Evaluation of Drought Tolerance in Maize Inbred Lines Selected from the Shaan A Group and Shaan B Group
Abstract
:1. Introduction
2. Materials and Methods
3. Results
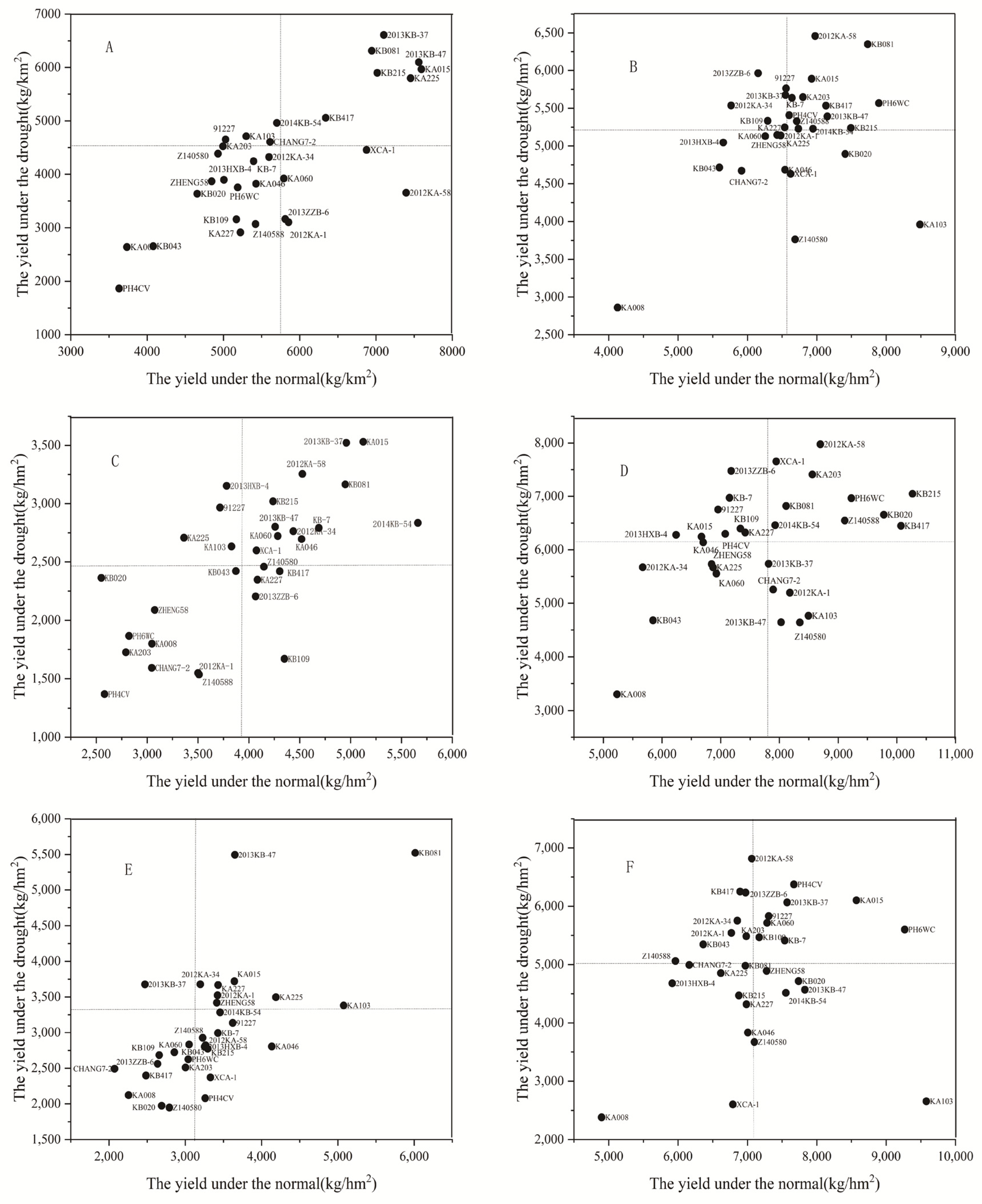
3.1. Yield Analysis and ANOVA
3.2. Correlation Analysis
3.3. Principal Component Analysis and GGE Biplot Graphical Display
4. Discussion
5. Conclusions
Author Contributions
Funding
Institutional Review Board Statement
Informed Consent Statement
Data Availability Statement
Conflicts of Interest
References
- Qin, D.M. Climate change and drought. Sci. Technol. Rev. 2009, 11, 3. [Google Scholar]
- Huang, R.H.; Zhen, C. Evolution characteristics and trend of droughts and floods in China under the background of global warming. Chin. J. Nat. 2010, 4, 187–195. [Google Scholar]
- Duvick, D.N. The contribution of breeding to yield advances in maize (Zea mays L.). Adv. Agron. 2005, 86, 83–145. [Google Scholar]
- Tollenaar, M. Seeking the Upper Limit of Corn Production. Batter Crops. 1986, 75, 6–8. [Google Scholar]
- Yang, X.Q.; Zhang, R.H.; Xue, J.Q.; Tai, S.J.; Zhang, X.H.; Hai-Dong, L.U.; Guo, Y.P. Effects of abiotic stress on yield traits of maize hybrids and their parental inbred lines. Acta Agron. Sin. 2013, 39, 1325. [Google Scholar] [CrossRef]
- Fenghai, L. Selection of Drought Resistance Index and Genetic Research; Shenyang Agricultural University: Shenyang, China, 2011. [Google Scholar]
- Mohammadi, A.H.; Belandria, V.; Richon, D. Use of an artificial neural network algorithm to predict hydrate dissociation conditions for hydrogen + water and hydrogen + tetra-n-butyl ammonium bromide + water systems. Chem. Eng. Sci. 2010, 65, 4302–4305. [Google Scholar] [CrossRef]
- Monneveux, P.; Sanchez, C.; Beck, D.; Edmeades, G.O. Drought tolerance improvement in tropical maize source populations: Evidence of progress. Crop Sci. 2006, 46, 180–191. [Google Scholar] [CrossRef]
- Fang, P.; Yao, Q.L.; Chen, M.; Tan, C.L.; Xu, J. Study on the main biological traits of maize landraces under drought stress and screening for drought-intolerant germplasm at seedling stage. J. Maize Sci. 2012, 20, 6–11. [Google Scholar]
- Rosielle, A.A.; Hamblin, J. Theoretical aspects of selection for yield in stress and non-stress environment. Crop Sci. 1981, 21, 943–946. [Google Scholar] [CrossRef]
- Bouslama, M.; Schapaugh, W.T. Stress tolerance in soybeans. I. Evaluation of three screening techniques for heat and drought tolerance. Crop Sci. 1984, 5, 933. [Google Scholar] [CrossRef]
- Fischer, R.A.; Maurer, R. Drought resistance in spring wheat cultivars: 1. Grain yield response. Agric. Res. 1978, 5, 897–912. [Google Scholar] [CrossRef]
- Fernandez, G.C.J. Effective Selection Criteria for Assessing Stress Tolerance. In Proceedings of the International Symposium on Adaptation of Vegetables and Other Food Crops in Temperature and Water Stress, Taipei, Taiwan, 13–18 August 1992. [Google Scholar]
- Jusheng, L.; Fushun, H. The concept and statistical method of drought resistance index in crops. Acta Agric. Boreali—Sin. 1990, 2, 20–25. [Google Scholar]
- Kumar, A.; Verulkar, S.; Dixit, S.; Chauhan, B.; Bernier, J.; Venuprasad, R.; Zhao, D.; Shrivastava, M.N. Yield and yield-attributing traits of rice (Oryza sativa L.) under lowland drought and suitability of early vigor as a selection criterion. Field Crops Res. 2009, 114, 99–107. [Google Scholar] [CrossRef]
- Shirinzadeh, A.; Zarghami, R.; Azghandi, A.V.; Shiri, M.R.; Mirabdulbaghi, M. Evaluation of drought tolerance in mid and late mature corn hybrids using stress tolerance indices. Asian J. Plant Sci. 2010, 9, 67–73. [Google Scholar] [CrossRef]
- Meena, R.P.; Tripathi, S.C.; Chander, S.; Chookar, R.S.; Verma, M.A.; Sharma, R.K. Identifying drought tolerant wheat varieties using different indices. SAARC J. Agric. 2015, 1, 148–161. [Google Scholar] [CrossRef] [Green Version]
- Yan, W. GGEbiplot—A windows application for graphical analysis of multienvironment trial data and other types of two-way data. Agron. J. 2001, 5, 1111–1118. [Google Scholar] [CrossRef] [Green Version]
- Yan, W. Optimal use of biplots in analysis of multi-location variety test data. Acta Agron. Sin. 2010, 11, 1805–1819. [Google Scholar]
- Khalatbari, A.A.; Bihamta, M.R.; Khalatbari, A.M. An Evaluation of quantitative traits related to drought resistance in inbred lines of maize in stress and non-stress conditions. Asian J. Plant Sci. 2007, 6, 1293–1296. [Google Scholar] [CrossRef]
- Zhao, H.M.; Guo, C.J.; Duan, W.W.; Yong, Q.I.; Wang, X.Y.; Yan, M.L. Studies on evaluation indices for drought resistance capacity in wheat varieties. J. Plant Genet. Resour. 2007, 1, 76–81. [Google Scholar]
- Shaban, M.; Mansourifar, S.; Ghobadi, M.; Parchin, R.A. Effect of drought stress and starter nitrogen fertilizer on root characteristics and seed yield of four chickpea (Cicer arietinum L.) genotypes. Seed Plant Prod. J. 2012, 27, 451–470. [Google Scholar]
- Su, Z.J.; Hao, Z.F.; Xie, C.X.; Li, M.S.; Zhang, S.H.; Li, X.H. Evaluation of drought tolerance of commonly used maize inbred lines in China. J. Maize Sci. 2009, 5, 19. [Google Scholar]
- Grzesiak, M.T.; Marcińska, I.; Janowiak, F.; Rzepka, A.; Hura, T. The relationship between seedling growth and grain yield under drought conditions in maize and triticale genotypes. Acta Physiol. Acta Physiol. Plant. 2012, 5, 1757–1764. [Google Scholar] [CrossRef]
- Yang, J.W.; Zhu, J.G.; Wang, S.G.; Sun, D.Z.; Shi, Y.G.; Chen, W.G. Drought-resistance of local wheat varieties in Shanxi Province of China: A comprehensive evaluation by using GGE biplot and subordinate function. Chin. J. Appl. Ecol. 2013, 4, 1031–1038. [Google Scholar]
- Pozveh, H.H.; Golparvar, A.R. Assessment of genetic diversity for drought tolerance and determination of the best resistance indices for some common wheat (Triticum aestivum L.) genotypes. Res. Crops 2016, 17, 347. [Google Scholar] [CrossRef]
- Wang, Y.J.; Xi, H.J.; Li, M.D.; Hao, D.X.; Li, M.S.; Liu, W.X. Drought tolerance evaluation of 47 main maize inbred lines in China. J. Maize Sci. 2018, 4, 10–16. [Google Scholar]
- Guo, J.L.; Peng, L.; Fan, R.N.; Zhan, Q.D.; Li, B.Z. Comparative analysis of drought tolerance at seedling stage between maize ‘Zheng58’ and ‘PH4CV’. Chin. Agric. Sci. Bull. 2017, 4, 10–16. [Google Scholar]





| Name | Origin | Name | Origin |
|---|---|---|---|
| KA008 | Shaan A | KB215 | Shaan B |
| 2012KA-1 | Shaan A | KB-7 | Shaan B |
| KA064 | Shaan A | KB020 | Shaan B |
| KA105 | Shaan A | 2013KB-37 | Shaan B |
| KA103 | Shaan A | 2013KB-47 | Shaan B |
| KA203 | Shaan A | KB043 | Shaan B |
| 2012KA-34 | Shaan A | Z140588 | Shaan B |
| 91227 | Shaan A | Z140580 | Shaan B |
| KA227 | Shaan A | 2013HXB-4 | Shaan B |
| KA225 | Shaan A | 2013ZZB-6 | Shaan B |
| XCA-1 | Shaan A | 2014KB-54 | Shaan B |
| KA060 | Shaan A | CHANG7-2 | Control |
| 2012KA-58 | Shaan A | PH6WC | Control |
| KB109 | Shaan B | PH4CV | Control |
| KB081 | Shaan B | ZHENG58 | Control |
| KB417 | Shaan B | - | - |
| Source of Variation | Degrees of Freedom | Sum of Squares (SS) | Percent of SS | Mean Squares | f-Value | p-Value |
|---|---|---|---|---|---|---|
| Genotype | 30 | 830,645.82 | 7.26 | 27,688.19 | 9.45 ** | <0.001 |
| Treatment | 1 | 1,476,044.02 | 12.89 | 1,476,044.02 | 503.93 ** | <0.001 |
| Environment | 5 | 6,420,688.39 | 56.09 | 1,284,137.68 | 438.42 ** | <0.001 |
| Genotype × environment | 150 | 1,088,776.84 | 9.51 | 7258.51 | 2.48 ** | <0.001 |
| Error | 557 | 1,631,477.52 | 14.25 | 2929.04 | - | - |
| Total | 743 | 11,447,632.59 | - | - | - | - |
| Name | CK-BLUP | DW-BLUP | SSI | YSI | TOL | MP | GMP | STI | DRI |
|---|---|---|---|---|---|---|---|---|---|
| KA008 | 4198.94 | 2881.19 | 1.30 | 0.69 | 1317.75 | 3540.06 | 3478.21 | 0.37 | 0.45 |
| 2012KA-1 | 5742.08 | 4088.46 | 1.19 | 0.71 | 1653.62 | 4915.27 | 4845.23 | 0.71 | 0.67 |
| KA046 | 5724.52 | 4066.64 | 1.20 | 0.71 | 1657.88 | 4895.58 | 4824.89 | 0.71 | 0.66 |
| KA105 | 6305.46 | 5064.91 | 0.81 | 0.80 | 1240.56 | 5685.18 | 5651.25 | 0.97 | 0.94 |
| KA103 | 6613.72 | 3816.05 | 1.75 | 0.58 | 2797.67 | 5214.89 | 5023.77 | 0.77 | 0.51 |
| KA203 | 5558.38 | 4510.26 | 0.78 | 0.81 | 1048.12 | 5034.32 | 5006.97 | 0.76 | 0.84 |
| 2012KA-34 | 5335.70 | 4566.70 | 0.60 | 0.86 | 769.00 | 4951.20 | 4936.25 | 0.74 | 0.90 |
| 2012KA-58 | 6221.28 | 5001.47 | 0.81 | 0.80 | 1219.81 | 5611.38 | 5578.13 | 0.95 | 0.92 |
| KA227 | 5633.92 | 4179.07 | 1.07 | 0.74 | 1454.85 | 4906.50 | 4852.27 | 0.72 | 0.71 |
| KA225 | 5813.08 | 4558.82 | 0.89 | 0.78 | 1254.26 | 5185.95 | 5147.89 | 0.81 | 0.82 |
| XCA-1 | 5905.73 | 4110.51 | 1.26 | 0.70 | 1795.22 | 5008.12 | 4927.02 | 0.74 | 0.66 |
| KA060 | 5596.00 | 4305.16 | 0.95 | 0.77 | 1290.84 | 4950.58 | 4908.33 | 0.73 | 0.76 |
| 91227 | 5565.99 | 4750.39 | 0.61 | 0.85 | 815.61 | 5158.19 | 5142.04 | 0.80 | 0.93 |
| KB109 | 5537.27 | 4163.95 | 1.02 | 0.75 | 1373.33 | 4850.61 | 4801.76 | 0.70 | 0.72 |
| KB081 | 6608.74 | 5290.66 | 0.82 | 0.80 | 1318.08 | 5949.70 | 5913.09 | 1.06 | 0.97 |
| KB417 | 6124.55 | 4617.82 | 1.02 | 0.75 | 1506.73 | 5371.19 | 5318.09 | 0.86 | 0.80 |
| KB215 | 6395.59 | 4663.10 | 1.12 | 0.73 | 1732.49 | 5529.34 | 5461.07 | 0.91 | 0.78 |
| KB-7 | 5795.07 | 4610.39 | 0.84 | 0.80 | 1184.68 | 5202.73 | 5168.90 | 0.81 | 0.84 |
| KB020 | 5792.72 | 4101.11 | 1.21 | 0.71 | 1691.61 | 4946.92 | 4874.07 | 0.72 | 0.67 |
| 2013KB-37 | 6020.39 | 5042.28 | 0.67 | 0.84 | 978.11 | 5531.33 | 5509.67 | 0.92 | 0.97 |
| 2013KB-47 | 6297.57 | 4736.68 | 1.02 | 0.75 | 1560.89 | 5517.13 | 5461.65 | 0.91 | 0.82 |
| KB043 | 4960.28 | 3888.77 | 0.89 | 0.78 | 1071.51 | 4424.52 | 4391.97 | 0.59 | 0.70 |
| Z140588 | 5671.59 | 4131.86 | 1.12 | 0.73 | 1539.73 | 4901.73 | 4840.89 | 0.71 | 0.69 |
| Z140580 | 5679.73 | 3650.75 | 1.48 | 0.64 | 2028.98 | 4665.24 | 4553.60 | 0.63 | 0.54 |
| 2013HXB-4 | 5105.21 | 4316.76 | 0.64 | 0.85 | 788.45 | 4710.99 | 4694.46 | 0.67 | 0.84 |
| 2013ZZB-6 | 5515.44 | 4550.02 | 0.72 | 0.82 | 965.43 | 5032.73 | 5009.53 | 0.76 | 0.86 |
| 2014KB-54 | 6127.38 | 4508.13 | 1.09 | 0.74 | 1619.26 | 5317.75 | 5255.76 | 0.84 | 0.76 |
| CHANG7-2 | 5222.69 | 4017.16 | 0.95 | 0.77 | 1205.54 | 4619.93 | 4580.44 | 0.64 | 0.71 |
| PH6WC | 6153.84 | 4386.85 | 1.19 | 0.71 | 1766.99 | 5270.35 | 5195.76 | 0.82 | 0.72 |
| PH4CV | 5239.79 | 3988.18 | 0.99 | 0.76 | 1251.61 | 4613.99 | 4571.35 | 0.63 | 0.70 |
| ZHENG58 | 5386.18 | 4222.06 | 0.89 | 0.78 | 1164.12 | 4804.12 | 4768.73 | 0.69 | 0.76 |
| CK-BLUP | DW-BLUP | SSI | YSI | TOL | MP | GMP | STI | DRI | |
|---|---|---|---|---|---|---|---|---|---|
| CK-BLUP | 1 | - | - | - | - | - | - | - | - |
| DW-BLUP | 0.621 ** | 1 | - | - | - | - | - | - | - |
| SSI | 0.205 | −0.637 ** | 1 | - | - | - | - | - | - |
| YSI | −0.203 | 0.637 ** | −0.999 ** | 1 | - | - | - | - | - |
| TOL | 0.501 ** | −0.368 * | 0.946 ** | −0.944 ** | 1 | - | - | - | - |
| MP | 0.908 ** | 0.893 ** | −0.223 | 0.225 | 0.091 | 1 | - | - | - |
| GMP | 0.872 ** | 0.925 ** | −0.297 | 0.298 | 0.014 | 0.997 ** | 1 | - | - |
| STI | 0.868 ** | 0.922 ** | −0.292 | 0.295 | 0.012 | 0.993 ** | 0.996 ** | 1 | - |
| DRI | 0.283 | 0.925 ** | −0.878 ** | 0.878 ** | −0.687 ** | 0.658 ** | 0.713 ** | 0.712 ** | 1 |
| Cumulative (%) | CK-BLUP | DW-BLUP | SSI | YSI | TOL | MP | GMP | STI | DRI | |
|---|---|---|---|---|---|---|---|---|---|---|
| Principal component 1 | 64.04% | 0.26 | 0.41 | −0.27 | 0.27 | −0.16 | 0.37 | 0.38 | 0.38 | 0.39 |
| Principal component 2 | 99.80% | 0.43 | 0.19 | 0.42 | −0.42 | 0.51 | 0.26 | 0.22 | 0.22 | −0.18 |
Publisher’s Note: MDPI stays neutral with regard to jurisdictional claims in published maps and institutional affiliations. |
© 2021 by the authors. Licensee MDPI, Basel, Switzerland. This article is an open access article distributed under the terms and conditions of the Creative Commons Attribution (CC BY) license (https://creativecommons.org/licenses/by/4.0/).
Share and Cite
Lao, Y.; Dong, Y.; Shi, Y.; Wang, Y.; Xu, S.; Xue, J.; Zhang, X. Evaluation of Drought Tolerance in Maize Inbred Lines Selected from the Shaan A Group and Shaan B Group. Agriculture 2022, 12, 11. https://doi.org/10.3390/agriculture12010011
Lao Y, Dong Y, Shi Y, Wang Y, Xu S, Xue J, Zhang X. Evaluation of Drought Tolerance in Maize Inbred Lines Selected from the Shaan A Group and Shaan B Group. Agriculture. 2022; 12(1):11. https://doi.org/10.3390/agriculture12010011
Chicago/Turabian StyleLao, Yonghui, Yuan Dong, Yaqin Shi, Yahui Wang, Shutu Xu, Jiquan Xue, and Xinghua Zhang. 2022. "Evaluation of Drought Tolerance in Maize Inbred Lines Selected from the Shaan A Group and Shaan B Group" Agriculture 12, no. 1: 11. https://doi.org/10.3390/agriculture12010011
APA StyleLao, Y., Dong, Y., Shi, Y., Wang, Y., Xu, S., Xue, J., & Zhang, X. (2022). Evaluation of Drought Tolerance in Maize Inbred Lines Selected from the Shaan A Group and Shaan B Group. Agriculture, 12(1), 11. https://doi.org/10.3390/agriculture12010011
