Continuous and Intermittent Drying of Rough Rice: Effects on Process Effective Time and Effective Mass Diffusivity
Abstract
1. Introduction
2. Material and Methods
2.1. Material and Experimental Procedures
2.2. Description of Drying Kinetics: Empirical Models
2.3. Description of Drying Kinetics: Diffusion Model
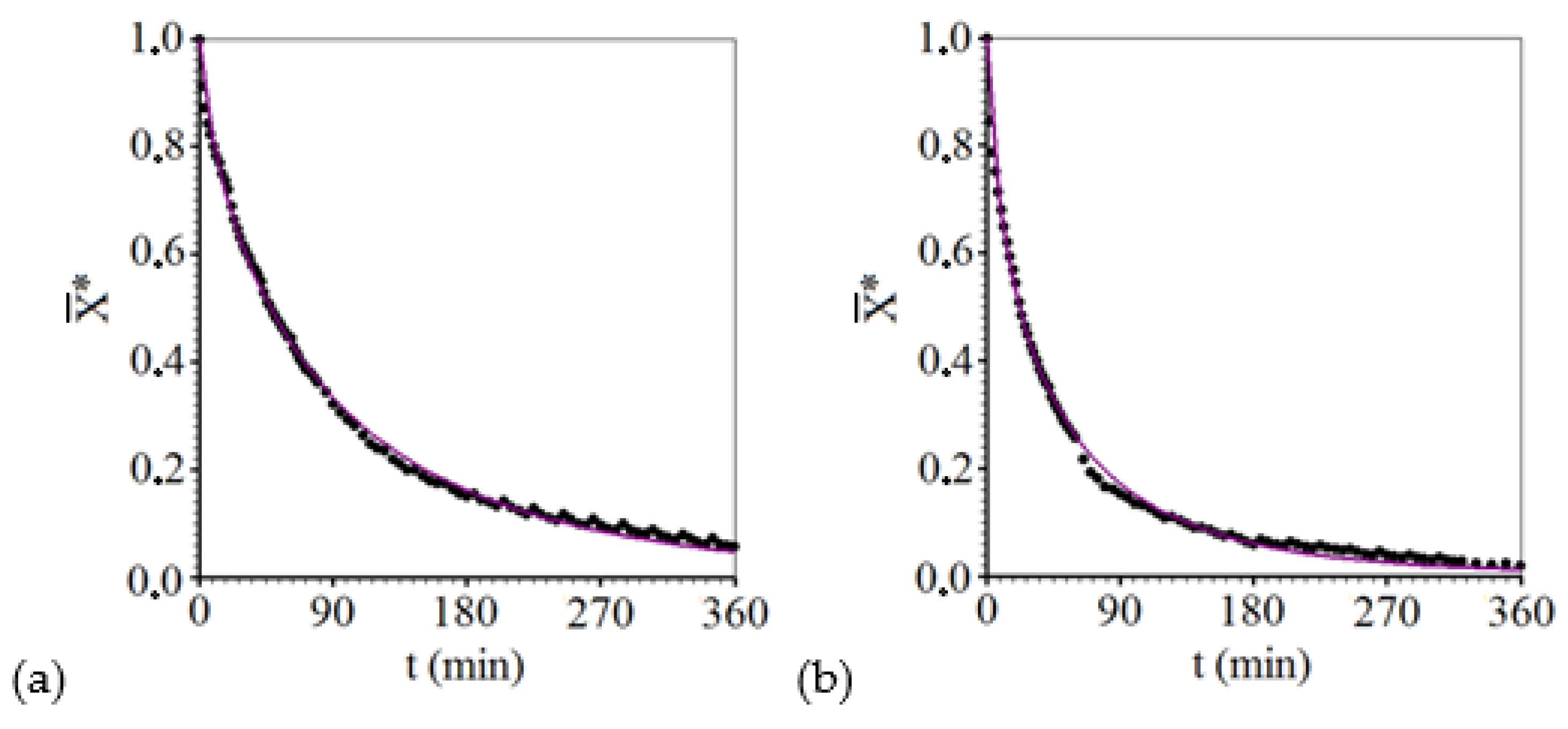
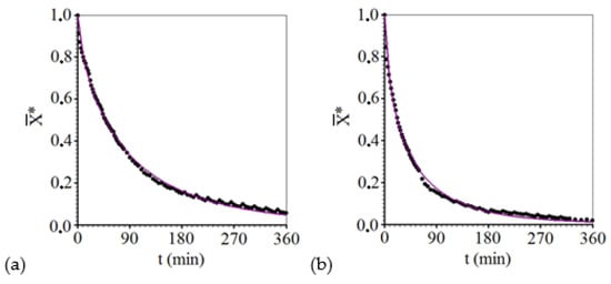
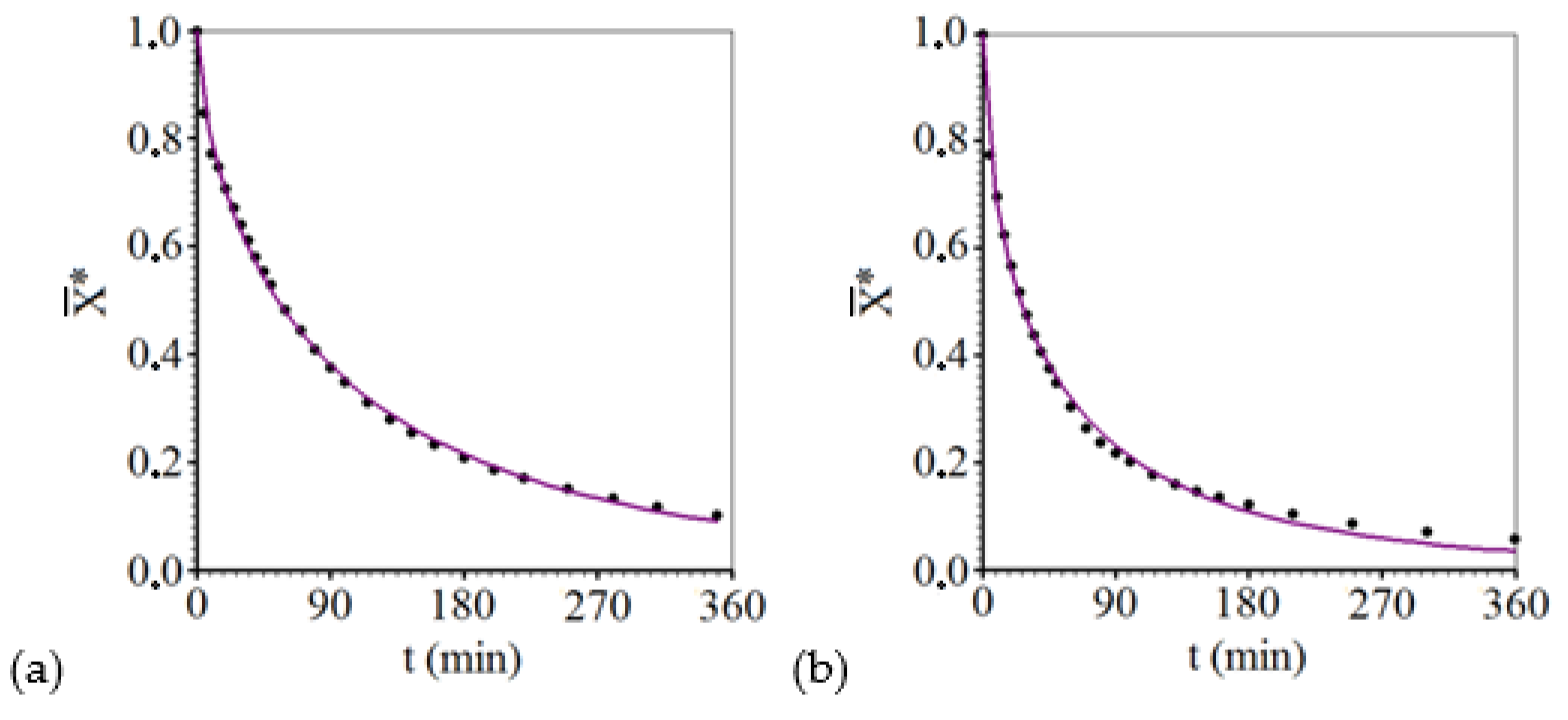
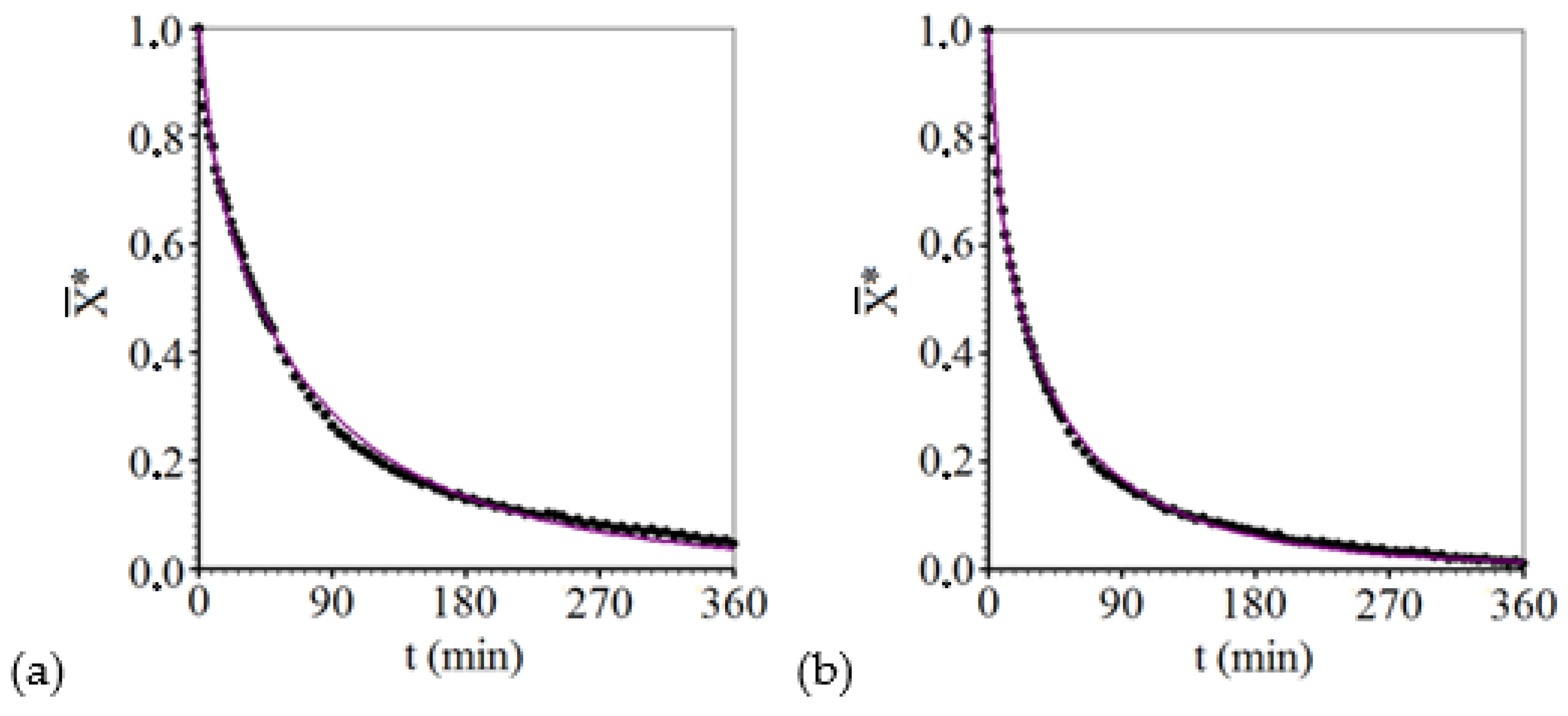
3. Results and Discussion
3.1. Experimental Results
3.2. Results Obtained by Empirical Models
3.3. Results Obtained by the Diffusion Model
4. Conclusions
Author Contributions
Funding
Acknowledgments
Conflicts of Interest
References
- FAO. Food and Agriculture Organization of the United Nations. FAOSTAT. 2018. Available online: http://www.fao.org/faostat/en/#search/rice (accessed on 1 April 2020).
- Cihan, A.; Kahveci, K.; Hacıhafızoglu, O. Modelling of intermittent drying of thin layer rough rice. J. Food Eng. 2007, 79, 293–298. [Google Scholar] [CrossRef]
- Silva, W.P.; Precker, J.W.; Silva, C.M.D.P.S.; Silva, D.D.P.S. Determination of the effective diffusivity via minimization of the objective function by scanning: Application to drying of cowpea. J. Food Eng. 2009, 95, 298–304. [Google Scholar] [CrossRef]
- Silva, W.P.; Precker, J.W.; Silva, C.M.D.P.S.; Gomes, J.P. Determination of effective diffusivity and convective mass transfer coefficient for cylindrical solids via analytical solution and inverse method: Application to the drying of rough rice. J. Food Eng. 2010, 98, 302–308. [Google Scholar] [CrossRef]
- Kumar, C.; Karim, M.A.; Joardder, M.U.H. Intermittent drying of food products: A critical review. J. Food Eng. 2014, 121, 48–57. [Google Scholar] [CrossRef]
- Golmohammadi, M.; Foroughi-dahr, M.; Rajabi-hamaneh, M.I.; Shojamoradi, A.; Hashemi, S. Study on drying kinetics of paddy rice: Intermittent drying. Iran. J. Chem. Chem. Eng.-Int. Engl. Ed. 2016, 35, 105–117. [Google Scholar]
- Silva, W.P.; Galvão, I.B.; Silva, C.M.D.P.S.; Aires, J.E.F.; Figuêiredo, R.M.F. Empirical model for describing continuous and intermittent drying kinetics of apple pieces. Heat Mass Transf. 2020, 56, 1263–1274. [Google Scholar] [CrossRef]
- Jung, H.; Yoon, W.B. The effect of intermittent drying on the cracking ratio of soybeans (Glycine max) at different relative humidity using reaction engineering approach modeling. Food Sci. Nutr. 2018, 6, 1492–1500. [Google Scholar] [CrossRef]
- Elias, M.C.; Oliveira, M. Sistema Nacional de Certificação de Unidades Armazenadoras de Grãos e Fibras: Tecnologia e Legislação; Pelotas: Santa Cruz, Brazil, 2010; p. 477. [Google Scholar]
- Silva, W.P.; Rodrigues, A.F.; Silva, C.M.D.P.S.; Castro, D.S.; Gomes, J.P. Comparison between continuous and intermittent drying of whole bananas using empirical and diffusion models to describe the processes. J. Food Eng. 2015, 166, 230–236. [Google Scholar] [CrossRef]
- Cihan, A.; Ece, M.C. Liquid diffusion model for intermittent drying of rough rice. J. Food Eng. 2001, 49, 327–331. [Google Scholar] [CrossRef]
- Silva, W.P.; Silva, C.M.D.P.S. LAB Fit Curve Fitting Software, V. 7.2.46. 2009. Available online: www.labfit.net (accessed on 1 April 2018).
- Luikov, A.V. Analytical Heat Diffusion Theory; Academic Press, Inc. Ltd.: London, UK, 1968; p. 685. [Google Scholar]
- Crank, J. The Mathematics of Diffusion; Clarendon Press: Oxford, UK, 1992; p. 414. [Google Scholar]
- Silva, W.P.; Silva, C.M.D.P.S. Prescribed Adsorption-Desorption Software. 2009. Available online: http://zeus.df.ufcg.edu.br/labfit/Prescribed.htm (accessed on 1 April 2018).
- Faria, R.Q.; Teixeira, I.R.; Devilla, I.A.; Ascheri, D.P.R.; Resende, O. Cinética de secagem de sementes de crambe. Revista Brasileira de Engenharia Agrícola e Ambiental 2012, 16, 573–583. [Google Scholar] [CrossRef][Green Version]
- Morais, S.J.S.; Devilla, I.A.; Ferreira, D.A.; Teixeira, I.R. Modelagem matemática das curvas de secagem e coeficiente de difusão de grãos de feijão-caupi (Vigna unguiculata (L.) Walp.). Revista Ciência Agronômica 2013, 44, 455–463. [Google Scholar] [CrossRef]
- Santos, D.C.; Oliveira, E.N.A. Cinética de secagem de grãos de arroz-vermelho. Revista Acadêmica: Ciências Agrárias e Ambientais 2013, 11, 535–543. [Google Scholar]
- Benseddik, A.; Azzi, A.; Zidoune, M.N.; Allafa, K. Mathematical empirical models of thin-layer airflow drying kinetics of pumpkin slice. Eng. Agric. Environ. Food 2018, 11, 220–231. [Google Scholar] [CrossRef]
- Chua, K.J.; Mujumdar, A.S.; Chou, S.K. Intermittent drying of bioproducts–an overview. Bioresour. Technol. 2003, 90, 285–295. [Google Scholar] [CrossRef]
- Kowalski, S.J.; Pawłowski, A. Energy consumption and quality aspect by intermittent drying. Chem. Eng. Process. Process Intensif. 2011, 50, 384–390. [Google Scholar] [CrossRef]
- Lima, L.S.L.; Silva, W.P.; Pereira, J.C.A.; Gomes, J.P.; Silva, C.M.D.P.S.; Júnior, A.F.S. Description of continuous and intermittent drying of sapodilla with elimination of tempering period: Saving in drying time. Sylwan 2020, 164, 444–459. [Google Scholar]
- Yang, Z.; Zhu, E.; Zhu, Z.; Wang, J.; Li, S. A comparative study on intermittent heat pump drying process of Chinese cabbage (Brassica campestris L. ssp) seeds. Food Bioprod. Process. 2013, 91, 381–388. [Google Scholar] [CrossRef]
- Diamante, L.M.; Ihns, R.; Savage, G.P.; Vanhanen, L. A new mathematical model for thin layer drying of fruits. Int. J. Food Sci. Technol. 2010, 45, 1956–1962. [Google Scholar] [CrossRef]
- Kaleta, A.; Górnicki, K. Evaluation of drying models of apple (var. McIntosh) dried in a convective dryer. Int. J. Food Sci. Technol. 2010, 45, 891–898. [Google Scholar] [CrossRef]
- Costa, L.M.; Resende, O.; Sousa, K.A.; Gonçalves, D.N. Coeficiente de difusão efetivo e modelagem matemática da secagem de sementes de crambe. Revista Brasileira de Engenharia Agrícola e Ambiental 2011, 15, 1089–1096. [Google Scholar] [CrossRef][Green Version]
- Madamba, P.S.; Driscoll, R.H.; Buckle, K.A. Thin layer drying characteristics of garlic slices. J. Food Eng. 1996, 29, 75–97. [Google Scholar] [CrossRef]






| Experiment | Drying | tin (min) | tout (min) | T (°C) |
|---|---|---|---|---|
| E1 | Continuous | - | - | 50 |
| E2 | Intermittent | 10 | 20 | 50 |
| E3 | Intermittent | 20 | 40 | 50 |
| E4 | Continuous | - | - | 70 |
| E5 | Intermittent | 10 | 20 | 70 |
| E6 | Intermittent | 20 | 40 | 70 |
| Model | Equation | Equation |
|---|---|---|
| Henderson and Pabis | (2) | |
| Lewis | (3) | |
| Page | (4) | |
| Peleg | (5) | |
| Silva et alii | (6) | |
| Wang and Singh | (7) |
| Models | T (°C) | Parameters | R2 | χ2 | |
|---|---|---|---|---|---|
| a | b | ||||
| Henderson and Pabis | 50 | 0.8580 | 0.8584 × 10−2 | 0.976366 | 0.4412 × 10−1 |
| 70 | 0.8351 | 0.1587 × 10−1 | 0.960002 | 0.7726 × 10−1 | |
| Lewis | 50 | 0.1106 × 10−1 | - | 0.988969 | 0.1287 |
| 70 | 0.2100 × 10−1 | - | 0.981073 | 0.1440 | |
| Page | 50 | 0.4736 × 10−1 | 0.6704 | 0.998382 | 0.2720 × 10−2 |
| 70 | 0.9616 × 10−1 | 0.6050 | 0.997275 | 0.4174 × 10−2 | |
| Peleg | 50 | 0.5405 × 102 | 0.9692 | 0.993470 | 0.1352 × 10−1 |
| 70 | 0.2588 × 102 | 0.9947 | 0.996409 | 0.5991 × 10−2 | |
| Silva et alii | 50 | 0.3873 × 10−2 | 0.6339 × 10−1 | 0.998172 | 0.3063 × 10−2 |
| 70 | 0.3911 × 10−2 | 0.1155 | 0.995077 | 0.7497 × 10−2 | |
| Wang and Singh | 50 | −0.7967 × 10−2 | 0.1679 × 10−4 | 0.948383 | 0.2788 |
| 70 | −0.1002 × 10−1 | 0.2260 × 10−4 | 0.847930 | 0.8101 | |
| Models | T (°C) | Parameters | R2 | χ2 | ||
|---|---|---|---|---|---|---|
| a | b | |||||
| Intermittent tin = 10 min | Page | 50 | 0.5338 × 10−1 | 0.7000 | 0.997644 | 0.1383 × 10−1 |
| 70 | 0.1009 | 0.6404 | 0.998749 | 0.5948 × 10−2 | ||
| Peleg | 50 | 0.3997 × 102 | 0.9361 | 0.997334 | 0.1685 × 10−1 | |
| 70 | 0.2114 × 102 | 0.9558 | 0.997417 | 0.1407 × 10−1 | ||
| Silva et alii | 50 | 0.5938 × 10−2 | 0.0722 | 0.995575 | 0.2670 × 10−1 | |
| 70 | 0.6753 × 10−2 | 0.1236 | 0.997059 | 0.1454 × 10−1 | ||
| Intermittent tin = 20 min | Page | 50 | 0.4002 × 10−1 | 0.7358 | 0.997988 | 0.1267 × 10−1 |
| 70 | 0.8696 × 10−1 | 0.6691 | 0.997248 | 0.1393 × 10−1 | ||
| Peleg | 50 | 0.5095 × 102 | 0.9140 | 0.997187 | 0.1934 × 10−1 | |
| 70 | 0.2301 × 102 | 0.9494 | 0.995698 | 0.2158 × 10−1 | ||
| Silva et alii | 50 | 0.5995 × 10−2 | 0.0566 | 0.996481 | 0.2278 × 10−1 | |
| 70 | 0.8142 × 10−2 | 0.1079 | 0.995543 | 0.2396 × 10−1 | ||
| Drying | T (°C) | D (m2 min−1) | R2 | χ2 |
|---|---|---|---|---|
| Continuous | 2.0949 × 10−9 | 0.996184 | 6.5744 × 10−2 | |
| Intermittent (tin = 10 min) | 50 | 2.9817 × 10−9 | 0.991756 | 4.9611 × 10−2 |
| Intermittent (tin = 20 min) | 2.5149 × 10−9 | 0.992354 | 5.9541 × 10−2 | |
| Continuous | 4.0694 × 10−9 | 0.991151 | 2.2129 × 10−2 | |
| Intermittent (tin = 10 min) | 70 | 5.3609 × 10−9 | 0.994840 | 4.4117 × 10−2 |
| Intermittent (tin = 20 min) | 5.1088 × 10−9 | 0.993616 | 4.3745 × 10−2 |
© 2020 by the authors. Licensee MDPI, Basel, Switzerland. This article is an open access article distributed under the terms and conditions of the Creative Commons Attribution (CC BY) license (http://creativecommons.org/licenses/by/4.0/).
Share and Cite
Alves Pereira, J.C.; da Silva, W.P.; Gomes, J.P.; Queiroz, A.J.d.M.; de Figueirêdo, R.M.F.; de Melo, B.A.; Santiago, Â.M.; de Lima, A.G.B.; de Macedo, A.D.B. Continuous and Intermittent Drying of Rough Rice: Effects on Process Effective Time and Effective Mass Diffusivity. Agriculture 2020, 10, 282. https://doi.org/10.3390/agriculture10070282
Alves Pereira JC, da Silva WP, Gomes JP, Queiroz AJdM, de Figueirêdo RMF, de Melo BA, Santiago ÂM, de Lima AGB, de Macedo ADB. Continuous and Intermittent Drying of Rough Rice: Effects on Process Effective Time and Effective Mass Diffusivity. Agriculture. 2020; 10(7):282. https://doi.org/10.3390/agriculture10070282
Chicago/Turabian StyleAlves Pereira, Joan Carlos, Wilton Pereira da Silva, Josivanda Palmeira Gomes, Alexandre José de Melo Queiroz, Rossana Maria Feitosa de Figueirêdo, Bruno Adelino de Melo, Ângela Maria Santiago, Antônio Gilson Barbosa de Lima, and Antonio Daniel Buriti de Macedo. 2020. "Continuous and Intermittent Drying of Rough Rice: Effects on Process Effective Time and Effective Mass Diffusivity" Agriculture 10, no. 7: 282. https://doi.org/10.3390/agriculture10070282
APA StyleAlves Pereira, J. C., da Silva, W. P., Gomes, J. P., Queiroz, A. J. d. M., de Figueirêdo, R. M. F., de Melo, B. A., Santiago, Â. M., de Lima, A. G. B., & de Macedo, A. D. B. (2020). Continuous and Intermittent Drying of Rough Rice: Effects on Process Effective Time and Effective Mass Diffusivity. Agriculture, 10(7), 282. https://doi.org/10.3390/agriculture10070282

