Relationships of Brassica Seed Physical Characteristics with Germination Performance and Plant Blindness
Abstract
1. Introduction
2. Materials and Methods
2.1. Seed and Plant Materials
2.2. Blindness Induction
2.3. Physical Characteristics Measurements
2.4. Seed Respiration Measurements
2.5. Plant Blindness Evaluation
2.6. Data Analyses
3. Results
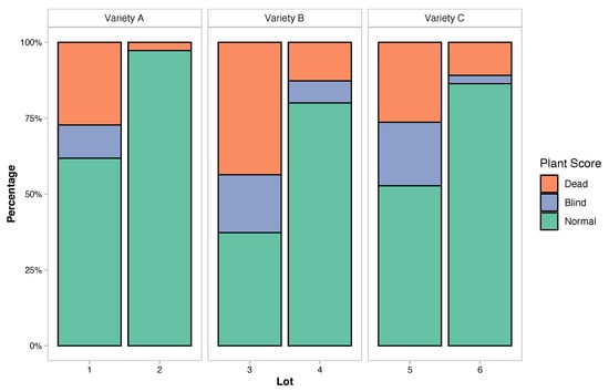
3.1. Brassica Blindness: Initial Assessment
3.2. Physical Characteristics Assessment and Brassica Blindness Induction
4. Discussion
5. Conclusions
Supplementary Materials
Author Contributions
Funding
Institutional Review Board Statement
Informed Consent Statement
Data Availability Statement
Acknowledgments
Conflicts of Interest
References
- De Jonge, J.; Kodde, J.; Severing, E.I.; Bonnema, G.; Angenent, G.C.; Immink, R.G.H.; Groot, S.P.C. Low temperature affects stem cell maintenance in Brassica oleracea seedlings. Front. Plant Sci. 2016, 7, 800. [Google Scholar] [CrossRef] [PubMed]
- Wurr, D.C.E.; Hambidge, A.J.; Smith, G.P. Studies of the cause of blindness in brassicas. J. Hortic. Sci. 1996, 71, 415–426. [Google Scholar] [CrossRef]
- De Jonge, J.; Goffman, F.D.; Kodde, J.; Angenent, G.C.; Groot, S.P.C. A seed treatment to prevent shoot apical meristem arrest in Brassica oleracea. Sci. Hortic. 2018, 228, 76–80. [Google Scholar] [CrossRef]
- Still, D.W.; Bradford, K.J. Using hydrotime and ABA-time models to quantify seed quality of Brassicas during development. J. Am. Soc. Hortic. Sci. 1998, 123, 692–699. [Google Scholar] [CrossRef]
- Jalink, H.; Van der Schoor, R.; Frandas, A.; Van Pijlen, J.G.; Bino, R.J. Chlorophyll fluorescence of Brassica oleracea seeds as a non-destructive marker for seeds maturity and seed performance. Seed Scie. Res. 1998, 8, 437–443. [Google Scholar] [CrossRef]
- Price, J.S.; Hobson, R.N.; Neale, M.A.; Bruce, D.M. Seed losses in commercial harvesting of oilseed rape. J. Agric. Eng. Res. 1996, 65, 183–191. [Google Scholar] [CrossRef]
- Olesen, M.H.; Nikneshan, P.; Shrestha, S.; Tadayyon, A.; Deleuran, L.C.; Boelt, B.; Gislum, R. Viability prediction of Ricinus cummunis L. seeds using multispectral imaging. Sensors 2015, 15, 4592–4604. [Google Scholar] [CrossRef]
- Boelt, B.; Shrestha, S.; Salimi, Z.; Jørgensen, J.R.; Nicolaisen, M.; Carstensen, J.M. Multispectral imaging—A new tool in seed quality assessment? Seed Sci. Res. 2018, 28, 222–228. [Google Scholar] [CrossRef]
- Salimi, Z.; Boelt, B. Classification of processing damage in sugar beet (Beta vulgaris) seeds by multispectral image analysis. Sensors 2019, 19, 2360. [Google Scholar] [CrossRef] [PubMed]
- ElMasry, G.; Mandour, N.; Wagner, M.-H.; Demilly, D.; Verdier, J.; Belin, E.; Rousseau, D. Utilization of computer vision and multispectral imaging techniques for classification of cowpea (Vigna unguiculata) seeds. Plant Methods 2019, 15, 1–16. [Google Scholar] [CrossRef] [PubMed]
- Shiade, S.R.G.; Boelt, B. Seed germination and seedling growth parameters in nine tall fescue varieties under salinity stress. Acta Agric. Scand. Sec. B Soil Plant Sci. 2020, 70, 485–494. [Google Scholar]
- Cicero, S.M.; Schoor, R.V.D.; Jalink, H. Use of chlorophyll fluorescence sorting to improve soybean seed quality. Rev. Bras. Sementes 2020, 31, 145–151. [Google Scholar] [CrossRef][Green Version]
- Li, C.; Wang, X.; Meng, Z. Tomato seeds maturity detection system based on chlorophyll fluorescence. In Proceeding of the Optical Design and Testing VII; International Society for Optics and Photonics: Beijing, China, 2016; p. 1002125. [Google Scholar]
- Kenanoglu, B.B.; Demir, I.; Jalink, H. Chlorophyll fluorescence sorting method to improve quality of Capsicum pepper seed lots produced from different maturity fruits. HortScience 2013, 48, 965–968. [Google Scholar] [CrossRef]
- Yadav, S.K.; Jalink, H.; Groot, S.P.C.; Van Der Schoor, R.; Yadav, S.; Dadlani, M.; Kodde, J.C. Quality improvement of aged cabbage (Brassica oleracea var. capitata) seeds using chlorophyll fluorescence sensor. Sci. Hortic. 2015, 189, 81–85. [Google Scholar]
- Wilson, H.T.; Khan, O.; Welbaum, G.E. Chlorophyll fluorescence in developing ’Top Mark’ cantaloupe (Cucumis melo) seeds as an indicator of quality. Seed Technol. 2014, 36, 103–113. [Google Scholar]
- Van Asbrouck, J.; Taridno, P. Using the single seed oxygen consumption measurement as a method of determination of different seed quality parameters for commercial tomato seed samples. Asian J. Food Agro-Ind. 2009, 2, S88–S95. [Google Scholar]
- Bradford, K.J.; Bello, P.; Fu, J.C.; Barros, M. Single-seed respiration: A new method to assess seed quality. Seed Sci. Technol. 2013, 41, 420–438. [Google Scholar] [CrossRef]
- Bello, P.; Bradford, K.J. Single-seed oxygen consumption measurements and population-based threshold models link respiration and germination rates under diverse conditions. Seed Sci. Res. 2016, 26, 199–221. [Google Scholar] [CrossRef]
- Olesen, M.H.; Carstensen, J.M.; Boelt, B. Multispectral imaging as a potential tool for seed health testing of spinach (Spinacia oleracea L.). Seed Sci. Technol. 2011, 39, 140–150. [Google Scholar] [CrossRef]
- Draaijer, A.; Jetten, J.; Douma, A.C. A novel optical method to determine oxygen in beer bottles. J. Inst. Brew. 1999, 105, 155. [Google Scholar]
- De Mendiburu, F. Agricolae: Statistical Procedures for Agricultural Research; R Package Version 1.3; 2020; Available online: http://CRAN.R-project.org/package=agricolae (accessed on 13 January 2021).
- Wickham, H. ggplot2: Elegant Graphics for Data Analysis, 3rd ed.; Springer: New York, NY, USA, 2016. [Google Scholar]
- Revelle, W. psych: Procedures for Psychological, Psychometric, and Personality Research; R Package Version 2.012; 2020; Available online: http://CRAN.R-project.org/package=psych (accessed on 13 January 2021).
- Wei, T.; Simko, V. R Package “Corrplot”: Visualization of a Correlation Matrix; R Package Version 0.84; 2017; Available online: http://CRAN.R-project.org/package=corrplot (accessed on 13 January 2021).
- Holm, S. A Simple Sequentially Rejective Multiple Test Procedure. Scand. J. Stat. 1979, 6, 65–70. [Google Scholar]
- Le, S.; Josse, J.; Husson, F. FactoMineR: A Package for Multivariate Analysis. J. Stat. Softw. 2008, 25, 1–18. [Google Scholar]
- Kassambara, A.; Mundt, F. Factoextra: Extract and Visualize the Results of Multivariate Data Analyses; R Package Version 1.0.7; 2020; Available online: http://CRAN.R-project.org/package=factoextra (accessed on 13 January 2021).
- Penuelas, J.; Filella, I.; Biel, C.; Serrano, L.; Save, R. The reflectance at the 950–970 nm region as an indicator of plant water status. Int. J. Remote Sens. 1993, 14, 1887–1905. [Google Scholar] [CrossRef]
- Liu, J.; Cao, Y.; Wang, Q.; Pan, W.; Ma, F.; Liu, C.; Chen, W.; Yang, J.; Zheng, L. Rapid and non-destructive identification of water-injected beef samples using multispectral imaging analysis. Food Chem. 2016, 190, 938–943. [Google Scholar] [CrossRef]
- Schopfer, P.; Plachy, C. Control of seed germination by abscisic acid. 2. Effect on embryo water uptake in Brassica napus L. Plant Physiol. 1984, 76, 155–160. [Google Scholar] [CrossRef]












| Type | Parameter | Description |
|---|---|---|
| Multispectral | Area | Average or individual projected area (mm) calculated for the seed. |
| CIELab | CIELab refers to a color space defined by the International Commission on Illumination (CIE); it expresses color as three numerical values: L for lightness from black (0) to white (100), A from green (−) to red (+) and B from blue (−) to yellow (+). | |
| Saturation | Average amount of pixels that exceed a maximum value of brightness in the image. | |
| Hue | Average angular position related to a color space coordinate enclosing all colors. | |
| 395–970 nm | Average reflectance of specific wavelengths (in nanometers) for individual seeds. The specified wavelength followed by “SD” refers to the average standard deviation or pixel reflectance variation for individual seeds. | |
| Tissue Area | Area of uncoated or visbible tissue present in individual seeds, quantified by the number of pixels. | |
| White Spots | Area of white coloration in seed coats as a percentage of the individual seed area. | |
| Chlorophyll Fluorescence | CF Value | Average or individual chlorophyll fluorescence measured for the seed (total seed fluorescence divided by fluorescence size). |
| CF Size | Average or individual calculated size (mm) of the CF area in the seed (sum of the pixels that have a CF level above a threshold, and converted to mm). | |
| Seed Respiration | R75.Time, R50.Time and R25.Time | Time in hours for individual seeds to deplete oxygen in vials to 75, 50 and 25%, respectively. |
| R75, R50, R25 POD curves | Cumulative population oxygen depletion (POD) time course plotting the percentage of seeds depleting the oxygen level to 75, 50 or 25% of the initial, respectively, at each time. | |
| R50 (50) | Time in hours to 50% level reached on the R50 POD curve. | |
| R75.Final, R50.Final and R25.Final | Final percentages of the R75, R50 and R25 POD curves, respectively, of the initial value. | |
| Final-O | Final oxygen concentration in the vials after 72 h of imbibition. | |
| Greenhouse Plant Evaluation | Plant Blindness Score | Plants were ranked as dead, normal or blind. Blind plants included: plants without shoot apical meristem [SAM]; plants with needle shaped (first) leaf; plants with funnel shaped (first) leaf; plants without SAM, but with lateral branches; plants with SAM and lateral shoots that are needle- or funnel-shaped or otherwise malformed; plants with oversized first leaf but lacking SAM; plants with abnormal branch architecture. |
Publisher’s Note: MDPI stays neutral with regard to jurisdictional claims in published maps and institutional affiliations. |
© 2021 by the authors. Licensee MDPI, Basel, Switzerland. This article is an open access article distributed under the terms and conditions of the Creative Commons Attribution (CC BY) license (http://creativecommons.org/licenses/by/4.0/).
Share and Cite
Bello, P.; Bradford, K.J. Relationships of Brassica Seed Physical Characteristics with Germination Performance and Plant Blindness. Agriculture 2021, 11, 220. https://doi.org/10.3390/agriculture11030220
Bello P, Bradford KJ. Relationships of Brassica Seed Physical Characteristics with Germination Performance and Plant Blindness. Agriculture. 2021; 11(3):220. https://doi.org/10.3390/agriculture11030220
Chicago/Turabian StyleBello, Pedro, and Kent J. Bradford. 2021. "Relationships of Brassica Seed Physical Characteristics with Germination Performance and Plant Blindness" Agriculture 11, no. 3: 220. https://doi.org/10.3390/agriculture11030220
APA StyleBello, P., & Bradford, K. J. (2021). Relationships of Brassica Seed Physical Characteristics with Germination Performance and Plant Blindness. Agriculture, 11(3), 220. https://doi.org/10.3390/agriculture11030220

