Zinc Seed Priming Improves Spinach Germination at Low Temperature
Abstract
1. Introduction
2. Materials and Methods
2.1. Seed Material and Priming
2.2. Optimal Zn Concentration Levels for Seed Priming (Experiment 1)
2.3. Germination Test of Water- and Zn-Primed Seeds at Low Temperature (Experiment 2)
2.4. Mineral Analysis of Seeds and Young Seedlings
2.5. Confirmation of Zn Accumulation in Spinach Seeds after Zn Priming
2.6. Translocation of Primed Zn in the Roots of Spinach Seedlings
2.7. Statistical Analysis
3. Results
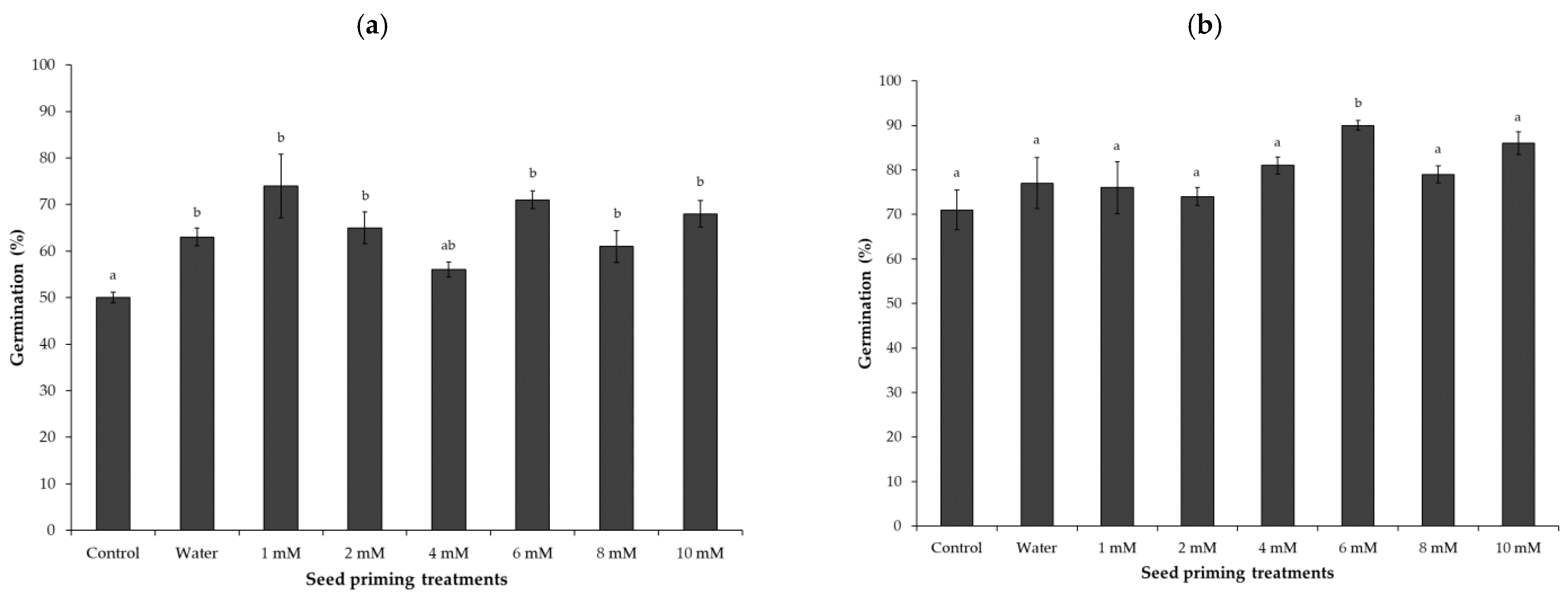
3.1. Optimal Zn Concentration
3.2. Zinc Status of Seeds and Young Seedlings
3.3. Detection of Zn Primed Spinach Seeds with VideoMeter Lab and DTZ Staining
3.4. Zinc Localization in the Roots of Spinach Seedlings
3.5. Seed Germination at 15 °C and 8 °C
4. Discussion
Author Contributions
Funding
Institutional Review Board Statement
Informed Consent Statement
Conflicts of Interest
References
- Ashraf, M.; Foolad, M. Pre-sowing seed treatment—A shotgun approach to improve germination, plant growth, and crop yield under saline and non-saline conditions. Adv. Agron. 2005, 88, 223–271. [Google Scholar]
- Powell, A.A.; Matthews, S. The Damaging Effect of Water on Dry Pea Embryos during Imbibition. J. Exp. Bot. 1978, 29, 1215–1229. [Google Scholar] [CrossRef]
- Wuebker, E.F.; Mullen, R.E.; Koehler, K. Flooding and Temperature Effects on Soybean Germination. Crop. Sci. 2001, 41, 1857–1861. [Google Scholar] [CrossRef]
- Bochicchio, A.; Coradeschi, M.A.; Zienna, P.; Bertolini, M.; Vazzana, C. Imbibitional injury in maize seed independent of chilling temperature. Seed Sci. Res. 1991, 1, 85–90. [Google Scholar] [CrossRef]
- Bramlage, W.J.; Leopold, A.C.; Parrish, D.J. Chilling stress to soybeans during imbibition. Plant Physiol. 1978, 61, 525–529. [Google Scholar] [CrossRef]
- Harris, D. On-farm seed priming to accelerate germination in rainfed, dryseeded rice. Int. Rice Res. Notes 1997, 22, 1. [Google Scholar]
- Harris, D.; Tripathi, R.; Joshi, A. On-farm seed priming to improve crop establishment and yield in dry direct-seeded rice. In Direct Seeding: Research Strategies and Opportunities; International Research Institute: Manila, Philippines, 2002; pp. 231–240. [Google Scholar]
- Chen, K.; Arora, R. Priming memory invokes seed stress-tolerance. Environ. Exp. Bot. 2013, 94, 33–45. [Google Scholar] [CrossRef]
- Asher, C. Effects of nutrient concentration in the rhizosphere on plant growth. In Proceedings of the XIIIth Congress International Society of Soil Science’s Symposium, Hamburg, Germany, 13 August 1986; Volume 5, pp. 209–216. [Google Scholar]
- Genc, Y.; McDonald, G.; Graham, R. The interactive effects of zinc and salt on growth of wheat. In Plant Nutrition for Food Security, Human Health and Environmental Protection; Tsinghua University Press: Beijing, China, 2005; pp. 548–549. [Google Scholar]
- Longnecker, N.; Marcar, N.; Graham, R. Increased manganese content of barley seeds can increase grain yield in manganese-deficient conditions. Aust. J. Agric. Res. 1991, 42, 1065–1074. [Google Scholar] [CrossRef]
- Rengel, Z.; Graham, R.D. Importance of seed Zn content for wheat growth on Zn-deficient soil. Plant Soil 1995, 173, 259–266. [Google Scholar] [CrossRef]
- Graham, R.D.; Rengel, Z. Genotypic Variation in Zinc Uptake and Utilization by Plants. In Zinc in Soils and Plants; Metzler, J.B., Ed.; Springer: Dordrecht, The Netherlands, 1993; pp. 107–118. [Google Scholar]
- Cakmak, I. Tansley review no. 111: Possible roles of zinc in protecting plant cells from damage by reactive oxygen species. New Phytol. 2000, 146, 185–205. [Google Scholar] [CrossRef]
- Salami, A.U.; Kenefick, D.G. Stimulation of Growth in Zinc-Deficient Corn Seedlings by the Addition of Tryptophan 1. Crop. Sci. 1970, 10, 291–294. [Google Scholar] [CrossRef]
- Sekimoto, H.; Hoshi, M.; Nomura, T.; Yokota, T. Zinc Deficiency Affects the Levels of Endogenous Gibberellins in Zea mays L. Plant Cell Physiol. 1997, 38, 1087–1090. [Google Scholar] [CrossRef]
- Ashraf, M.; Rauf, H. Inducing salt tolerance in maize (Zea mays L.) through seed priming with chloride salts: Growth and ion transport at early growth stages. Acta Physiol. Plant. 2001, 23, 407–414. [Google Scholar] [CrossRef]
- Harris, D.; Rashid, A.; Miraj, G.; Arif, M.; Shah, H. ‘On-farm’ seed priming with zinc sulphate solution—A cost-effective way to increase the maize yields of resource-poor farmers. Field Crop. Res. 2007, 102, 119–127. [Google Scholar] [CrossRef]
- Muhammad, I.; Kolla, M.; Volker, R.; Günter, N. Impact of Nutrient Seed Priming on Germination, Seedling Development, Nutritional Status and Grain Yield of Maize. J. Plant Nutr. 2015, 38, 1803–1821. [Google Scholar] [CrossRef]
- Prom-U-Thai, C.; Rerkasem, B.; Yazici, A.; Cakmak, I. Zinc priming promotes seed germination and seedling vigor of rice. J. Plant Nutr. Soil Sci. 2012, 175, 482–488. [Google Scholar] [CrossRef]
- Imran, M.; Mahmood, A.; Römheld, V.; Neumann, G. Nutrient seed priming improves seedling development of maize exposed to low root zone temperatures during early growth. Eur. J. Agron. 2013, 49, 141–148. [Google Scholar] [CrossRef]
- Ozturk, L.; Yazici, M.A.; Yucel, C.; Torun, A.; Cekic, C.; Bagci, A.; Ozkan, H.; Braun, H.-J.; Sayers, Z.; Cakmak, I. Concentration and localization of zinc during seed development and germination in wheat. Physiol. Plant. 2006, 128, 144–152. [Google Scholar] [CrossRef]
- Shrestha, S.; Deleuran, L.C.; Olesen, M.H.; Gislum, R. Use of Multispectral Imaging in Varietal Identification of Tomato. Sensors 2015, 15, 4496–4512. [Google Scholar] [CrossRef]
- Sinclair, S.A.; Sherson, S.M.; Jarvis, R.; Camakaris, J.; Cobbett, C.S. The use of the zinc-fluorophore, zinpyr-1, in the study of zinc homeostasis in arabidopsis roots. New Phytol. 2007, 174, 39–45. [Google Scholar] [CrossRef]
- Cakmak, I. Enrichment of cereal grains with zinc: Agronomic or genetic biofortification? Plant Soil 2008, 302, 1–17. [Google Scholar] [CrossRef]
- Welch, R.M.; Graham, R.D. A new paradigm for world agriculture: Meeting human needs-productive, sustainable, nutritious. Field Crop Res. 1999, 60, 1–10. [Google Scholar] [CrossRef]
- Harris, D.; Rashid, A.; Miraj, G.; Arif, M.; Yunas, M. ‘On-farm’ seed priming with zinc in chickpea and wheat in pakistan. Plant Soil 2008, 306, 3–10. [Google Scholar] [CrossRef]
- Ajouri, A.; Asgedom, H.; Becker, M. Seed priming enhances germination and seedling growth of barley under conditions of P and Zn deficiency. J. Plant Nutr. Soil Sci. 2004, 167, 630–636. [Google Scholar] [CrossRef]
- Muhammad, I.; Volker, R.; Günter, N. Accumulation and distribution of Zn and Mn in soybean seeds after nutrient seed priming and its contribution to plant growth under Zn- and Mn-deficient conditions. J. Plant Nutr. 2017, 40, 695–708. [Google Scholar] [CrossRef]
- ISTA. The germination test. In International Rules for Seed Testing; International Seed Testing Association: Bassersdorf, Switzerland, 2020; pp. 5–56. [Google Scholar]
- McNary, W.F. Zinc-Dithizone Reaction of Pancreatic Islets. J. Histochem. Cytochem. 1954, 2, 185–195. [Google Scholar] [CrossRef]
- López-García, C.; Varea, E.; Palop, J.J.; Nacher, J.; Ramirez, C.; Ponsoda, X.; Molowny, A. Cytochemical techniques for zinc and heavy metals localization in nerve cells. Microsc. Res. Tech. 2002, 56, 318–331. [Google Scholar] [CrossRef]
- Pawlik-Skowrońska, B. Resistance, accumulation and allocation of zinc in two ecotypes of the green alga Stigeoclonium tenue Kütz. coming from habitats of different heavy metal concentrations. Aquat. Bot. 2003, 75, 189–198. [Google Scholar] [CrossRef]
- Shrestha, S.; Deleuran, L.C.; Gislum, R. Classification of different tomato seed cultivars by multispectral visible-near infrared spectroscopy and chemometrics. J. Spectr. Imaging 2016, 5, 9. [Google Scholar] [CrossRef]
- Freitas, M.N.; Guerra, M.B.B.; Adame, A.; Moraes, T.F.; Junior, J.L.; Pérez, C.A.; Abdala, D.B.; Cicero, S.M. A first glance at the micro-ZnO coating of maize (Zea mays L.) seeds: A study of the elemental spatial distribution and Zn speciation analysis. J. Anal. At. Spectrom. 2020, 35, 3021–3031. [Google Scholar] [CrossRef]
- Seregin, I.V.; Kozhevnikova, A.D. Histochemical methods for detection of heavy metals and strontium in the tissues of higher plants. Russ. J. Plant Physiol. 2011, 58, 721–727. [Google Scholar] [CrossRef]
- Kozhevnikova, A.D.; Erlikh, N.T.; Zhukovskaya, N.V.; Obroucheva, N.V.; Ivanov, V.B.; Belinskaya, A.A.; Khutoryanskaya, M.Y.; Seregin, I.V. Nickel and zinc effects, accumulation and distribution in ruderal plants Lepidium ruderale and Capsella bursa-pastoris. Acta Physiol. Plant. 2014, 36, 3291–3305. [Google Scholar] [CrossRef]
- Marschner, H.; Marschner, P. Marschner’s Mineral Nutrition of Higher Plants; Academic Press: Cambridge, MA, USA, 2012. [Google Scholar]
- Andreini, C.; Banci, L.; Bertini, I.; Rosato, A. Counting the Zinc-Proteins Encoded in the Human Genome. J. Proteome Res. 2006, 5, 196–201. [Google Scholar] [CrossRef] [PubMed]
- Cakmak, I.; Strbac, D.; Marschner, H. Activities of Hydrogen Peroxide-Scavenging Enzymes in Germinating Wheat Seeds. J. Exp. Bot. 1993, 44, 127–132. [Google Scholar] [CrossRef]
- Bailly, C.; Bogatek-Leszczynska, R.; Côme, D.; Corbineau, F. Changes in activities of antioxidant enzymes and lipoxygenase during growth of sunflower seedlings from seeds of different vigour. Seed Sci. Res. 2002, 12, 47–55. [Google Scholar] [CrossRef]
- Qin, J.; Liu, Q. Oxidative metabolism-related changes during germination of mono maple (Acer mono Maxim.) seeds under seasonal frozen soil. Ecol. Res. 2009, 25, 337–345. [Google Scholar] [CrossRef]
- Allen, D.J.; Ort, D.R. Impacts of chilling temperatures on photosynthesis in warm-climate plants. Trends Plant Sci. 2001, 6, 36–42. [Google Scholar] [CrossRef]
- Cakmak, I.; Marschner, H. Increase in Membrane Permeability and Exudation in Roots of Zinc Deficient Plants. J. Plant Physiol. 1988, 132, 356–361. [Google Scholar] [CrossRef]







| Treatments/Plant Parts | Unprimed | Water-Primed | 6 mM Zn | 10 mM Zn |
|---|---|---|---|---|
| Zn µg g−1 | ||||
| Seeds | 56.2 ± 0.1 | 55.3 ± 0.7 | 1625.3 ± 87.2 | 2413.5 ± 50.9 |
| Shoot | 163.6 ± 0.8 | 159.8 ± 0.7 | 522.2 ± 14.4 | 653.4 ± 42.9 |
| Root | 85.2 ± 2.8 | 80.6 ± 3.7 | 603.2 ± 11.5 | 821.6 ± 15.5 |
| Mn µg g−1 | ||||
| Seeds | 45.1 ± 1.8 | 46.5 ± 1.1 | 36.5 ± 0.9 | 34.7 ± 0.3 |
| Shoot | 45.7 ± 0.3 | 41.1 ± 0.1 | 46.6 ± 0.3 | 44.1 ± 1.2 |
| Root | 31.9 ± 2.1 | 28.6 ± 1.4 | 26.3 ± 0.5 | 22.8 ± 0.1 |
| Priming Treatments | CIELab L | Intensity | Hue | Saturation |
|---|---|---|---|---|
| Water-primed | 62.2 ± 0.9 a | 29.3 ± 1.0 a | 140.2 ± 0.4 a | 18.8 ± 0.7 a |
| 6 mM Zn | 55.7 ± 0.7 b | 22.8 ± 0.6 b | 134.7 ± 0.4 b | 16.1 ± 0.6 b |
| 10 mM Zn | 53.9 ± 0.9 b | 21.4 ± 0.7 b | 133.9 ± 0.4 b | 15.7 ± 0.7 b |
Publisher’s Note: MDPI stays neutral with regard to jurisdictional claims in published maps and institutional affiliations. |
© 2021 by the authors. Licensee MDPI, Basel, Switzerland. This article is an open access article distributed under the terms and conditions of the Creative Commons Attribution (CC BY) license (http://creativecommons.org/licenses/by/4.0/).
Share and Cite
Imran, M.; Mahmood, A.; Neumann, G.; Boelt, B. Zinc Seed Priming Improves Spinach Germination at Low Temperature. Agriculture 2021, 11, 271. https://doi.org/10.3390/agriculture11030271
Imran M, Mahmood A, Neumann G, Boelt B. Zinc Seed Priming Improves Spinach Germination at Low Temperature. Agriculture. 2021; 11(3):271. https://doi.org/10.3390/agriculture11030271
Chicago/Turabian StyleImran, Muhammad, Asim Mahmood, Günter Neumann, and Birte Boelt. 2021. "Zinc Seed Priming Improves Spinach Germination at Low Temperature" Agriculture 11, no. 3: 271. https://doi.org/10.3390/agriculture11030271
APA StyleImran, M., Mahmood, A., Neumann, G., & Boelt, B. (2021). Zinc Seed Priming Improves Spinach Germination at Low Temperature. Agriculture, 11(3), 271. https://doi.org/10.3390/agriculture11030271

