Dietary Fiber Source and Length of Feeding Partitions Differentially Affected Behavior, Immune Status, and Productivity of Group-Housed Dry Sows
Abstract
1. Introduction
2. Materials and Methods
2.1. Animals and Experimental Design
2.2. Dietary Treatments
2.3. Behavior
2.4. Blood Collection and Cell Isolation
2.5. Immune Measures and Interleukin-12 Assays and Cortisol
2.6. Skin Lesions and Body Condition Scores
2.7. Sow- and Litter-Related Traits
2.8. Statistical Analysis
3. Results
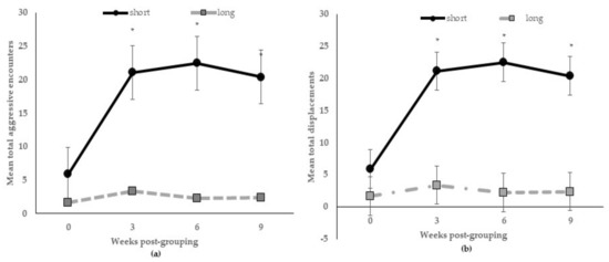
3.1. Behavior
3.2. Immune Measures and Cortisol
3.3. Sow- and Litter-Related Measures
4. Discussion
4.1. Aggression and Lesion Scores
4.2. Immune Status and Stress
4.3. Other Behaviors and Productivity
4.4. Sow Parity
5. Conclusions
Author Contributions
Funding
Institutional Review Board Statement
Informed Consent Statement
Data Availability Statement
Acknowledgments
Conflicts of Interest
References
- Elmore, M.R.P.; Garner, J.P.; Johnson, A.K.; Kirden, R.D.; Richert, B.T.; Pajor, E.A. Getting around social status: Motivation and enrichment use of dominant and subordinate sows in a group setting. Appl. Anim. Behav. Sci. 2011, 133, 154–163. [Google Scholar] [CrossRef]
- Remience, V.; Wavreille, J.; Canart, B.; Meunier-Salaun, M.C.; Prunier, A.; Bartiaux-Thill, N.; Nicks, B.; Vandenheede, M. Effects of space allowance on the welfare of dry sows kept in dynamic groups and fed with an electronic sow feeder. Appl. Anim. Behav. Sci. 2008, 112, 284–296. [Google Scholar] [CrossRef]
- Gonyou, H.W. The Social Behaviour of Pigs. In Social Behaviour in Farm Animals; Keeling, L.J., Gonyou, H.W., Eds.; CABI International: Wallingford, UK, 2001; pp. 147–176. [Google Scholar]
- Kranendonk, G.; Van der Mheen, H.; Fillerup, M.; Hopster, H. Social rank of pregnant sows affects their body weight gain and behavior and performance of the offspring. J. Anim. Sci. 2007, 85, 420–429. [Google Scholar] [CrossRef] [PubMed]
- Salak-Johnson, J.L.; Niekamp, S.R.; Rodriguez-Zas, S.L.; Ellis, M.; Curtis, S.E. Space allowance for dry, pregnant sows in pens: Body condition, skin lesions, and performance. J. Anim. Sci. 2007, 85, 1758–1769. [Google Scholar] [CrossRef] [PubMed]
- Zhao, Y.; Flowers, W.L.; Saraiva, A.; Yeum, K.J.; Kim, S.W. Effect of social ranks and gestation housing systems on oxidative stress status, reproductive performance, and immune status of sows. J. Anim. Sci. 2013, 91, 5848–5858. [Google Scholar] [CrossRef] [PubMed]
- McGlone, J.J.; Fullwood, S.D. Behavior, reproduction, and immunity of crated pregnant gilts: Effects of high dietary fiber and rearing environment. J. Anim. Sci. 2001, 79, 1466–1474. [Google Scholar] [CrossRef] [PubMed]
- De Leeuw, J.A.; Jongbloed, A.W.; Spoolder, H.A.M.; Verstegen, M.W.A. Effects of hindgut fermentation of non-starch polysaccharides on the stability of blood glucose and insulin levels and physical activity in empty sows. Livest. Prod. Sci. 2005, 96, 165–174. [Google Scholar] [CrossRef]
- DeDecker, A.E.; Hanson, A.R.; Walker, P.M.; Salak-Johnson, J.L. Space allowance and high fiber diet impact performance and behavior of group-kept gestating sows. J. Anim. Sci. 2014, 92, 1666–1674. [Google Scholar] [CrossRef]
- Zonderland, J.J.; de Leeuw, J.A.; Nolten, C.; Spoolder, H.A.M. Assessing long term behavioural effects of feeding motivation in group-housed sows; what, when and how to observe. Appl. Anim. Behav. Sci. 2004, 87, 15–30. [Google Scholar] [CrossRef]
- Guillemet, R.; Dourmad, J.Y.; Meunier-Salaun, M.C. Feeding behavior in primiparous lactating sows: Impact of a high-fiber diet during pregnancy. J. Anim. Sci. 2006, 84, 2474–2481. [Google Scholar] [CrossRef]
- Verdon, M.; Hansen, C.F.; Rault, J.-L.; Jongman, E.; Hansen, L.U.; Plush, K.; Hemsworth, P.H. Effects of group housing on sow welfare: A review. J. Anim. Sci. 2015, 93, 1999–2017. [Google Scholar] [CrossRef]
- Sapkota, A.; Marchant-Forde, J.N.; Richert, B.T.; Lay, D.C. Including dietary fiber and resistant starch to increase satiety and reduce aggression in gestating sows. J. Anim. Sci. 2016, 94, 2117–2127. [Google Scholar] [CrossRef] [PubMed]
- Hemsworth, P.H.; Rice, M.; Nash, J.; Giri, K.; Butler, K.L.; Tilbrook, A.J.; Morrison, R.S. Effects of group size and floor space allowance on grouped sows: Aggression, stress, skin injuries, and reproductive performance. J. Anim. Sci. 2013, 91, 4953–4964. [Google Scholar] [CrossRef] [PubMed]
- Andersen, I.L.; Boe, K.E.; Kristiansen, A.L. The influence of different feeding arrangements and food type on competition at feeding in pregnant sows. Appl. Anim. Behav. Sci. 1999, 65, 91–104. [Google Scholar] [CrossRef]
- DeDecker, A.E. Effect of Alternative, Individual and Group Housing Systems, and Management Factors in Group Pens on the Well-Being of Gestating Sows. Ph.D. Thesis, University of Illinois, Urbana, IL, USA, 2011. [Google Scholar]
- Sutherland, M.A.; Niekamp, S.R.; Rodriguez-Zas, S.L.; Salak-Johnson, J.L. Impacts of chronic stress and social status on various physiological and performance measures in pigs of different breeds. J. Anim. Sci. 2006, 84, 588–596. [Google Scholar] [CrossRef]
- Coffey, R.D.; Parker, G.R.; Laurent, K.M. Assessing Sow Body Condition; University of Kentucky Cooperative Extension Service: Lexington, KY, USA, 1999. [Google Scholar]
- Bench, C.J.; Rioja-Lang, F.C.; Hayne, S.M.; Gonyou, H.W. Group gestation housing with individual feeding, I: How feeding regime, resource allocation, and genetic factors affect sow welfare. Livest. Sci. 2013, 152, 208–217. [Google Scholar] [CrossRef]
- Barnett, J.L.; Hemsworth, P.H.; Cronin, G.M.; Newman, E.A.; McCallum, T.H.; Chilton, D. Effects of pen size, partial stalls and method of feeding on welfare-related behavioral and physiological responses of group-housed pigs. Appl. Anim. Behav. Sci. 1992, 34, 207–220. [Google Scholar] [CrossRef]
- Strawford, M.L.; Li, Y.Z.; Gonyou, H.W. The effect of management strategies and parity on the behavior and physiology of gestating sows housed in an electronic sow feeding system. Can. J. Anim. Sci. 2008, 88, 559–567. [Google Scholar] [CrossRef]
- Van der Peet-Schwering, C.M.C.; Kemp, B.; Binnendijk, G.P.; den Hartog, L.A.; Spoolder, H.A.M.; Verstegen, M.W.A. Performance of sows fed high levels of nonstarch polysaccharides during gestation and lactation over three parities. J. Anim. Sci. 2003, 81, 2247–2258. [Google Scholar] [CrossRef][Green Version]
- Meunier-Salaun, M.C.; Edwards, S.; Robert, S. Effect of fibre on the behaviour and health of the restricted fed sow. Anim. Feed Sci. Tech. 2001, 90, 1562–1573. [Google Scholar] [CrossRef]
- Barnett, J.L. Modifying the Design of Group Pens with Individual Feeding Places Affects the Welfare of Pigs. In Fifth International Livestock Environment Symposium; Bottcher, R.W., Hoff, S.J., Eds.; American Society of Agricultural Engineers: St. Joseph, MN, USA, 1997; pp. 613–618. [Google Scholar]
- Dhabhar, F.S.; Miller, A.H.; McEwen, B.S.; Spencer, R.L. Stress induced changes in blood leukocyte distribution—Role of adrenal steroid hormones. J. Immunol. 1996, 157, 1638–1644. [Google Scholar] [PubMed]
- Davis, A.K.; Maney, D.L.; Maerz, J.C. The use of leukocyte profiles to measure stress in vertebrates: A review for ecologists. Funct. Ecol. 2008, 22, 760–772. [Google Scholar] [CrossRef]
- Dhabhar, F.S.; Miller, A.H.; Stein, M.; McEwen, B.S.; Spencer, R.L. Diurnal and acute stress-induced changes in distribution of peripheral blood leukocyte subpopulations. Brain Behav. Immun. 1994, 8, 66–79. [Google Scholar] [CrossRef] [PubMed]
- Holt, J.P.; Johnston, L.J.; Baidoo, S.K.; Shurson, G.C. Effects of a high-fiber diet and frequent feeding on behavior, reproductive performance, and nutrient digestibility in gestating sows. J. Anim. Sci. 2006, 84, 946–955. [Google Scholar] [CrossRef] [PubMed]
- Li, X.; Baidoo, S.K.; Li, Y.Z.; Shurson, G.C.; Johnston, L.J. Interactive effects of distillers dried grains with solubles and housing system on reproductive performance and longevity of sows over three reproductive cycles. J. Anim. Sci. 2014, 92, 1562–1573. [Google Scholar] [CrossRef]
- Wang, J.; Yang, M.; Cao, M.; Lin, Y.; Che, L.Q.; Duraipandiyan, V.; Al-Dhabi, N.A.; Fang, Z.F.; Xu, S.Y.; Feng, B.; et al. Moderately, increased energy intake during gestation improves body condition of primiparous sows, piglet growth, performance, and milk fat and protein output. Livest. Sci. 2016, 194, 23–30. [Google Scholar] [CrossRef]
- Souza da Silva, C.; van den Borne, J.J.G.C.; Gerrits, W.J.J.; Kemp, B.; Bolhuis, J.E. Effects of dietary fibers with different physicochemical properties on feeding motivation in adult female pigs. Physiol. Behav. 2012, 107, 218–230. [Google Scholar] [CrossRef]
- Sun, H.Q.; Zhou, Y.F.; Tan, C.Q.; Zheng, L.F.; Peng, J.; Jiang, S.W. Effects of konjac flour inclusion in gestation diets on the nutrient digestibility, lactation feed intake and reproductive performance of sows. Animal 2014, 8, 1089–1094. [Google Scholar] [CrossRef]
- Salak-Johnson, J.L.; DeDecker, A.E.; Horsman, M.J.; Rodriguez-Zas, S.L. Space allowance for gestating sows in pens: Behavior and immunity. J. Anim. Sci. 2012, 90, 3232–3242. [Google Scholar] [CrossRef]
- Lopez, M. The Effects of High Fiber Diets and Feeding Partitions on the Well-Being of Group-Kept Sows. Master’s Thesis, University of Illinois, Urbana, IL, USA, 2015. [Google Scholar]
- Pacheco, E.; Salak-Johnson, J.L. Social status affects welfare metrics of group-housed gestating sows. J. Vet. Res. Anim. Husb. 2016, 1, 103–110. [Google Scholar]
- Pacheco, E. Assessing the Well-Being of Gestating Submissive Sows in Group Pens Using Multiple Welfare Metrics. Master’s Thesis, University of Illinois, Urbana, IL, USA, 2015. [Google Scholar]


| Item | MIDD-SY | DDGS-GM |
|---|---|---|
| Ingredients, % | ||
| Corn | 38.90 | 33.65 |
| Soybean meal, 48% | 12.50 | 2.50 |
| Soybean hulls | 15.00 | - |
| Wheat middlings | 30.00 | - |
| Distillers dried grains with solubles | - | 30.00 |
| Corn germ meal | - | 30.00 |
| Soybean oil | 1.00 | 1.00 |
| Limestone | 1.30 | 1.60 |
| Dicalcium phosphate | 0.60 | 0.55 |
| Salt | 0.40 | 0.40 |
| Vitamin mineral premix | 0.30 | 0.30 |
| Total | 100.00 | 100.00 |
| Energy and nutrients | ||
| Energy, kcal ME/kg | 1000.00 | 3.177 |
| Crude protein, % | 13.78 | 18.96 |
| Calcium, % | 0.78 | 0.78 |
| Phosphorus, % | 0.61 | 0.66 |
| Phosphorus, digestible, % | 0.34 | 0.34 |
| Acid detergent fiber, % | 9.81 | 7.93 |
| Neutral detergent fiber, % | 23.97 | 25.75 |
| Amino Acids | ||
| Arginine, % | 0.90 | 0.83 |
| Histidine, % | 0.35 | 0.52 |
| Isoleucine, % | 0.59 | 0.49 |
| Leucine, % | 1.05 | 1.34 |
| Lysine, % | 0.61 | 0.61 |
| Methionine, % | 0.21 | 0.45 |
| Methionine + cysteine, % | 0.46 | 0.66 |
| Phenylalanine, % | 0.60 | 0.58 |
| Threonine, % | 0.43 | 0.51 |
| Tryptophan, % | 0.15 | 0.23 |
| Valine, % | 0.59 | 0.59 |
| Behavior | Description |
|---|---|
| Aggression | |
| Biting | Mouth opening/closing near or on any part of another sow |
| Chasing | Pursuit with the intent of further aggression toward another sow |
| Pushing | Use of head or snout to hit another sow |
| Fighting | Vigorous reciprocated aggression (repeated bite or push) |
| Displacement | Physical and aggressive removal of the sow from feeding space or pen area |
| Threat | Aggressive act by a sow toward another but without physical contact |
| Other Behaviors | |
| Lying | Reclining in lateral or ventral position, no other behavior occurring |
| Sitting | Supported by two front legs, no other behavior occurring |
| Standing | Supported by all four legs, no other behavior occurring |
| Eating | Snout/mouth in contact with feed or head in the feeder when feed is present |
| Sham-chewing | Mouth empty, jaw moving in a repetitive chewing motion |
| Oral–nasal–facial | Snout or mouth in contact with any object besides food or water |
| Behavior, % | Diet 1 | Length 1 | ||||
|---|---|---|---|---|---|---|
| MIDD-SY | DDGS-GM | p-Value | Short | Long | p-Value | |
| Lying | 11.1 ± 1.8 | 10.8 ± 1.7 | 0.73 | 11.4 ± 1.1 a | 6.7 ± 1.1 b | 0.0002 |
| Sitting | 2.4 ± 1.0 a | 6.1 ± 1.0 b | 0.01 | 3.3 ± 0.6 | 3.2 ± 0.6 | 0.39 |
| Standing | 34.4 ± 2.5 | 33.8 ± 2.6 | 0.80 | 32.4 ± 1.5 a | 26.2 ± 1.5 b | 0.0002 |
| Eating | 11.7 ± 1.4 a | 7.3 ± 1.4 b | 0.02 | 5.1 ± 0.8 d | 11.1 ± 0.8 c | <0.0001 |
| Drinking | 3.7 ± 1.0 | 3.9 ± 1.0 | 0.92 | 4.2 ± 0.6 | 3.5 ± 0.7 | 0.70 |
| Oral–nasal–facial | 20.7 ± 2.5 | 20.7 ± 2.6 | 0.90 | 26.2 ± 1.5 b | 30.5 ± 1.5 a | <0.0001 |
| Sham-chewing | 15.5 ± 2.1 | 17.7 ± 2.1 | 0.41 | 17.1 ± 1.2 | 18.7 ± 1.2 | 0.39 |
| Walking | 0.16 ± 0.3 | 0.00 ± 0.3 | 0.37 | 0.28 ± 0.2 | 0.26 ± 0.2 | 0.46 |
| Measure | MIDD-SY | DDGS-GM | p-Value |
|---|---|---|---|
| Total WBC, 10⁷/10 µL | <0.001 | ||
| D30 | 7.0 ± 0.4 | 7.2 ± 0.4 | |
| D70 | 6.5 ± 0.5 | 7.0 ± 0.4 | |
| D90 | 7.6 ± 0.4 a | 6.6 ± 0.4 b | |
| D104 | 6.1 ± 0.5 a | 8.1 ± 0.5 b | |
| End of lactation | 6.3 ± 0.4 a | 7.3 ± 0.4 b | |
| Lymphocyte, 10⁷/mL | 0.45 | ||
| D30 | 5.8 ± 1.2 | 5.5 ± 1.2 | |
| D70 | 4.8 ± 0.9 | 4.7 ± 0.9 | |
| D90 | 4.7 ± 0.7 | 3.8 ± 0.7 | |
| D104 | 2.9 ± 0.4 | 3.2 ± 0.5 | |
| End of lactation | 3.7 ± 0.7 | 3.6 ± 0.7 | |
| Neutrophils, 106/mL | <0.01 | ||
| D30 | 15.6 ± 2.3 | 16.8 ± 2.3 | |
| D70 | 19.7 ± 1.8 a | 17.1 ± 1.8 b | |
| D90 | 20.6 ± 2.0 | 20.2 ± 2.0 | |
| D104 | 21.4 ± 2.2 a | 18.1 ± 2.2 b | |
| End of lactation | 26.0 ± 1.9 a | 24.1 ± 1.9 b | |
| Lymphocytes, % | <0.05 | ||
| D30 | 50.8 ± 2.0 | 49.1 ± 2.1 | |
| D70 | 44.6 ± 2.1 a | 50.0 ± 2.1 b | |
| D90 | 44.1 ± 2.2 a | 48.2 ± 2.2 b | |
| D104 | 39.3 ± 2.4 | 41.8 ± 2.4 | |
| End of lactation | 28.7 ± 2.5 a | 33.2 ± 2.5 b | |
| Neutrophils, % | 0.32 | ||
| D30 | 37.1 ± 2.2 | 37.9 ± 2.2 | |
| D70 | 44.9 ± 1.8 | 39.9 ± 1.8 | |
| D90 | 47.1 ± 1.6 | 42.6 ± 1.6 | |
| D104 | 53.9 ± 1.7 | 48.6 ± 1.7 | |
| End of lactation | 66.3 ± 2.7 | 57.4 ± 2.6 | |
| Monocytes, % | 0.05 | ||
| D30 | 4.2 ± 1.4 | 4.1 ± 1.4 | |
| D70 | 3.6 ± 1.2 | 3.0 ± 1.2 | |
| D90 | 3.0 ± 1.0 | 4.2 ± 1.0 | |
| D104 | 2.5 ± 0.9 a | 4.6 ± 0.9 b | |
| End of lactation | 2.4 ± 1.2 a | 5.6 ± 1.2 b | |
| Eosinophils, % | 0.15 | ||
| D30 | 7.2 ± 0.4 | 6.4 ± 0.4 | |
| D70 | 6.6 ± 0.5 | 5.8 ± 0.4 | |
| D90 | 5.4 ± 0.3 | 4.6 ± 0.3 | |
| D104 | 4.1 ± 0.3 | 4.5 ± 0.3 | |
| End of lactation | 3.2 ± 0.5 | 3.6 ± 0.5 | |
| Neutrophil-to-lymphocyte | 0.01 | ||
| D30 | 0.8 ± 0.06 | 0.9 ± 0.06 | |
| D70 | 1.2 ± 0.08 | 1.0 ± 0.08 | |
| D90 | 1.7 ± 0.2 a | 0.9 ± 0.2 b | |
| D104 | 1.7 ± 0.2 | 1.6 ± 0.2 | |
| End of lactation | 3.0 ± 0.2 a | 2.1 ± 0.2 b |
| Body Region | Short | Long | p-Value |
|---|---|---|---|
| Total Score | 24.0 ± 0.61 c | 29.2 ± 0.61 d | <0.0001 |
| Head | 1.58 ± 0.16 a | 1.90 ± 0.16 b | 0.05 |
| Ears | 1.39 ± 0.13 ᵃ | 1.33 ± 0.13 ᵇ | 0.69 |
| Neck | 3.34 ± 0.18 c | 4.17 ± 0.18 d | <0.0001 |
| Shoulders | 4.40 ± 0.16 | 4.58 ± 0.16 | 0.31 |
| Sides | 4.33 ± 0.18 | 4.55 ± 0.18 | 0.25 |
| Back | 1.10 ± 0.15 c | 2.61 ± 0.15 d | <0.0001 |
| Udder | 0.75 ± 0.10 | 0.95 ± 0.11 | 0.10 |
| Rear | 1.33 ± 0.15 c | 3.15 ± 0.15 d | <0.0001 |
| Vulva | 0.27 ± 0.09 a | 0.51 ± 0.16 b | <0.01 |
| Front Limbs | 0.79 ± 0.12 a | 1.11 ± 0.16 b | 0.02 |
| Hind Limbs | 3.86 ± 0.16 c | 5.03 ± 0.16 d | <0.0001 |
| Measure | MIDD-SY | DDGS-GM | p-Value |
|---|---|---|---|
| BW, kg | |||
| D30 | 219.7 ± 5.7 | 221.6 ± 5.7 | 0.65 |
| D70 | 227.2 ± 3.5 | 223.0 ± 3.5 | 0.40 |
| D90 | 235.4 ± 6.4 | 236.4 ± 6.4 | 0.88 |
| D104 | 256.5 ± 6.5 | 255.0 ± 6.5 | 0.75 |
| End of lactation | 223.8 ± 8.1 | 233.5 ± 8.0 | 0.09 |
| Mean | 233.4 ± 5.6 | 234.4 ± 5.6 | 0.67 |
| BW gain, kg | |||
| D30 to D70 | 10.0 ± 1.4 | 8.19 ± 1.4 | 0.29 |
| D70 to D90 | 5.23 ± 1.0 | 3.74 ± 1.0 | 0.08 |
| D90 to D104 | 20.9 ± 0.7 ᵃ | 17.3 ± 0.7 ᵇ | <0.001 |
| D30 to D104 | 34.0 ± 1.8 | 31.7± 1.8 | 0.28 |
| Total BW loss, kg | 32.8 ± 3.7 ᵃ | 23.0 ± 3.6 ᵇ | <0.001 |
| BF depth, cm | |||
| D30 | 1.87 ± 0.06 | 1.83 ± 0.06 | 0.64 |
| D90 | 1.87 ± 0.05 | 1.96 ± 0.05 | 0.09 |
| D104 | 1.91 ± 0.05 | 1.99 ± 0.05 | 0.18 |
| End of lactation | 1.69 ± 0.04 ᵃ | 1.83 ± 0.04 b | 0.05 |
| Mean | 1.86 ± 0.03 ᵃ | 1.92 ± 0.03 b | <0.01 |
Publisher’s Note: MDPI stays neutral with regard to jurisdictional claims in published maps and institutional affiliations. |
© 2021 by the authors. Licensee MDPI, Basel, Switzerland. This article is an open access article distributed under the terms and conditions of the Creative Commons Attribution (CC BY) license (http://creativecommons.org/licenses/by/4.0/).
Share and Cite
Lopez, M.; Pacheco, E.; Salak-Johnson, J. Dietary Fiber Source and Length of Feeding Partitions Differentially Affected Behavior, Immune Status, and Productivity of Group-Housed Dry Sows. Agriculture 2021, 11, 34. https://doi.org/10.3390/agriculture11010034
Lopez M, Pacheco E, Salak-Johnson J. Dietary Fiber Source and Length of Feeding Partitions Differentially Affected Behavior, Immune Status, and Productivity of Group-Housed Dry Sows. Agriculture. 2021; 11(1):34. https://doi.org/10.3390/agriculture11010034
Chicago/Turabian StyleLopez, Mayra, Eridia Pacheco, and Janeen Salak-Johnson. 2021. "Dietary Fiber Source and Length of Feeding Partitions Differentially Affected Behavior, Immune Status, and Productivity of Group-Housed Dry Sows" Agriculture 11, no. 1: 34. https://doi.org/10.3390/agriculture11010034
APA StyleLopez, M., Pacheco, E., & Salak-Johnson, J. (2021). Dietary Fiber Source and Length of Feeding Partitions Differentially Affected Behavior, Immune Status, and Productivity of Group-Housed Dry Sows. Agriculture, 11(1), 34. https://doi.org/10.3390/agriculture11010034

