Hydropriming with Moringa Leaf Extract Mitigates Salt Stress in Wheat Seedlings
Abstract
1. Introduction
2. Material and Methods
2.1. Moringa Leaf Extract Preparation
2.2. Seed Germination and Seedling Growth
2.3. Determination of Growth
2.4. Determination of Macro and Micronutrients
2.5. Determination of Oxidative Stress Indices; Hydrogen Peroxide
2.6. Statistical Analysis
3. Results
3.1. Germination
3.2. Growth
3.3. Macronutrients
3.4. Micronutrients
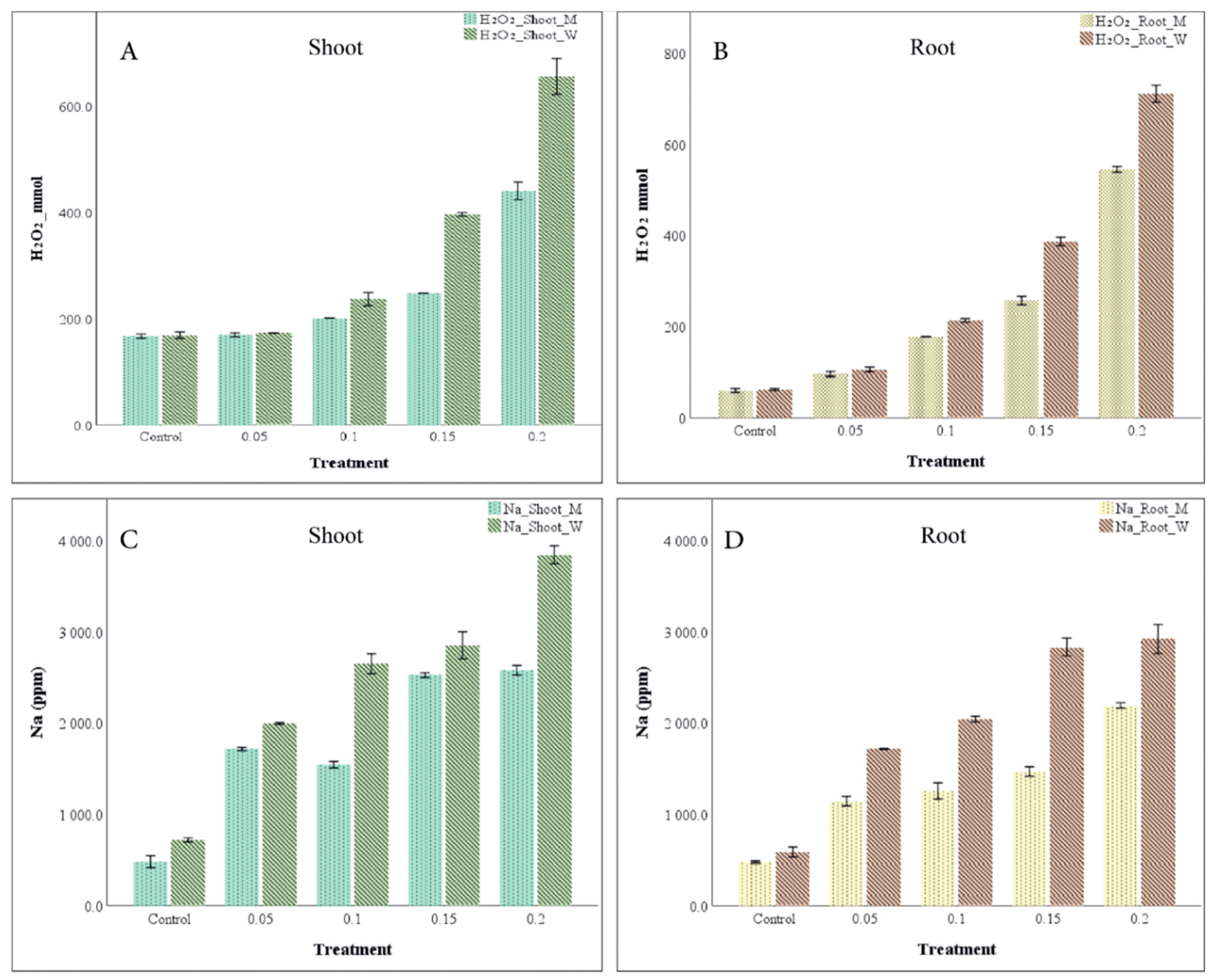
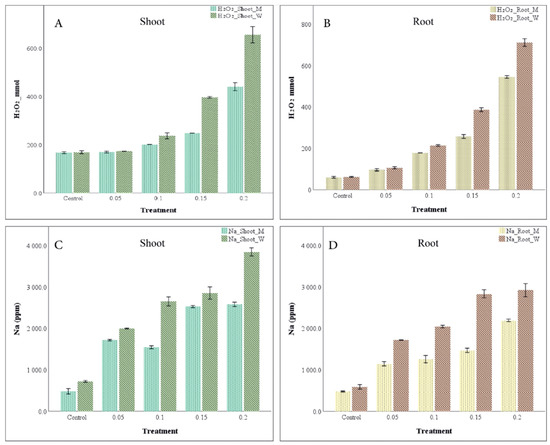
3.5. H2O2 and Na+ Contents
3.6. Linear Regression and PCA
4. Discussion
5. Conclusions
Author Contributions
Funding
Institutional Review Board Statement
Informed Consent Statement
Data Availability Statement
Conflicts of Interest
References
- Khalid, M.F.; Hussain, S.; Ahmad, S.; Ejaz, S.; Zakir, I.; Ali, M.A.; Ahmed, N.; Anjum, M.A. Impacts of Abiotic Stresses on Growth and Development of Plants. In Plant Tolerance to Environmental Stress; CRC Press: Boca Raton, FL, USA, 2019; pp. 1–8. [Google Scholar]
- ALWawi, H. Selection Some Promise Genotypes of Wheat (Triticum aestivum L.) Under Local Conditions of Qatar. J. Agric. Sci. 2011, 4, 189–192. [Google Scholar] [CrossRef]
- Gama, P.B.S.; Inanaga, S.; Tanaka, K.; Nakazawa, R. Physiological response of common bean (Phaseolus vulgaris L.) seedlings to salinity stress. African J. Biotechnol. 2007, 6, 79–88. [Google Scholar] [CrossRef]
- Fazlali, R.; Eradatmand Asli, D.; Moradi, P. The effect of seed priming by ascorbic acid on bioactive compounds of naked Seed pumpkin (Cucurbita pepovar. styriaca) under salinity stress. Int. J. Farming Allied Sci. 2013, 2, 587–590. [Google Scholar]
- Rouhi, H.R.; Aboutalebian, M. Effects of hydro and osmopriming on drought stress tolerance during germination in four grass species. Int. J. AgriScience 2011, 1, 107–114. [Google Scholar]
- Omid, L.; Ali, A.G.; Ahmad, S.; Rad Amirhosein, S.; Samaneh, M.; Leila, M. The Effect of Low Temperature during Germination Stage on Seeds Germination Characteristics of 12 Cultivars of Spring Rapeseed (Brasicca napus L.). Available online: https://www.gcirc.org/fileadmin/documents/Proceedings/IRCWuhan2007vol3/316-318.pdf (accessed on 1 November 2021).
- Khalid, M.F.; Hussain, S.; Akbar Anjum, M.; Arif Ali, M.; Ahmad, S.; Ejaz, S.; Ali, S.; Usman, M.; Ul Haque, E.; Morillon, R. Efficient compartmentalization and translocation of toxic minerals lead tolerance in volkamer lemon tetraploids more than diploids under moderate and high salt stress. Fruits 2020, 75, 204–215. [Google Scholar] [CrossRef]
- Siddhuraju, P.; Becker, K. Antioxidant properties of various solvent extracts of total phenolic constituents from three different agroclimatic origins of drumstick tree (Moringa oleifera Lam.) leaves. J. Agric. Food Chem. 2003, 51, 2144–2155. [Google Scholar] [CrossRef] [PubMed]
- Foidl, N.; Makkar, H.P.S.; Becker, K.; Foild, N.; Km, S. The Potential of Moringa oleifera for Agricultural and Industrial Uses. What Dev. Potential Moringa Prod. 2001, 20, 1–20. [Google Scholar]
- Yang, R.Y.; Tsou, S.C.S.; Lee, T.C.; Chang, L.C.; Kuo, G.; Lai, P.Y. Moringa, a novel plant rich in antioxidants, bioavailable iron, and nutrients. In Proceedings of the ACS Symposium Series; ACS Publication: Washington, DC, USA, 2006; Volume 925, pp. 224–239. [Google Scholar]
- Taiz, L.; Zeiger, E. Responses and Adaptations to Abiotic Stress. In Plant Physiology; Sinauer Associates, Inc.: Sunderland, MA, USA, 2010; pp. 755–788. [Google Scholar]
- Yasmeen, A.; Basra, S.M.A.; Farooq, M.; Rehman, H.U.; Hussain, N.; Athar, H.U.R. Exogenous application of moringa leaf extract modulates the antioxidant enzyme system to improve wheat performance under saline conditions. Plant Growth Regul. 2013, 69, 225–233. [Google Scholar] [CrossRef]
- Elezz, A.A.; Ahmed, T.A. The efficacy data of two household cleaning and disinfecting agents on Lens culinaris Medik and Vicia faba seed germination. Data Br. 2021, 35, 106811. [Google Scholar] [CrossRef] [PubMed]
- Velikova, V.; Yordanov, I.; Edreva, A. Oxidative stress and some antioxidant systems in acid rain-treated bean plants. Plant Sci. 2000, 151, 59–66. [Google Scholar] [CrossRef]
- Tripathi, D.K.; Singh, V.P.; Prasad, S.M.; Dubey, N.K.; Chauhan, D.K.; Rai, A.K. LIB spectroscopic and biochemical analysis to characterize lead toxicity alleviative nature of silicon in wheat (Triticum aestivum L.) seedlings. J. Photochem. Photobiol. B Biol. 2016, 154, 89–98. [Google Scholar] [CrossRef]
- Khalid, M.F.; Hussain, S.; Anjum, M.A.; Ahmad, S.; Ali, M.A.; Ejaz, S.; Morillon, R. Better salinity tolerance in tetraploid vs. diploid volkamer lemon seedlings is associated with robust antioxidant and osmotic adjustment mechanisms. J. Plant Physiol. 2020, 244, 153071. [Google Scholar] [CrossRef] [PubMed]
- Makkar, H.P.S.; Francis, G.; Becker, K. Bioactivity of phytochemicals in some lesser-known plants and their effects and potential applications in livestock and aquaculture production systems. Animal 2007, 1, 1371–1391. [Google Scholar] [CrossRef]
- Alvarado, A.D.; Bradford, K.J.; Hewitt, J.D. Osmotic priming of tomato seeds: Effects on germination, field emergence, seedling growth, and fruit yield. J. Am. Soc. Hortic. Sci. 1987, 112, 427–432. [Google Scholar]
- DELL’AQUILA, A.; BEWLEY, J.D. Protein Synthesis in the Axes of Polyethylene Glycol-Treated Pea Seed and during Subsequent Germination. J. Exp. Bot. 1989, 40, 1001–1007. [Google Scholar] [CrossRef]
- Demir, I.; Ermis, S. Effect of controlled hydration treatment on germination and seedling growth under salt stress during development in tomato seeds. Eur. J. Hortic. Sci. 2003, 68, 53–58. [Google Scholar]
- Yaǧmur, M.; Kaydan, D. Alleviation of osmotic stress of water and salt in germination and seedling growth of triticale with seed priming treatments. African J. Biotechnol. 2008, 7, 2156–2162. [Google Scholar] [CrossRef]
- Sakhabutdinova, A.R.; Fatkhutdinova, D.R.; Bezrukova, M.V.; Shakirova, F.M. Salicylic Acid Prevents the Damaging Action of Stress Factors on Wheat Plants. Bulg. J. Plant Physiol. 2003, 314–319. [Google Scholar]
- Meriem, B.F.; Kaouther, Z.; Chérif, H.; Tijani, M.; André, B.; Meriem, B.F.; Kaouther, Z.; Chérif, H.; Tijani, M.; André, B. Effect of priming on growth, biochemical parameters and mineral composition of different cultivars of coriander (Coriandrum sativum L.) under salt stress. J. Stress Physiol. Biochem. 2014, 10, 84–109. [Google Scholar]
- Mirabi, E.; Hasanabadi, M. Effect of seed priming on some characteristic of seedling and seed vigor of tomato (Lycopersicon esculentum). J. Adv. Lab. Res. Biol. 2012, 3, 237–240. [Google Scholar]
- Hussain, S.; Khalid, M.F.; Hussain, M.; Ali, M.A.; Nawaz, A.; Zakir, I.; Fatima, Z.; Ahmad, S. Role of Micronutrients in Salt Stress Tolerance to Plants. In Plant Nutrients and Abiotic Stress Tolerance; Springer: Singapore, 2018; pp. 363–376. ISBN 9789811090448. [Google Scholar]
- Gill, S.S.; Tuteja, N. Reactive oxygen species and antioxidant machinery in abiotic stress tolerance in crop plants. Plant Physiol. Biochem. 2010, 48, 909–930. [Google Scholar] [CrossRef] [PubMed]
- Khalid, M.F.; Morillon, R.; Anjum, M.A.; Ejaz, S.; Rao, M.J.; Ahmad, S.; Hussain, S. Volkamer Lemon Tetraploid Rootstock Transmits the Salt Tolerance When Grafted with Diploid Kinnow Mandarin by Strong Antioxidant Defense Mechanism and Efficient Osmotic Adjustment. J. Plant Growth Regul. 2021, 1–13. [Google Scholar] [CrossRef]
- Umair, A.; Ali, S.; Tareen, M.J.; Ali, I.; Tareen, M.N. Effects of Seed Priming on the Antioxidant Enzymes Activity of Mungbean (Vigna radiata) Seedlings. Pakistan J. Nutr. 2012, 11, 140–144. [Google Scholar] [CrossRef][Green Version]
- Ali, A.; Abbas, M.N.; Maqbool, M.M.; Haq, T.U.; Mahpara, S.; Mehmood, R.; Arshad, M.I.; Lee, D.J. Optimizing the various doses of moringa (Moringa oleifera) leaf extract for salt tolerance in maize at seedling stage. Life Sci. J. 2021, 7, 18. [Google Scholar] [CrossRef]
- Rady, M.M.; Varma, B.; Howladar, S.M. Common bean (Phaseolus vulgaris L.) seedlings overcome NaCl stress as a result of presoaking in Moringa oleifera leaf extract. Sci. Hortic. 2013, 162, 63–70. [Google Scholar] [CrossRef]




| Treatments (NaCl) | Germination (Soaking in Water) | Germination (Soaking in MLE) | ||||||||
|---|---|---|---|---|---|---|---|---|---|---|
| GP (%) | GI (Day) | MGR (Day−1) | CVt (%) | VI | GP (%) | GI (Day) | MGR (Day−1) | CVt (%) | VI | |
| Control | 92 ± 10 | 8.17 ± 0.66 | 0.42 ± 0.05 | 72.90 ± 10.39 | 2127.72 ± 463.95 | 87 ± 5 | 7.72 ± 0.51 | 0.44 ± 0.02 | 55.31 ± 4.11 | 2158.71 ± 260.38 |
| 0.05 M | 84 ± 7 | 6.60 ± 0.53 | 0.42 ± 0.06 | 48.63 ± 10.91 | 1228.63 ± 177.21 | 77 ± 7 | 4.13 ± 0.70 | 0.30 ± 0.04 | 54.40 ± 9.09 | 1040.07 ± 60.39 |
| 0.15 M | 49 ± 13 | 2.87 ± 0.65 | 0.37 ± 0.04 | 38.83 ± 7.61 | 465.05 ± 140.48 | 67 ± 5 | 3.98 ± 0.49 | 0.36 ± 0.03 | 35.91 ± 3.11 | 624.96 ± 112.75 |
| 0.1 M | 58 ± 4 | 3.49 ± 0.55 | 0.36 ± 0.05 | 40.61 ± 12.17 | 306.18 ± 10.38 | 57 ± 12 | 3.20 ± 0.83 | 0.33 ± 0.03 | 49.88 ± 13.42 | 390.79 ± 104.77 |
| 0.2 M | 44 ± 18 | 2.55 ± 1.06 | 0.35 ± 0.06 | 42.46 ± 20.77 | 59.83 ± 53.19 | 55 ± 10 | 2.86 ± 0.69 | 0.30 ± 0.05 | 54.61 ± 13.42 | 148.92 ± 81.19 |
| Treatments (NaCl) | Growth (Soaking in Water) | Growth (Soaking in MLE) | ||||||
|---|---|---|---|---|---|---|---|---|
| FW (g) | DW (g) | RL (cm) | SL (cm) | FW (g) | DW (g) | RL (cm) | SL (cm) | |
| Control | 1.74 ± 0.15 | 0.22 ± 0.02 | 63.92 ± 19.3 | 166.3 ± 19.0 | 2.31 ± 0.58 | 0.29 ± 0.03 | 95.8 ± 18.9 | 152.58 ± 11.9 |
| 0.05 M | 0.92 ± 0.34 | 0.11 ± 0.04 | 21.4 ± 3.1 | 125.5 ± 10.8 | 1.32 ± 0.39 | 0.25 ± 0.06 | 18.01 ± 3.38 | 118.4 ± 12.4 |
| 0.15 M | 0.36 ± 0.16 | 0.06 ± 0.02 | 3.9 ± 1.5 | 52.2 ± 5.7 | 0.70 ± 0.49 | 0.22 ± 0.17 | 6.53 ± 1.70 | 62.74 ± 13.3 |
| 0.1 M | 0.22 ± 0.14 | 0.04 ± 0.02 | 10.8 ± 3.9 | 85.2 ± 14.1 | 0.81 ± 0.40 | 0.24 ± 0.13 | 10.0 ± 2.97 | 83.84 ± 13.2 |
| 0.2 M | 0.12 ± 0.05 | 0.11 ± 0.08 | 2.23 ± 1.3 | 18.29 ± 11.9 | 0.53 ± 0.36 | 0.08 ± 0.06 | 4.1 ± 0.93 | 21.97 ± 11.9 |
| Treatments (NaCl) | Macronutrients (Soaking in Water) | Macronutrients (Soaking in MLE) | |||||||||
|---|---|---|---|---|---|---|---|---|---|---|---|
| K | Ca | Mg | P | S | K | Ca | Mg | P | S | ||
| Roots | Control | 5936.30 ± 134.90 | 1149.25 ± 25.15 | 2338.48 ± 47.20 | 5879.25 ± 34.88 | 3284.83 ± 18.73 | 6698.21 ± 99.74 | 1185.17 ± 17.41 | 2312.42 ± 33.16 | 6109.07 ± 67.53 | 2703.44 ± 19.64 |
| 0.05 M | 5387.50 ± 195.64 | 849.33 ± 34.91 | 3055.41 ± 116.35 | 7224.52 ± 81.25 | 3516.45 ± 93.39 | 5200.03 ± 22.23 | 765.14 ± 4.54 | 2281.59 ± 8.65 | 6412.63 ± 60.94 | 2730.08 ± 8.56 | |
| 0.1 M | 6550.47 ± 162.17 | 1944.82 ± 50.04 | 2527.56 ± 59.78 | 8184.88 ± 175.87 | 3784.04 ± 75.38 | 4224.73 ± 15.65 | 574.94 ± 1.26 | 2206.44 ± 4.95 | 6049.89 ± 116.07 | 2675.15 ± 42.18 | |
| 0.15 M | 5160.74 ± 223.33 | 955.82 ± 37.89 | 2530.00 ± 94.07 | 7530.22 ± 148.24 | 3365.00 ± 35.31 | 4795.13 ± 19.91 | 598.58 ± 1.55 | 2011.18 ± 4.74 | 5781.52 ± 120.10 | 2597.09 ± 14.67 | |
| 0.2 M | 3742.33 ± 77.69 | 2729.63 ± 59.54 | 2230.23 ± 38.03 | 7156.66 ± 157.11 | 3030.40 ± 70.09 | 3014.70 ± 58.15 | 501.11 ± 11.34 | 1466.79 ± 18.23 | 4163.86 ± 48.69 | 2013.21 ± 33.62 | |
| Shoots | Control | 8484.92 ± 117.16 | 1607.88 ± 17.12 | 3104.31 ± 26.98 | 7450.38 ± 123.50 | 3985.20 ± 15.25 | 8222.75 ± 122.19 | 1418.96 ± 27.51 | 1760.37 ± 30.11 | 4944.41 ± 23.62 | 3005.07 ± 15.30 |
| 0.05 M | 7881.03 ± 136.07 | 757.86 ± 9.26 | 1468.28 ± 17.14 | 6812.66 ± 145.95 | 4202.46 ± 36.56 | 7945.67 ± 60.19 | 1046.09 ± 13.38 | 1447.22 ± 14.33 | 5777.16 ± 102.46 | 3273.34 ± 72.39 | |
| 0.1 M | 10,654.71 ± 213.16 | 4031.75 ± 108.80 | 2143.13 ± 14.38 | 11,174.58 ± 281.59 | 5050.39 ± 229.14 | 5372.57 ± 22.30 | 561.76 ± 4.53 | 1139.84 ± 4.75 | 4940.49 ± 30.86 | 2390.87 ± 33.75 | |
| 0.15 M | 7594.40 ± 100.63 | 1537.39 ± 21.95 | 1835.31 ± 27.25 | 8259.17 ± 173.49 | 3795.11 ± 76.60 | 6844.69 ± 100.74 | 1018.20 ± 21.59 | 1159.64 ± 20.19 | 5720.02 ± 49.76 | 3023.21 ± 16.21 | |
| 0.2 M | 3749.04 ± 158.77 | 5798.88 ± 127.11 | 2220.99 ± 7.95 | 11,395.67 ± 314.41 | 3409.75 ± 158.12 | 4806.81 ± 135.61 | 2122.32 ± 7.84 | 1343.90 ± 27.44 | 7186.65 ± 132.31 | 2494.86 ± 69.27 | |
| Treatments (NaCl) | Micronutrients (Soaking in Water) | Micronutrients (Soaking in MLE) | |||||||||
|---|---|---|---|---|---|---|---|---|---|---|---|
| Fe | B | Mn | Zn | Cu | Fe | B | Mn | Zn | Cu | ||
| Roots | Control | 90.36 ± 1.66 | 17.06 ± 0.10 | 84.56 ± 2.06 | 158.94 ± 4.35 | 14.38 ± 0.28 | 76.19 ± 0.76 | 15.41 ± 0.62 | 77.71 ± 0.81 | 220.04 ± 1.93 | 12.12 ± 0.20 |
| 0.05 M | 76.05 ± 1.75 | 17.21 ± 0.32 | 88.57 ± 0.93 | 135.14 ± 1.43 | 13.63 ± 0.26 | 60.59 ± 1.00 | 6.94 ± 0.37 | 53.40 ± 0.64 | 104.73 ± 0.93 | 11.41 ± 0.22 | |
| 0.1 M | 87.72 ± 2.00 | 54.78 ± 1.82 | 63.40 ± 1.20 | 148.55 ± 3.05 | 22.93 ± 0.16 | 60.08 ± 1.20 | 15.59 ± 0.18 | 47.83 ± 0.85 | 89.58 ± 0.88 | 11.47 ± 0.17 | |
| 0.15 M | 98.13 ± 0.50 | 27.35 ± 1.42 | 56.98 ± 1.06 | 110.18 ± 1.74 | 16.65 ± 0.74 | 61.28 ± 0.60 | 23.80 ± 0.56 | 41.10 ± 0.69 | 85.47 ± 2.08 | 11.03 ± 0.05 | |
| 0.2 M | 84.34 ± 2.81 | 27.18 ± 1.28 | 49.52 ± 0.90 | 125.47 ± 2.98 | 25.78 ± 1.38 | 47.61 ± 0.56 | 7.84 ± 0.24 | 27.04 ± 0.32 | 65.17 ± 0.74 | 8.79 ± 0.42 | |
| Shoots | Control | 114.69 ± 1.47 | 14.56 ± 0.33 | 76.05 ± 0.94 | 109.42 ± 1.89 | 15.30 ± 0.17 | 99.44 ± 0.19 | 12.22 ± 0.33 | 42.55 ± 0.21 | 140.02 ± 1.05 | 13.00 ± 0.07 |
| 0.05 M | 93.68 ± 0.62 | 18.68 ± 0.22 | 34.61 ± 0.22 | 94.00 ± 0.71 | 17.91 ± 0.11 | 96.77 ± 2.82 | 21.35 ± 0.48 | 27.11 ± 0.37 | 125.06 ± 2.35 | 17.86 ± 0.10 | |
| 0.1 M | 106.08 ± 1.74 | 51.3 ± 1.48 | 41.91 ± 1.13 | 189.63 ± 4.87 | 44.62 ± 1.79 | 75.07 ± 1.27 | 28.03 ± 0.50 | 20.92 ± 0.07 | 70.02 ± 0.57 | 12.45 ± 0.34 | |
| 0.15 M | 118.03 ± 2.15 | 27.35 ± 1.42 | 29.00 ± 0.60 | 98.51 ± 1.61 | 15.63 ± 0.73 | 78.59 ± 0.52 | 81.13 ± 0.93 | 19.06 ± 0.25 | 73.41 ± 0.90 | 18.52 ± 0.46 | |
| 0.2 M | 174.74 ± 4.21 | 71.40 ± 7.07 | 38.52 ± 0.79 | 173.48 ± 5.20 | 61.08 ± 5.01 | 115.32 ± 2.64 | 133.28 ± 3.66 | 21.82 ± 0.39 | 112.67 ± 2.01 | 15.51 ± 0.36 | |
| Total Variance Explained in Roots | Total Variance Explained in Shoots | |||||||||||
|---|---|---|---|---|---|---|---|---|---|---|---|---|
| Component | Initial Eigenvalues | Rotated Component Matrix | Initial Eigenvalues | Rotated Component Matrix | ||||||||
| Total | Variance % | Cumulative % | Variable | Loading | Total | Variance % | Cumulative % | Variable | Loading | |||
| PC1 | PC2 | PC1 | PC2 | |||||||||
| 1 | 6.572 | 46.946 | 46.946 | P | 0.918 | 6.150 | 43.929 | 43.929 | P | 0.945 | ||
| 2 | 4.462 | 31.875 | 78.821 | Cu | 0.907 | 4.184 | 29.883 | 73.812 | Fe | 0.943 | ||
| 3 | 1.500 | 10.717 | 89.538 | B | 0.876 | 1.917 | 13.693 | 87.505 | Ca | 0.874 | ||
| 4 | 0.619 | 4.418 | 93.955 | S | 0.842 | 0.725 | 5.175 | 92.680 | Zn | 0.873 | ||
| 5 | 0.340 | 2.430 | 96.385 | Fe | 0.768 | 0.527 | 3.766 | 96.446 | Cu | 0.850 | ||
| 6 | 0.181 | 1.295 | 97.681 | Ca | 0.752 | 0.235 | 1.679 | 98.125 | B | 0.750 | ||
| 7 | 0.165 | 1.175 | 98.856 | Na | 0.668 | 0.128 | 0.911 | 99.036 | S | 0.708 | ||
| 8 | 0.105 | 0.752 | 99.608 | Mg | 0.586 | 0.083 | 0.594 | 99.630 | Mg | 0.588 | ||
| 9 | 0.022 | 0.157 | 99.765 | VI | 0.956 | 0.021 | 0.151 | 99.780 | VI | 0.931 | ||
| 10 | 0.014 | 0.096 | 99.862 | Mn | 0.906 | 0.019 | 0.133 | 99.913 | GP | 0.821 | ||
| 11 | 0.011 | 0.076 | 99.938 | Zn | 0.846 | 0.007 | 0.051 | 99.964 | Mn | 0.792 | ||
| 12 | 0.005 | 0.037 | 99.974 | GP | 0.821 | 0.003 | 0.018 | 99.982 | Na | −0.76 | ||
| 13 | 0.003 | 0.018 | 99.993 | K | 0.776 | 0.002 | 0.015 | 99.997 | K | 0.722 | ||
| 14 | 0.001 | 0.007 | 100.00 | H2O2 | 0.757 | 0.00 | 0.003 | 100.00 | H2O2 | −0.50 | ||
Publisher’s Note: MDPI stays neutral with regard to jurisdictional claims in published maps and institutional affiliations. |
© 2021 by the authors. Licensee MDPI, Basel, Switzerland. This article is an open access article distributed under the terms and conditions of the Creative Commons Attribution (CC BY) license (https://creativecommons.org/licenses/by/4.0/).
Share and Cite
Ahmed, T.; Abou Elezz, A.; Khalid, M.F. Hydropriming with Moringa Leaf Extract Mitigates Salt Stress in Wheat Seedlings. Agriculture 2021, 11, 1254. https://doi.org/10.3390/agriculture11121254
Ahmed T, Abou Elezz A, Khalid MF. Hydropriming with Moringa Leaf Extract Mitigates Salt Stress in Wheat Seedlings. Agriculture. 2021; 11(12):1254. https://doi.org/10.3390/agriculture11121254
Chicago/Turabian StyleAhmed, Talaat, Ahmed Abou Elezz, and Muhammad Fasih Khalid. 2021. "Hydropriming with Moringa Leaf Extract Mitigates Salt Stress in Wheat Seedlings" Agriculture 11, no. 12: 1254. https://doi.org/10.3390/agriculture11121254
APA StyleAhmed, T., Abou Elezz, A., & Khalid, M. F. (2021). Hydropriming with Moringa Leaf Extract Mitigates Salt Stress in Wheat Seedlings. Agriculture, 11(12), 1254. https://doi.org/10.3390/agriculture11121254

