can guarantee the water demand of crop growth. Therefore, leaf water content of ridge-planted maize was higher that of the control and its Pn was similar to the control. Soil moisture content in the furrow was significantly higher than that of the control, so the leaf water content and Pn of furrow-planted maize were significantly higher than those of the control throughout the growth period.
4.3. Effect of Stereoscopic Planting on Population Competition in Maize
Competition is a common phenomenon that exists not only in nature but also in agricultural ecosystems. Competition includes interspecific competition and intraspecific competition. There is mutual competition among adjacent individuals for water, nutrients and light within the crop population. Maize is one of the most sensitive crop species to intraspecific competition due to its low tillering ability. Environmental factors (e.g., water and light) affect the intensity of competition among individuals in the population []. CI and RDM often are used to evaluate the competitive intensity among adjacent plant individuals. Higher CI value reflects higher population competition, whereas higher RDM value indicates lower population competition [,]. In this study, the light was sufficient in the crop population at V1 stage, and the root system is mainly distributed in the upper soil, so the competition among individuals is mainly manifested as the competition of root system for soil moisture. Stereoscopic planting resulted in uneven distribution of soil moisture in space, which significantly affected the competition intensity among individuals in furrows and ridges. Therefore, there were significantly differences in CI and RDM of plants between different planting modes. Ridge planting enhanced competitive pressure of plants, so ridge-planted maize had higher CI and lower RDM compared to the control and furrow-planted maize. With the advance of growth stage, the root system gradually extended to the deeper soil, stereoscopic planting increased the water content in the deep soil, and the water restriction of plants was weakened compared with the control. At the same time, plant height and leaf area increase gradually with the prolongation of the growth stage, so the light utilization by plants is limited due to mutual shading among individuals, thus increasing the competition for light among individuals. However, stereoscopic planting improved light transmittance in the plant population by reducing plant height and leaf area. Therefore, during the late growth stage (after R1), stereoscopic planting alleviates the competitive pressure of plants on water and light, plants in stereoscopic planting pattern had lower CI and higher RDM compared to the control.
The competitive pressure among individuals for limited resources (e.g., water, minerals and light) increases with increasing plant density, which often leads to a decline in biomass and grain yield per plant [,,]. Donald (1981) argued that individual plants making up a high-yield crop population should be weak competitors; thus, a high-yield crop population should have lower intraspecific competitive ability []. In fact, maize yields have been greatly improved in recent decades due to increased density tolerance of maize []. The present results also showed that DMW and grain yield decreased gradually with increased plant density. However, under the same plant density, stereoscopic planting alleviated the competitive pressure of plants on water and light, thus had higher grain yield compared to the control.
5. Conclusions
Stereoscopic planting affected the morphological and physiological characteristics of plants by changing the spatial distribution of soil moisture under three different density conditions. Stereoscopic planting had different effects on intraspecific competition intensity in maize population during different growing stages. In the 6-leaf stage (V6), stereo-planting increased the competition intensity of maize on the ridge, but lowered that of maize in the furrow by affecting the spatial distribution of soil moisture. With the advance of the growth stage, stereoscopic planting significantly increased the light transmittance rate in the crop population and reduced the plant’s competition pressure for the light resource by reducing the plant height and leaf area of ridge-planted maize. After the silking stage (R1), stereoscopic planting increased Pn of furrow-planted maize, but had no effect on Pn of ridge-planted maize by improving water status of plant. Stereoscopic planting had no effect on grain yield and dry matter accumulation of ridge-planted maize in late growing stage. Due to the improvement of the light environment and photosynthetic characteristics of the population, stereoscopic planting increased dry matter accumulation of furrow-planted maize in the later growing stage, thus increasing the grain yield significantly. These findings indicate that stereoscopic planting can alleviate the plant’s intensifying competition for light and water resources and further increase maize grain yield by optimizing the spatial distribution of soil moisture and canopy structure of plant under high density planting conditions.
Author Contributions
Conceptualization, S.M. (Shoutian Ma) and S.M.(Shouchen Ma); methodology, S.M.(Shoutian Ma) and Z.L.; software, Z.L.; validation, S.M. (Shoutian Ma); investigation, S.M. (Shoutian Ma) and F.M.; resources, S.M. (Shoutian Ma); data curation, S.M. (Shoutian Ma); writing—original draft preparation, S.M. (Shoutian Ma); writing—review and editing, T.W., Z.L. and S.M. (Shouchen Ma); visualization, S.M. (Shoutian Ma); supervision, S.M. (Shouchen Ma); project administration, S.M. (Shouchen Ma); funding acquisition, Z.L. and S.M. (Shouchen Ma). All authors have read and agreed to the published version of the manuscript.
Funding
This research was supported by the National Natural Science Foundation of China (31871553,32101856), the National Key Research and Development Program of China (2017YFD0301106), the innovative Research Team of Henan Polytechnic University (T2017-4; T2018-4), the science and technology innovation team support plan of universities in Henan province (18IRTSTHN008),the Central Public-interest Scientific Institution Basal Research Fund (FIRI20210101, Farmland Irrigation Research Institute, CAAS),the China Agriculture Research System (CARS-02),and the Henan Provincial Natural Science Foundation (202300410553).
Institutional Review Board Statement
Not applicable.
Informed Consent Statement
Not applicable.
Data Availability Statement
The data presented in this study are available on request from the corresponding author.
Acknowledgments
The authors sincerely thank the three anonymous reviewers who made valuable comments on this paper.
Conflicts of Interest
The authors declare no conflict of interest.
References
- Jia, Q.M.; Sun, L.F.; Mou, H.Y.; Ali, S.; Liu, D.H.; Zhang, Y.; Zhang, P.; Ren, X.L.; Jia, Z.K. Effects of planting patterns and sowing densities on grain-filling, radiation use efficiency and yield of maize (Zea mays L.) in semi-arid regions. Agric. Water Manag. 2018, 201, 287–298. [Google Scholar] [CrossRef]
- Zhai, L.C.; Xie, R.Z.; Ming, B.; Li, S.K.; Ma, D.L. Evaluation and analysis of intraspecific competition in maize: A case study on plant density experiment. J. Integr. Agric. 2018, 17, 2235–2244. [Google Scholar] [CrossRef] [Green Version]
- Cao, S.B.; Zhang, J.W.; Dong, S.T.; Liu, P.; Zhao, B.; Yang, J.S. Effects of nitrogen rate and planting density on grain yield and nitrogen utilization efficiency of high yield summer maize. Plant Nutr. Fertil. Sci. 2012, 18, 1343–1353. [Google Scholar]
- Lv, L.H.; Tao, H.B.; Xia, L.K.; Zhang, Y.J.; Zhao, M.; Zhao, J.R.; Wang, P. Canopy Structure and Photosynthesis Traits of Summer Maize under Different Planting Densities. Acta Agron. Sin. 2008, 34, 447–455. [Google Scholar] [CrossRef]
- Liu, S.Q.; Jian, S.L.; Li, X.N.; Wang, Y. Wide–Narrow Row Planting Pattern Increases Root Lodging Resistance by Adjusting Root Architecture and Root Physiological Activity in Maize (Zea mays L.) in Northeast China. Agriculture 2021, 11, 517. [Google Scholar] [CrossRef]
- Xu, Y.X.; Jiang, S.S.; Zhou, F.R.; Wen, Z.; Bai, X.; Shi, H.T.; Hu, M.; Zhang, C.Y. Change trends of meteorological factors during the maize growth period and their relationships with meteorological yield in Jinzhou during 1981–2010. J. Meteorol. Environ. 2017, 33, 82–90. [Google Scholar] [CrossRef]
- He, H.; Hu, Q.; Li, R.; Pan, X.; Huang, B.; He, Q. Regional gap in maize production, climate and resource utilization in China. Field Crop. Res. 2020, 254, 107830. [Google Scholar] [CrossRef]
- Niu, L.; Yan, Y.; Hou, P.; Bai, W.; Zhao, R.; Wang, Y.; Li, S.; Du, T.; Zhao, M.; Song, J.; et al. Influence of plastic film mulching and planting density on yield, leaf anatomy, and root characteristics of maize on the Loess Plateau. Crop J. 2020, 8, 548–564. [Google Scholar] [CrossRef]
- Ma, L.; Li, C.H.; Fu, J.; Guo, X.L.; Zhao, X.; Gao, C.; Wang, L. Effects of ridge planting on the photosynthetic characteristics and yield of summer maize in high yield field. Acta Ecol. Sin. 2011, 31, 7141–7150. [Google Scholar]
- Zhou, L.M.; Jin, S.L.; Liu, C.A.; Xiong, Y.C.; Si, J.T.; Li, X.G.; Gan, Y.T.; Li, F.M. Ridge-furrow and plastic-mulching tillage enhances maize–soil interactions: Opportunities and challenges in a semiarid agroecosystem. Field Crop. Res. 2012, 126, 181–188. [Google Scholar] [CrossRef]
- Mo, F.; Wang, J.Y.; Xiong, Y.C.; Nguluu, S.N.; Li, F.M. Ridge-furrow mulching system in semiarid Kenya: A promising solution to improve soil water availability and maize productivity. Eur. J. Agron. 2016, 80, 124–136. [Google Scholar] [CrossRef]
- Liu, T.N.; Chen, J.Z.; Wang, Z.Y.; Wu, X.R.; Wu, X.C.; Ding, R.X.; Han, Q.F.; Cai, T.; Jia, Z.K. Ridge and furrow planting pattern optimizes canopy structure of summer maize and obtains higher grain yield. Field Crop. Res. 2018, 219, 242–249. [Google Scholar] [CrossRef]
- Maddonni, G.A.; Otegui, M.E.; Cirilo, A.G. Plant population density, row spacingand hybrid effects on maize canopy architecture and light attenuation. Field Crop. Res. 2001, 71, 183–193. [Google Scholar] [CrossRef]
- Jia, Q.M.; Sun, L.F.; Ali, S.; Zhang, Y.; Liu, D.H.; Kamran, M.; Zhang, P.; Jia, Z.K.; Ren, X.L. Effect of planting density and pattern on maize yield and rainwater use efficiency in the Loess Plateau in China. Agric. Water Manag. 2018, 202, 19–32. [Google Scholar] [CrossRef]
- Zhou, L.M.; Li, F.M.; Jin, S.L.; Song, Y.J. How two ridges and the furrow mulched with plastic film affect soil water, soil temperature and yield of maize on the semiarid Loess Plateau of China. Field Crop. Res. 2009, 113, 41–47. [Google Scholar] [CrossRef]
- Zhang, W.; Li, Z.; Gong, Y.; Lu, X.; Nielsen, D.C. Yield and Water Use of Siberian Wildrye with Ridge and Furrow Planting in Northern China. Agron. J. 2013, 105, 1787–1796. [Google Scholar] [CrossRef] [Green Version]
- Zhao, H.; Wang, R.Y.; Ma, B.L.; Xiong, Y.C.; Qiang, S.C.; Wang, C.L.; Liu, C.A.; Li, F.M. Ridge-furrow with full plastic film mulching improves water use efficiency and tuber yields of potato in a semiarid rainfed ecosystem. Field Crop. Res. 2014, 161, 137–148. [Google Scholar] [CrossRef]
- Liu, W.; Zhang, J.W.; Lv, P.; Yang, J.S.; Liu, P.; Dong, S.T.; Li, D.H.; Sun, Q.Q. Effect of Plant Density on Grain Yield Dry Matter Accumulation and Parti-tioning in Summer Maize Cultivar Denghai 661. Acta Agron. Sin. 2011, 37, 1301–1307. [Google Scholar] [CrossRef]
- Ritchie, S.W.; Hanway, J.J. How a Corn Plant Develops; Special Report 48; Iowa State University of Science and Technology Cooperative Extension Services: Ames, IA, USA, 1982; 21p. [Google Scholar]
- Liu, T.N.; Gu, L.M.; Xu, C.L.; Dong, S.T. Responses of group and individual leaf photosynthetic characteristics of two summer maize (Zea mays L.) to leaf removal under high plant density. Can. J. Plant Sci. 2014, 94, 1449–1459. [Google Scholar] [CrossRef]
- Tokatlidis, I.S.; Has, V.; Melidis, V.; Has, I.; Mylonas, I.; Evgenidis, G.; Copandean, A.; Ninou, E.; Fasoula, V.A. Maize hybrids less dependent on high plant densities improve resource-use efficiency in rainfed and irrigated conditions. Field Crop. Res. 2011, 120, 345–351. [Google Scholar] [CrossRef]
- Wu, Y.; Jia, Z.K.; Ren, X.L.; Zhang, Y.; Chen, X.; Bing, H.Y.; Zhang, P. Effects of ridge and furrow rainwater harvesting system combined with irrigation on improving water use efficiency of maize (Zea mays L.) in semi-humid area of China. Agric. Water Manag. 2015, 158, 1–9. [Google Scholar] [CrossRef]
- Saradadevi, R.; Palta, J.A.; Siddique, K.H.M. ABA-Mediated Stomatal Response in Regulating Water Use during the Development of Terminal Drought in Wheat. Front Plant Sci 2017, 8, 1251. [Google Scholar] [CrossRef]
- Yang, J.S.; Gao, H.Y.; Liu, P.; Li, G.; Dong, S.T.; Zhang, J.W.; Wang, J.F. Effects of Planting Density and Row Spacing on Canopy Apparent Photosyn-thesis of High-Yield Summer Corn. Acta Agron. Sin. 2010, 36, 1226–1235. [Google Scholar] [CrossRef]
- Slattery, R.A.; VanLoocke, A.; Bernacchi, C.J.; Zhu, X.G.; Ort, D.R. Photosynthesis, Light Use Efficiency, and Yield of Reduced-Chlorophyll Soybean Mutants in Field Conditions. Front Plant Sci 2017, 8, 549. [Google Scholar] [CrossRef] [Green Version]
- Yang, K.J.; Li, M.; Li, Z.H. Effect of cultivation methods and crop community cons truction on photosynthetic capacity and yield of spring maize in cold region. J. Maize Sci. 2006, 14, 78–83. [Google Scholar] [CrossRef]
- Zhao, W.; Liu, L.; Shen, Q.; Yang, J.; Han, X.; Tian, F.; Wu, J. Effects of Water Stress on Photosynthesis, Yield, and Water Use Efficiency in Winter Wheat. Water 2020, 12, 2127. [Google Scholar] [CrossRef]
- Ma, S.C.; Duan, A.W.; Wang, R.; Guan, Z.M.; Yang, S.J.; Ma, S.T.; Shao, Y. Root-sourced signal and photosynthetic traits, dry matter accumulation and remobilization, and yield stability in winter wheat as affected by regulated deficit irrigation. Agric. Water Manag. 2015, 148, 123–129. [Google Scholar] [CrossRef]
- Wang, F.; He, Q.J.; Zhou, G.S. Leaf water content at different positions and its relationship with photosynthesis when consecutive drought treatments are applied to summer maize from the 3-leaf stage. Acta Ecol. Sin. 2019, 39, 254–264. [Google Scholar]
- Shen, D.; Zhang, G.; Xie, R.; Ming, B.; Hou, P.; Xue, J.; Li, S.; Wang, K. Improvement in Photosynthetic Rate and Grain Yield in Super-High-Yield Maize (Zea mays L.) by Optimizing Irrigation Interval under Mulch Drip Irrigation. Agronomy 2020, 10, 1778. [Google Scholar] [CrossRef]
- Xu, Z.; Jiang, Y.; Jia, B.; Zhou, G. Elevated-CO2 Response of Stomata and Its Dependence on Environmental Factors. Front Plant Sci 2016, 7, 657. [Google Scholar] [CrossRef] [PubMed] [Green Version]
- Jaramillo Roman, V.; van de Zedde, R.; Peller, J.; Visser, R.G.F.; van der Linden, C.G.; van Loo, E.N. High-Resolution Analysis of Growth and Transpiration of Quinoa Under Saline Conditions. Front Plant Sci 2021, 12, 634311. [Google Scholar] [CrossRef] [PubMed]
- Tang, Y.J. In fluence of density ratios in mixed planting on competitive indexes of wheat varieties. Chin. J. Eco-Agric. 2008, 16, 534–536. [Google Scholar] [CrossRef]
- Bonser, S.P.; Robinson, D. High reproductive efficiency as an adaptive strategy in competitive environments. Funct. Ecol. 2013, 27, 876–885. [Google Scholar] [CrossRef]
- Weigelt, A.; Jolliffe, P. Indices of Plant Competition. J. Ecol. 2003, 91, 707–720. [Google Scholar] [CrossRef] [Green Version]
- Li, J.; Xie, R.Z.; Wang, K.R.; Ming, B.; Guo, Y.Q.; Zhang, G.Q.; Li, S.K. Variations in Maize Dry Matter, Harvest Index, and Grain Yield with Plant Density. Agron. J. 2015, 107, 829–834. [Google Scholar] [CrossRef]
- Maddonni, G.A.; Otegui, M.E. Intra-specific competition in maize: Contribution of extreme plant hierarchies to grain yield, grain yield components and kernel composition. Field Crop. Res. 2006, 97, 155–166. [Google Scholar] [CrossRef]
- Donald, C.M. Competitive plants, communal plants, and yield in wheat crops. In Wheat Science Today Tomorrow; GBR; Evans, L.T., Peacock, W.J., Eds.; Cambridge University Press: Cambridge, UK, 1981; pp. 223–247. [Google Scholar]
Publisher’s Note: MDPI stays neutral with regard to jurisdictional claims in published maps and institutional affiliations. |
© 2021 by the authors. Licensee MDPI, Basel, Switzerland. This article is an open access article distributed under the terms and conditions of the Creative Commons Attribution (CC BY) license (https://creativecommons.org/licenses/by/4.0/).