Research on Inversion Model of Cultivated Soil Moisture Content Based on Hyperspectral Imaging Analysis
Abstract
1. Introduction
2. Materials and Methods
2.1. Overview of the Study Area
2.2. Field Data Collection and Processing
2.3. SMC Data Processing
2.4. Hyperspectral Data Pretreatment
2.4.1. Wavelet Transform
2.4.2. Wavelet Denoising
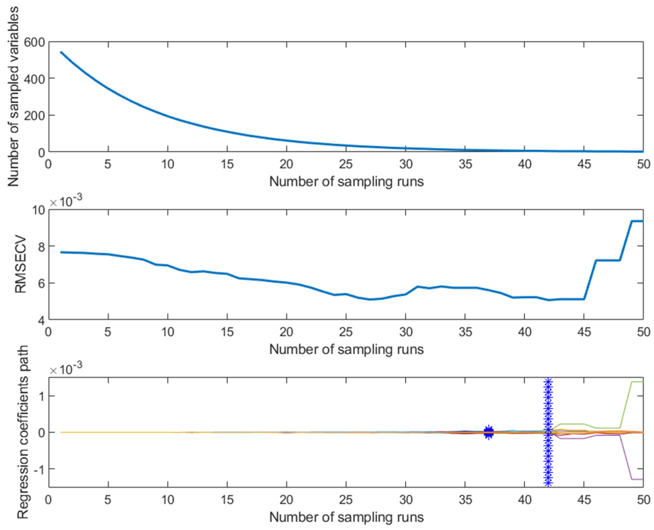
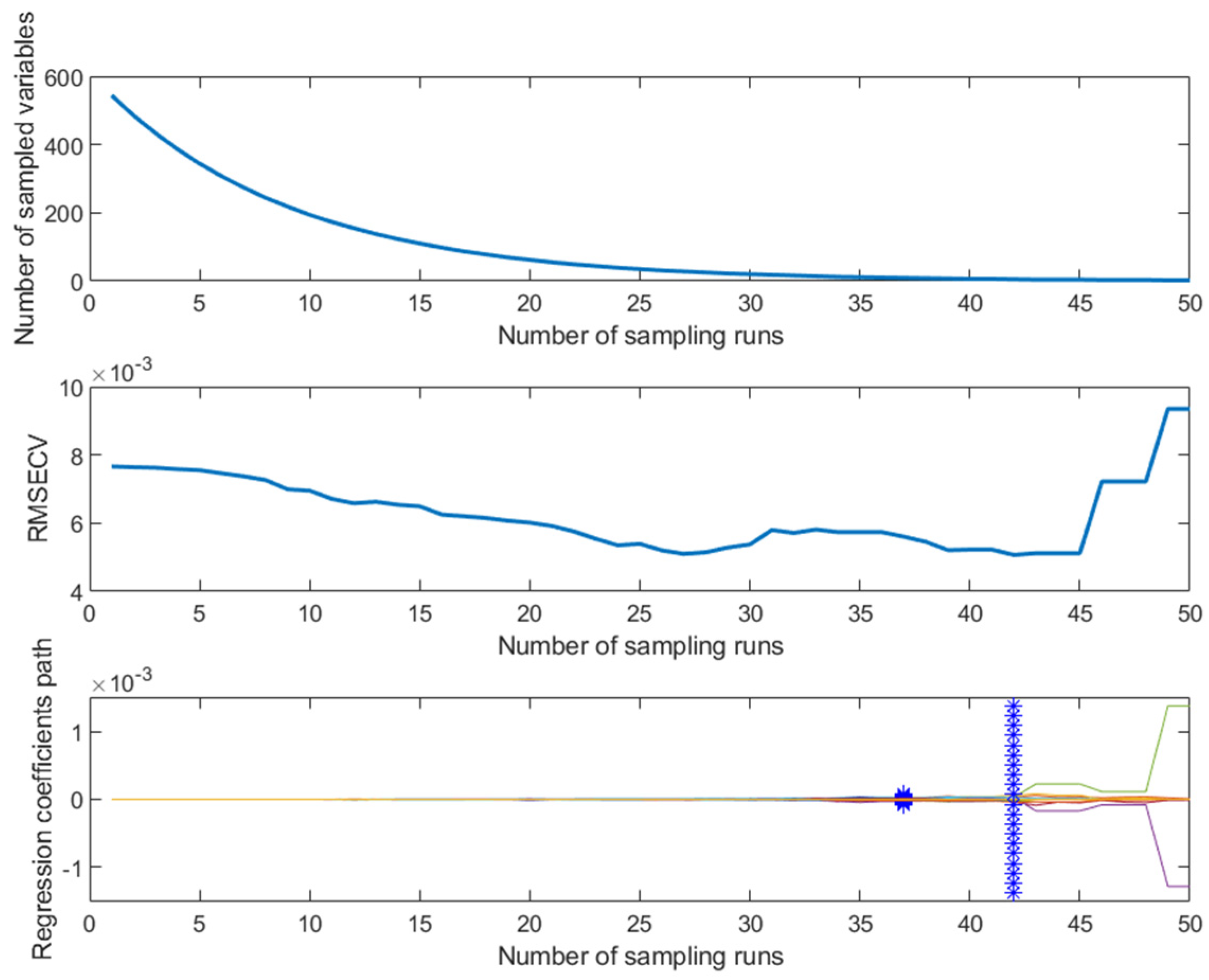
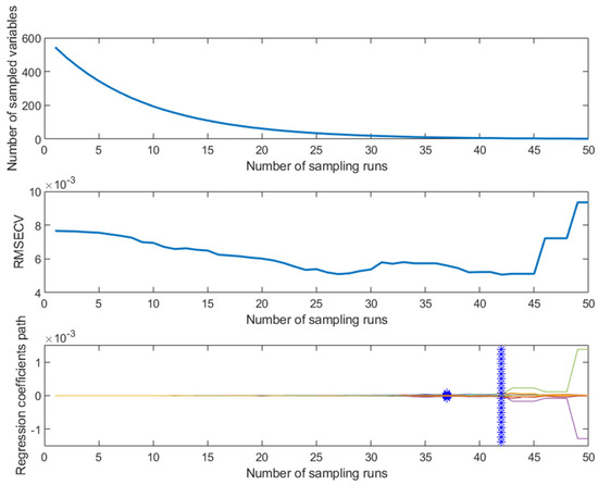
2.5. CARS-SPA Based Feature Wavelength Optimization
2.6. Linear Regression Forecasting Model of Soil Moisture Content
2.6.1. Simple Linear Regression Model
2.6.2. Multiple Linear Regression Model
2.7. Parameters of Model Evaluation
- (1)
- Root mean square error
- (2)
- Coefficient of determination
- (3)
- Mean absolute error
3. Results and Discussions
3.1. Results of SMC and Soil Spectral Data
3.2. Processing Results of CARS-SPA Algorithm
3.3. Results of Inversion Models
4. Conclusions
Author Contributions
Funding
Conflicts of Interest
References
- Corbari, C.; Sobrino, J.A.; Mancini, M.; Hidalgo, V. Land surface temperature representativeness in a heterogeneous area through a distributed energy-water balance model and remote sensing data. Hydrol. Earth Syst. Sci. 2010, 14, 2141–2151. [Google Scholar] [CrossRef]
- Tian, L.; Zhao, L.; Wu, X.; Fang, H.; Zhao, Y.; Hu, G.; Yue, G.; Sheng, Y.; Wu, J.; Chen, J.; et al. Soil moisture and texture primarily control the soil nutrient stoichiometry across the tibetan grassland. Sci. Total Environ. 2018, 622–633, 192–202. [Google Scholar] [CrossRef]
- Jun, X.U.; Jiang, J. Research on the estimation model of soil moisture content based on the characteristics of thermal infrared data. Asian J. Agric. Res. 2013, 5, 90–94. [Google Scholar]
- Nsafon, B.E.K.; Lee, S.-C.; Huh, J.-S. Responses of Yield and Protein Composition of Wheat to Climate Change. Agriculture 2020, 10, 59. [Google Scholar] [CrossRef]
- Bolten, J.D.; Crow, W.T.; Zhan, X.; Jackson, T.J.; Reynolds, C.A. Evaluating the utility of remotely sensed soil moisture retrievals for operational agricultural drought monitoring. IEEE J. Sel. Top Appl. Earth Obs. Remote Sens. 2010, 3, 57–66. [Google Scholar] [CrossRef]
- Vereecken, H.; Schnepf, A.; Hopmans, J.W.; Javaux, M.; Young, I.M. Modeling soil processes: Key challenges and new perspectives. Vadose Zone J. 2016, 15, 1–57. [Google Scholar] [CrossRef]
- Nagahage, E.A.A.D.; Nagahage, I.S.P.; Fujino, T. Calibration and Validation of a Low-Cost Capacitive Moisture Sensor to Integrate the Automated Soil Moisture Monitoring System. Agriculture 2019, 9, 141. [Google Scholar] [CrossRef]
- Kerr, Y.H. Soil moisture from space: Where are we? Hydrogeol. J. 2007, 15, 117–120. [Google Scholar] [CrossRef]
- Joshi, C.; Mohanty, B.P. Physical controls of near-surface soil moisture across varying spatial scales in an agricultural landscape during smex02. Water Resour. Res. 2010, 46, p.W12503.12501-W12503.12521. [Google Scholar] [CrossRef]
- Sobrino, J.A.; Franch, B.; Mattar, C.; Jiménez-Muñoz, J.C.; Corbari, C. A method to estimate soil moisture from airborne hyperspectral scanner (ahs) and aster data: Application to sen2flex and sen3exp campaigns. Remote Sens. Environ. 2012, 117, 415–428. [Google Scholar] [CrossRef]
- Stevanato, L.; Baroni, G.; Cohen, Y.; Fontana, C.L.; Gatto, S.; Lunardon, M.; Marinello, F.; Moretto, S.; Morselli, L. A Novel Cosmic-Ray Neutron Sensor for Soil Moisture Estimation over Large Areas. Agriculture 2019, 9, 202. [Google Scholar] [CrossRef]
- Li, X.; Yu, T.; Wang, X.; Shang, X.; Chen, H. A grey relationship-based soil organic matter content inversion pattern. In Proceedings of the 2011 IEEE International Conference on Grey Systems and Intelligent Services, Nanjing, China, 15–18 September 2011; pp. 30–33. [Google Scholar] [CrossRef]
- Yao, Y.; Wei, N.; Tang, P.; Li, Z.; Yu, Q.; Xu, X.; Chen, Y.; He, Y. Hyper-spectral characteristics and modeling of black soil moisture content. Trans. Chin. Soc. Agric. Eng. 2011, 27, 95–100. [Google Scholar]
- Na, W.; Yao, Y.; Chen, Y. The advance of soil quality information monitoring by hyperspectral remote sensing. Chin. Agric. Sci. Bull. 2008, 24, 491–496. [Google Scholar]
- Wang, C.; Feng, M.C.; Yang, W.D.; Guang-Xin, L.I.; Zhao, J.J.; Zhu, Z.H. Hyperspectrum monitoring of the som in plough layer in winter wheat filed. J. Shanxi Agric. Sci. 2014, 42, 869–873. [Google Scholar]
- Zhang, J.H.; Jia, K.L. Spectral reflectance characteristics and modeling of typical takyr solonetzs water content. Chin. J. Appl. Ecol. 2015, 26, 884–890. [Google Scholar]
- He, T.; Jing, W.; Lin, Z.; Ye, C. Spectral features of soil moisture. Acta Pedol. Sinica 2006, 43, 1027–1032. [Google Scholar]
- Liu, W.D.; Baret, F.; Zhang, B.; Tong, Q.X.; Zheng, L.F. Using hyperspectral data to estimate soil surface moisture under experimental conditions. Int. J. Remote Sens. 2004, 8, 434–442. [Google Scholar]
- Cai, L.H.; Ding, J.L. Prediction for soil water content based on variable preferred and extreme learning machine algorithm. Spectrosc. Spectr. Anal. 2018, 38, 2209–2214. [Google Scholar]
- Wei, J.; Junlong, F.; Shuwen, W.; Runtao, W. Using cars-spa algorithm combined with hyperspectral to determine reducing sugars content in potatoes. J. Northeast Agric. Univ. 2016, 47, 88–95. [Google Scholar]
- Peng, J.; Xiang, H.Y.; Wang, J.Q.; Liu, W.Y.; Chi, C.M.; Niu, J.L. Inversion models of soil water content using hyperspectral measurements in fields of the arid region farmland. Agric. Res. Arid Areas 2013, 31, 241–246. [Google Scholar]
- Xiao-yan, Z.; Huan, L.; Li-ji, C.; Zhi-yuan, L. Critical spectral characteristics and moisture retrieval models of intertidal sediments. Adv. Mar. Sci. 2019, 37, 65–74. [Google Scholar]
- Lu, J.; Ding, W. The feature extraction of plant electrical signal based on wavelet packet and neural network. In Proceedings of the International Conference on Automatic Control and Artificial Intelligence (ACAI 2012), Xiamen, China, 3–5 March 2012; pp. 2119–2122. [Google Scholar] [CrossRef]
- Han, Y.; Chen, J.; Pan, T.; Liu, G. Determination of glycated hemoglobin using near-infrared spectroscopy combined with equidistant combination partial least squares. Chemometr. Intell. Lab. 2015, 145, 84–92. [Google Scholar] [CrossRef]
- Hao, Q.; Zhou, J.; Zhou, L.; Kang, L.; Nan, T.; Yu, Y.; Guo, L. Prediction the contents of fructose, glucose, sucrose, fructo-oligosaccharides and iridoid glycosides in morinda officinalis radix using near-infrared spectroscopy. Spectrochim. Acta Part A Mol. Biomol. Spectrosc. 2020, 234, 118275. [Google Scholar] [CrossRef] [PubMed]
- Ying, L.; Guo, Y.; Chang, L.; Wu, W.; Rao, P.; Fu, C.; Wang, S. Spa combined with swarm intelligence optimization algorithms for wavelength variable selection to rapidly discriminate the adulteration of apple juice. Food Anal. Methods 2016, 10, 1–7. [Google Scholar]
- Jiang, G.; Grafton, M.; Pearson, D.; Bretherton, M.; Holmes, A. Integration of precision farming data and spatial statistical modelling to interpret field-scale maize productivity. Agriculture 2019, 9, 237. [Google Scholar] [CrossRef]









| Number | Item | Parameter |
|---|---|---|
| 1 | Range of spectral scanning /nm | 380–2500 |
| 2 | Scanning forward speed / | 0.36 |
| 3 | Height of camera (Camera 1/Camera 2) /cm | 5/7 |
| Soil Samples | Minimum of SMC | Maximum of SMC | Average of SMC | Variance | Coefficient of Variation |
|---|---|---|---|---|---|
| 52 | 4.83% | 9.92% | 7.90% | 0.013% | 14.42% |
| Variable Selection Methods | Range of Band | Number of Variables | Number of Factors | RMSECV (Root Mean Square Error of Cross Validation) |
|---|---|---|---|---|
| CARS (competitive adaptive reweighted sampling) | 380–2530 nm | 544 | 124 | 0.523 |
| SPA (successive projections algorithm) | 380–2530 nm | 544 | 10 | 0.477 |
| CARS-SPA (competitive adaptive reweighted sampling combined with successive projections algorithm) | 1273–1474 nm | 32 | 7 | 0.413 |
| CARS-SPA | 695–796 nm | 40 | 7 | 0.024 |
| Factor | Equation of Model | R2 | RMSE (Root Mean Square Error) | MAE (Mean Absolute Error) |
|---|---|---|---|---|
| R736 | Y = −6.682 R736+0.1579 | 0.63 | 0.0084 | 0.0056 |
| R747 | Y = −6.717 R747+0.1584 | 0.64 | 0.0084 | 0.0057 |
| R778 | Y = −7.092 R778+0.16 | 0.65 | 0.0083 | 0.0056 |
| R796 | Y = −7.494 R796+0.161 | 0.66 | 0.0082 | 0.0058 |
| Number | Equation of Model | R2 | RMSE |
|---|---|---|---|
| 1 | Y = −2.591 R778+1.979 R695+0.1567 | 0.74 | 0.0079 |
| 2 | Y = −9.428 R711+9.068 R695+0.1518 | 0.75 | 0.0078 |
| 3 | Y = −2.792 R767+2.178 R695+0.1555 | 0.74 | 0.0079 |
| 4 | Y = −4.691 R747+4.233 R711+0.1519 | 0.73 | 0.0079 |
| 5 | Y = −3.145 R796+2.32 R711+0.1592 | 0.73 | 0.0080 |
© 2020 by the authors. Licensee MDPI, Basel, Switzerland. This article is an open access article distributed under the terms and conditions of the Creative Commons Attribution (CC BY) license (http://creativecommons.org/licenses/by/4.0/).
Share and Cite
Wu, T.; Yu, J.; Lu, J.; Zou, X.; Zhang, W. Research on Inversion Model of Cultivated Soil Moisture Content Based on Hyperspectral Imaging Analysis. Agriculture 2020, 10, 292. https://doi.org/10.3390/agriculture10070292
Wu T, Yu J, Lu J, Zou X, Zhang W. Research on Inversion Model of Cultivated Soil Moisture Content Based on Hyperspectral Imaging Analysis. Agriculture. 2020; 10(7):292. https://doi.org/10.3390/agriculture10070292
Chicago/Turabian StyleWu, Tinghui, Jian Yu, Jingxia Lu, Xiuguo Zou, and Wentian Zhang. 2020. "Research on Inversion Model of Cultivated Soil Moisture Content Based on Hyperspectral Imaging Analysis" Agriculture 10, no. 7: 292. https://doi.org/10.3390/agriculture10070292
APA StyleWu, T., Yu, J., Lu, J., Zou, X., & Zhang, W. (2020). Research on Inversion Model of Cultivated Soil Moisture Content Based on Hyperspectral Imaging Analysis. Agriculture, 10(7), 292. https://doi.org/10.3390/agriculture10070292

