Effects of Onion Residue, Bovine Manure Compost and Compost Tea on Soils and on the Agroecological Production of Onions
Abstract
:1. Introduction
2. Materials and Methods
2.1. Sampling Design
2.2. Experimental Analyses
2.3. Statistical Analyses
3. Results
4. Discussion
5. Conclusions
Author Contributions
Funding
Institutional Review Board Statement
Informed Consent Statement
Data Availability Statement
Acknowledgments
Conflicts of Interest
References
- Brewster, J.L. Onions and Other Vegetable Alliums (No. 15); CABI: Commerce, CA, USA, 2008; p. 456. [Google Scholar]
- Food and Agricultural Organization of the United Nations (FAOSTAT). 2015 Publications; Food and Agricultural Organization of the United Nations (FAOSTAT): Rome, Italy, 2015; p. 236. Available online: http://www.fao.org/3/a-i5056e.pdf (accessed on 15 July 2021).
- Camargo Filho, W.P.; Alves, H.S. Produção de cebola no Mercosul: Aspectos Tecnológicos e Integração de Mercado no Brasil e na Argentina. Inf. Econômicas 2005, 35, 71–76. (In Portuguese) [Google Scholar]
- Iurman, D. Aspectos del Mercado de Cebolla. Producción, Exportación e Importación; INTA: Hilario Ascasubi, Argentina, 2012; p. 22. Available online: https://inta.gob.ar/sites/default/files/script-tmp-mercado_cebolla_junio__2012.pdf (accessed on 15 July 2021). (In Spanish)
- Brown, B. Soil test N for predicting onion N requirements—An Idaho perspective. In Proceedings of the Western Nutrient Management Conference, Salt Lake City, UT, USA, 6–7 March 1997; pp. 43–48. [Google Scholar]
- Sullivan, D.M.; Brown, B.D.; Shock, C.C.; Horneck, D.A.; Stevens, R.G.; Pelter, G.Q.; Feibert, E.B.G. Nutrient Management for Onions in the Pacific Northwest; Oregon State University Extension Service: Corvallis, OR, USA, 2001; p. 28. [Google Scholar]
- Mourão, I.; Brito, L.M.; Coutinho, J. Influência da dose e época de aplicação de um compostado na cultura de cebola biológica. Rev. Ciências Agrárias 2011, 34, 106–116. (In Portuguese) [Google Scholar]
- Taalab, A.S.; Mahmoud, S. Response of onion to composted tomato residues under saline irrigation water through drip irrigation system. Middle East J. 2013, 2, 93–100. [Google Scholar]
- El-Gizawy, E.S.A.; Geries, L.S.M. Performance of free living n2-fixers bacteria, compost tea and mineral nitrogen applications on some soil properties, productivity and quality of onion crop. J. Soil Sci. Agric. Eng. 2013, 4, 1117–1137. [Google Scholar] [CrossRef]
- Shaheen, A.M.; Fatma, A.R.; Omaima, M.S.; Bakry, M.O. Sustaining the quality and quantity of onion productivity throughout complementrity treatments between compost tea and amino acids. Middle East J. Agric. Res. 2013, 2, 108–115. [Google Scholar]
- Clapp, E.C. Organic wastes in soils: Biogeochemical and environmental aspects. Soil Biol. Biochem. 2007, 39, 1239–1243. [Google Scholar] [CrossRef]
- Ryals, R.; Kaiser, M.; Torn, S.; Berhe, A.A.; Silver, W.L. Impacts of organic matter amendments on carbon and nitrogen dynamics in grassland soils. Soil Biol. Biochem. 2014, 68, 52–61. [Google Scholar] [CrossRef]
- Cooperband, L. Sustainable use of by-products in land management. In Land Application of Agricultural, Industrial and Municipal By-Products; SSSA Book Series No. 6; Bartels, J.M., Dick, W.A., Eds.; Soil Science Society of America: Madison, WI, USA, 2000; pp. 215–235. [Google Scholar]
- Sasal, C.; Andriulo, A.; Ulle, J.; Abrego, F.; Bueno, M. Efecto de diferentes enmiendas sobre algunas propiedades edáficas en sistemas de producción hortícola del centro norte de la Región Pampeana Húmeda. Cienc. Suelo 2000, 182, 95–104. (In Spanish) [Google Scholar]
- National Organic Standards Board (NOSB). Compost Tea Task Force Report; USDA: Washington, DC, USA, 2004; p. 24. [Google Scholar]
- Diver, S. Notes on compost tea. Appropriate Technology Transfer for Rural Areas (ATTRA). In Compost Teas for Plant Disease Control; NCAT: Butte, MT, USA, 2002. [Google Scholar]
- Hargreaves, J.C.; Adla, M.S.; Warman, P.R. Are compost teas an effective nutrient amendment in the cultivation of straw-berries? Soil and plant tissue effects. J. Sci. Food Agric. 2009, 89, 390–397. [Google Scholar] [CrossRef]
- Rodríguez, R.; Miglierina, A.; Ayastuy, M.; Lobartini, J.; Dagna, N.; Greco, N.; Van Konijnenburg, A.; Egea, C.; Fernández, J. The effect of different organic fertilization on garlic (Allium sativum L.) in Bahía Blanca region, Argentina. Acta Hortic. 2012, 933, 187–194. [Google Scholar] [CrossRef]
- Council Directive. CEC-Council of the European Comumunities. Council directive on the protection of the environment, and in particular of the soil, when sewage sludge is used in agriculture. Off. J. Eur. Communities L 1986, 181, 10. [Google Scholar]
- USEPA. Standars for the Use or Disposal of Sewage Sludge. Fed. Regist. 1993, 58, 9248–9415. [Google Scholar]
- SENASA. Resolución 264/2011, Anexo 1. Capítulo 14. Ley Nacional N° 20.466. In Manual Para el Registro de Fertilizantes, Enmiendas, Sustratos, Acondicionadores, Protectores y Materias Primas en la República Argentina; MAGyP: Buenos Aires, Argentina, 2011. (In Spanish) [Google Scholar]
- Ingham, E.R. The Compost Tea Brewing Manual; Sustainable Studies Institute: San Francisco, CA, USA, 2005; p. 79. [Google Scholar]
- Bray, R.H.; Kurtz, L.T. Determination of total, organic and available forms of phosphorus in soils. Soil Sci. 1945, 59, 39–45. [Google Scholar] [CrossRef]
- Bremner, J.M.; Mulvaney, C.S. Nitrogen-total. In Methods of Soil Analysis: Part 2. Chemical and Microbiological Properties; Page, A.L., Ed.; American Society of Agronomy Inc.: Madison, WI, USA, 1982; pp. 595–624. [Google Scholar]
- Nelson, D.W.; Sommers, L.E. Total carbon, organic carbon and organic matter. In Methods of Soil Analysis, Part 3—Chemical Methods; Sparks, D.L., Page, A.L., Helmke, P.A., Loeppert, R.H., Soluanpour, P.N., Tabatabai, M.A., Johnston, C.T., Sumner, M.E., Eds.; ASA: Schaumburg, IL, USA; SSSA: Madison, WI, USA, 1996; pp. 961–1010. [Google Scholar]
- Pell, M.; Stenström, J.; Granhall, U. Soil respiration. In Microbiological Methods for Assessing Soil Quality; Bloem, J., Hopkins, D.W., Benedetti, A., Eds.; CABI: Commerce, CA, USA, 2005; pp. 117–126. [Google Scholar]
- Zibilske, L.M. Carbon mineralization. In Methods of Soil Analysis, Part 2, Microbiological and Biochemical Properties; Weaver, R.W., Angle, S., Bottomley, P., Eds.; American Society of Agronomy Inc.: Madison, WI, USA, 1994; pp. 835–863. [Google Scholar]
- Sinsabaugh, R.L.; Klug, M.J.; Collins, H.P.; Yeager, P.E.; Petersen, S.O. Characterizing soil microbial communities. In Standard Soil Methods for Long-Term Ecological Research; Robertson, G.P., Coleman, D.C., Bledsoe, C.S., Sollins, P., Eds.; Oxford University Press: New York, NY, USA, 1999; pp. 476–525. [Google Scholar]
- Pellejero, G.; Miglierina, A.; Aschkar, G.; Turcato, M.; Jiménez-Ballesta, R. Effects of the onion residue compost as an organic fertilizer in a vegetable culture in the Lower Valley of the Rio Negro. Int. J. Recycl. Org. Waste Agric. 2017, 6, 159–166. [Google Scholar] [CrossRef]
- Lesur-Dumoulin, C.; Malézieux, E.; Ben-Ari, T.; Langlais, C.; Makowski, D. Lower average yields but similar yield variability in organic versus conventional horticulture. A meta-analysis. Agron. Sustain. Dev. 2017, 37, 45. [Google Scholar] [CrossRef] [Green Version]
- Thangasamy, A.; Gorrepati, K.; Ahammed, T.P.S.; Savalekar, R.K.; Banerjee, K.; Sankar, V.; Chavan, M.K. Comparison of organic and conventional farming for onion yield, biochemical quality, soil organic carbon, and microbial population. Arch. Agron. Soil Sci. 2017, 64, 219–230. [Google Scholar] [CrossRef]
- De Ponti, T.; Rijk, B.; van Ittersum, M.K. The crop yield gap between organic and conventional agriculture. Agric. Syst. 2012, 108, 1–9. [Google Scholar] [CrossRef]
- Galmarini, C. Onion Cultivars Released by La Consulta Experiment Station, INTA, Argentina. HortScience 2000, 35, 1360–1362. [Google Scholar] [CrossRef] [Green Version]
- Seufert, V.; Ramankutty, N.; Foley, J.A. Comparing the yields of organic and conventional agriculture. Nature 2012, 485, 229–232. [Google Scholar] [CrossRef]
- Shiralipour, A.; McConnell, D.B.; Smith, W.H. Physical and chemical properties of soils as affected by municipal solid waste compost application. Biomass Bioenerg. 1992, 3, 261–266. [Google Scholar] [CrossRef]
- Sharpley, A.; Moyer, B. Phosphorus Forms in Manure and Compost and Their Release during Simulated Rainfall. J. Environ. Qual. 2000, 29, 1462–1469. [Google Scholar] [CrossRef]
- Leconte, M.C.; Mazzarino, M.J.; Satti, P.; Crego, M.P. Nitrogen and phosphorus release from poultry manure composts: The role of carbonaceous bulking agents and compost particle sizes. Biol. Fertil. Soils 2011, 47, 897–906. [Google Scholar] [CrossRef]
- Satti, P.; Mazzarino, M.J.; Roselli, L.; Crego, P. Factors affecting soil P dynamics in temperate volcanic soils of southern Argentina. Geoderma 2007, 139, 229–240. [Google Scholar] [CrossRef]
- Celestina, C.; Hunt, J.R.; Sale, P.W.; Franks, A.E. Attribution of crop yield responses to application of organic amendments: A critical review. Soil Till. Res. 2018, 186, 135–145. [Google Scholar] [CrossRef]
- Tejada, M.; Hernandez, M.T.; Garcia, C. Soil restoration using composted plant residues: Effects on soil properties. Soil Till. Res. 2009, 102, 109–117. [Google Scholar] [CrossRef]
- Curtis, M.J.; Claassen, V.P. Regenerating topsoil functionality in four drastically disturbed soil types by compost incorporation. Restor. Ecol. 2009, 17, 24–32. [Google Scholar] [CrossRef]
- Mylavarapu, R.; Zinati, G. Improvement of soil properties using compost for optimum parsley production in sandy soils. Sci. Hortic. 2009, 120, 426–430. [Google Scholar] [CrossRef]
- Duong, T.T.T.; Penfold, C.; Marschner, P. Amending soils of different texture with six compost types: Impact on soil nutrient availability, plant growth and nutrient uptake. Plant Soil 2011, 354, 197–209. [Google Scholar] [CrossRef]
- Sullivan, D.; Bary, A.; Nartea, T.; Myrhe, E.; Cogger, C.; Fransen, S. Nitrogen Availability Seven Years After a High-Rate Food Waste Compost Application. Compos. Sci. Util. 2003, 11, 265–275. [Google Scholar] [CrossRef]
- Polo, M.G.; Kowaljow, E.; Castán, E.; Sauzet, O.; Mazzarino, M.J. Persistent effect of organic matter pulse on a sandy soil of semiarid Patagonia. Biol. Fertil. Soils 2014, 51, 241–249. [Google Scholar] [CrossRef]





| Tukey’s Post Hoc Comparisons, p < 0.05 | |||
|---|---|---|---|
| Yield (kg ha−1) | |||
| Amendment | ** | p = 0.007 | OMCT3 < C = OMCT2 = OMCT1 = OMCT4 < OMC1 = OMC3 < OMC2 = OMC44 |
| Growing Season | * | p = 0.027 | 2nd < 1st |
| Amendment * GS | *** | p = 0.003 |
| Moisture | EC | pH | OM | TN | Pe | |||||||
|---|---|---|---|---|---|---|---|---|---|---|---|---|
| (%) | (dS m−1) | (g kg−1) | (g kg−1) | (mg kg−1) | ||||||||
| 1st GS | 2nd GS | 1st GS | 2nd GS | 1st GS | 2nd GS | 1st GS | 2nd GS | 1st GS | 2nd GS | 1st GS | 2nd GS | |
| C | 13.8 (1.3) | 15.5 (1.0) | 0.15 c (0.01) | 0.09 c (0.01) | 7.04 (0.08) | 7.15 b (0.04) | 27.7 (0.8) | 29.6 (0.6) | 1.54 (0.05) | 1.65 (0.03) | 11.8 b (0.6) | 13.3 d (0.7) |
| OMC1 | 14.0 (1.3) | 16.0 (0.8) | 0.17 b (0.02) | 0.10 ab (0.01) | 7.04 (0.08) | 7.15 b (0.04) | 29.7 (0.7) | 29.7 (0.9) | 1.61 (0.05) | 1.69 (0.04) | 21.2 b (1.3) | 28.0 cd (1.6) |
| OMC2 | 14.3 (1.3) | 16.2 (1.0) | 0.19 ab (0.02) | 0.10 ab (0.01) | 7.14 (0.09) | 7.37 ab (0.05) | 28.1 (1.6) | 30.3 (0.9) | 1.58 (0.07) | 1.74 (0.05) | 30.3 a (2.5) | 52.6 bc (2.5) |
| OMC3 | 13.3 (1.2) | 15.0 (0.8) | 0.22 a (0.02) | 0.11 ab (0.01) | 7.27 (0.09) | 7.52 a (0.05) | 27.3 (0.7) | 30.4 (0.8) | 1.58 (0.03) | 1.71 (0.04) | 40.0 a (3.6) | 68.0 ab (2.4) |
| OMC4 | 15.4 (1.2) | 16.4 (0.9) | 0.23 a (0.02) | 0.12 a (0.01) | 7.19 (0.08) | 7.50 a (0.07) | 29.0 (0.6) | 32.9 (1.0) | 1.58 (0.02) | 1.84 (0.04) | 42.3 a (3.3) | 80.3 a (5.6) |
| OMCT1 | 14.2 (1.0) | 15.1 (0.7) | 0.17 b (0.01) | 0.09 c (0.01) | 7.05 (0.07) | 7.27 b (0.07) | 27.5 (1.1) | 28.9 (0.5) | 1.56 (0.04) | 1.60 (0.03) | 12.8 b (0.4) | 14.9 d (0.7) |
| OMCT2 | 14.7 (1.1) | 15.4 (1.0) | 0.20 a (0.02) | 0.09 c (0.01) | 7.01 (0.08) | 7.22 b (0.03) | 27.4 (1.2) | 29.0 (1.1) | 1.56 (0.04) | 1.56 (0.05) | 11.6 b (0.7) | 13.5 d (0.9) |
| OMCT3 | 14.8 (1.1) | 15.3 (1.0) | 0.21 a (0.02) | 0.10 ab (0.01) | 6.95 (0.07) | 7.20 b (0.05) | 27.9 (0.7) | 30.5 (0.6) | 1.60 (0.04) | 1.61 (0.05) | 13.7 b (0.6) | 15.3 d (1.0) |
| OMCT4 | 13.9 (1.3) | 15.6 (0.8) | 0.22 a (0.02) | 0.11 ab (0.01) | 7.00 (0.06) | 7.22 b (0.06) | 27.7 (0.7) | 30.6 (0.9) | 1.60 (0.05) | 1.68 (0.05) | 15.0 b (0.9) | 18.5 d (1.2) |
| Tukey’s Post Hoc Comparisons, p < 0.05 | |||
|---|---|---|---|
| Moisture | |||
| Amendment | ns | p = 0.840 | |
| Growing Season | * | p = 0.019 | 1st < 2nd |
| Amendment * GS | ns | p = 0.999 | |
| EC | |||
| Amendment | *** | p = 0.001 | C < OMC1 = OMCT1 < OMC2 = OMCT2 = OMCT3 = OMCT4 < OMC3 < OMC4 |
| Growing Season | *** | p < 0.001 | 2nd < 1st |
| Amendment * GS | ns | p = 0.263 | |
| pH | |||
| Amendment | *** | p < 0.001 | C = OMC1 = OMCT2 = OMCT3 = OMCT4 < OMCT1 = OMC2 < OMC4 < OMC3 |
| Growing Season | *** | p < 0.001 | 2nd < 1st |
| Amendment * GS | ns | p = 0.604 | |
| OM | |||
| Amendment | ns | p = 0.195 | |
| Growing Season | *** | p < 0.001 | 1st < 2nd |
| Amendment * GS | ns | p = 0.334 | |
| TN | |||
| Amendment | ns | p = 0.111 | |
| Growing Season | *** | p < 0.001 | 2nd < 1st |
| Amendment * GS | * | p = 0.040 | |
| Pe | |||
| Amendment | *** | p < 0.001 | C = OMCT1 = OMCT2 = OMCT3 = OMCT4 < OMC1 < OMC2 < OMC3 < OMC4 |
| Growing Season | *** | p < 0.001 | 2nd < 1st |
| Amendment * GS | *** | p < 0.005 | |
| Respiration | |||
| Amendment | ns | p = 0.844 | |
| Growing Season | ** | p = 0.008 | 2nd < 1st |
| Amendment * GS | *** | p < 0.005 | |
| Enzymatic activities | |||
| BG | |||
| Amendment | ns | p = 0.984 | |
| Growing Season | ns | p = 0.940 | |
| Amendment * GS | ns | p = 0.985 | |
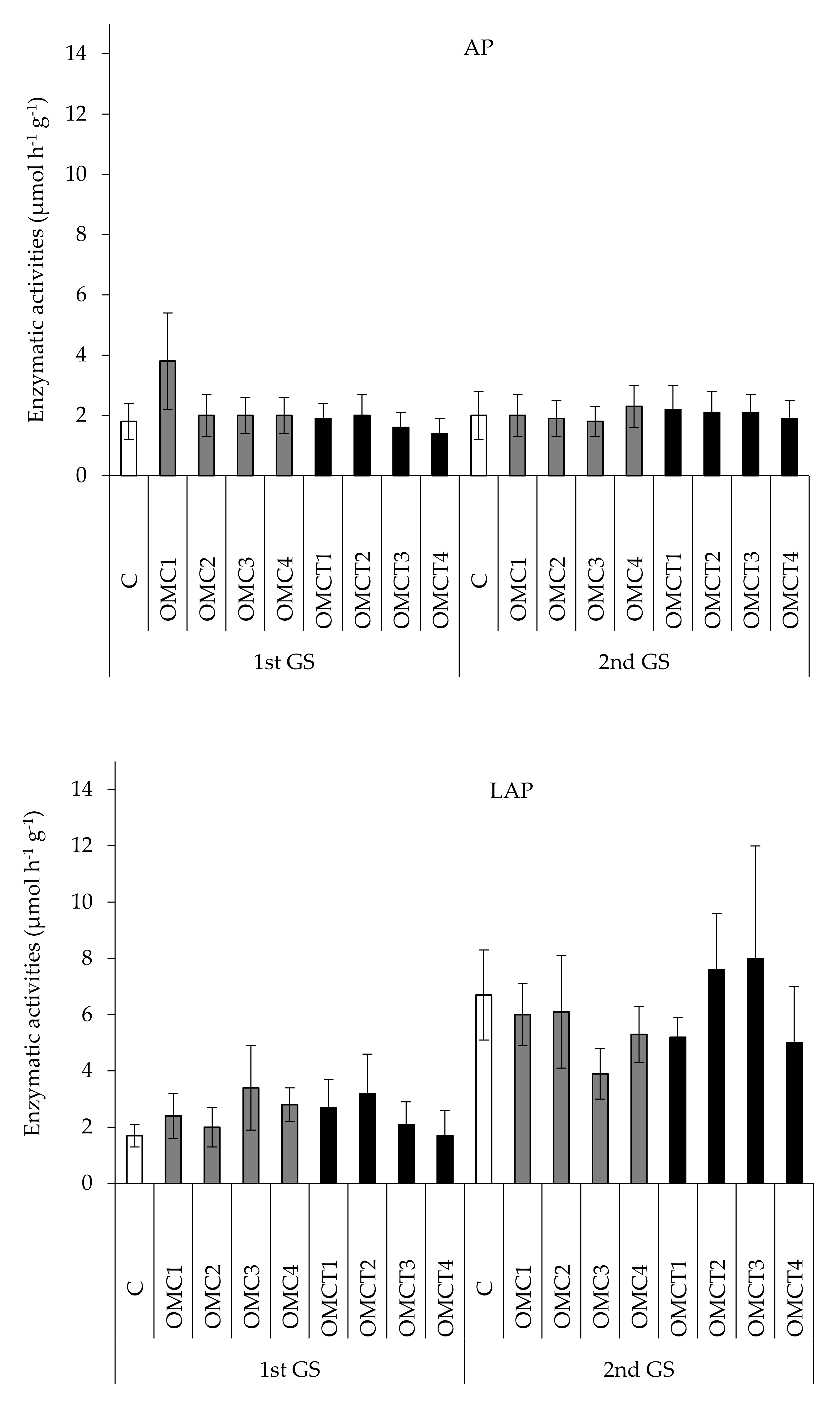
| AP | |||
| Amendment | ns | p = 0.981 | |
| Growing Season | ns | p = 0.858 | |
| Amendment * GS | ns | p = 0.418 | |
| LAP | |||
| Amendment | ns | p = 0.884 | |
| Growing Season | *** | p < 0.001 | 1st < 2nd |
| Amendment * GS | ns | p = 0.435 | |
| POX | |||
| Amendment | ns | p = 0.984 | |
| Growing Season | *** | p < 0.001 | 2nd < 1st |
| Amendment * GS | ns | p = 0.949 |
Publisher’s Note: MDPI stays neutral with regard to jurisdictional claims in published maps and institutional affiliations. |
© 2021 by the authors. Licensee MDPI, Basel, Switzerland. This article is an open access article distributed under the terms and conditions of the Creative Commons Attribution (CC BY) license (https://creativecommons.org/licenses/by/4.0/).
Share and Cite
Orden, L.; Ferreiro, N.; Satti, P.; Navas-Gracia, L.M.; Chico-Santamarta, L.; Rodríguez, R.A. Effects of Onion Residue, Bovine Manure Compost and Compost Tea on Soils and on the Agroecological Production of Onions. Agriculture 2021, 11, 962. https://doi.org/10.3390/agriculture11100962
Orden L, Ferreiro N, Satti P, Navas-Gracia LM, Chico-Santamarta L, Rodríguez RA. Effects of Onion Residue, Bovine Manure Compost and Compost Tea on Soils and on the Agroecological Production of Onions. Agriculture. 2021; 11(10):962. https://doi.org/10.3390/agriculture11100962
Chicago/Turabian StyleOrden, Luciano, Nicolás Ferreiro, Patricia Satti, Luis Manuel Navas-Gracia, Leticia Chico-Santamarta, and Roberto A. Rodríguez. 2021. "Effects of Onion Residue, Bovine Manure Compost and Compost Tea on Soils and on the Agroecological Production of Onions" Agriculture 11, no. 10: 962. https://doi.org/10.3390/agriculture11100962
APA StyleOrden, L., Ferreiro, N., Satti, P., Navas-Gracia, L. M., Chico-Santamarta, L., & Rodríguez, R. A. (2021). Effects of Onion Residue, Bovine Manure Compost and Compost Tea on Soils and on the Agroecological Production of Onions. Agriculture, 11(10), 962. https://doi.org/10.3390/agriculture11100962

