Decision Strategies for Absorbance Readings from an Enzyme-Linked Immunosorbent Assay—A Case Study about Testing Genotypes of Sugar Beet (Beta vulgaris L.) for Resistance against Beet Necrotic Yellow Vein Virus (BNYVV)
Abstract
1. Introduction
2. Materials and Methods
2.1. Plant Material and Plant Growth
2.2. Determination of Optical Density Values
2.3. Statistical Analysis
2.4. Application in a Realistic Setting
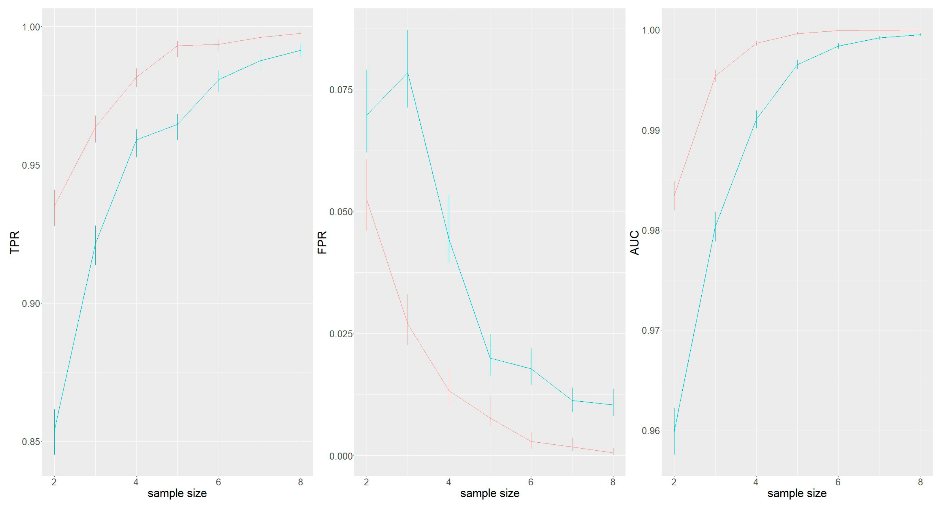
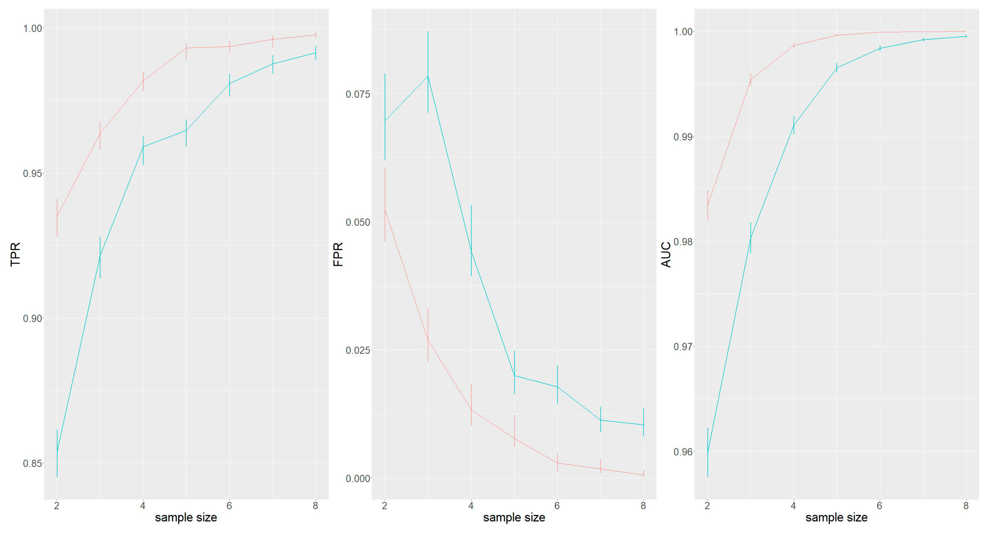
3. Results
4. Discussion and Conclusions
Supplementary Materials
Author Contributions
Funding
Institutional Review Board Statement
Informed Consent Statement
Data Availability Statement
Acknowledgments
Conflicts of Interest
Abbreviations
| AUC | Area under the curve |
| BNYVV | Beet necrotic yellow vein virus |
| DAS-ELISA | Double antibody sandwich-ELISA |
| ELISA | Enzyme-linked immunosorbent assay |
| FPR | False positive rate |
| OD | Optical density |
| ROC | Receiver operation characteristic |
| TAS-ELISA | Triple antibody sandwich-ELISA |
| TPR | True positive rate |
References
- Canova, A. On the pathology of sugar beet. Inf. Fitopatol. 1959, 9, 390–396. [Google Scholar]
- Tamada, T.; Baba, T. Beet necrotic yellow vein virus from rizomania-affected sugar beet in Japan. Jpn. J. Phytopathol. 1973, 39, 325–332. [Google Scholar] [CrossRef]
- Fujisawa, I.; Sugimoto, T. Transmission of beet necrotic yellow vein virus by Polymyxa betae. Jpn. J. Phytopathol. 1977, 43, 583–586. [Google Scholar] [CrossRef]
- Rush, C.M. Ecology and Epidemiology of Benyviruses and Plasmodiophorid Vectors. Annu. Rev. Phytopathol. 2003, 41, 567–592. [Google Scholar] [CrossRef]
- Tamada, T.; Kondo, H. Biological and genetic diversity of plasmodiophorid-transmitted viruses and their vectors. J. Gen. Plant Pathol. 2013, 79, 307–320. [Google Scholar] [CrossRef]
- McGrann, G.R.D.; Grimmer, M.K.; Mutasa-Göttgens, E.S.; Stevens, M. Progress towards the understanding and control of sugar beet rhizomania disease. Mol. Plant Pathol. 2009, 10, 129–141. [Google Scholar] [CrossRef]
- Özmen, C.Y.; Khabbazi, S.D.; Khabbazi, A.D.; Gürel, S.; Kaya, R.; Oğuz, M.Ç.; Turan, F.; Rezaei, F.; Kibar, U.; Gürel, E.; et al. Genome composition analysis of multipartite BNYVV reveals the occurrence of genetic re-assortment in the isolates of Asia Minor and Thrace. Sci. Rep. 2020, 10, 1–11. [Google Scholar]
- Daly, D.; White, A.M.; Varnum, S.M.; Anderson, K.K.; Zangar, R.C. Evaluating concentration estimation errors in ELISA microarray experiments. BMC Bioinform. 2005, 6, 17. [Google Scholar] [CrossRef]
- Amiri, R.; Moghaddam, M.; Mesbah, M.; Sadeghian, S.Y.; Ghannadha, M.R.; Izadpanah, K. The inheritance of resistance to beet necrotic yellow vein virus (BNYVV) in B. vulgaris subsp. maritima, accession WB42: Statistical comparisons with Holly-1-4. Euphytica 2003, 132, 363–373. [Google Scholar] [CrossRef]
- Pferdmenges, F.; Korf, H.; Varrelmann, M. Identification of rhizomania-infected soil in Europe able to overcome Rz1 resistance in sugar beet and comparison with other resistance-breaking soils from different geographic origins. Eur. J. Plant Pathol. 2008, 124, 31–43. [Google Scholar] [CrossRef]
- Safar, S.; Bazrafshan, M.; Khoshnami, M.; Behrooz, A.A.; Hedayati, F.; Maleki, M.; Mahmoudi, S.B.; Malboobi, M.A. Field evaluation for rhizomania resistance of transgenic sugar beet events based on gene silencing. Can. J. Plant Pathol. 2020, 43, 179–188. [Google Scholar] [CrossRef]
- Wisler, G.; Lewellen, R.; Sears, J.; Liu, H.Y.; Duffus, J. Specificity of TAS-ELISA for beet necrotic yellow vein virus and its application for determining rhizomania resistance in field-grown sugar beets. Plant Dis. 1999, 83, 864–870. [Google Scholar] [CrossRef] [PubMed]
- Wisler, G.; Lewellen, R.; Sears, J.; Wasson, J.; Liu, H.Y.; Wintermantel, W. Interactions between Beet necrotic yellow vein virus and Beet soilborne mosaic virus in sugar beet. Plant Dis. 2003, 87, 1170–1175. [Google Scholar] [CrossRef][Green Version]
- Broccanello, C.; McGrath, J.M.; Panella, L.; Richardson, K.; Funk, A.; Chiodi, C.; Biscarini, F.; Barone, V.; Baglieri, A.; Squartini, A.; et al. A SNP mutation affects rhizomania-virus content of sugar beets grown on resistance-breaking soils. Euphytica 2017, 214. [Google Scholar] [CrossRef]
- Giunchedi, L.; Biaggi, M.D.; Pollini, C.P. Correlation between tolerance and Beet necrotic yellow vein virus in Sugar-beet genotypes. Phytopathol. Mediterr. 1987, 26, 23–28. [Google Scholar]
- Capistrano-Gossmann, G.G.; Ries, D.; Holtgräwe, D.; Minoche, A.; Kraft, T.; Frerichmann, S.; Soerensen, T.R.; Dohm, J.C.; González, I.; Schilhabel, M.; et al. Crop wild relative populations of Beta vulgaris allow direct mapping of agronomically important genes. Nat. Commun. 2017, 8. [Google Scholar] [CrossRef] [PubMed]
- Clark, M.F.; Adams, A.N. Characteristics of the Microplate Method of Enzyme-Linked Immunosorbent Assay for the Detection of Plant Viruses. J. Gen. Virol. 1977, 34, 475–483. [Google Scholar] [CrossRef]
- Fecker, L.F.; Koenig, R.; Obermeier, C. Nicotiana benthamiana plants expressing beet necrotic yellow vein virus (BNYVV) coat protein-specific scFv are partially protected against the establishment of the virus in the early stages of infection and its pathogenic effects in the late stages of infection. Arch. Virol. 1997, 142, 1857–1863. [Google Scholar]
- Lottspeich, F.; Engels, J.W. Bioanalytik; Spektrum: Heidelberg, Germany, 2012. [Google Scholar]
- Biaggi, M.D.; Stevanato, P.; Trebbi, D.; Saccomani, M.; Biancardi, E. Sugar Beet Resistance to Rhizomania: State of the Art and Perspectives. Sugar Tech. 2010, 12, 238–242. [Google Scholar] [CrossRef]
- De Biaggi, M. Méthodes de sélection—Un cas concret. In Proceedings of the IIBR 50th Winter Congress of the International Institute for Sugar Beet Research (IIBR), Brussels, Belgium, 11–12 February 1987; Institut International de Recherches Betteravières: Brussels, Belgium, 1987. [Google Scholar]
- Büttner, G.; Märländer, B.; Manthey, R. Breeding for resistance to rhizomania in sugar-beet (Beta vulgaris L.). Plant Breed. 1995, 114, 160–164. [Google Scholar] [CrossRef]
- Hoijtink, H.; Mulder, J.; van Lissa, C.; Gu, X. A tutorial on testing hypotheses using the Bayes factor. Psychol. Methods 2019, 24, 539. [Google Scholar] [CrossRef]
- Goodman, S.N. Toward evidence-based medical statistics. 2: The Bayes factor. Ann. Intern. Med. 1999, 130, 1005–1013. [Google Scholar] [CrossRef]
- Wade, P.R. Bayesian methods in conservation biology. Conserv. Biol. 2000, 14, 1308–1316. [Google Scholar] [CrossRef]
- Evans, R.B.; Erlandson, K. Robust Bayesian prediction of subject disease status and population prevalence using several similar diagnostic tests. Stat. Med. 2004, 23, 2227–2236. [Google Scholar] [CrossRef] [PubMed]
- Hanson, T.E.; Johnson, W.O.; Gardner, I.A.; Georgiadis, M.P. Determining the infection status of a herd. J. Agric. Biol. Environ. Stat. 2003, 8, 469–485. [Google Scholar] [CrossRef]
- Kass, R.E.; Raftery, A.E. Bayes Factors. J. Am. Stat. Assoc. 1995, 90, 773–795. [Google Scholar] [CrossRef]
- Morisawa, J.; Otani, T.; Nishino, J.; Emoto, R.; Takahashi, K.; Matsui, S. Semi-parametric empirical Bayes factor for genome-wide association studies. Eur. J. Hum. Genet. 2021, 29, 800–807. [Google Scholar] [CrossRef]
- Van Hulzen, K.; Schopen, G.; van Arendonk, J.; Nielen, M.; Koets, A.; Schrooten, C.; Heuven, H. Genome-wide association study to identify chromosomal regions associated with antibody response to Mycobacterium avium subspecies paratuberculosis in milk of Dutch Holstein-Friesians. J. Dairy Sci. 2012, 95, 2740–2748. [Google Scholar] [CrossRef] [PubMed]
- Paul, H.; Henken, B.; Alderlieste, M. A greenhouse test for screening sugar-beet (Beta vulgaris) for resistance to beet necrotic yellow vein virus (BNYVV). Neth. J. Plant Pathol. 1992, 98, 65–75. [Google Scholar] [CrossRef]
- R Core Team. R: A Language and Environment for Statistical Computing; R Foundation for Statistical Computing: Vienna, Austria, 2020. [Google Scholar]
- Wickham, H. ggplot2: Elegant Graphics for Data Analysis; Springer: New York, NY, USA, 2016. [Google Scholar]
- Sarkar, D. Lattice: Multivariate Data Visualization with R; Springer: New York, NY, USA, 2008; ISBN 978-0-387-75968-5. [Google Scholar]
- Kooperberg, C. Logspline: Routines for Logspline Density Estimation. Version: 2.1.16. 2020. Available online: https://cran.r-project.org/web/packages/logspline/index.html (accessed on 1 September 2021).
- Kooperberg, C.; Stone, C.J. Logspline density estimation for censored data. J. Comput. Graph. Stat. 1992, 1, 301–328. [Google Scholar]
- Khan, R.A.; Brandenburger, T. ROCit: Performance Assessment of Binary Classifier with Visualization. Version: 2.1.1. 2019. Available online: https://cran.r-project.org/web/packages/ROCit/index.html (accessed on 1 September 2021).
- Peter, E. fbroc: Fast Algorithms to Bootstrap Receiver Operating Characteristics Curves. Version: 0.4.1. 2019. Available online: https://cran.r-project.org/web/packages/fbroc/index.html (accessed on 1 September 2021).
- Robin, X.; Turck, N.; Hainard, A.; Tiberti, N.; Lisacek, F.; Sanchez, J.C.; Müller, M. pROC: An open-source package for R and S+ to analyze and compare ROC curves. BMC Bioinform. 2011, 12, 1–8. [Google Scholar] [CrossRef] [PubMed]





Publisher’s Note: MDPI stays neutral with regard to jurisdictional claims in published maps and institutional affiliations. |
© 2021 by the authors. Licensee MDPI, Basel, Switzerland. This article is an open access article distributed under the terms and conditions of the Creative Commons Attribution (CC BY) license (https://creativecommons.org/licenses/by/4.0/).
Share and Cite
Lange, T.M.; Wutke, M.; Bertram, L.; Keunecke, H.; Kopisch-Obuch, F.; Schmitt, A.O. Decision Strategies for Absorbance Readings from an Enzyme-Linked Immunosorbent Assay—A Case Study about Testing Genotypes of Sugar Beet (Beta vulgaris L.) for Resistance against Beet Necrotic Yellow Vein Virus (BNYVV). Agriculture 2021, 11, 956. https://doi.org/10.3390/agriculture11100956
Lange TM, Wutke M, Bertram L, Keunecke H, Kopisch-Obuch F, Schmitt AO. Decision Strategies for Absorbance Readings from an Enzyme-Linked Immunosorbent Assay—A Case Study about Testing Genotypes of Sugar Beet (Beta vulgaris L.) for Resistance against Beet Necrotic Yellow Vein Virus (BNYVV). Agriculture. 2021; 11(10):956. https://doi.org/10.3390/agriculture11100956
Chicago/Turabian StyleLange, Thomas M., Martin Wutke, Lisa Bertram, Harald Keunecke, Friedrich Kopisch-Obuch, and Armin O. Schmitt. 2021. "Decision Strategies for Absorbance Readings from an Enzyme-Linked Immunosorbent Assay—A Case Study about Testing Genotypes of Sugar Beet (Beta vulgaris L.) for Resistance against Beet Necrotic Yellow Vein Virus (BNYVV)" Agriculture 11, no. 10: 956. https://doi.org/10.3390/agriculture11100956
APA StyleLange, T. M., Wutke, M., Bertram, L., Keunecke, H., Kopisch-Obuch, F., & Schmitt, A. O. (2021). Decision Strategies for Absorbance Readings from an Enzyme-Linked Immunosorbent Assay—A Case Study about Testing Genotypes of Sugar Beet (Beta vulgaris L.) for Resistance against Beet Necrotic Yellow Vein Virus (BNYVV). Agriculture, 11(10), 956. https://doi.org/10.3390/agriculture11100956

