Assessing Seasonal Methane and Nitrous Oxide Emissions from Furrow-Irrigated Rice with Cover Crops
Abstract
1. Introduction
2. Materials and Methods
2.1. Study Site and Crop Management
2.2. Soil Sampling and Analysis
2.3. Measurements and Calculation of Greenhouse Gas Fluxes
2.4. Yield Component Analysis
2.5. Environmental Variables
2.6. Data Analysis
3. Results
3.1. Characteristic of Soil and Soil Mineral Nitrogen
3.2. Environmental Conditions
3.3. Grain Yield and Yield Components
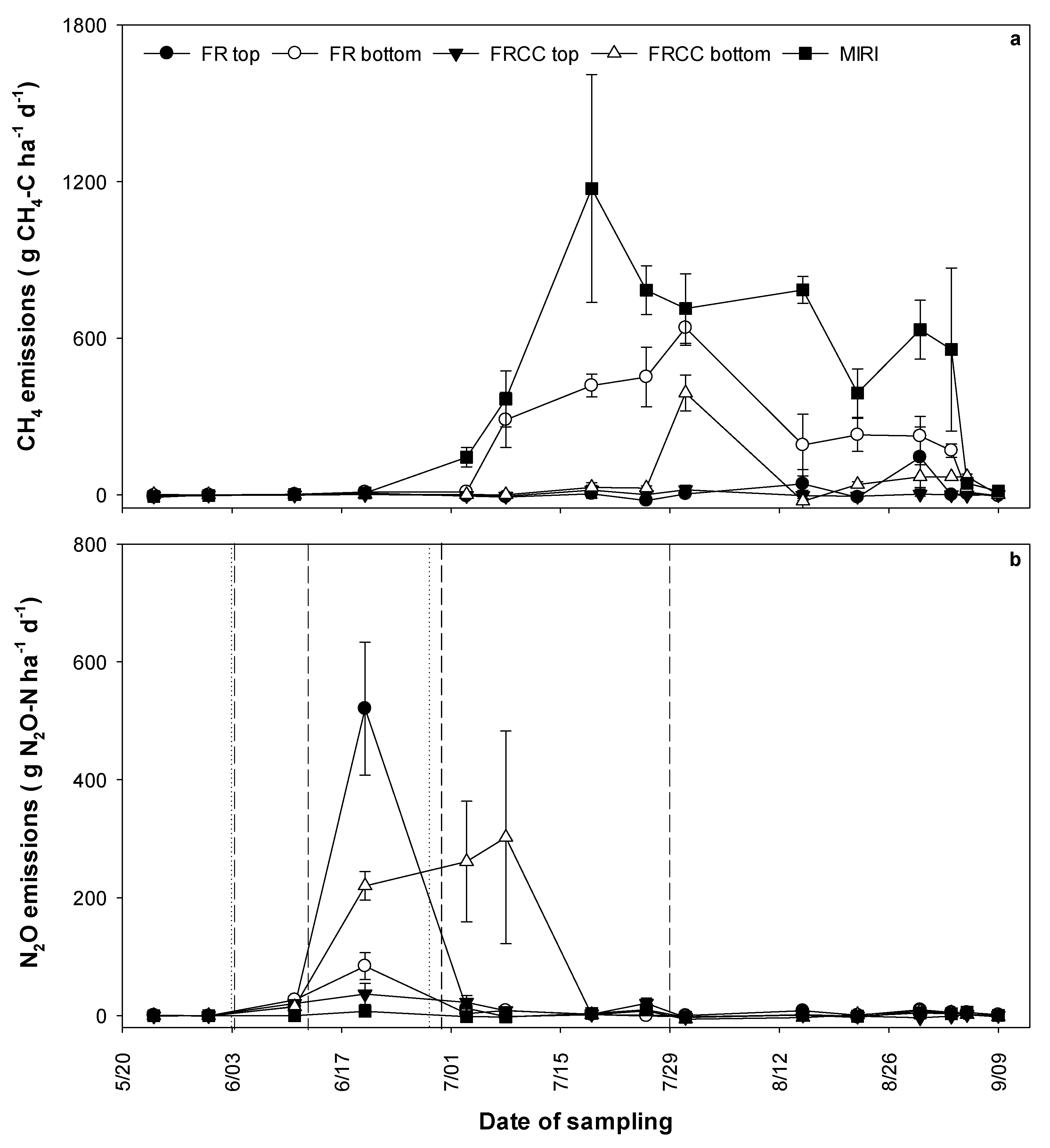
3.4. Seasonal Dynamics of Methane and Nitrous Oxide Emissions
3.5. Cumulative Emissions, GWP, and Yield Scaled GWP
4. Discussion
4.1. Grain Yield
4.2. Methane Emissions
4.3. Nitrous Oxide Emissions
4.4. GWP and Future Directions
5. Conclusions
Author Contributions
Funding
Acknowledgments
Conflicts of Interest
References
- Foley, J.A.; Ramankutty, N.; Brauman, K.A.; Cassidy, E.S.; Gerber, J.S.; Johnston, M.; Mueller, N.D.; O’Connell, C.; Ray, D.K.; West, P.C.; et al. Solutions for a cultivated planet. Nature 2011, 478, 337–342. [Google Scholar] [CrossRef] [PubMed]
- Bouman, B.A.M.; Barker, R.; Humphreys, E.; Tuong, T.P.; Atlin, G.; Bennett, J.; Dawe, D.; Dittert, K.; Dobermann, A.; Facon, T.; et al. Rice: Feeding the billions. In Water for Food, Water for Life: Comprehensive Assessment of Water management in Agriculture; Molden, D., Ed.; Earthscan: London, UK, 2007; pp. 515–549. [Google Scholar]
- Linquist, B.; Van Groenigen, K.J.; Adviento-Borbe, M.A.; Pittelkow, C.; Van Kessel, C. An agronomic assessment of greenhouse gas emissions from major cereal crops. Glob. Chang. Biol. 2011, 18, 194–209. [Google Scholar] [CrossRef]
- Ciais, P.; Sabine, C.; Bala, G.; Bopp, L.; Brovkin, V.; Canadell, J.; Chhabra, A.; DeFries, R.; Galloway, J.; Heimann, M.; et al. Carbon and other biogeochemical cycles. In Climate Change 2013: The Physical Science Basis; Contribution of Working Group I to the Fifth Assessment Report of the Intergovernmental Panel on Climate Change; Stocker, T.F., Qin, D., Plattner, G.-K., Tignor, M., Allen, S.K., Boschung, J., Nauels, A., Xia, Y., Bex, V., Midgley, P.M., Eds.; Cambridge University Press: Cambridge, UK; New York, NY, USA, 2013; pp. 465–570. [Google Scholar]
- IRRI. How to Manage Water. 2021. Available online: http://www.knowledgebank.irri.org/step-by-step-production/growth/water-management (accessed on 24 February 2021).
- Rijsberman, F.R. Water scarcity: Fact or fiction? Agric. Water Manag. 2006, 80, 5–22. [Google Scholar] [CrossRef]
- Stevens, G.; Rhine, M.; Heiser, J. Rice Production with Furrow Irrigation in the Mississippi River Delta Region of the USA. In Rice Crop: Current Developments; Shah, F., Khan, Z.H., Iqbal, A., Eds.; IntechOpen: London, UK, 2018; pp. 69–82. [Google Scholar]
- Adviento-Borbe, M.A.A. An agronomic overview of US cereal cropping systems. In Breakfast Cereals and How They Are Made; Alicia, A., Schonauer, S.L., Poutanen, K.S., Eds.; Poutanen Elsevier Oxford: Oxford, UK, 2020; pp. 39–71. [Google Scholar]
- Bergtold, J.S.; Ramsey, S.; Maddy, L.; Williams, J.R. A review of economic considerations for cover crops as a conservation practice. Renew. Agric. Food Syst. 2017, 34, 62–76. [Google Scholar] [CrossRef]
- Blanco-Canqui, H.; Shaver, T.M.; Lindquist, J.L.; Shapiro, C.A.; Elmore, R.W.; Francis, C.A.; Hergert, G.W. Cover Crops and Ecosystem Services: Insights from Studies in Temperate Soils. Agron. J. 2015, 107, 2449–2474. [Google Scholar] [CrossRef]
- Conrad, R. Microbial Ecology of Methanogens and Methanotrophs. Adv. Agron. 2007, 96, 1–63. [Google Scholar] [CrossRef]
- Jiang, Y.; Carrijo, D.; Huang, S.; Chen, J.; Balaine, N.; Zhang, W.; van Groenigen, K.J.; Linquist, B. Water management to mitigate the global warming potential of rice systems: A global meta-analysis. Field Crop. Res. 2019, 234, 47–54. [Google Scholar] [CrossRef]
- Linquist, B.A.; Marcos, M.; Adviento-Borbe, M.A.; Anders, M.; Harrell, D.; Linscombe, S.; Reba, M.L.; Runkle, B.R.K.; Tarpley, L.; Thomson, A. Greenhouse Gas Emissions and Management Practices that Affect Emissions in US Rice Systems. J. Environ. Qual. 2018, 47, 395–409. [Google Scholar] [CrossRef]
- Buresh, R.; Reddy, K.R.; Van Kessel, C. Nitrogen Transformations in Submerged Soils. In Nitrogen in Agricultural Systems; Schepers, J.S., Ruan, W.R., Eds.; Agronomy Monograph 49; ASA: Madison, WI, USA; CSSA: Madison, WI, USA; SSSA: Madison, WI, USA, 2008; pp. 401–436. [Google Scholar]
- Klemedtsson, L.; Svensson, B.; Rosswall, T. Relationships between soil moisture content and nitrous oxide production during nitrification and denitrification. Biol. Fertil. Soils 1988, 6, 106–111. [Google Scholar] [CrossRef]
- Tang, H.-M.; Xiao, X.-P.; Tang, W.-G.; Wang, K.; Sun, J.-M.; Li, W.-Y.; Yang, G.-L. Effects of Winter Cover Crops Straws Incorporation on CH4 and N2O Emission from Double-Cropping Paddy Fields in Southern China. PLoS ONE 2014, 9, e108322. [Google Scholar] [CrossRef]
- Basche, A.D.; Miguez, F.E.; Kaspar, T.C.; Castellano, M.J. Do cover crops increase or decrease nitrous oxide emissions? A meta-analysis. J. Soil Water Conserv. 2014, 69, 471–482. [Google Scholar] [CrossRef]
- Basche, A.D.; DeLonge, M.S. Comparing infiltration rates in soils managed with conventional and alternative farming methods: A meta-analysis. PLoS ONE 2019, 14, e0215702. [Google Scholar] [CrossRef] [PubMed]
- Basche, A.D.; Kaspar, T.C.; Archontoulis, S.V.; Jaynes, D.B.; Sauer, T.J.; Parkin, T.B.; Miguez, F.E. Soil water improvements with the long-term use of a winter rye cover crop. Agric. Water Manag. 2016, 172, 40–50. [Google Scholar] [CrossRef]
- Butterbach-Bahl, K.; Baggs, E.M.; Dannenmann, M.; Kiese, R.; Zechmeister-Boltenstern, S. Nitrous oxide emissions from soils: How well do we understand the processes and their controls? Philos. Trans. R. Soc. B 2013, 368, 20130122. [Google Scholar] [CrossRef] [PubMed]
- Mulvaney, R.L. Nitrogen—Inorganic Forms. In Methods of Soil Analysis; Sparks, D.L., Page, A.L., Helmke, P.A., Loeppert, R.H., Soltanpour, P.N., Tabatabai, M.A., Johnston, C.T., Sumner, M.E., Eds.; Book Series No. 5; SSSA: Madison, WI, USA, 1996; pp. 1123–1184. [Google Scholar] [CrossRef]
- Adviento-Borbe, M.A.A.; Pittelkow, C.M.; Anders, M.; van Kessel, C.; Hill, J.E.; McClung, A.M.; Six, J.; Linquist, B.A. Optimal fertilizer nitrogen rates and yield-scaled global warming potential in drill deeded rice. J. Environ. Qual. 2013, 42, 1623–1634. [Google Scholar] [CrossRef]
- Myhre, G.; Shindell, D.; Bréon, F.-M.; Collins, W.; Fuglestvedt, J.; Huang, J.; Koch, D.; Lamarque, J.-F.; Lee, D.; Mendoza, B.; et al. Anthropogenic and Natural Radiative Forcing. In Climate Change 2013: The Physical Science Basis. Contribution of Working Group I to the Fifth Assessment Report of the Intergovernmental Panel on Climate Change; Stocker, T.F., Qin, D., Plattner, G.-K., Tignor, M., Allen, S.K., Boschung, J., Nauels, A., Xia, Y., Bex, V., Midgley, P.M., Eds.; Cambridge University Press: Cambridge, UK; New York, NY, USA, 2013; pp. 659–740. [Google Scholar]
- R Core Team. R: A Language and Environment for Statistical Computing; R Foundation for Statistical Computing: Vienna, Austria, 2019. [Google Scholar]
- Brye, K.R.; Rogers, C.W.; Smartt, A.D.; Norman, R.J. Soil Texture Effects on Methane Emissions from Direct-Seeded, Delayed-Flood Rice Production in Arkansas. Soil Sci. 2013, 178, 519–529. [Google Scholar] [CrossRef]
- Schimel, J.P. Rice, microbes and methane. Nat. Cell Biol. 2000, 403, 375–377. [Google Scholar] [CrossRef]
- Firestone, M.K.; Davidson, E.A. Microbiological basis of NO and N2O production and consumption in soil. In Exchange of Trace Gases between Terrestrial Ecosystems and the Atmosphere; Andreae, M.O., Schimel, D.S., Eds.; John Wiley and Sons Ltd.: Chichester, UK, 1989; pp. 7–21. [Google Scholar]
- Chen, Z.L.; Debo, S.; Kesheng, W. Bujun, Features of CH4 emission from rice paddy fields in Beijing and Nanjing. Chemosphere 1993, 26, 239–245. [Google Scholar]
- Inubushi, K.; Umebayashi, M.; Wada, H. Methane emission from paddy fields. In Proceedings of the 14th International Congress of Soil Science, Kyoto, Japan, 12–18 August 1990. [Google Scholar]
- Cai, Z.; Xing, G.; Yan, X.; Xu, H.; Tsuruta, H.; Yagi, K.; Minami, K. Methane and nitrous oxide emissions from rice paddy fields as affected by nitrogen fertilisers and water management. Plant Soil 1997, 196, 7–14. [Google Scholar] [CrossRef]
- Nascente, A.S.; Crusciol, C.A.C.; Cobucci, T.; Velini, E.D. Cover Crop Termination Timing on Rice Crop Production in a No-Till System. Crop Sci. 2013, 53, 2659–2669. [Google Scholar] [CrossRef]
- Oliveira, P.; Nascente, A.S.; Kluthcouski, J.; Castro, T.A.P. Corn and soybean yields as affected by cover crops and herbicide timing under no-tillage system. Planta Daninha 2013, 31, 939–946. [Google Scholar] [CrossRef]
- Peachey, R.E.; William, R.D.; Mallory-Smith, C. Effect of no-till or conventional planting and cover crops residues on weed emergence in vegetable row crop. Weed Technol. 2004, 18, 1023–1030. [Google Scholar] [CrossRef]
- USDA-NASS. United States Department of Agriculture, National Agricultural Statistics Service. 2019. Available online: https://www.nass.usda.gov/Statistics_by_Subject/result.php?88A6A374-4503-3581-BD0A-476C81C8BC40§or=CROPS&group=FIELD%20CROPS&comm=RICE (accessed on 10 January 2020).
- Carrijo, D.R.; Lundy, M.E.; Linquist, B.A. Rice yields and water use under alternate wetting and drying irrigation: A meta-analysis. Field Crop. Res. 2017, 203, 173–180. [Google Scholar] [CrossRef]
- Roberts, T.; Slaton, N.; Wislon, C.; Norman, R. Soil fertility. In Arkansas Rice Production Handbook; MP192; Hardke, J.T., Ed.; University of Arkansas Division of Agriculture: Little Rock, AR, USA, 2013; pp. 69–101. [Google Scholar]
- Humphreys, J.; Brye, K.R.; Rector, C.; Gbur, E.E.; Hardke, J.T. Water management and cultivar effects on methane emissions from direct-seeded, delayed-flood rice production in Arkansas. J. Rice Res. Dev. 2018, 1, 14–24. [Google Scholar]
- Rogers, C.W.; Brye, K.R.; Smartt, A.D.; Norman, R.J.; Gbur, E.E.; Evans-White, M.A. Cultivar and Previous Crop Effects on Methane Emissions from Drill-Seeded, Delayed-Flood Rice Production on a Silt-Loam Soil. Soil Sci. 2014, 179, 28–36. [Google Scholar] [CrossRef]
- Smartt, A.D.; Brye, K.R.; Norman, R.J. Methane emissions among hybrid rice cultivars in the mid-southern United States. Ann. Adv. Agric. Sci. 2018, 2, 1–13. [Google Scholar]
- Hardke, J. Arkansas Rice Cultivar Testing Preliminary Yield Reports; University of Arkansas, Division of Agriculture Research and Extension, Univeristy of Arkansas System: Fayettville, AR, USA, 2019. [Google Scholar]
- Ratering, S.; Conrad, R.F. Effects of short-term drainage and aeration on the production of methane in submerged rice soil. Glob. Chang. Biol. 1998, 4, 397–407. [Google Scholar] [CrossRef]
- Ma, K.; Lu, Y. Regulation of microbial methane production and oxidation by intermittent drainage in rice field soil. FEMS Microbiol. Ecol. 2011, 75, 446–456. [Google Scholar] [CrossRef]
- Balaine, N.; Carrijo, D.R.; Adviento-Borbe, M.A.; Linquist, B. Greenhouse Gases from Irrigated Rice Systems under Varying Severity of Alternate-Wetting and Drying Irrigation. Soil Sci. Soc. Am. J. 2019, 83, 1533–1541. [Google Scholar] [CrossRef]
- Simmonds, M.B.; Anders, M.; Adviento-Borbe, M.A.; Van Kessel, C.; McClung, A.; Linquist, B.A. Seasonal Methane and Nitrous Oxide Emissions of Several Rice Cultivars in Direct-Seeded Systems. J. Environ. Qual. 2015, 44, 103–114. [Google Scholar] [CrossRef] [PubMed]
- Linquist, B.A.; Anders, M.M.; Adviento-Borbe, M.A.A.; Chaney, R.L.; Nalley, L.L.; Da Rosa, E.F.; Van Kessel, C. Reducing greenhouse gas emissions, water use, and grain arsenic levels in rice systems. Glob. Chang. Biol. 2015, 21, 407–417. [Google Scholar] [CrossRef]
- Lagomarsino, A.; Agnelli, A.E.; Linquist, B.; Adviento-Borbe, M.A.; Agnelli, A.; Gavina, G.; Ravaglia, S.; Ferrara, R.M. Alternate wetting and drying of rice reduced CH4 emissions but triggered N2O peaks in a clayey soil of central Italy. Pedosphere 2016, 26, 533–548. [Google Scholar] [CrossRef]
- Del Prado, A.; Merino, P.; Estavillo, J.-M.; Pinto, M.; Gonzalez-Murua, C. N2O and NO emissions from different N sources and under a range of soil water contents. Nutr. Cycl. Agroecosyst. 2006, 74, 229–243. [Google Scholar] [CrossRef]
- Adviento-Borbe, M.A.A.; Haddix, M.L.; Binder, D.L.; Walters, D.T.; Dobermann, A. Soil greenhouse gas fluxes and global warming potential in four high-yielding maize systems. Glob. Chang. Biol. 2007, 13, 1972–1988. [Google Scholar] [CrossRef]
- Karki, S.; Elsgaard, L.; Audet, J.; Lærke, P.E. Mitigation of greenhouse gas emissions from reed canary grass in paludiculture: Effect of groundwater level. Plant Soil 2014, 383, 217–230. [Google Scholar] [CrossRef]
- LaHue, G.T.; Chaney, R.L.; Adviento-Borbe, M.A.; Linquist, B.A. Alternate wetting and drying in high yielding direct-seeded rice systems accomplishes multiple environmental and agronomic objectives. Agric. Ecosyst. Environ. 2016, 229, 30–39. [Google Scholar] [CrossRef]
- Yao, Z.; Zheng, X.; Zhang, Y.; Liu, C.; Wang, R.; Lin, S.; Zuo, Q.; Butterbach-Bahl, K. Urea deep placement reduces yield-scaled greenhouse gas (CH4 and N2O) and NO emissions from a ground cover rice production system. Sci. Rep. 2017, 7, 11415. [Google Scholar] [CrossRef] [PubMed]
- Ruser, R.; Schulz, R. The effect of nitrification inhibitors on the nitrous oxide (N2O) release from agricultural soils-a review. J. Plant Nutr. Soil Sci. 2015, 178, 171–188. [Google Scholar] [CrossRef]





| Treatment | Pre-Flood/Prior to First Irrigation (PF) | Mid-Season (PF + 9 Days) | Mid-Season (PF + 16 Days) | Late-Season (PF + 30 Days) | Total N Applied |
|---|---|---|---|---|---|
| kg N ha−1 | |||||
| FR | 82 | 82 | 50 | 0 | 214 |
| FRCC | 82 | 82 | 50 | 39 | 253 |
| MIRI | 139 | 0 | 50 * | 0 | 189 |
| Treatment (Field Location) | Texture | Sand (g kg−1) | Silt (g kg−1) | Clay (g kg−1) | C (g kg−1) | N (g kg−1) | pH | Electrical Conductivity (dS m−1) | Cation Exchange Capacity (cmol kg−1) |
|---|---|---|---|---|---|---|---|---|---|
| FR (Top) | Loam | 425 | 375 | 200 | 9 | 1.0 | 7.1 | 0.1 | 19.2 |
| FR (Bottom) | Loam | 350 | 450 | 200 | 12 | 1.1 | 6.9 | 0.2 | 21.4 |
| FRCC (Top) | Clay loam | 250 | 450 | 300 | 12 | 1.1 | 7.1 | 0.2 | 25.3 |
| FRCC (Bottom) | Clay loam | 275 | 425 | 300 | 11 | 1.1 | 7 | 0.1 | 25.9 |
| MIRI (Top paddy) | Clay | 175 | 375 | 450 | 12 | 1.3 | 7.2 | 0.3 | 35.7 |
| MIRI (Bottom paddy) | Clay | 200 | 375 | 425 | 11 | 1.3 | 7.2 | 0.2 | 32.5 |
| Treatment | Tiller Number m−2 | Panicle Number m−2 | Plant Height (cm) | Harvest Index | 1000 Seed Grain Weight * (g) |
|---|---|---|---|---|---|
| FR Top | 364 ± 26 | 360 ± 28 | 85.1 ± 3.3 | 0.56 ± 0.04 | 25.8 ± 0.5 |
| FR Bottom | 407 ± 40 | 401 ± 37 | 97.5 ± 0.8 | 0.56± 0.02 | 23.5 ± 0.6 |
| FRCC Top | 253 ± 8 | 247 ± 10 | 89.4 ± 1.8 | 0.58 ± 0.04 | 25.3 ± 1.6 |
| FRCC Bottom | 280 ± 33 | 278 ± 33 | 96.5 ± 3.3 | 0.57 ± 0.01 | 23.8 ± 1.1 |
| MIRI Top | 429 ± 64 | 422± 63 | 102 ± 7.6 | 0.52 ± 0.02 | 24.7 ± 0.9 |
| MIRI Bottom | 432 ± 25 | 424 ± 27 | 102 ± 4.3 | 0.53 ± 0.03 | 25.6 ± 0.4 |
| Treatment | CH4 Emissions (kg CH4-C ha−1 Season−1) | N2O Emissions (kg N2O-N ha−1 Season−1) | Total GWP (kg CO2 eq. ha−1 Season−1) | GWPY (kg CO2 eq. Mg−1 Season−1) |
|---|---|---|---|---|
| FR Top | 1.3 ± 0.5 c | 7.4 ± 1.2 a | 3122 ± 479 a | 343 ± 53 a |
| FR Bottom | 21.8 ± 4.1 a | 1.5 ± 0.3 b,c | 1449 ± 260 a | 99 ± 18 b,c |
| FRCC Top | 0.2 ± 0.2 c | 0.9 ± 0.2 c | 380 ± 72 b | 48 ± 9 c |
| FRCC Bottom | 5.6 ± 1.1 b | 5.0 ± 1.3 a,b | 2307 ± 525 a | 253 ± 58 a,b |
| MIRI | 43.8 ± 6.6 a | 0.1 ± 0.1 d | 1679 ± 240 a | 140 ± 20 b |
Publisher’s Note: MDPI stays neutral with regard to jurisdictional claims in published maps and institutional affiliations. |
© 2021 by the authors. Licensee MDPI, Basel, Switzerland. This article is an open access article distributed under the terms and conditions of the Creative Commons Attribution (CC BY) license (http://creativecommons.org/licenses/by/4.0/).
Share and Cite
Karki, S.; Adviento-Borbe, M.A.A.; Massey, J.H.; Reba, M.L. Assessing Seasonal Methane and Nitrous Oxide Emissions from Furrow-Irrigated Rice with Cover Crops. Agriculture 2021, 11, 261. https://doi.org/10.3390/agriculture11030261
Karki S, Adviento-Borbe MAA, Massey JH, Reba ML. Assessing Seasonal Methane and Nitrous Oxide Emissions from Furrow-Irrigated Rice with Cover Crops. Agriculture. 2021; 11(3):261. https://doi.org/10.3390/agriculture11030261
Chicago/Turabian StyleKarki, Sandhya, M. Arlene A. Adviento-Borbe, Joseph H. Massey, and Michele L. Reba. 2021. "Assessing Seasonal Methane and Nitrous Oxide Emissions from Furrow-Irrigated Rice with Cover Crops" Agriculture 11, no. 3: 261. https://doi.org/10.3390/agriculture11030261
APA StyleKarki, S., Adviento-Borbe, M. A. A., Massey, J. H., & Reba, M. L. (2021). Assessing Seasonal Methane and Nitrous Oxide Emissions from Furrow-Irrigated Rice with Cover Crops. Agriculture, 11(3), 261. https://doi.org/10.3390/agriculture11030261

