Effect of Nitrogen Fertilization on the Dynamics of Concentration and Uptake of Selected Microelements in the Biomass of Miscanthus x giganteus
Abstract
1. Introduction
2. Materials and Methods
2.1. Field Experiment Site and Fertilization Treatments of Miscanthus x giganteus
2.2. Chemical Analysis of Plant Material
2.3. Statistical Analysis
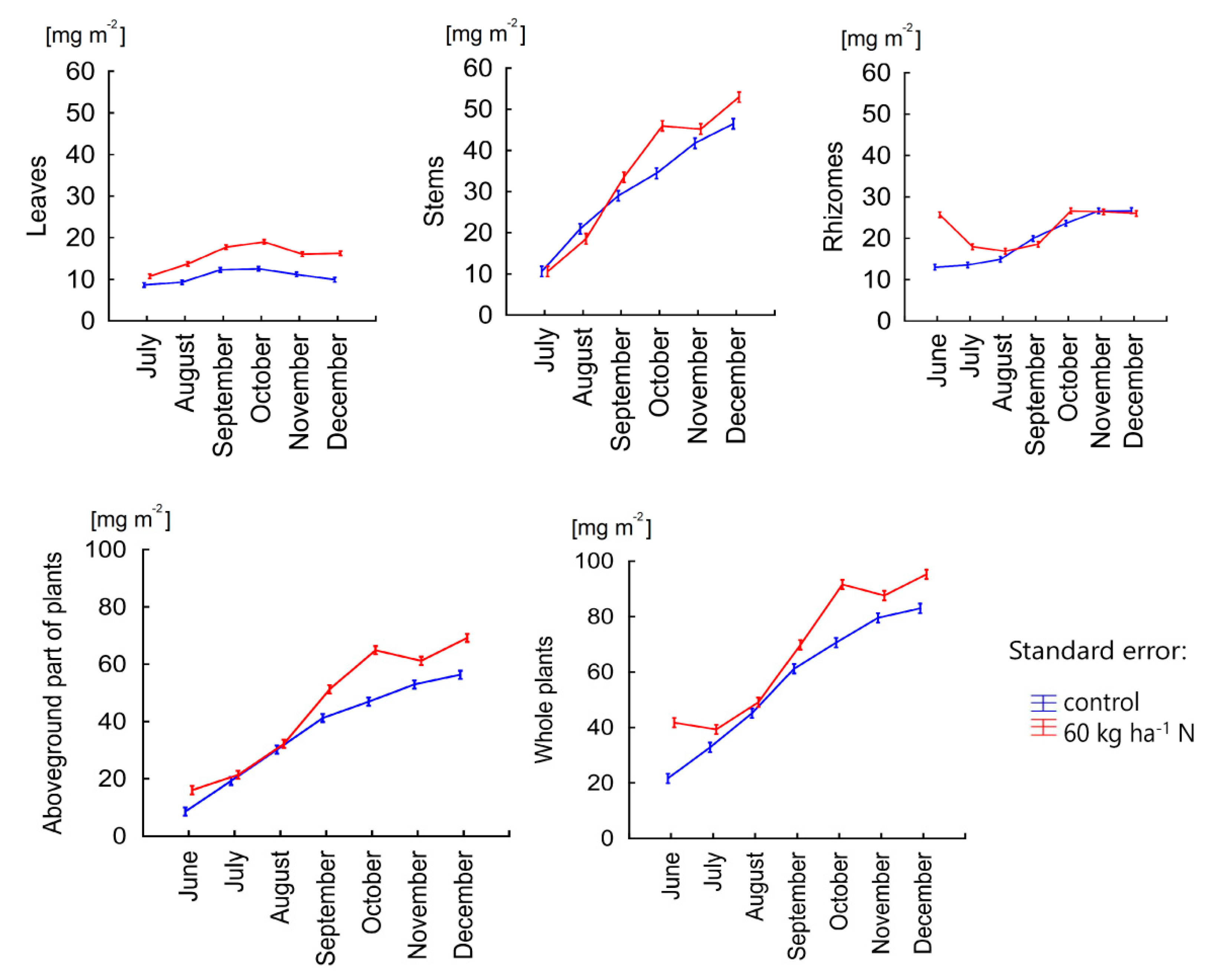
3. Results
3.1. The Effect of Nitrogen Fertilization on the Concentration and Uptake of Selected Microelements
3.2. Microelement Concentration and Uptake in Different Parts of Miscanthus x giganteus
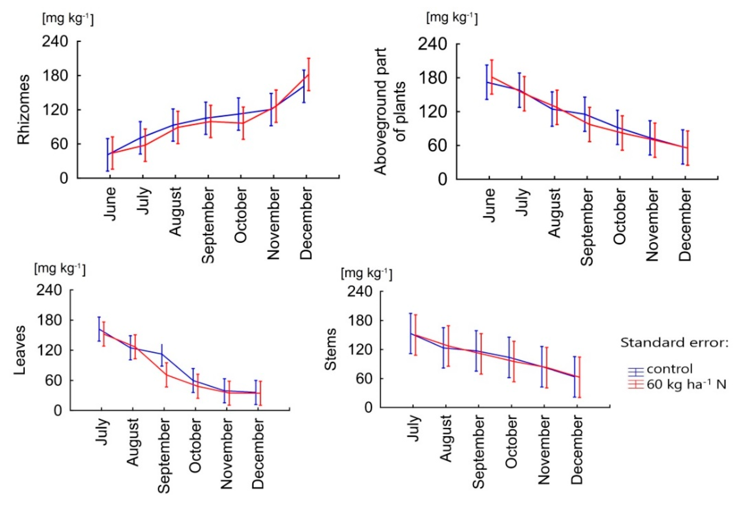
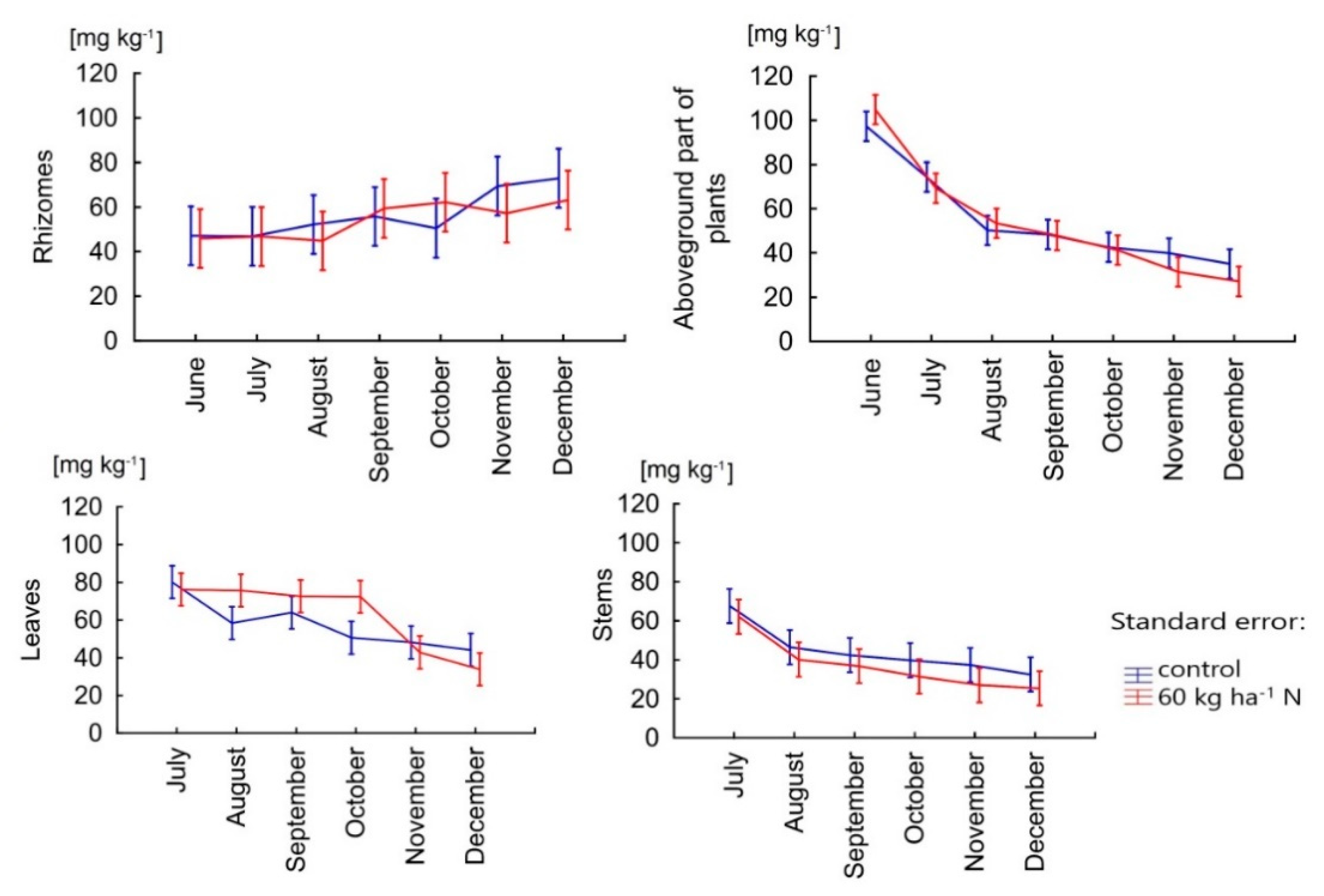
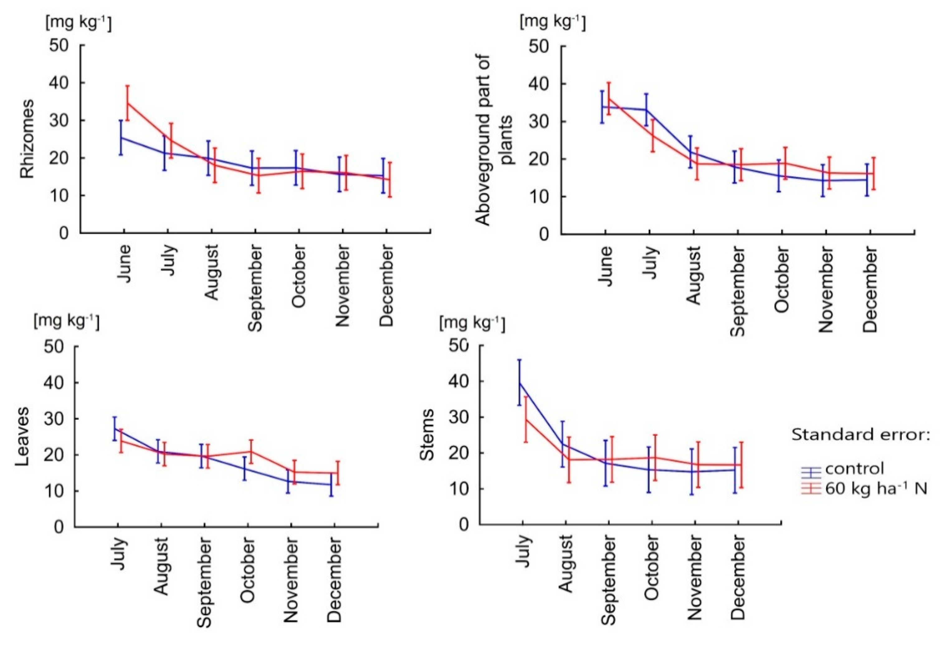
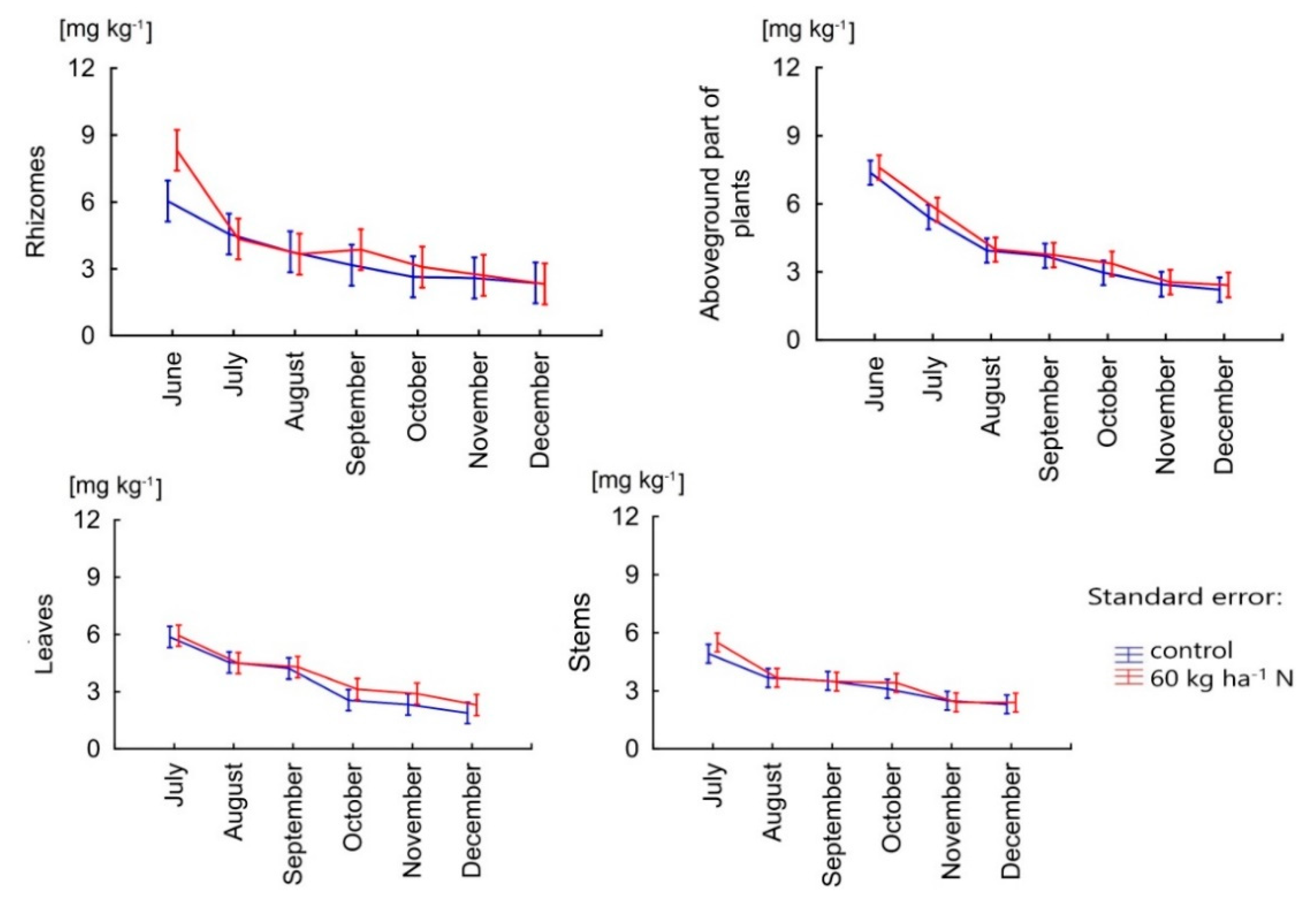
3.3. Seasonal Variations in Micronutrients Content and Uptake
4. Discussion
5. Conclusions
Author Contributions
Funding
Institutional Review Board Statement
Informed Consent Statement
Data Availability Statement
Conflicts of Interest
References
- Heaton, E. A quantitative review comparing the yields of two candidate C4 perennial biomass crops in relation to nitrogen, temperature and water. Biomass Bioenergy 2004, 27, 21–30. [Google Scholar] [CrossRef]
- Pyter, R.; Heaton, E.; Dohleman, F.; Voigt, T.; Long, S. Agronomic experiences with Miscanthus x giganteus in Illinois, USA. Methods Mol. Biol. 2009, 581, 41–52. [Google Scholar]
- Paine, L.K.; Peterson, T.L.; Undersander, D.J.; Rineer, K.C.; Bartelt, G.A.; Temple, S.A.; Sample, D.W.; Klemme, R.M. Some ecological and socio-economic considerations for biomass energy crop production. Biomass Bioenergy 1996, 10, 231–242. [Google Scholar] [CrossRef]
- Gelfand, I.; Sahajpal, R.; Zhang, X.; Izaurralde, R.C.; Gross, K.L.; Robertson, G.P. Sustainable bioenergy production from marginal lands in the US Midwest. Nature 2013, 493, 514–517. [Google Scholar] [CrossRef]
- Demirbaş, A. Potential applications of renewable energy sources, biomass combustion problems in boiler power systems and combustion related environmental issues. Prog. Energy Combust. Sci. 2005, 31, 171–192. [Google Scholar] [CrossRef]
- Demirbaş, A. Biomass resource facilities and biomass conversion processing for fuels and chemicals. Energy Convers. Manag. 2001, 42, 1357–1378. [Google Scholar] [CrossRef]
- Saletnik, B.; Zagula, G.; Bajcar, M.; Czernicka, M.; Puchalski, C. Biochar and Biomass Ash as a Soil Ameliorant: The Effect on Selected Soil Properties and Yield of Giant Miscanthus (Miscanthus x giganteus). Energies 2018, 11, 2535. [Google Scholar] [CrossRef]
- Ramage, J.; Scurlock, J. Renewable Energy-Power for a Sustainable Future; Boyle, G., Ed.; Oxford University Press: Oxford, UK, 1996. [Google Scholar]
- McKendry, P. Energy production from biomass (part 1): Overview of biomass. Bioresour. Tech. 2002, 83, 37–46. [Google Scholar] [CrossRef]
- Anderson, E.; Arundale, R.; Maughan, M.; Oladeinde, A.; Wycislo, A.; Voigt, T. Growth and agronomy of Miscanthus x giganteus for biomass production. Biofuels 2014, 2, 71–87. [Google Scholar] [CrossRef]
- Kocoń, A.; Jurga, B. The evaluation of growth and phytoextraction potential of Miscanthus x giganteus and Sida hermaphrodita on soil contaminated simultaneously with Cd, Cu, Ni, Pb, and Zn. Environ. Sci. Pollut. Res. Int. 2017, 24, 4990–5000. [Google Scholar] [CrossRef]
- Dohleman, F.G.; Long, S.P. More productive than maize in the Midwest: How does Miscanthus do it? Plant Physiol. 2009, 150, 2104–2115. [Google Scholar] [CrossRef]
- Sage, R.F.; Christin, P.-A.; Edwards, E.J. The C(4) plant lineages of planet Earth. J. Exp. Bot. 2011, 62, 3155–3169. [Google Scholar] [CrossRef]
- Iqbal, Y.; Lewandowski, I. Inter-annual variation in biomass combustion quality traits over five years in fifteen Miscanthus genotypes in south Germany. Fuel Process Technol. 2014, 121, 47–55. [Google Scholar] [CrossRef]
- Dzeletovic, Z.; Glamoclija, D. Effect of nitrogen on the distribution of biomass and element composition of the root system of Miscanthus × giganteus. Arch. Biol. Sci. (Beogr.) 2015, 67, 547–560. [Google Scholar] [CrossRef]
- Saxena, R.C.; Adhikari, D.K.; Goyal, H.B. Biomass-based energy fuel through biochemical routes: A review. Renew. Sustain. Energy Rev. 2009, 13, 167–178. [Google Scholar] [CrossRef]
- Strašil, Z. Evaluation of Miscanthus grown for energy use. Res. Agr. Eng. 2016, 62, 92–97. [Google Scholar] [CrossRef]
- Kludze, H.; Deen, B.; Dutta, A. Impact of agronomic treatments on fuel characteristics of herbaceous biomass for combustion. Fuel Process Technol. 2013, 109, 96–102. [Google Scholar] [CrossRef]
- Jenkins, B.M.; Baxter, L.L.; Miles, T.R. Combustion properties of biomass. Fuel Process Technol. 1998, 54, 17–46. [Google Scholar] [CrossRef]
- Lewandowski, I.; Heinz, A. Delayed harvest of Miscanthus—influences on biomass quantity and quality and environmental impacts of energy production. Eur. J. Agron. 2003, 19, 45–63. [Google Scholar] [CrossRef]
- Baxter, X.C.; Darvell, L.I.; Jones, J.M.; Barraclough, T.; Yates, N.E.; Shield, I. Miscanthus combustion properties and variations with Miscanthus agronomy. Fuel 2014, 117, 851–869. [Google Scholar] [CrossRef]
- Cerazy-Waliszewska, J.; Jeżowski, S.; Łysakowski, P.; Waliszewska, B.; Zborowska, M.; Sobańska, K.; Ślusarkiewicz-Jarzina, A.; Białas, W.; Pniewski, T. Potential of bioethanol production from biomass of various Miscanthus genotypes cultivated in three-year plantations in west-central Poland. Ind. Crop. Prod. 2019, 141, 111790. [Google Scholar] [CrossRef]
- Gołąb-Bogacz, I.; Helios, W.; Kotecki, A.; Kozak, M.; Jama-Rodzeńska, A. The influence of three years of supplemental nitrogen on above- and belowground biomass partitioning in a decade-old Miscanthus × giganteus in the lower silesian Voivodeship (Poland). Agriculture 2020, 10, 473. [Google Scholar] [CrossRef]
- Polish Commite of Standarisation. Solid Biofuels—Sample Preparation; PN-EN ISO 14780:2017-07; Polish Commite of Standarisation: Warsaw, Poland, 2017. [Google Scholar]
- Polish Commite of Standarisation. Chemical-Agricultural Analisys of Plants. Air and Dry Mass Determination; PN-R-04013:1988; Polish Commite of Standarisation: Warsaw, Poland, 1988. [Google Scholar]
- Konieczyński, P.; Moszczyński, J.; Wesołowski, M. Comparison of Fe, Zn, Mn, Cu, Cd and Pb concentration in spruce needles collected in the area of Gdansk and Gdynia in Northern Poland. Environ. Prot. Nat. Res. 2018, 29, 1–9. [Google Scholar]
- Millaleo, R.; Reyes-Diaz, M.; Ivanov, A.G.; Mora, M.L.; Alberdi, M. Manganese as essential and toxic element for plants: Transport, accumulation and resistance mechanisms. J. Soil Sci. Plant Nutr. 2010, 10, 470–481. [Google Scholar] [CrossRef]
- Pogrzeba, M.; Rusinowski, S.; Krzyżak, J. Macroelements and heavy metals content in energy crops cultivated on contaminated soil under different fertilization-case studies on autumn harvest. Environ. Sci. Pollut. Res. Int. 2018, 25, 12096–12106. [Google Scholar] [CrossRef]
- Roncucci, N.; Di Nasso, N.N.O.; Tozzini, C.; Bonari, E.; Ragaglini, G. Miscanthus × giganteus nutrient concentrations and uptakes in autumn and winter harvests as influenced by soil texture, irrigation and nitrogen fertilization in the Mediterranean. Glob. Change Biol. Bioenergy 2015, 7, 1009–1018. [Google Scholar] [CrossRef]
- Strullu, L.; Cadoux, S.; Preudhomme, M.; Jeuffroy, M.-H.; Beaudoin, N. Biomass production and nitrogen accumulation and remobilisation by Miscanthus × giganteus as influenced by nitrogen stocks in belowground organs. Field Crop. Res. 2011, 121, 381–391. [Google Scholar] [CrossRef]
- Kalembasa, D.; Malinowska, E. The yield and content of trace elements in biomass of Miscanthus sacchariflorus (Maxim.) Hack. and in soil in the third year of a pot experiment. J. Elem. 2009, 14, 4. [Google Scholar] [CrossRef]
- Smith, R.; Slater, F.M. The effects of organic and inorganic fertilizer applications to Miscanthus × giganteus, Arundo donax and Phalaris arundinacea, when grown as energy crops in Wales, UK. Glob. Change Biol. Bioenergy 2010, 22. [Google Scholar] [CrossRef]
- Stypczyńska, Z.; Dziamski, A.; Jaworska, H.; Dąbkowska-Naskręt, H. Evaluation of the content of trace elements in the aerial and underground biomass of perennial grasses of the genus miscanthus. Environ. Prot. Eng. 2018, 44, 141–151. [Google Scholar] [CrossRef]
- Liu, Y.; Yang, H.; Ludewig, U. Dynamic Element Concentrations and Similar Proteome of the Rhizome and Root of Miscanthus x gigantheus. J. Plant Biochem. Physiol. 2014, 2, 4. [Google Scholar]
- Jarrel, W.M.; Beverly, R.B. The Dilution Effect in Plant Nutrition Studies. Adv. Agron. 1981, 34, 197–224. [Google Scholar]









| Year | pH 1 NKCl | Chemical Composition of the Soil at the Depth of 0–20 cm (mg kg−1) | |||||||
|---|---|---|---|---|---|---|---|---|---|
| Macroelements | Microelements | ||||||||
| N | P | K | Mg | Fe | Mn | Zn | Cu | ||
| 2014 | 5.0 | 0.580 | 119.6 | 114.0 | 24.3 | 428 | 93.4 | 82.3 | 1.82 |
| 2015 | 5.0 | 0.600 | 119.6 | 115.3 | 27.3 | 461 | 97.1 | 79.4 | 1.69 |
| 2016 | 4.8 | 0.597 | 119.7 | 112.6 | 26.0 | 463 | 95.2 | 78.5 | 1.78 |
| Fertilization | |||||||||
| Characteristics | N | P | K | ||||||
| Name | Ammonium Nitrate | Enriched Superphosphate | Potassium Salt | ||||||
| Amount of component (%) | 32.0 N | 17.4 | 49.8 | ||||||
| Doses (kg ha−1) | 0 or 60 | 17.5 | 50 | ||||||
| method | Hand broadcast | ||||||||
| Term of use | March/April | ||||||||
| Dose (kg ha−1 N) | Fe | Mn | Zn | Cu |
|---|---|---|---|---|
| (mg kg−1) | ||||
| Rhizomes | ||||
| 0 | 101 | 56.4 | 18.9 | 3.59 |
| 60 | 99 | 54.2 | 19.9 | 4.0 |
| p value | 0.6294 | 0.5220 | 0.5553 | 0.1484 |
| Stems | ||||
| 0 | 107 | 44.4 | 20.8 | 3.33 |
| 60 | 105 | 37.2 | 19.6 | 3.48 |
| p value | 0.4844 | 0.0040 | 0.6050 | 0.5302 |
| Leaves | ||||
| 0 | 89 | 57.6 | 18.1 | 3.56 |
| 60 | 78 | 62.3 | 19.1 | 3.84 |
| p value | 0.2691 | 0.2568 | 0.3213 | 0.0397 |
| Aboveground part of plants | ||||
| 0 | 113 | 55.4 | 21.6 | 4.01 |
| 60 | 109 | 53.6 | 21.5 | 4.20 |
| p value | 0.2575 | 0.6492 | 0.9895 | 0.5537 |
| Dose (kg ha−1 N) | Fe | Mn | Zn | Cu |
|---|---|---|---|---|
| (mg m−2) | ||||
| Rhizomes | ||||
| 0 | 126.7 | 66.6 | 19.8 | 3.50 |
| 60 | 138.2 | 70.9 | 22.6 | 4.46 |
| p value | 0.0000 | 0.0009 | 0.0000 | 0.0000 |
| Stems | ||||
| 0 | 171.6 | 71.4 | 30.5 | 5.29 |
| 60 | 180.6 | 60.5 | 34.4 | 5.94 |
| p value | 0.0538 | 0.0000 | 0.0000 | 0.0000 |
| Leaves | ||||
| 0 | 48.6 | 35.2 | 10.7 | 2.03 |
| 60 | 55.8 | 49.9 | 15.6 | 3.03 |
| p value | 0.0000 | 0.0000 | 0.0000 | 0.0000 |
| Aboveground part of plants | ||||
| 0 | 197.4 | 96.1 | 36.5 | 6.63 |
| 60 | 214.0 | 101.3 | 45.2 | 8.17 |
| p value | 0.0005 | 0.0000 | 0.0000 | 0.0000 |
| Rhizomes and aboveground parts | ||||
| 0 | 324.1 | 162.7 | 56.3 | 10.12 |
| 60 | 352.2 | 172.2 | 67.8 | 12.64 |
| p value | 0.0000 | 0.0004 | 0.0000 | 0.0000 |
| Dose (kg ha−1 N) | Fe | Mn | Zn | Cu |
|---|---|---|---|---|
| (mg kg−1) | ||||
| Rhizomes | ||||
| 2014 | 129 | 85.3 | 26.2 | 4.78 |
| 2015 | 118 | 32.7 | 21.2 | 4.79 |
| 2016 | 50 | 44.5 | 11.9 | 2.57 |
| Mean | 90 | 54.2 | 19.9 | 4.05 |
| p value | 0.0000 | 0.0000 | 0.0066 | 0.0104 |
| Stems | ||||
| 2014 | 175 | 37.9 | 15.5 | 4.20 |
| 2015 | 39 | 20.4 | 17.0 | 2.83 |
| 2016 | 100 | 53.2 | 26.4 | 3.40 |
| Mean | 105 | 37.2 | 19.6 | 3.48 |
| p value | 0.0000 | 0.0000 | 0.0083 | 0.0260 |
| Leaves | ||||
| 2014 | 87 | 78.5 | 14.2 | 3.19 |
| 2015 | 72 | 61.9 | 25.6 | 4.18 |
| 2016 | 75 | 46.5 | 17.7 | 4.15 |
| Mean | 78 | 62.3 | 19.1 | 3.84 |
| p value | 0.0679 | 0.0049 | 0.0030 | 0.0892 |
| Aboveground part of plants | ||||
| 2014 | 159 | 56.7 | 17.4 | 4.10 |
| 2015 | 62 | 46.9 | 23.0 | 4.39 |
| 2016 | 107 | 57.2 | 23.9 | 4.10 |
| Mean | 109 | 53.6 | 21.5 | 4.20 |
| p value | 0.0000 | 0.3224 | 0.0725 | 0.8939 |
| Dose (kg ha−1 N) | Fe | Mn | Zn | Cu |
|---|---|---|---|---|
| (mg m−2) | ||||
| Rhizomes | ||||
| 2014 | 175 | 112.7 | 32.4 | 5.32 |
| 2015 | 161 | 37.7 | 22.4 | 4.96 |
| 2016 | 78 | 62.3 | 13.0 | 3.10 |
| mean | 138 | 70.9 | 22.6 | 4.46 |
| p value | 0.0000 | 0.0000 | 0.0000 | 0.0000 |
| Stems | ||||
| 2014 | 320 | 74.9 | 31.6 | 8.03 |
| 2015 | 76 | 28.5 | 28.2 | 5.03 |
| 2016 | 146 | 79.0 | 43.5 | 4.75 |
| mean | 181 | 60.5 | 34.4 | 5.94 |
| p value | 0.0000 | 0.0000 | 0.0000 | 0.0000 |
| Leaves | ||||
| 2014 | 61 | 62.1 | 10.7 | 2.34 |
| 2015 | 55 | 47.8 | 20.3 | 3.18 |
| 2016 | 51 | 39.8 | 15.7 | 3.56 |
| mean | 56 | 49.9 | 15.6 | 3.03 |
| p value | 0.0000 | 0.0000 | 0.0000 | 0.0000 |
| Aboveground part of plants | ||||
| 2014 | 341 | 121.6 | 38.1 | 9.20 |
| 2015 | 121 | 74.0 | 44.7 | 7.75 |
| 2016 | 181 | 108.1 | 52.7 | 7.57 |
| mean | 214 | 101.3 | 45.2 | 8.17 |
| p value | 0.0000 | 0.0000 | 0.0000 | 0.0000 |
| Rhizomes and aboveground parts | ||||
| 2014 | 516 | 234.4 | 70.5 | 14.5 |
| 2015 | 281 | 111.7 | 67.1 | 12.7 |
| 2016 | 259 | 170.6 | 65.7 | 10.7 |
| mean | 352 | 172.2 | 67.8 | 12.6 |
| p value | 0.0000 | 0.0000 | 0.0000 | 0.0000 |
Publisher’s Note: MDPI stays neutral with regard to jurisdictional claims in published maps and institutional affiliations. |
© 2021 by the authors. Licensee MDPI, Basel, Switzerland. This article is an open access article distributed under the terms and conditions of the Creative Commons Attribution (CC BY) license (https://creativecommons.org/licenses/by/4.0/).
Share and Cite
Gołąb-Bogacz, I.; Helios, W.; Kotecki, A.; Kozak, M.; Jama-Rodzeńska, A. Effect of Nitrogen Fertilization on the Dynamics of Concentration and Uptake of Selected Microelements in the Biomass of Miscanthus x giganteus. Agriculture 2021, 11, 360. https://doi.org/10.3390/agriculture11040360
Gołąb-Bogacz I, Helios W, Kotecki A, Kozak M, Jama-Rodzeńska A. Effect of Nitrogen Fertilization on the Dynamics of Concentration and Uptake of Selected Microelements in the Biomass of Miscanthus x giganteus. Agriculture. 2021; 11(4):360. https://doi.org/10.3390/agriculture11040360
Chicago/Turabian StyleGołąb-Bogacz, Izabela, Waldemar Helios, Andrzej Kotecki, Marcin Kozak, and Anna Jama-Rodzeńska. 2021. "Effect of Nitrogen Fertilization on the Dynamics of Concentration and Uptake of Selected Microelements in the Biomass of Miscanthus x giganteus" Agriculture 11, no. 4: 360. https://doi.org/10.3390/agriculture11040360
APA StyleGołąb-Bogacz, I., Helios, W., Kotecki, A., Kozak, M., & Jama-Rodzeńska, A. (2021). Effect of Nitrogen Fertilization on the Dynamics of Concentration and Uptake of Selected Microelements in the Biomass of Miscanthus x giganteus. Agriculture, 11(4), 360. https://doi.org/10.3390/agriculture11040360

