Crop Rotation Enhances Agricultural Sustainability: From an Empirical Evaluation of Eco-Economic Benefits in Rice Production
Abstract
1. Introduction
2. Materials and Methods
2.1. Experimental Site
2.2. Experimental Design and Crop Management
2.3. Traits Measurement and Parameters Estimates
2.4. Statistical Analysis
3. Results
3.1. Cropping System Significantly Impacts the Socioeconomic Benefits of Rice Production
3.2. Difference in Production and Socioeconomic Benefits among Rice Cropping Systems
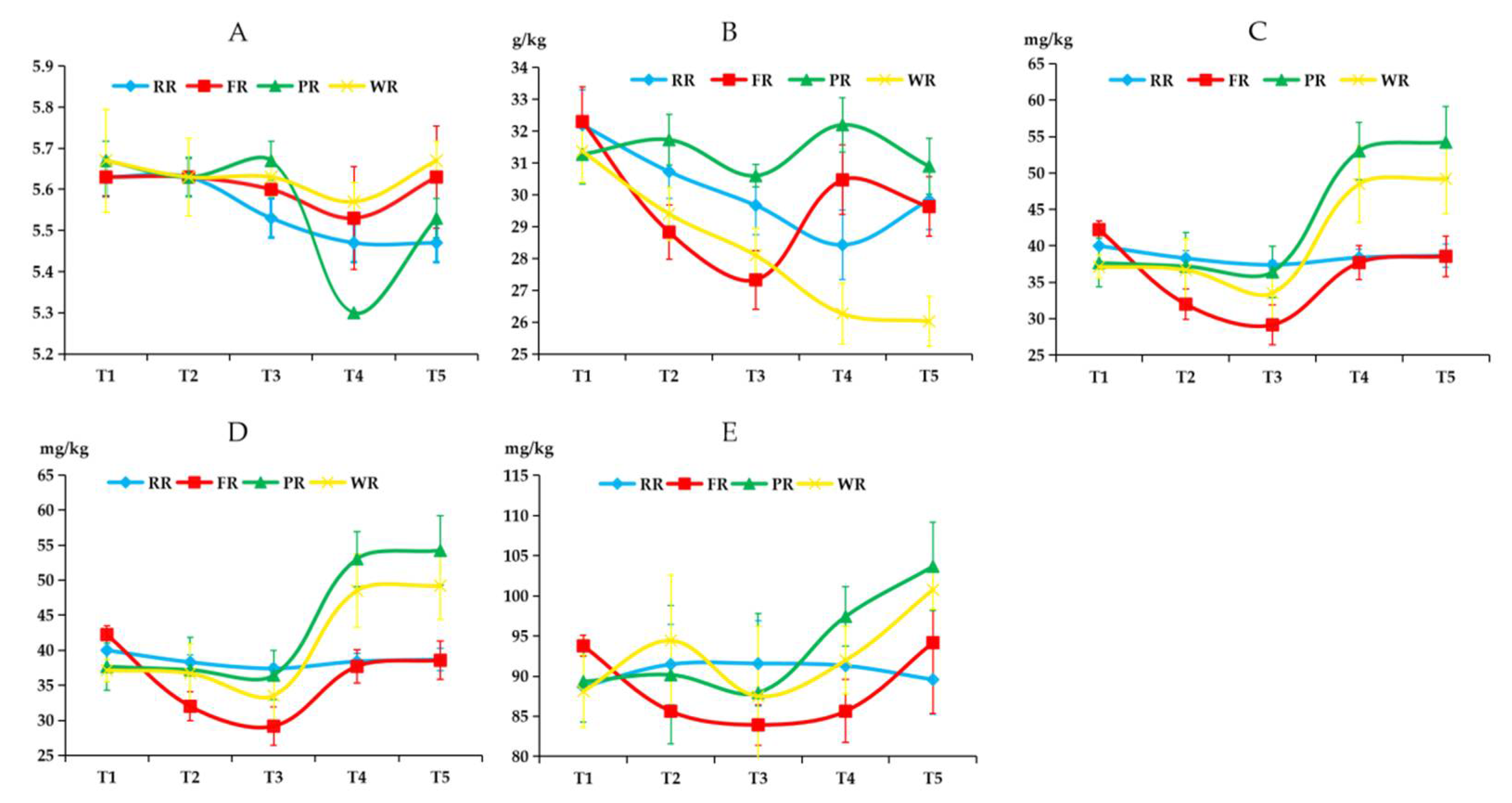
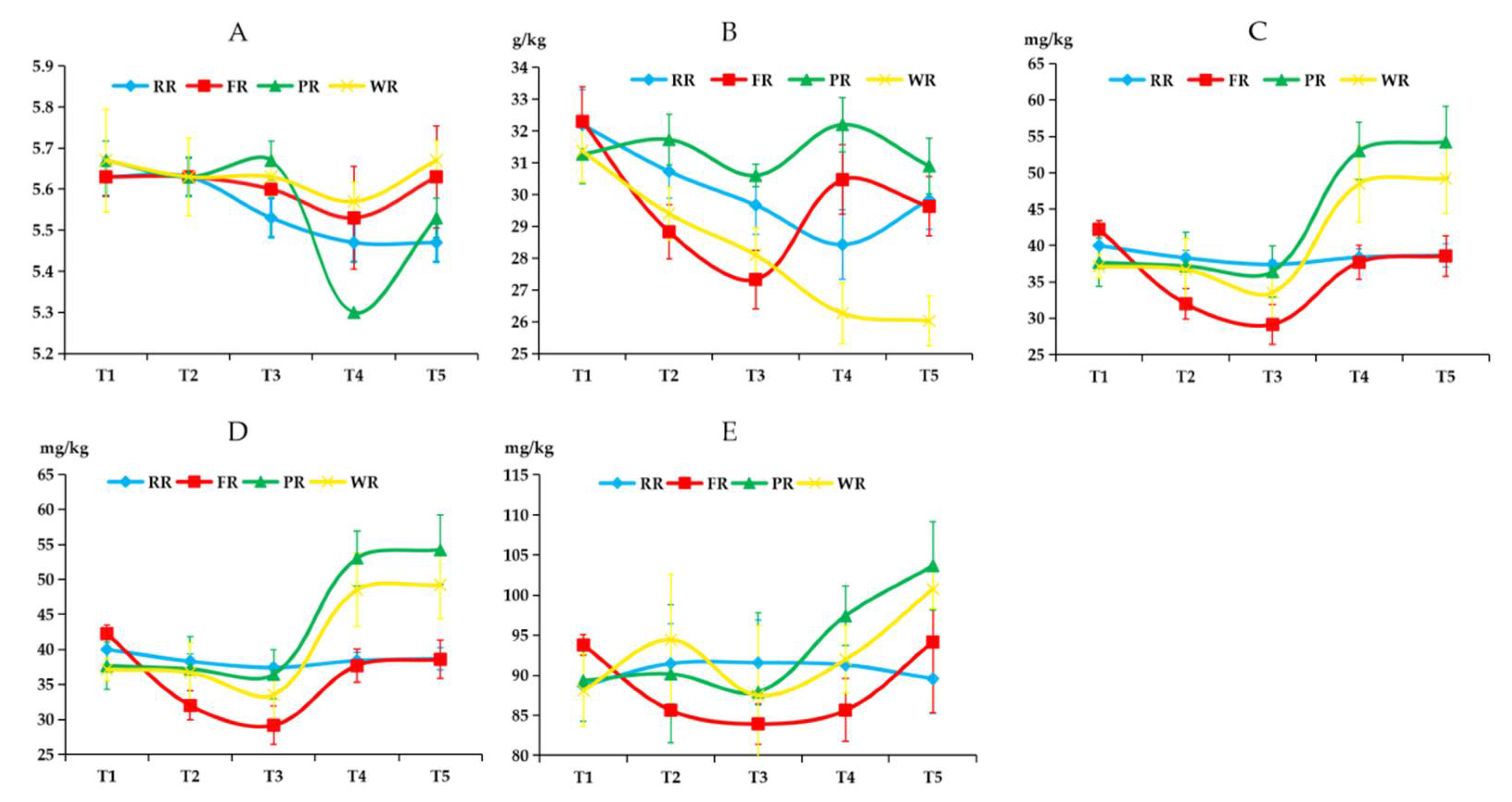
3.3. Effects of Cropping Systems on the Chemical and Physical Properties of Soils
3.4. Effects of Cropping Systems on Benefits and Externalities of Rice Production
4. Discussion
4.1. PR is Worth Implementing on the Basis of Rice Production Benefits
4.2. The Amortized Cost of Fallow Should Be Considered in Production Analysis
4.3. Accurate Management of Water and Fertilizer Could Constitute Supplementary Measures for Rice Production Following Crop Rotation
4.4. Externalities and Sunk Costs Are an Important Basis for Making Agricultural Policies
5. Conclusions
Supplementary Materials
Author Contributions
Funding
Institutional Review Board Statement
Informed Consent Statement
Data Availability Statement
Acknowledgments
Conflicts of Interest
References
- Burdon, J.J.; Barrett, L.G.; Yang, L.N.; He, D.C.; Zhan, J. Maximizing world food production through disease control. BioScience 2020, 70, 126–128. [Google Scholar] [CrossRef]
- Ray, D.K.; West, P.C.; Clark, M.; Gerber, J.S.; Prishchepov, A.V.; Chatterjee, S. Climate change has likely already affected global food production. PLoS ONE 2019, 14, e0217148. [Google Scholar] [CrossRef]
- Liu, M.; Pan, T.; Allakhverdiev, S.I.; Yu, M.; Shabala, S. Crop halophytism: An environmentally sustainable solution for global food security. Trends Plant Sci. 2020, 25, 630–634. [Google Scholar] [CrossRef]
- Yildiz, T. An input-output energy analysis of wheat production in Carsamba district of Samsun province. J. Agric. Fac. Gaziosmanpasa Univ. 2016, 33, 10–20. [Google Scholar] [CrossRef]
- Schepers, H.; Cooke, L. Potato Production in Northern and Western Europe. In Fungicide Resistance in Plant Pathogens: Principles and a Guide to Practical Management; Ishii, H., Hollomon, D.W., Eds.; Springer: Tokyo, Japan, 2015; pp. 237–278. [Google Scholar]
- Gullino, M.L.; Garibaldi, A. Disease of roses: Evolution of problems and new approaches for their control. Acta Hortic. 1996, 422, 195–201. [Google Scholar] [CrossRef]
- Köller, W.; Wilcox, W.F. Evidence for the predisposition of fungicide-resistant Isolates of Venturia inaequalis to a preferential selection for resistance to other fungicides. Phytopathology 2001, 91, 776–781. [Google Scholar] [CrossRef]
- Chatzidimopoulos, M.; Lioliopoulou, F.; Sotiropoulos, T.; Vellios, E. Efficient Control of Apple Scab with Targeted Spray Applications. Agronomy 2020, 10, 217. [Google Scholar] [CrossRef]
- Moradi, M.; Nematollahi, M.A.; Mousavi Khaneghah, A.; Pishgar-Komleh, S.H.; Rajabi, M.R. Comparison of energy consumption of wheat production in conservation and conventional agriculture using DEA. Environ. Sci. Pollut. Res. Int. 2018, 25, 35200–35209. [Google Scholar] [CrossRef]
- Yang, L.N.; Pan, Z.C.; Zhu, W.; Wu, E.J.; He, D.C.; Yuan, X.; Qin, Y.Y.; Wang, Y.; Chen, R.S.; Thrall, P.H.; et al. Enhanced agricultural sustainability through within-species diversification. Nat. Sustain. 2019, 2, 46–52. [Google Scholar] [CrossRef]
- Francaviglia, R.; Álvaro-Fuentes, J.; Di Bene, C.; Gai, L.; Regina, K.; Turtola, E. Diversified arable cropping systems and management schemes in selected European regions have positive effects on soil organic carbon content. Agriculture 2019, 9, 261. [Google Scholar] [CrossRef]
- Döring, T.F.; Annicchiarico, P.; Clarke, S.; Haigh, Z.; Jones, H.E.; Pearce, H.; Snape, J.; Zhan, J.; Wolfe, M.S. Comparative analysis of performance and stability among composite cross populations, variety mixtures and pure lines of winter wheat in organic and conventional cropping systems. Field Crops Res. 2015, 183, 235–245. [Google Scholar] [CrossRef]
- Hondrade, R.F.; Hondrade, E.; Zheng, L.; Elazegui, F.; Duque, J.L.J.E.; Mundt, C.C.; Cruz, C.M.V.; Garrett, K.A. Cropping system diversification for food production in Mindanao rubber plantations: A rice cultivar mixture and rice intercropped with mungbean. PeerJ 2017, 5, e2975. [Google Scholar] [CrossRef]
- Sogoba, B.; Traoré, B.; Safia, A.; Samaké, O.B.; Dembélé, G.; Diallo, S.; Kaboré, R.; Benié, G.B.; Zougmoré, R.B.; Goïta, K. On-farm evaluation on yield and economic performance of cereal-cowpea intercropping to support the smallholder farming system in the Soudano-Sahelian zone of mali. Agriculture 2020, 10, 214. [Google Scholar] [CrossRef]
- Tamburini, G.; Bommarco, R.; Wanger, T.C.; Kremen, C.; van der Heijden, M.G.A.; Liebman, M.; Hallin, S. Agricultural diversification promotes multiple ecosystem services without compromising yield. Sci. Adv. 2020, 6, eaba1715. [Google Scholar] [CrossRef]
- Cardinale, B.J.; Duffy, J.E.; Gonzalez, A.; Hooper, D.U.; Perrings, C.; Venail, P.; Narwani, A.; Mace, G.M.; Tilman, D.; Wardle, D.A.; et al. Biodiversity loss and its impact on humanity. Nature 2012, 486, 59–67. [Google Scholar] [CrossRef]
- Wagg, C.; Bender, S.F.; Widmer, F.; van der Heijden, M.G. Soil biodiversity and soil community composition determine ecosystem multifunctionality. Proc. Natl. Acad. Sci. USA 2014, 111, 5266–5270. [Google Scholar] [CrossRef]
- Renard, D.; Tilman, D. National food production stabilized by crop diversity. Nature 2019, 571, 257–260. [Google Scholar] [CrossRef]
- He, D.C.; Zhan, J.S.; Xie, L.H. Problems, challenges and future of plant disease management: From an ecological point of view. J. Integr. Agric. 2016, 15, 705–715. [Google Scholar] [CrossRef]
- Muehe, E.M.; Wang, T.; Kerl, C.F.; Planer-Friedrich, B.; Fendorf, S. Rice production threatened by coupled stresses of climate and soil arsenic. Nat. Commun. 2019, 10, 4985. [Google Scholar] [CrossRef]
- Tunc, T.; Sahin, U.; Evren, S.; Dasci, E.; Guney, E.; Aslantas, R.J.S.H. The deficit irrigation productivity and economy in strawberry in the different drip irrigation practices in a high plain with semi-arid climate. Sci. Hortic. 2019, 245, 47–56. [Google Scholar] [CrossRef]
- Wehmeyer, H.; de Guia, A.H.; Connor, M. Reduction of fertilizer use in South China—impacts and implications on smallholder rice farmers. Sustainability 2020, 12, 2240. [Google Scholar] [CrossRef]
- Azman Halimi, R.; Barkla, B.J.; Andrés-Hernandéz, L.; Mayes, S.; King, G.J. Bridging the food security gap: An information-led approach to connect dietary nutrition, food composition and crop production. J. Sci. Food Agric. 2020, 100, 1495–1504. [Google Scholar] [CrossRef] [PubMed]
- Wang, D.; Huang, J.; Nie, L.; Wang, F.; Ling, X.; Cui, K.; Li, Y.; Peng, S. Integrated crop management practices for maximizing grain yield of double-season rice crop. Sci. Rep. 2017, 7, 38982. [Google Scholar] [CrossRef] [PubMed]
- Schneider, M.; Pereira, É.R.; Castilho, I.N.B.; Carasek, E.; Welz, B.; Martens, I.B.G. A simple sample preparation procedure for the fast screening of selenium species in soil samples using alkaline extraction and hydride-generation graphite furnace atomic absorption spectrometry. Microchem. J. 2016, 125, 50–55. [Google Scholar] [CrossRef]
- Gholizadeh, A.; Borůvka, L.; Saberioon, M.; Vašát, R. Visible, near-infrared, and mid-infrared spectroscopy applications for soil assessment with emphasis on soil organic matter content and quality: State-of-the-art and key issues. Appl. Spectrosc. 2013, 67, 1349–1362. [Google Scholar] [CrossRef]
- Yang, J.S.; Li, P.; Ding, Y. Comparison with determing methods of organic matter for sludge compost in different treatments. Appl. Mech. Mater. 2012, 1802, 1070–1074. [Google Scholar] [CrossRef]
- Iatrou, M.; Papadopoulos, A.; Papadopoulos, F.; Dichala, O.; Psoma, P.; Bountla, A. Determination of soil available phosphorus using the olsen and mehlich 3 methods for greek soils having variable amounts of calcium carbonate. Commun. Soil Sci. Plant Anal. 2014, 45, 2207–2214. [Google Scholar] [CrossRef]
- Ogunbileje, J.O.; Sadagoparamanujam, V.M.; Anetor, J.I.; Farombi, E.O.; Akinosun, O.M.; Okorodudu, A.O. Lead, mercury, cadmium, chromium, nickel, copper, zinc, calcium, iron, manganese and chromium (VI) levels in Nigeria and United States of America cement dust. Chemosphere 2013, 90, 2743–2749. [Google Scholar] [CrossRef]
- Stenberg, B.; Viscarra Rossel, R.A.; Mouazen, A.M.; Wetterlind, J. Visible and near infrared spectroscopy in soil science. Adv. Agron. 2010, 107, 163–215. [Google Scholar]
- Zheng, R.; Zhan, J.; Liu, L.; Ma, Y.; Wang, Z.; Xie, L.; He, D. Factors and minimal subsidy associated with tea farmers’ willingness to adopt ecological pest management. Sustainability 2019, 11, 6190. [Google Scholar] [CrossRef]
- Suma, P.; Chinnici, G.; La Pergola, A.; Russo, A.; Bella, S.; Pecorino, B.; Pappalardo, G. Assessing the technical effectiveness and economic feasibility of pest management through structural heat treatment: An entomological and economic analysis in four mills in Sicily (Italy). J. Econ. Entomol. 2019, 112, 957–962. [Google Scholar] [CrossRef] [PubMed]
- Janssens de Bisthoven, L.; Vanhove, M.P.M.; Rochette, A.J.; Hugé, J.; Verbesselt, S.; Machunda, R.; Munishi, L.; Wynants, M.; Steensels, A.; Malan-Meerkotter, M.; et al. Social-ecological assessment of lake manyara basin, tanzania: A mixed method approach. J. Environ. Manag. 2020, 267, 110594. [Google Scholar] [CrossRef] [PubMed]
- De Marinis, P.; Sali, G. Participatory analytic hierarchy process for resource allocation in agricultural development projects. Eval. Program Plan. 2020, 80, 101793. [Google Scholar] [CrossRef] [PubMed]
- Eliazar, I.; Metzler, R.; Reuveni, S. Gumbel central limit theorem for max-min and min-max. Phys. Rev. E 2019, 100, 020104. [Google Scholar] [CrossRef]
- Sun, L.; Deng, J.; Fan, C.; Li, J.; Liu, Y. Combined effects of nitrogen fertilizer and biochar on greenhouse gas emissions and net ecosystem economic budget from a coastal saline rice field in southeastern China. Environ. Sci. Pollut. Res. Int. 2020, 27, 17013–17022. [Google Scholar] [CrossRef]
- Costa, M.P.; Chadwick, D.; Saget, S.; Rees, R.M.; Styles, D. Representing crop rotations in life cycle assessment: A review of legume lca studies. Int. J. Life Cycle Assess. 2020, 25, 1–15. [Google Scholar] [CrossRef]
- Laik, R.; Sharma, S.; Idris, M.; Singh, A.K.; Singh, S.S.; Bhatt, B.P.; Saharawat, Y.; Humphreys, E.; Ladha, J.K. Integration of conservation agriculture with best management practices for improving system performance of the rice–wheat rotation in the Eastern Indo-Gangetic Plains of India. Agric. Ecosyst. Environ. 2014, 195, 68–82. [Google Scholar] [CrossRef]
- Meetei, T.T.; Kundu, M.C.; Devi, Y.B. Long-term effect of rice-based cropping systems on pools of soil organic carbon in farmer’s field in hilly agroecosystem of Manipur, India. Environ. Monit. Assess. 2020, 192, 209. [Google Scholar] [CrossRef]
- Liang, S.M.; Ren, C.; Wang, P.J.; Wang, X.T.; Li, Y.S.; Xu, F.H.; Wang, Y.; Dai, Y.Q.; Zhang, L.; Li, X.P.; et al. Improvements of emergence and tuber yield of potato in a seasonal spring arid region using plastic film mulching only on the ridge. Field Crops Res. 2018, 223, 57–65. [Google Scholar] [CrossRef]
- Wheeler, R.M.; Fitzpatrick, A.H.; Tibbitts, T.W. Potatoes as a Crop for Space Life Support: Effect of CO (2), Irradiance, and Photoperiod on Leaf Photosynthesis and Stomatal Conductance. Front. Plant Sci. 2019, 10, 1632. [Google Scholar] [CrossRef]
- Zhao, J.; Zhan, X.; Jiang, Y.; Xu, J. Variations in climatic suitability and planting regionalization for potato in northern China under climate change. PLoS ONE 2018, 13, e0203538. [Google Scholar] [CrossRef] [PubMed]
- Kang, S.W.; Seo, D.C.; Kim, S.Y.; Cho, J.S. Utilization of liquid pig manure for resource cycling agriculture in rice-green manure crop rotation in South Korea. Environ. Monit. Assess. 2020, 192, 323. [Google Scholar] [CrossRef] [PubMed]
- Gao, S.; Zhou, G.; Rees, R.M.; Cao, W. Green manuring inhibits nitrification in a typical paddy soil by changing the contributions of ammonia-oxidizing archaea and bacteria. Appl. Soil. Ecol. 2020, 156, 103698. [Google Scholar] [CrossRef]
- Sawe, T.; Eldegard, K.; Totland, Ø.; Macrice, S.; Nielsen, A. Enhancing pollination is more effective than increased conventional agriculture inputs for improving watermelon yields. Ecol. Evol. 2020, 10, 5343–5353. [Google Scholar] [CrossRef] [PubMed]
- Brown, L.K.; Kazas, C.; Stockan, J.; Hawes, C.; Stutter, M.; Ryan, C.M.; Squire, G.R.; George, T.S. Is Green Manure from Riparian Buffer Strip Species an Effective Nutrient Source for Crops? J. Environ. Qual. 2019, 48, 385–393. [Google Scholar] [CrossRef]
- Ai, Y.J.; Li, F.P.; Gu, H.H.; Chi, X.J.; Yuan, X.T.; Han, D.Y. Combined effects of green manure returning and addition of sewage sludge compost on plant growth and microorganism communities in gold tailings. Environ. Sci. Pollut. Res. Int. 2020, 27, 31686–31698. [Google Scholar] [CrossRef]
- Kumar, R.; Mishra, J.S.; Rao, K.K.; Mondal, S.; Hazra, K.K.; Choudhary, J.S.; Hans, H.; Bhatt, B.P. Crop rotation and tillage management options for sustainable intensification of rice-fallow agro-ecosystem in eastern India. Sci. Rep. 2020, 10, 11146. [Google Scholar] [CrossRef]
- Ray, K.; Sen, P.; Goswami, R.; Sarkar, S.; Brahmachari, K.; Ghosh, A.; Nanda, M.K.; Mainuddin, M. Profitability, energetics and GHGs emission estimation from rice-based cropping systems in the coastal saline zone of West Bengal, India. PLoS ONE 2020, 15, e0233303. [Google Scholar] [CrossRef]
- Khan, F.; Hussain, S.; Tanveer, M.; Khan, S.; Hussain, H.A.; Iqbal, B.; Geng, M. Coordinated effects of lead toxicity and nutrient deprivation on growth, oxidative status, and elemental composition of primed and non-primed rice seedlings. Environ. Sci. Pollut. Res. Int. 2018, 25, 21185–21194. [Google Scholar] [CrossRef]
- Yang, J.; Zhou, Q.; Zhang, J. Moderate wetting and drying increases rice yield and reduces water use, grain arsenic level, and methane emission. Crops J. 2017, 5, 151–158. [Google Scholar] [CrossRef]
- Francaviglia, R.; Álvaro-Fuentes, J.; Di Bene, C.; Gai, L.; Regina, K.; Turtola, E. Diversification and Management Practices in Selected European Regions. A Data Analysis of Arable Crops Production. Agronomy 2020, 10, 297. [Google Scholar] [CrossRef]
- Hou, P.; Yu, Y.; Xue, L.; Petropoulos, E.; He, S.; Zhang, Y.; Pandey, A.; Xue, L.; Yang, L.; Chen, D. Effect of long term fertilization management strategies on methane emissions and rice yield. Sci. Total Environ. 2020, 725, 138261. [Google Scholar] [CrossRef] [PubMed]
- Nguyen Van, H.; Sander, B.O.; Quilty, J.; Balingbing, C.; Castalone, A.G.; Romasanta, R.; Alberto, M.C.R.; Sandro, J.M.; Jamieson, C.; Gummert, M. An assessment of irrigated rice production energy efficiency and environmental footprint with in-field and off-field rice straw management practices. Sci. Rep. 2019, 9, 16887. [Google Scholar] [CrossRef] [PubMed]
- Yanakittkul, P.; Aungvaravong, C. A model of farmers intentions towards organic farming: A case study on rice farming in Thailand. Heliyon 2020, 6, e03039. [Google Scholar] [CrossRef]
- Zeng, Y.; Zhang, J.; He, K.; Cheng, L. Who cares what parents think or do? Observational learning and experience-based learning through communication in rice farmers’ willingness to adopt sustainable agricultural technologies in Hubei Province, China. Environ. Sci. Pollut. Res. Int. 2019, 26, 12522–12536. [Google Scholar] [CrossRef]
- Ito, S. Contemporary global rice economies: Structural changes of rice production, consumption and trade. J. Nutr. Sci. Vitaminol. 2019, 65, S23–S25. [Google Scholar] [CrossRef]
- Chang, Y.; Zhang, Z.; Yoshino, K.; Zhou, S. Farmers’ tea and nation’s trees: A framework for eco-compensation assessment based on a subjective-objective combination analysis. J. Environ. Manag. 2020, 269, 110775. [Google Scholar] [CrossRef]
- Senapati, A.K. Evaluation of risk preferences and coping strategies to manage with various agricultural risks: Evidence from India. Heliyon 2020, 6, 6. [Google Scholar] [CrossRef]
- Cui, Z.; Zhang, H.; Chen, X.; Zhang, C.; Ma, W.; Huang, C.; Zhang, W.; Mi, G.; Miao, Y.; Li, X.; et al. Pursuing sustainable productivity with millions of smallholder farmers. Nature 2018, 555, 363–366. [Google Scholar] [CrossRef]
- Caicedo Solano, N.E.; García Llinás, G.A.; Montoya-Torres, J.R. Towards the integration of lean principles and optimization for agricultural production systems: A conceptual review proposition. J. Sci. Food Agric. 2020, 100, 453–464. [Google Scholar] [CrossRef]


| Parameter | Yield | Harvest Index | Profit | Profit Margin | ||||||||
|---|---|---|---|---|---|---|---|---|---|---|---|---|
| DF | F | P | DF | F | P | DF | F | P | DF | F | P | |
| Cultivar | 1 | 0.427 | 0.517 | 1 | 0.603 | 0.442 | 1 | 0.360 | 0.552 | 1 | 0.360 | 0.552 |
| Cropping system | 3 | 3.193 | 0.034 | 3 | 1.166 | 0.335 | 3 | 2.967 | 0.043 | 3 | 2.967 | 0.043 |
| Cultivar × Cropping system | 3 | 0.295 | 0.829 | 3 | 0.511 | 0.677 | 3 | 0.291 | 0.831 | 3 | 0.291 | 0.831 |
| Error | 40 | 40 | 40 | 40 | ||||||||
| Cropping System | Yield t/ha | Harvest Index % | Profit US Dollar/ha | Profit Margin % |
|---|---|---|---|---|
| RR | 5.2 b | 42.2 a | 162 c | 8.5 c |
| FR | 6.1 ab | 45.1 a | 465 b | 24.4 b |
| PR | 7.1 a | 42.8 a | 826 a | 43.4 a |
| WR | 5.9 b | 45.8 a | 385 b | 20.2 b |
| Cropping System | pH | SOM g/kg | N mg/kg | P mg/kg | K mg/kg | SCP |
|---|---|---|---|---|---|---|
| RR | 5.50 b | 29.75 a | 127.00 b | 38.03 ab | 90.57 a | 0.3850 b |
| FR | 5.62 a | 28.48 ab | 131.83 b | 33.87 b | 89.05 a | 0.3833 b |
| PR | 5.60 a | 30.75 a | 156.55 a | 45.33 a | 95.80 a | 0.6850 a |
| WR | 5.65 a | 27.07 b | 132.62 b | 41.37 ab | 94.13 a | 0.5050 ab |
| Cropping System | Pb mg/kg | Hg mg/kg | Cr mg/kg | Cd mg/kg | Cu mg/kg | Zn mg/kg | SHM |
|---|---|---|---|---|---|---|---|
| RR | 56.18 a | 0.11 a | 47.82 a | 0.25 a | 46.70 a | 147.15 a | 0.7650 a |
| FR | 40.60 b | 0.10 a | 30.21 b | 0.18 b | 38.25 ab | 139.97 ab | 0.4000 b |
| PR | 51.70 ab | 0.10 a | 33.40 b | 0.22 ab | 43.67 ab | 127.22 bc | 0.4850 b |
| WR | 48.27 ab | 0.10 a | 38.07 b | 0.22 ab | 31.63 b | 115.23 c | 0.4333 b |
| Cropping System | Economic Benefit | Social Benefit | Ecological Benefit | Comprehensive Benefit | Externality Value US Dollar/ha |
|---|---|---|---|---|---|
| RR | 0.1735 b | 0.0537 b | 0.0047 b | 0.2319 b | 0 |
| FR | 0.3028 ab | 0.0872 ab | 0.0083 ab | 0.3984 ab | 157 |
| PR | 0.4009 a | 0.1105 a | 0.0155 a | 0.5269 a | 348 |
| WR | 0.2286 b | 0.0708 b | 0.0100 ab | 0.3094 b | 133 |
Publisher’s Note: MDPI stays neutral with regard to jurisdictional claims in published maps and institutional affiliations. |
© 2021 by the authors. Licensee MDPI, Basel, Switzerland. This article is an open access article distributed under the terms and conditions of the Creative Commons Attribution (CC BY) license (http://creativecommons.org/licenses/by/4.0/).
Share and Cite
He, D.-C.; Ma, Y.-L.; Li, Z.-Z.; Zhong, C.-S.; Cheng, Z.-B.; Zhan, J. Crop Rotation Enhances Agricultural Sustainability: From an Empirical Evaluation of Eco-Economic Benefits in Rice Production. Agriculture 2021, 11, 91. https://doi.org/10.3390/agriculture11020091
He D-C, Ma Y-L, Li Z-Z, Zhong C-S, Cheng Z-B, Zhan J. Crop Rotation Enhances Agricultural Sustainability: From an Empirical Evaluation of Eco-Economic Benefits in Rice Production. Agriculture. 2021; 11(2):91. https://doi.org/10.3390/agriculture11020091
Chicago/Turabian StyleHe, Dun-Chun, Yan-Li Ma, Zhuan-Zhuan Li, Chang-Sui Zhong, Zhao-Bang Cheng, and Jiasui Zhan. 2021. "Crop Rotation Enhances Agricultural Sustainability: From an Empirical Evaluation of Eco-Economic Benefits in Rice Production" Agriculture 11, no. 2: 91. https://doi.org/10.3390/agriculture11020091
APA StyleHe, D.-C., Ma, Y.-L., Li, Z.-Z., Zhong, C.-S., Cheng, Z.-B., & Zhan, J. (2021). Crop Rotation Enhances Agricultural Sustainability: From an Empirical Evaluation of Eco-Economic Benefits in Rice Production. Agriculture, 11(2), 91. https://doi.org/10.3390/agriculture11020091

