Evolution of Some Fruit Quality Parameters during Development and Ripening of Three Apricot Cultivars and Effect of Harvest Maturity on Postharvest Maturation
Abstract
:1. Introduction
2. Materials and Methods
2.1. Plant Material
2.2. Experimental Design
2.3. Standard Quality Evaluation
2.4. Determination of Chlorophyll and Carotenoid Content
2.5. Sensory Evaluation
2.6. Statistical Analysis
3. Results and Discussion
3.1. Morphological Changes during Fruit Growth
3.2. Changes in Quality during Growth and Fruit Ripening
3.2.1. Colour
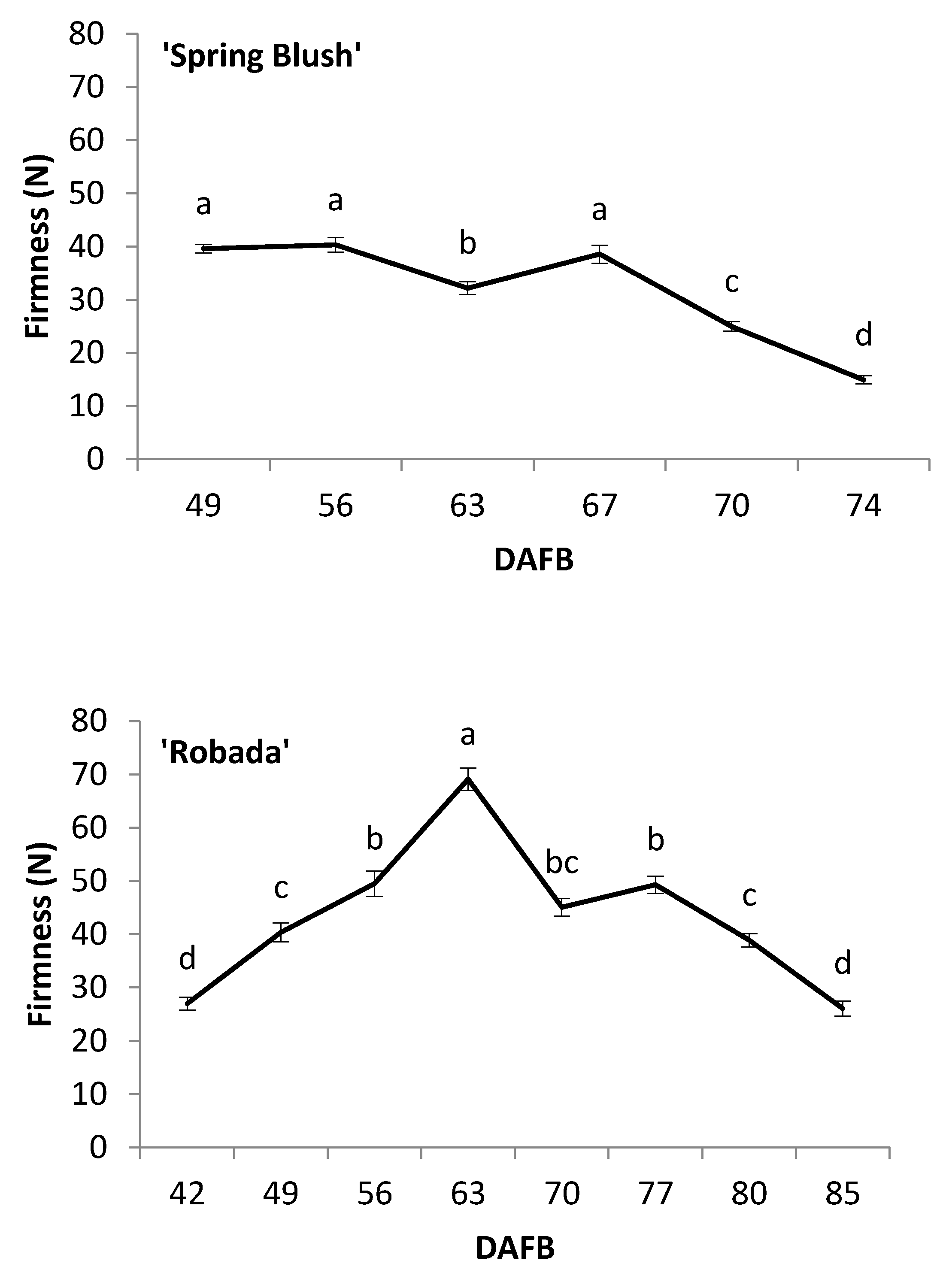
3.2.2. Firmness
3.2.3. Total Soluble Solids and Total Acidity
3.3. Changes in Quality during Shelf-Life
3.3.1. Weight Loss
3.3.2. Colour
3.3.3. Firmness
3.3.4. Total Soluble Solids and Total Acidity
3.3.5. Chlorophyll and Carotenoids
3.3.6. Sensory Analysis
3.3.7. Principal Component Analysis
4. Conclusions
Author Contributions
Funding
Institutional Review Board Statement
Informed Consent Statement
Data Availability Statement
Acknowledgments
Conflicts of Interest
References
- Food and Agriculture Organization of the United Nations. Available online: http://www.fao.org/faostat/en/#data/QL (accessed on 27 February 2021).
- Infante, R.; Meneses, C.; Defilippi, B.G. Effect of harvest maturity stage on the sensory quality of ‘Palsteyn’ apricot (Prunus armeniaca L.) after cold storage. J. Hortic. Sci. Biotechnol. 2008, 83, 828–832. [Google Scholar] [CrossRef]
- Aubert, C.; Bony, P.; Chalot, G.; Hero, V. Changes in physicochemical characteristics and volatile compounds of apricot (Prunus armeniaca L. cv. Bergeron) during storage and post-harvest maturation. Food Chem. 2010, 119, 1386–1398. [Google Scholar] [CrossRef]
- Muftuoğlu, F.; Ayhan, Z.; Eştürk, O. Modified Atmosphere Packaging of Kabaaşı Apricot (Prunus armeniaca L. ‘Kabaaşı’): Effect of Atmosphere, Packaging Material Type and Coating on the Physicochemical Properties and Sensory Quality. Food Bioprocess Technol. 2010, 5, 1601–1611. [Google Scholar] [CrossRef]
- Stanley, J.; Feng, J.; Olsson, S. Crop load and harvest maturity effects on consumer preferences for apricots. J. Sci. Food Agric. 2014, 95, 752–763. [Google Scholar] [CrossRef]
- Ruiz, D.; Egea, J. Phenotypic diversity and relationships of fruit quality traits in apricot (Prunus armeniaca L.) germplasm. Euphytica 2007, 163, 143–158. [Google Scholar] [CrossRef]
- Bianco, R.L.; Farina, V.; Indelicato, S.G.; Filizzola, F.; Agozzino, P. Fruit physical, chemical and aromatic attributes of early, intermediate and late apricot cultivars. J. Sci. Food Agric. 2010, 90, 1008–1019. [Google Scholar] [CrossRef]
- Melgarejo, P.; Calín-Sánchez, Á.; Carbonell-Barrachina, Á.A.; Nicolas, J.J.M.; Legua, P.; Martínez, R.; Hernández, F. Antioxidant activity, volatile composition and sensory profile of four new very-early apricots (Prunus armeniaca L.). J. Sci. Food Agric. 2013, 94, 85–94. [Google Scholar] [CrossRef] [PubMed]
- Crisosto, C.H.; Mitcham, E.J.; Kader, A.A. Recommendations for Maintaining Postharvest Quality. 2017. Available online: http://postharvest.ucdavis.edu/Commodity_Resources/Fact_Sheets/Datastores/Fruit_English/?uid=6&ds=798 (accessed on 10 June 2020).
- Dragovicuzelac, V.; Levaj, B.; Mrkic, V.; Bursac, D.; Boras, M.; Dragovicuzelac, V.; Levaj, B.; Mrkic, V.; Bursac, D.; Boras, M. The content of polyphenols and carotenoids in three apricot cultivars depending on stage of maturity and geographical region. Food Chem. 2007, 102, 966–975. [Google Scholar] [CrossRef]
- Ali, S.; Masud, T.; Abbasi, K.S. Physico-chemical characteristics of apricot (Prunus armeniaca L.) grown in Northern Areas of Pakistan. Sci. Hortic. 2011, 130, 386–392. [Google Scholar] [CrossRef]
- Ruiz, D.; Egea, J.; Tomas-Barberan, F.; Gil, M.I. Carotenoids from New Apricot (Prunus armeniaca L.) Varieties and Their Relationship with Flesh and Skin Color. J. Agric. Food Chem. 2005, 53, 6368–6374. [Google Scholar] [CrossRef] [PubMed]
- Sass-Kiss, A.; Kiss, J.; Milotay, P.; Kerek, M.; Toth-Markus, M. Differences in anthocyanin and carotenoid content of fruits and vegetables. Food Res. Int. 2005, 38, 1023–1029. [Google Scholar] [CrossRef]
- Bureau, S.; Renard, C.M.; Reich, M.; Ginies, C.; Audergon, J.-M. Change in anthocyanin concentrations in red apricot fruits during ripening. LWT 2009, 42, 372–377. [Google Scholar] [CrossRef]
- Zhou, W.; Niu, Y.; Ding, X.; Zhao, S.; Li, Y.; Fan, G.; Zhang, S.; Liao, K. Analysis of carotenoid content and diversity in apricots (Prunus armeniaca L.) grown in China. Food Chem. 2020, 330, 127223. [Google Scholar] [CrossRef] [PubMed]
- Ayour, J.; Sagar, M.; Alfeddy, M.N.; Taourirte, M.; Benichou, M. Evolution of pigments and their relationship with skin color based on ripening in fruits of different Moroccan genotypes of apricots (Prunus armeniaca L.). Sci. Hortic. 2016, 207, 168–175. [Google Scholar] [CrossRef]
- Roussos, P.A.; Sefferou, V.; Denaxa, N.-K.; Tsantili, E.; Stathis, V. Apricot (Prunus armeniaca L.) fruit quality attributes and phytochemicals under different crop load. Sci. Hortic. 2011, 129, 472–478. [Google Scholar] [CrossRef]
- Ruiz, D.; Egea, J.; Gil, M.I.; Tomas-Barberan, F. Characterization and Quantitation of Phenolic Compounds in New Apricot (Prunus armeniaca L.) Varieties. J. Agric. Food Chem. 2005, 53, 9544–9552. [Google Scholar] [CrossRef]
- Akin, E.B.; Karabulut, I.; Topcu, A. Some compositional properties of main Malatya apricot (Prunus armeniaca L.) varieties. Food Chem. 2008, 107, 939–948. [Google Scholar] [CrossRef]
- Milosevic, T.; Milosevic, N.; Glisic, I. Dynamic of Fruit Growth and Internal Fruit Quality of Apricot Trees Grafted on Rootstock or with Interstem. J. Agric. Sci. Tech. 2013, 15, 311–321. [Google Scholar]
- Muñoz-Robredo, P.; Rubio, P.; Infante, R.; Campos-Vargas, R.; Manríquez, D.; González-Agüero, M.; Defilippi, B. Ethylene biosynthesis in apricot: Identification of a ripening-related 1-aminocyclopropane-1-carboxylic acid synthase (ACS) gene. Postharvest Biol. Technol. 2012, 63, 85–90. [Google Scholar] [CrossRef]
- Fernández-León, M.F.; Lozano, M.; Ayuso, M.C.; Fernández-León, A.M.; González-Gómez, D. Fast and accurate alternative UV-chemometric method for the determination of chlorophyll A and B in broccoli (Brassica oleracea Italica) and cabbage (Brassica oleracea Sabauda) plants. J. Food Compos. Anal. 2010, 23, 809–813. [Google Scholar] [CrossRef]
- Bohoyo, D.; Dominguez-Valhondo, D.; García-Parra, J.J.; González-Gómez, D. UHPLC as a suitable methodology for the analysis of carotenoids in food matrix. Eur. Food Res. Technol. 2012, 235, 1055–1061. [Google Scholar] [CrossRef]
- Drogoudi, P.D.; Vemmos, S.; Pantelidis, G.; Petri, E.; Tzoutzoukou, C.; Karayiannis, I. Physical Characters and Antioxidant, Sugar, and Mineral Nutrient Contents in Fruit from 29 Apricot (Prunus armeniaca L.) Cultivars and Hybrids. J. Agric. Food Chem. 2008, 56, 10754–10760. [Google Scholar] [CrossRef] [PubMed]
- Zhebentyayeva, T.; Ledbetter, C.; Burgos, L.; Llacer, G. Apricot. Fruit Breed. 2011, 12, 415–458. [Google Scholar] [CrossRef]
- Iglesias, I.; Echeverría, G. Differential effect of cultivar and harvest date on nectarine colour, quality and consumer acceptance. Sci. Hortic. 2009, 120, 41–50. [Google Scholar] [CrossRef]
- Giménez, M.; Valverde, J.; Valero, D.; Díaz-Mula, H.; Zapata, P.J.; Serrano, M.; Moral, J.; Castillo, S. Methyl salicylate treatments of sweet cherry trees improve fruit quality at harvest and during storage. Sci. Hortic. 2015, 197, 665–673. [Google Scholar] [CrossRef]
- González-Agüero, M.; Troncoso, S.; Gudenschwager, O.; Campos-Vargas, R.; Moya-León, M.; Defilippi, B. Differential expression levels of aroma-related genes during ripening of apricot (Prunus armeniaca L.). Plant Physiol. Biochem. 2009, 47, 435–440. [Google Scholar] [CrossRef]
- Ayour, J.; Sagar, M.; Harrak, H.; Alahyane, A.; Alfeddy, M.N.; Taourirte, M.; Benichou, M. Evolution of some fruit quality criteria during ripening of twelve new Moroccan apricot clones (Prunus armeniaca L.). Sci. Hortic. 2017, 215, 72–79. [Google Scholar] [CrossRef]
- Valdenegro, M.; Egea, I.; Sánchez-Bel, P.; Martínez, M.; Romojaro, F. Respuesta a tratamientos de etileno y 1-Metilciclopropeno del albaricoque var. Mauricio. Hortic. Int. 2006, 51, 72–73. [Google Scholar]
- Quiles-Bernabéu, R. Tratamientos Pre-Cosecha con Elicitores para Mejorar la Calidad de Albaricoques en el Momento de la Recolección; Trabajo; Fin de Grado en Biotecnología, Universidad Miguel Hernández: Elche, Alicante, Spain, 2017. [Google Scholar]
- Huang, Z.; Wang, Q.; Xia, L.; Hui, J.; Li, J.; Feng, Y.; Chen, Y. Preliminarily exploring of the association between sugars and anthocyanin accumulation in apricot fruit during ripening. Sci. Hortic. 2019, 248, 112–117. [Google Scholar] [CrossRef]
- Fan, X.; Shu, C.; Zhao, K.; Wang, X.; Cao, J.; Jiang, W. Regulation of apricot ripening and softening process during shelf life by post-storage treatments of exogenous ethylene and 1-methylcyclopropene. Sci. Hortic. 2018, 232, 63–70. [Google Scholar] [CrossRef]
- Kopsell, D.A.; Kopsell, D.E. Carotenoids in Vegetables. In Bioactive Foods in Promoting Health; Academic Press, 2010; pp. 645–662. Available online: https://www.sciencedirect.com/science/article/pii/B9780123746283000463 (accessed on 5 July 2021).
- Crisosto, C.H.; Garner, D.; Crisosto, G.M.; Bowerman, E. Increasing “Black amber” plum (Prunus salicina Lindell) consumer acceptance. Postharvest Biol. Technol. 2004, 34, 237–244. [Google Scholar] [CrossRef]












| Cultivar | DAFB | Fruit Length (mm) | Fruit Diameter (mm) | Fruit Weight (g) | Seed Length (mm) | Seed Width (mm) | Mesocarp Thickness (mm) |
|---|---|---|---|---|---|---|---|
| ‘Spring Blush’ | 35 | 27.3 f ± 2.4 | 23.3 g ± 2.3 | 6.9 g ± 1.9 | 13.3 d ± 1.4 | 9.7 d ± 1.6 | 7.6 d ± 0.7 |
| 42 | 34.0 e ± 1.9 | 32.9 f ± 2.0 | 17.3 f ± 2.9 | 16.7 c ± 1.2 | 13.2 c ± 0.8 | 8.6 d ± 1.0 | |
| 49 | 36.3 d ± 1.8 | 36.2 e ± 2.1 | 22.7 e ± 3.8 | 23.3 b ± 2.6 | 19.6 b ± 1.9 | 10.3 c ± 1.5 | |
| 56 | 38.4 c ± 2.4 | 38.3 d ± 2.6 | 28.7 d ± 5.1 | 25.4 a ± 5.0 | 21.7 a ± 4.6 | 10.8 c ± 2.5 | |
| 63 | 42.8 b ± 2.8 | 42.5 c ± 3.4 | 40.3 c ± 8.7 | 26.5 a ± 1.8 | 22.4 a ± 1.9 | 12.5 b ± 1.5 | |
| 67 | 45.6 a ± 2. 3 | 46.3 b ± 2.1 | 51.1 b ± 6.4 | 26.6 a ± 1.6 | 22.6 a ± 2.0 | 12.4 b ± 1.4 | |
| 70 | 45.5 a ± 2.4 | 46.6 b ± 2.6 | 52.8 b ± 7.4 | 26.8 a ± 1.5 | 23.0 a ± 1.5 | 14.7 a ± 1.2 | |
| 74 | 46.6 a ± 1.7 | 48.4 a ± 1.8 | 58.0 a ± 5.0 | 26.4 a ± 1.5 | 23.2 a ± 1.7 | 14.5 a ± 1.8 | |
| ‘Robada’ | 28 | 23.9 h ± 1.8 | 18.5 h ± 2.0 | 4.1 h ± 1.2 | 12.2 e ± 1.6 | 8.5 e ± 1.3 | 5.4 g ± 0.7 |
| 35 | 31.8 g ± 2.2 | 29.4 g ± 3.2 | 13.8 g ± 3.5 | 16.5 d ± 2.1 | 13.5 d ± 1.4 | 8.1 f ± 1.1 | |
| 42 | 35.6 f ± 2.7 | 34.1 f ± 3.3 | 21.0 fg ± 5.3 | 18.1 c ± 2.7 | 14.4 d ± 1.9 | 7.6 f ± 1.4 | |
| 49 | 38.4 e ± 2.3 | 37.9 e ± 2.9 | 28.3 f ± 5.4 | 24.7 b ± 1.8 | 20.2 c ± 1.2 | 9.4 e ± 1.3 | |
| 56 | 40.4 d ± 2.9 | 41.8 d ± 3.2 | 37.6 e ± 7.0 | 25.4 b ± 2.4 | 21.3 b ± 2.1 | 11.9 d ± 1.3 | |
| 63 | 45.1 c ± 1.8 | 46.3 c ± 2.6 | 51.1 d ± 6.9 | 27.8 a ± 2.1 | 23.4 a ± 1.6 | 12.7 cd ± 1.6 | |
| 70 | 44.3 c ± 3.2 | 46.8 c ± 4.7 | 55.6 d ± 14.5 | 27.2 a ± 1.7 | 22.5 a ± 1.7 | 13.4 c ± 1.6 | |
| 77 | 49.0 b ± 2.7 | 48.9 c ± 6.8 | 66.7 c ± 9.1 | 27.0 a ± 1.5 | 23.0 a ± 1.3 | 15.7 b ± 1.8 | |
| 80 | 49.2 b ± 2.1 | 53.1 b ± 2.3 | 76.6 b ± 16.7 | 28.5 a ± 1.8 | 23.2 a ± 1.3 | 16.5 b ± 1.9 | |
| 84 | 54.1 a ± 2.2 | 57.3 a ± 2.3 | 96.1 a ± 9.6 | 28.2 a ± 1.3 | 23.4 a ± 1.3 | 18.2 a ± 0.8 | |
| ‘Kioto’ | 42 | 35.4 e ± 3.1 | 34.1 f ± 3.0 | 21.0 g ± 5.0 | 25.6 c ± 2.2 | 20.3 d ± 2.2 | 7.1 f ± 1.1 |
| 49 | 37.3 d ± 2.7 | 37.4 e ± 2.6 | 27.8 f ± 4.9 | 26.0 bc ± 2.1 | 21.1 cd ± 1.7 | 8.4 e ± 1.8 | |
| 56 | 42.9 c ± 1.8 | 43.1 d ± 1.9 | 40.6 e ± 5.3 | 26.5 bc ± 2.4 | 21.7 bc ± 2.5 | 11.6 d ± 1.5 | |
| 63 | 44.2 c ± 2.1 | 44.8 c ± 2.2 | 46.5 dc ± 7.2 | 27.3 ab ± 1.3 | 22.7 ab ± 1.4 | 12.7 cd ± 1.6 | |
| 70 | 43.6 c ± 1.8 | 45.1 c ± 2.3 | 47.7 d ± 6.8 | 26.3 bc ± 1.5 | 22.3 abc ± 1.7 | 13.3 c ± 1.8 | |
| 77 | 50.2 b ± 2.0 | 50.2 b ± 1.6 | 65.4 c ± 6.1 | 27.1 ab ± 0.8 | 22.6 ab ± 1.1 | 15.7 b ± 1.2 | |
| 80 | 54.7 a ± 2.4 | 56.3 a ± 2.8 | 91.3 b ± 10.9 | 28.2 a ± 1.2 | 23.3 a ± 1.3 | 18.1 a ± 3.2 | |
| 84 | 53.9 a ± 2.6 | 57.5 a ± 2.8 | 97.4 a ± 11.3 | 27.0 ab ± 2.1 | 21.6 bc ± 1.6 | 18.4 a ± 1.8 |
| Cultivar | Harvest | Shelf-Life | Weight Loss 1 (%) | TSS 2 (°Brix) | TA 2 (% malic) | L* 1 | C* 1 | H° 1 | Fp 1 (N) |
|---|---|---|---|---|---|---|---|---|---|
| ‘Spring Blush’ | −6 | 0 | -- | 7.98 bc ± 0.32 | 2.07 bc ± 0.06 | 58.60 c ± 1.48 | 37.85 c ± 0.30 | 108.27 a ± 1.54 | 47.69 a ± 2.12 |
| 3 | 5.91 ± 0.05 | 7.56 c ± 0.04 | 2.17 ab ± 0.06 | 58.59 c ± 0.87 | 38.31 c ± 0.52 | 98.18 b ± 3.00 | 37.21 b ± 2.82 | ||
| 5 | 10.00 ± 0.10 | 8.40 abc ± 0.26 | 2.30 a ± 0.09 | 59.15 c ± 0.06 | 41.50 ab ± 0.72 | 88.50 c ± 3.16 | 31.24 cd ± 2.64 | ||
| −3 | 0 | -- | 8.95 ab ± 0.30 | 2.06 bc ± 0.02 | 60.33 abc ± 0.38 | 39.75 bc ± 0.60 | 96.24 b ± 1.95 | 34.95 bc ± 1.53 | |
| 3 | 5.07 ± 0.29 | 8.90 ab ± 0.71 | 2.03 bc ± 0.03 | 59.94 bc ± 0.49 | 41.80 ab ± 0.76 | 87.17 c ± 0.79 | 23.40 e ± 2.14 | ||
| 5 | 11.52 ± 0.69 | 9.25 a ± 0.48 | 1.93 c ± 0.10 | 62.78 a ± 0.98 | 47.18 a ± 0.33 | 77.76 d ± 2.91 | 5.62 g ± 1.41 | ||
| 0 | 0 | -- | 7.58 c ± 0.33 | 1.70 d ± 0.11 | 61.90 ab ± 0.89 | 41.19 ab ± 0.89 | 92.28 bc ± 3.28 | 28.63 de ± 1.59 | |
| 3 | 5.87 ± 0.54 | 8.57 abc ± 0.38 | 1.68 d ± 0.03 | 62.72 a ± 0.37 | 46.63 a ± 1.49 | 79.26 d ± 1.81 | 11.83 f ± 2.04 | ||
| 5 | 9.64 ± 0.69 | 9.28 a ± 0.24 | 1.66 d ± 0.03 | 60.83 abc ± 1.38 | 48.19 a ± 0.20 | 73.80 d ± 1.91 | 3.95 g ± 0.40 | ||
| ‘Robada’ | −6 | 0 | -- | 7.38 bc ± 0.23 | 1.75 a ± 0.05 | 58.54 c ± 1.12 | 37.58 c ± 1.58 | 111.97 a ± 0.59 | 44.53 a ± 3.74 |
| 3 | 4.99 ± 0.49 | 7.77 ab ± 0.10 | 1.70 ab ± 0.03 | 59.79 bc ± 0.63 | 38.96 ab ± 0.80 | 104.76 bc ± 0.62 | 38.08 b ± 1.83 | ||
| 5 | 9.17 ± 0.80 | 7.77 ab ± 0.25 | 1.71 ab ± 0.07 | 58.33 c ± 0.48 | 38.62 ab ± 0.57 | 97.13 de ± 0.77 | 32.39 cd ± 1.41 | ||
| −3 | 0 | -- | 7.07 c ± 0.25 | 1.58 bc ± 0.03 | 61.68 ab ± 0.70 | 40.68 ab ± 0.77 | 107.85 b ± 1.29 | 36.63 bc ± 1.25 | |
| 3 | 3.66 ± 0.13 | 7.48 abc ± 0.20 | 1.62 abc ± 0.03 | 60.54 bc ± 1.64 | 39.67 ab ± 0.91 | 99.92 d ± 1.76 | 34.33 bcd ± 0.77 | ||
| 5 | 6.15 ± 0.12 | 7.47 abc ± 0.13 | 1.58 bc ± 0.03 | 59.91 bc ± 0.86 | 40.19 b ± 0.29 | 94.25 ef ± 1.34 | 30.24 de ± 1.86 | ||
| 0 | 0 | -- | 7.50 abc ± 0.20 | 1.55 c ± 0.02 | 63.47 a ± 0.52 | 39.35 ab ± 0.49 | 101.03 cd ± 1.67 | 29.56 de ± 0.31 | |
| 3 | 4.34 ± 0.18 | 7.52 abc ± 0.18 | 1.51 c ± 0.08 | 61.71 ab ± 0.58 | 40.77 ab ± 0.48 | 92.88 f ± 2.45 | 26.62 ef ± 1.81 | ||
| 5 | 9.05 ± 0.36 | 8.00 a ± 0.23 | 1.60 bc ± 0.05 | 60.15 bc ± 0.45 | 42.65 a ± 0.14 | 85.36 g ± 1.05 | 22.01 f ± 1.33 | ||
| ‘Kioto’ | −6 | 0 | -- | 7.18 c ± 0.14 | 2.45 a ± 0.06 | 61.44 cde ± 0.41 | 39.31 d ± 0.67 | 111.60 a ± 0.66 | 53.70 a ± 2.54 |
| 3 | 4.52 ± 0.26 | 7.22 c ± 0.03 | 2.49 a ± 0.04 | 60.93 de ± 0.42 | 40.10 d ± 0.28 | 106.60 b ± 1.59 | 49.69 ab ± 0.97 | ||
| 5 | 10.45 ± 0.52 | 7.43 c ± 0.28 | 2.51 a ± 0.04 | 60.19 e ± 0.92 | 40.64 d ± 0.62 | 99.45 d ± 1.78 | 46.50 b ± 2.14 | ||
| −3 | 0 | -- | 9.32 b ± 0.34 | 2.08 cd ± 0.14 | 62.91 bc ± 0.34 | 46.41 c ± 0.49 | 86.34 d ± 0.65 | 32.18 c ± 2.80 | |
| 3 | 3.55 ± 0.31 | 9.70 b ± 0.05 | 2.23 bc ± 0.06 | 61.82 cd ± 0.31 | 47.21 c ± 0.21 | 81.58 e ± 0.61 | 28.92 cd ± 2.55 | ||
| 5 | 6.01 ± 0.47 | 9.52 b ± 0.18 | 2.31 ab ± 0.02 | 61.58 cde ± 0.81 | 48.78 b ± 0.62 | 77.72 f ± 0.37 | 26.55 cd ± 1.36 | ||
| 0 | 0 | -- | 10.93 a ± 0.30 | 1.93 d ± 0.08 | 65.90 a ± 0.34 | 53.33 a ± 0.63 | 76.80 fg ± 0.63 | 23.86 d ± 1.35 | |
| 3 | 2.76 ± 0.16 | 11.65 a ± 0.22 | 2.07 cd ± 0.10 | 65.25 a ± 0.40 | 54.57 a ± 0.70 | 74.07 gh ± 0.65 | 16.32 e ± 1.75 | ||
| 5 | 5.90 ± 0.42 | 11.67 a ± 0.62 | 2.12 bcd ± 0.07 | 63.68 b ± 0.47 | 54.41 a ± 0.39 | 71.47 h ± 0.93 | 8.93 f ± 2.25 |
| Cultivar | Harvest | Shelf-Life | Chlorophyll a (µg/g) | Chlorophyll b (µg/g) | Lutein (µg/g) | Carotene (µg/g) |
|---|---|---|---|---|---|---|
| ‘Spring Blush’ | −6 | 0 | 5.62 a ± 0.26 | 2.69 a ± 0.35 | 0.34 a ± 0.06 | 4.67 c ± 0.91 |
| 3 | 4.41 ab ± 0.11 | 1.48 bc ± 0.10 | 0.36 a ± 0.09 | 9.39 c ± 4.79 | ||
| 5 | 3.33 cde ± 0.36 | 1.10 c ± 0.19 | 0.29 ab ± 0.04 | 11.74 bc ± 1.76 | ||
| −3 | 0 | 3.68 bcd ± 0.04 | 1.86 b ± 0.13 | 0.36 a ± 0.04 | 10.48 c ± 3.82 | |
| 3 | 2.49 de ± 0.10 | 1.28 c ± 0.31 | 0.21 bc ± 0.04 | 24.44 a ± 1.68 | ||
| 5 | 2.06 e ± 0.79 | 1.24 c ± 0.12 | 0.14 c ± 0.02 | 8.55 c ± 3.39 | ||
| 0 | 0 | 4.25 abc ± 1.14 | 2.61 a ± 0.04 | 0.27 ab ± 0.00 | 10.29 c ± 2.63 | |
| 3 | 2.03 e ± 0.04 | 1.24 c ± 0.09 | 0.19 bc ± 0.01 | 22.65 ab ± 6.28 | ||
| 5 | 0.36 f ± 0.06 | 0.30 d ± 0.24 | 0.09 c ± 0.03 | 24.76 a ± 7.41 | ||
| ‘Robada’ | −6 | 0 | 5.75 a ± 0.42 | 1.77 ab ± 0.45 | 0.62 a ± 0.04 | 2.41 b ± 0.19 |
| 3 | 4.44 b ± 0.33 | 1.53 abc ± 0.15 | 0.37 b ± 0.06 | 6.27 ab ± 2.99 | ||
| 5 | 3.95 bc ± 0.10 | 1.85 a ± 0.26 | 0.35 b ± 0.03 | 7.81 ab ± 5.23 | ||
| −3 | 0 | 3.66 bcd ± 0.28 | 1.42 abc ± 0.04 | 0.33 b ± 0.04 | 2.30 b ± 0.26 | |
| 3 | 3.59 bcd ± 0.30 | 1.18 cd ± 0.11 | 0.30 bc ± 0.04 | 9.38 ab ± 1.07 | ||
| 5 | 3.36 bcd ± 0.37 | 1.16 cd ± 0.20 | 0.28 bcd ± 0.03 | 8.68 ab ± 3.90 | ||
| 0 | 0 | 3.00 cde ± 0.71 | 1.15 cd ± 0.00 | 0.18 d ± 0.01 | 5.36 ab ± 0.89 | |
| 3 | 2.16 e ± 0.20 | 0.64 e ± 0.07 | 0.20 cd ± 0.05 | 14.41 a ± 7.04 | ||
| 5 | 2.66 de ± 0.50 | 1.25 bc ± 0.01 | 0.18 d ± 0.01 | 15.96 a ± 5.97 | ||
| ‘Kioto’ | −6 | 0 | 6.88 a ± 1.10 | 2.50 a ± 0.38 | 0.62 a ± 0.09 | 2.57 d ± 0.78 |
| 3 | 5.51 b ± 0.21 | 1.96 ab ± 0.14 | 0.29 b ± 0.04 | 6.11 d ± 0.26 | ||
| 5 | 4.40 b ± 0.31 | 1.61 bc ± 0.09 | 0.23 bc ± 0.05 | 6.56 cd ± 0.94 | ||
| −3 | 0 | 2.40 c ± 0.22 | 1.01 cd ± 0.08 | 0.26 bc ± 0.02 | 20.08 abc ± 3.35 | |
| 3 | 2.46 c ± 0.17 | 1.27 bc ± 0.30 | 0.17 bcd ± 0.01 | 15.35 bcd ± 1.22 | ||
| 5 | 2.00 c ± 0.12 | 1.21 cd ± 0.12 | 0.15 cde ± 0.02 | 15.37 bcd ± 3.66 | ||
| 0 | 0 | 1.59 cd ± 0.09 | 1.60 bc ± 0.37 | 0.17 cd ± 0.02 | 21.08 ab ± 5.03 | |
| 3 | 1.61 cd ± 0.14 | 1.96 ab ± 0.27 | 0.08 de ± 0.00 | 32.42 a ± 5.84 | ||
| 5 | 0.58 d ± 0.07 | 0.52 d ± 0.21 | 0.05 e ± 0.04 | 27.62 ab ± 11.11 |
Publisher’s Note: MDPI stays neutral with regard to jurisdictional claims in published maps and institutional affiliations. |
© 2021 by the authors. Licensee MDPI, Basel, Switzerland. This article is an open access article distributed under the terms and conditions of the Creative Commons Attribution (CC BY) license (https://creativecommons.org/licenses/by/4.0/).
Share and Cite
Velardo-Micharet, B.; Agudo-Corbacho, F.; Ayuso-Yuste, M.C.; Bernalte-García, M.J. Evolution of Some Fruit Quality Parameters during Development and Ripening of Three Apricot Cultivars and Effect of Harvest Maturity on Postharvest Maturation. Agriculture 2021, 11, 639. https://doi.org/10.3390/agriculture11070639
Velardo-Micharet B, Agudo-Corbacho F, Ayuso-Yuste MC, Bernalte-García MJ. Evolution of Some Fruit Quality Parameters during Development and Ripening of Three Apricot Cultivars and Effect of Harvest Maturity on Postharvest Maturation. Agriculture. 2021; 11(7):639. https://doi.org/10.3390/agriculture11070639
Chicago/Turabian StyleVelardo-Micharet, Belén, Francisco Agudo-Corbacho, M. Concepción Ayuso-Yuste, and María Josefa Bernalte-García. 2021. "Evolution of Some Fruit Quality Parameters during Development and Ripening of Three Apricot Cultivars and Effect of Harvest Maturity on Postharvest Maturation" Agriculture 11, no. 7: 639. https://doi.org/10.3390/agriculture11070639
APA StyleVelardo-Micharet, B., Agudo-Corbacho, F., Ayuso-Yuste, M. C., & Bernalte-García, M. J. (2021). Evolution of Some Fruit Quality Parameters during Development and Ripening of Three Apricot Cultivars and Effect of Harvest Maturity on Postharvest Maturation. Agriculture, 11(7), 639. https://doi.org/10.3390/agriculture11070639

