Research on Load Disturbance Based Variable Speed PID Control and a Novel Denoising Method Based Effect Evaluation of HST for Agricultural Machinery
Abstract
:1. Introduction
2. Materials and Methods
2.1. Working Principle of HST Used
2.2. Build the HST Variable Speed Control Test Bench of the Tractor
2.3. Tractor HST Variable Speed Control Test
2.3.1. Comparative Verification of the Tractor HST Adjustable Speed Transmission Characteristics
2.3.2. PID-Based HST Constant Speed Control Step Response Test of the Tractor
2.3.3. PID-Based HST Constant Speed Control Test with Load Disturbance of the Tractor
2.4. The Comparative Analysis Method for the HST Adjustable Speed Transmission Characteristics
2.5. The Denoising Method Based on the EMD and the Gaussian Distribution Determination
2.6. The PLS-Based Parameter Influence Analysis Method
3. Results and Discussion
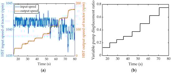
3.1. Results of the Test of the Tractor HST Adjustable Speed Characteristics and Analysis
3.2. Results of PID-Based Constant Speed Step Response Test and Analysis
3.3. Results of the PID-Based Constant Speed Test with the Load Disturbance and Analysis
3.3.1. The Results of the Denoising Test of the HST Output Speed Signal
3.3.2. The Influence of Load Disturbance on HST Adjustable Speed Characteristics in Open-Loop Control
3.3.3. The Results of the PID-Based Constant Speed Control Test with Load Disturbance and Analysis
4. Conclusions
Author Contributions
Funding
Institutional Review Board Statement
Informed Consent Statement
Data Availability Statement
Acknowledgments
Conflicts of Interest
References
- Pan, G.; Sun, J.; Wang, X.; Yang, F.; Liu, Z. Construction and experimental verification of sloped terrain soil pressure-sinkage model. Agriculture 2021, 11, 243. [Google Scholar] [CrossRef]
- Bulgakov, V.; Aboltins, A.; Ivanovs, S.; Holovach, I.; Nadykto, V.; Beloev, H. A mathematical model of plane-parallel movement of the tractor aggregate modular type. Agriculture 2020, 10, 454. [Google Scholar] [CrossRef]
- Kalinichenko, A.; Havrysh, V.; Hruban, V. Heat recovery systems for agricultural vehicles: Utilization ways and their efficiency. Agriculture 2018, 8, 199. [Google Scholar] [CrossRef]
- Park, Y.J.; Kim, S.C.; Kim, J.G. Analysis and verification of power transmission characteristics of the hydromechanical transmission for agricultural tractors. J. Mech. Sci. Technol. 2016, 30, 5063–5072. [Google Scholar] [CrossRef]
- Baek, S.M.; Kim, W.S.; Kim, Y.S.; Baek, S.Y.; Kim, Y.J. Development of a simulation model for HMT of a 50 kw class agricultural tractor. Appl. Sci. 2020, 10, 4064. [Google Scholar] [CrossRef]
- Thanpattranon, P.; Ahamed, T.; Takigawa, T. Navigation of autonomous tractor for orchards and plantations using a laser range finder: Automatic control of trailer position with tractor. Biosyst. Eng. 2016, 147, 90–103. [Google Scholar] [CrossRef]
- Jiang, Z.; Xia, C. Study on characteristic of hydrostatic transmission system of tractor. J. Agr. Mech. Res. 2021, 43, 249–254. [Google Scholar]
- Wang, S.; Liu, Q.; Ma, W.; Liu, C.; Li, J. Simulation anlysis and experimental study on characteristics for load traveling. Hydraulic. Pneum. 2019, 39, 34–39. [Google Scholar]
- Shi, H.; Mei, X. New features and development prospect of modern hydraulics drive techniques. Mach. Tool Hydraul. 2017, 45, 158–166. [Google Scholar]
- Lu, L.; Zhou, Y.; Li, H.; Wang, Y.; Yin, Y.; Zhao, J. Electro-hydraulic shift quality of power shift transmission of heavy duty tractor. T. Chin. Soc. Agr. Mech. 2020, 51, 550–556. [Google Scholar]
- Xi, Z.; Zhou, Z.; Zhang, M.; Cao, Q. Shift characteristics and control strategy of powershift transmission on tractor. T. Chin. Soc. Agr. Mech. 2016, 47, 350–357. [Google Scholar]
- Chen, Y.; Qian, Y.; Lu, Z.; Zhou, S.; Xiao, M.; Bartos, P.; Xiong, Y.; Jin, G.; Zhang, W. Dynamic characteristic analysis and clutch engagement test of HMCVT in the high-power tractor. Complexity 2021, 2021, 8891127. [Google Scholar]
- Wu, W.; Luo, J.L.; Wei, C.H.; Liu, H.; Yuan, S.H. Design and control of a hydro-mechanical transmission for all-terrain vehicle. Mech. Mach. Theory 2020, 153, 104052. [Google Scholar] [CrossRef]
- Xia, Y.; Sun, D.Y.; Qin, D.T.; Zhou, X.Y. Optimisation of the power-cycle hydro-mechanical parameters in a continuously variable transmission designed for agricultural tractors. Biosyst. Eng. 2020, 193, 12–24. [Google Scholar] [CrossRef]
- Bao, M.X.; Ni, X.D.; Zhao, X.; Li, S. Research on the HMCVT gear shifting smoothness of the four-speed self-propelled cotton picker. Mech. Sci. 2020, 11, 267–283. [Google Scholar] [CrossRef]
- Ren, J.; Yin, C.; Du, Y.; Zhang, Z. Study on characteristics of HST and power system of agricultural tractor. Agr. Equip. Vehicl. 2021, 59, 25–30. [Google Scholar]
- Liu, Z.; Zhang, G.; Chu, G.; Niu, H.; Zhang, Y.; Yang, F. Design matching and dynamic performance test for an HST-Based drive system of a hillside crawler tractor. Agriculture 2021, 11, 466. [Google Scholar] [CrossRef]
- Zhao, C.; Wei, C.; Fu, W.; Shang, Y.; Zhang, G.; Cong, Y. Design and experiment of cruise control system for hydrostatic transmission tractor. T. Chin. Soc. Agr. Mech. 2021, 52, 359–365. [Google Scholar]
- Kim, D.M.; Kim, S.C.; Noh, D.K.; Jang, J.S. Jerk phenomenon of the hydrostatic transmission through the experiment and analysis. Int. J. Automot. Tec. 2015, 16, 783–790. [Google Scholar] [CrossRef]
- Taswell, C. The what, how, and why of wavelet shrinkage denoising. Comput. Sci. Eng. 2000, 2, 12–19. [Google Scholar] [CrossRef] [Green Version]
- Gomi, T.; Nakajima, M.; Umeda, T. Wavelet denoising for quantum noise removal in chest digital tomosynthesis. Int. J. Comput. Ass. Rad. 2015, 10, 75–86. [Google Scholar] [CrossRef] [PubMed]
- Ding, Y.; Selesnick, I.W. Artifact-free wavelet denoising: Non-convex sparse regularization, convex optimization. IEEE Signal Proc. Let. 2015, 22, 1364–1368. [Google Scholar] [CrossRef] [Green Version]
- Ghezaiel, W.; Ben Slimane, A.; Ben Braiek, E. Nonlinear multi-scale decomposition by EMD for Co-Channel speaker identification. Multimed. Tools Appl. 2017, 76, 20973–20988. [Google Scholar]
- Colominas, M.A.; Schlotthauer, G.; Torres, M.E. Improved complete ensemble EMD: A suitable tool for biomedical signal processing. Biomed. Signal Proces. 2014, 14, 19–29. [Google Scholar] [CrossRef]
- Sharma, R.; Prasanna, S.R.M.; Rufiner, H.L.; Schlotthauer, G. Detection of the glottal closure instants using empirical mode decomposition. Circ. Syst. Signal Pr. 2018, 37, 3412–3440. [Google Scholar] [CrossRef]
- Qu, D.H.; Luo, W.; Liu, Y.F.; Fu, B.; Zhou, Y.S.; Zhang, F.T. Simulation and experimental study on the pump efficiency improvement of continuously variable transmission. Mech. Mach. Theory 2019, 131, 137–151. [Google Scholar] [CrossRef]
- Chen, S.; Zhao, J.; Mao, E.; Song, Z.; Zhu, Z.; Du, Y. Structural modeling and performance analysis of load-sensing variable pump. T. Chin. Soc. Agr. En. 2017, 33, 40–49. [Google Scholar]
- Cheng, Z.; Lu, Z. Research on the PID control of the ESP system of tractor based on improved AFSA and improved SA. Comput. Electron. Agr. 2018, 148, 142–147. [Google Scholar] [CrossRef]
- Garrido, J.; Ruz, M.L.; Morilla, F.; Vazquez, F. Interactive tool for frequency domain tuning of PID controllers. Processes 2018, 6, 197. [Google Scholar] [CrossRef] [Green Version]
- Cheng, Z.; Lu, Z.; Qian, J. A new non-geometric transmission parameter optimization design method for HMCVT based on improved GA and maximum transmission efficiency. Comput. Electron. Agr. 2019, 167, 105034. [Google Scholar] [CrossRef]
- Fussner, D.R.; Singh, Y.P. Design of input coupled split power transmissions, arrangements, and their characteristics. J. Mech. Des. 2004, 126, 542–550. [Google Scholar] [CrossRef]
- Ince, E.; Guler, M.A. Design and analysis of a novel power-split infinitely variable power transmission system. J. Mech. Des. 2019, 141, 054501. [Google Scholar] [CrossRef]
- Fu, H.; Zuo, Y.; Liu, C.; Zhang, J. A variable structure PI controller for permanent magnetic synchronous motor speed-regulation system. T. China Electrotechn. 2015, 30, 237–242. [Google Scholar]
- Cheng, Z. Research on System Dynamics Analysis and Continuously Variable Speed of Tractor; Nanjing Agricultural University: Nanjing, China, 2020. [Google Scholar]
- Qiao, N.; Wang, L.; Liu, Q.; Zhai, H. Multi-scale eigenvalues empirical mode decomposition for geomagnetic signal filtering. Measurement 2019, 146, 885–891. [Google Scholar] [CrossRef]
- Thirumalaisamy, M.R.; Ansell, P.J. Fast and adaptive empirical mode decomposition for multidimensional, multivariate signals. IEEE Signal Proc. Let. 2018, 25, 1550–1554. [Google Scholar] [CrossRef]
- Yang, Y.L.; Deng, J.H.; Kang, D.L. An improved empirical mode decomposition by using dyadic masking signals. Signal Image Video P. 2015, 9, 1259–1263. [Google Scholar] [CrossRef]
- Guo, C.; Wen, Y.; Li, P.; Wen, J. Enhancement of leak signals using EMD in pipeline. Chin. J. Sci. Instru. 2015, 36, 1397–1405. [Google Scholar]
- Lu, Y.; Huang, C.; Liu, C.; Jiang, J.; Yin, M. Indoor positioning algorithm of wireless local area networks position fingerprint based on skewness-kurtosis test. Sci. Technol. Eng. 2018, 18, 1–6. [Google Scholar]
- Zou, X.; Hao, Z.; Yi, R.; Guo, L.; Shen, M.; Li, X.; Wang, Z.; Zeng, X.; Lu, Y. Quantitative analysis of soil by laser-induced breakdown spectroscopy using genetic algorithm-partial least squares. Chin. J. Anal. Chem. 2015, 43, 181–186. [Google Scholar]
- Singer, M.; Krivobokova, T.; Munk, A.; De Groot, B. Partial least squares for dependent data. Biometrika 2016, 103, 351–362. [Google Scholar] [CrossRef] [Green Version]
- Druilhet, P.; Mom, A. PLS regression: A directional signal-to-noise ratio approach. J. Multivar. Anal. 2006, 97, 1313–1329. [Google Scholar] [CrossRef]


















| Name | Model | Specification |
|---|---|---|
| HST Input End Speed & Torque Sensor | ZJ-2000A | Rated Torque: 2000 N•m |
| Working Speed: 0–3000 rpm | ||
| HST Output End Speed & Torque Sensor | ZJ-5000A | Rated Torque: 4000 N•m |
| Working Speed: 0–5000 rpm | ||
| Signal Converter | ZJ-A-F/A | Signal Output: 4–20 mA |
| Parameter | Value | Specification | Value |
|---|---|---|---|
| Allowable Speed (rpm) | 3300 | Continuous Input Torque (N•m) | 218 |
| Maximum Speed (rpm) | 3700 | Maximum Input Torque (N•m) | 353 |
| Rate Pressure (MPa) | 42 | Continuous Power (kW) | 75 |
| Peak Pressure (MPa) | 50 | Maximum Power (kW) | 122 |
| Parameter | Value | Specification | Value |
|---|---|---|---|
| Allowable Speed (rpm) | 4100 | Continuous Input Torque (N•m) | 218 |
| Maximum Speed (rpm) | 4400 | Maximum Input Torque (N•m) | 366 |
| Rated Pressure (MPa) | 42 | Continuous Power (kW) | 93 |
| Peak Pressure (MPa) | 50 | Maximum Power (kW) | 157 |
| Target Speed (rpm) | 25.75 | 51.50 | 77.25 | 103.00 | Mean |
|---|---|---|---|---|---|
| Overshoot (%) | 1.94 | 17.48 | 5.18 | 3.64 | 7.06 |
| Rise time (s) | 1.45 | 0.68 | 0.78 | 0.58 | 0.87 |
| Steady state error (rpm) | 0.02 | 0.19 | 0.19 | 0.09 | 0.12 |
| Time to reach steady state (s) | 1.73 | 2.33 | 0.80 | 0.60 | 1.36 |
| Loading Condition (N•m) | 50–100 | 100–150 | 150–200 | |||
|---|---|---|---|---|---|---|
| IMF1 | IMF2 | IMF1 | IMF2 | IMF1 | IMF2 | |
| R2 | 0.9987 | 0.9948 | 0.9444 | 0.9828 | 0.9907 | 0.9989 |
| Whether pass the skewness test or not | √ | √ | √ | √ | √ | × |
| Target Speed (rpm) | Mean (rpm) | Standard Deviation (rpm) | Maximum Deviation (rpm) | Range (rpm) |
|---|---|---|---|---|
| 25.75 | 25.61 | 0.87 | 3.32 | 5.20 |
| 51.50 | 51.31 | 1.18 | 4.04 | 6.81 |
| 77.25 | 77.04 | 1.83 | 8.11 | 12.55 |
| 103.00 | 102.69 | 0.82 | 2.74 | 4.39 |
Publisher’s Note: MDPI stays neutral with regard to jurisdictional claims in published maps and institutional affiliations. |
© 2021 by the authors. Licensee MDPI, Basel, Switzerland. This article is an open access article distributed under the terms and conditions of the Creative Commons Attribution (CC BY) license (https://creativecommons.org/licenses/by/4.0/).
Share and Cite
Cheng, Z.; Lu, Z. Research on Load Disturbance Based Variable Speed PID Control and a Novel Denoising Method Based Effect Evaluation of HST for Agricultural Machinery. Agriculture 2021, 11, 960. https://doi.org/10.3390/agriculture11100960
Cheng Z, Lu Z. Research on Load Disturbance Based Variable Speed PID Control and a Novel Denoising Method Based Effect Evaluation of HST for Agricultural Machinery. Agriculture. 2021; 11(10):960. https://doi.org/10.3390/agriculture11100960
Chicago/Turabian StyleCheng, Zhun, and Zhixiong Lu. 2021. "Research on Load Disturbance Based Variable Speed PID Control and a Novel Denoising Method Based Effect Evaluation of HST for Agricultural Machinery" Agriculture 11, no. 10: 960. https://doi.org/10.3390/agriculture11100960
APA StyleCheng, Z., & Lu, Z. (2021). Research on Load Disturbance Based Variable Speed PID Control and a Novel Denoising Method Based Effect Evaluation of HST for Agricultural Machinery. Agriculture, 11(10), 960. https://doi.org/10.3390/agriculture11100960

