Evolution of Physico-Chemical Properties, Microbial Biomass and Microbial Activity of an Urban Soil after De-Sealing
Abstract
1. Introduction
2. Materials and Methods
2.1. Study Area, Soil Sampling and Preparation
2.2. Analysis of Soil Chemical Properties
2.3. Measurement of Soil Respiration, Soil Microbial Biomass, Substrate Induced Respiration, and Soil Enzyme Activities
2.4. Data Analysis
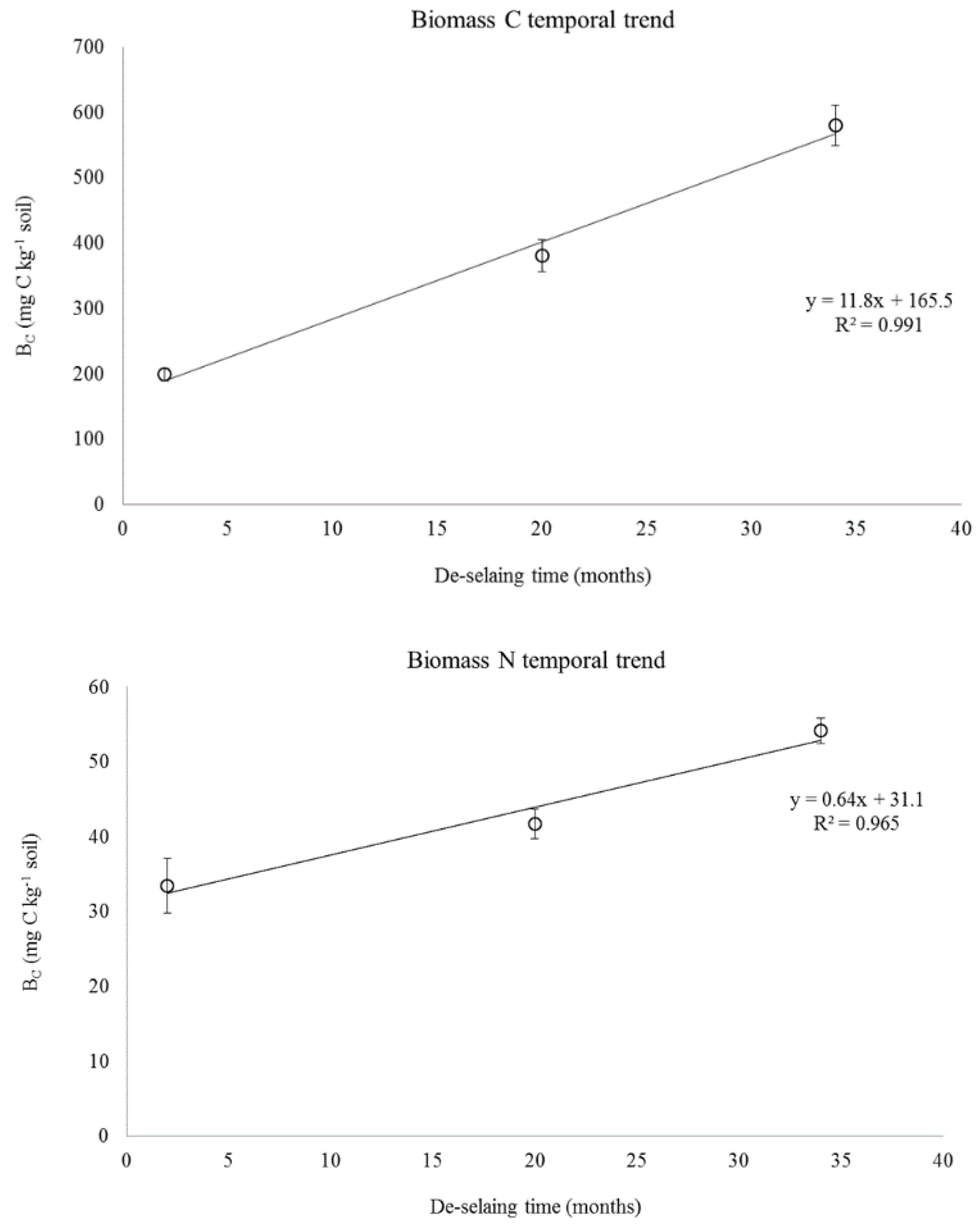
3. Results
3.1. Soil Chemical Properties
3.2. Soil Respiration, Soil Microbial Biomass, SIR, and Soil Enzyme Activities
4. Discussion
5. Conclusions
Funding
Conflicts of Interest
References
- EEA. European Environmental Agency. Signals 2019—Land and Soil in Europe; EEA Report No 2443-7662; Office of the European Union: Luxembourg, 2019; p. 60. ISBN 978-92-9480-095-4. [Google Scholar]
- Burghardt, W. Main characteristics of urban soils. In Soils Within Cities—Global Approaches to Their Sustainable Management—Composition, Properties, and Functions of Soils of the Urban Environment; Levin, M.J., Khj, K., Morel, J.L., Burghardt, W., Charzynski, P., Shaw, R.K., Eds.; Schweizerbart Soil Sciences: Stuttgart, Germany, 2017; pp. 19–26. [Google Scholar]
- Bhaduri, B.; Minner, M.; Tatalovich, S.; Harbor, J. Long-term hydrologic impact of urbanization: A tale of two models. J. Water Res. Plan. Manag. 2001, 127, 13–19. [Google Scholar] [CrossRef]
- Hu, Y.; Dou, X.; Li, J.; Li, F. Impervious Surfaces Alter Soil Bacterial Communities in Urban Areas: A Case Study in Beijing, China. Front. Microbiol. 2018, 9, 226. [Google Scholar] [CrossRef] [PubMed]
- Lu, C.; Kotze, D.J.; Setälä, H.M. Environment Soil sealing causes substantial losses in C and N storage in urban soils under cool climate. Sci. Total Environ. 2020, 725, 138369. [Google Scholar] [CrossRef]
- Fokaides, P.A.; Kylili, A.; Nicolaou, L.; Byron Ioannou, B. The effect of soil sealing on the urban heat island phenomenon. Indoor Built Environ. 2016, 25, 1136–1147. [Google Scholar] [CrossRef]
- Murata, T.; Kawai, N. Degradation of the urban ecosystem function due to soil sealing: Involvement in the heat island phenomenon and hydrologic cycle in the Tokyo metropolitan area. Soil Sci. Plant Nutr. 2018, 64, 145–155. [Google Scholar] [CrossRef]
- Piotrowska-Długosz, A.; Charzyński, P. The impact of the soil sealing degree on microbial biomass, enzymatic activity, and physicochemical properties in the Ekranic Technosols of Toruń (Poland). J. Soils Sediments 2015, 15, 47–59. [Google Scholar] [CrossRef]
- European Commission (EC). Communication from the Commission to the Parliament, the Council, the European Economic and Social Committee and the Committee of the Regions. Roadmap to a Resource Efficient Europe. COM (2011) 571 Final, Brussels, 20.9.2011. 2011. Available online: https://eur-lex.europa.eu/legal-content/EN/TXT/PDF/?uri=CELEX:52011DC0571&from=EN (accessed on 30 October 2020).
- European Environmental Agency (EEA). Soil Resource Efficiency in Urbanised Areas. Analytical Framework and Implications for Governance; EEA Report No 7/2016; Office of the European Union: Luxembourg, 2016; p. 90. ISBN 978-92-9213-730-4. [Google Scholar]
- Christensen, B.T. Carbon in primary and secondary organomineral complexes. In Structure and Organic Matter Storage in Agricultural Soils; Carter, M.R., Stewart, B.A., Eds.; Advances in Soil Science, CRC Lewis Publilshers: Boca Raton, FL, USA, 1996; pp. 97–165. [Google Scholar]
- Stockmann, U.; Padarian, J.; McBratney, A.; Minasny, B.; De Brogniez, D.; Montanarella, L.; Hong, S.Y.; Rawlins, B.G.; Field, D.J. Global soil organic carbon assessment. Glob. Food Secur. 2015, 6, 9–16. [Google Scholar] [CrossRef]
- Malhi, Y.; Meir, P.; Brown, S. Forests, carbon and global climate. Philos. Trans. R. Soc. A Math. Phys. Eng. Sci. 2002, 360, 1567–1591. [Google Scholar] [CrossRef]
- Dlamini, P.; Chivenge, P.; Manson, A.; Chaplot, V. Land degradation impact on soil organic carbon and nitrogen stocks of sub-tropical humid grasslands in South Africa. Geoderma 2014, 235, 372–381. [Google Scholar] [CrossRef]
- Mangalassery, S.; Mooney, S.J.; Sparkes, D.; Fraser, W.; Sjogersten, S. Impacts of zero tillage on soil enzyme activities, microbial characteristics and organic matter functional chemistry in temperate soils. Eur. J. Soil Biol. 2015, 68, 9–17. [Google Scholar] [CrossRef]
- Vinhal-Freitas, I.C.; Corrêa, G.F.; Wendling, B.; Bobuľská, L.; Ferreira, A.S. Soil textural class plays a major role in evaluating the effects of land use on soil quality indicators. Ecol. Indic. 2017, 74, 182–190. [Google Scholar] [CrossRef]
- Saikia, R.; Sharma, S.; Thind, H.; Sidhu, H.; Singh, Y. Temporal changes in biochemical indicators of soil quality in response to tillage, crop residue and green manure management in a rice-wheat system. Ecol. Indic. 2019, 103, 383–394. [Google Scholar] [CrossRef]
- Van Leeuwen, J.; Djukic, I.; Bloem, J.; Lehtinen, T.; Hemerik, L.; De Ruiter, P.; Lair, G. Effects of land use on soil microbial biomass, activity and community structure at different soil depths in the Danube floodplain. Eur. J. Soil Biol. 2017, 79, 14–20. [Google Scholar] [CrossRef]
- Hui, N.; Jumpponen, A.; Francini, G.; Kotze, D.J.; Liu, X.; Romantschuk, M.; Strömmer, R.; Setälä, H. Soil microbial communities are shaped by vegetation type and park age in cities under cold climate. Environ. Microbiol. 2017, 19, 1281–1295. [Google Scholar] [CrossRef]
- Francini, G.; Hui, N.; Jumpponen, A.; Kotze, D.; Romantschuk, M.; Allen, J.; Setälä, H. Soil biota in boreal urban greenspace: Responses to plant type and age. Soil Biol. Biochem. 2018, 118, 145–155. [Google Scholar] [CrossRef]
- Costantini, E.A.C.; L’Abate, G.; Barbetti, R.; Fantappié, M.; Lorenzetti, R.; Magini, S. Carta dei suoli d’Italia; Consiglio per Ricerca e la Sperimentazione in Agricoltura (CREA), Ministero delle Politiche Agricole Alimentari e Forestali: Rome, Italy, 2012. Available online: https://esdac.jrc.ec.europa.eu/content/carta-dei-suoli-ditalia-soil-map-italy (accessed on 30 October 2020).
- Gee, G.W.; Bauder, J.W. Particle-size analysis. In Methods of Soil Analysis, 2nd ed.; Klute, A., Ed.; Agronomical Monographs; American Society of Agronomy and Soil Science Society of America: Madison, WI, USA, 1986; Volume 9, pp. 383–411. [Google Scholar]
- Summer, M.E.; Miller, W.P. Cation exchange capacity and exchange coefficients. In Methods of Soil Analysis, Part 3 Chemical Methods; Sparks, D.L., Page, A.L., Helmke, P.A., Loeppert, R.H., Soltanpour, P.N., Tabatabai, M.A., Johnston, C.T., Sumner, M.E., Eds.; Soil Science Society of America: Madison, WI, USA, 1996; pp. 1201–1229. [Google Scholar]
- Walkley, A.; Black, I.A. An Examination of the Degtjareff Method for Determining Soil Organic Matter, and a Proposed Modification of The Chromic Acid Titration Method. Soil Sci. 1934, 37, 29–38. [Google Scholar] [CrossRef]
- Piccolo, A.; Zena, A.; Conte, P. A comparison of acid hydrolyses for the determination of carbohydrate content in soils. Commun. Soil Sci. Plant. Anal. 1996, 27, 2909–2915. [Google Scholar] [CrossRef]
- Dubois, M.; Gilles, K.A.; Hamilton, J.K.; Rebers, P.A.; Smith, F. Colorimetric Method for Determination of Sugars and Related Substances. Anal. Chem. 1956, 28, 350–356. [Google Scholar] [CrossRef]
- Anderson, J.; Domsch, K. A physiological method for the quantitative measurement of microbial biomass in soils. Soil Biol. Biochem. 1978, 10, 215–221. [Google Scholar] [CrossRef]
- Vance, E.; Brookes, P.; Jenkinson, D. An extraction method for measuring soil microbial biomass C. Soil Biol. Biochem. 1987, 19, 703–707. [Google Scholar] [CrossRef]
- Brookes, P.C.; Landman, A.; Pruden, G.; Jenkinson, D.S. Chloroform fumigation and the release of soil nitrogen: A rapid direct extraction method for measuring microbial biomass nitrogen in soil. Soil Biol. Biochem. 1985, 17, 837–842. [Google Scholar] [CrossRef]
- Anderson, T.-H.; Domsch, K. The metabolic quotient for CO2 (qCO2) as a specific activity parameter to assess the effects of environmental conditions, such as ph, on the microbial biomass of forest soils. Soil Biol. Biochem. 1993, 25, 393–395. [Google Scholar] [CrossRef]
- Tabatabai, M.A.; Bremner, J.M. Use of p-nitrophenil phosphate for assay of soil phosphatase activity. Soil Biol. Biochem. 1969, 1, 301–307. [Google Scholar] [CrossRef]
- Browman, M.G.; Tabatabai, M.A. Phosphodiesterase activity of soils. Soil. Sci. Soc. Am. J. 1978, 42, 284–290. [Google Scholar] [CrossRef]
- Tabatabai, M. Soil enzymes. In Methods of Soil Analysis: Part 2 Chemical and Microbiological Properties; Page, A.L., Miller, E.M., Keeney, D.R., Eds.; American Society of Agronomy-Soil Science Society of America: Madison, WI, USA, 1982; pp. 903–947. [Google Scholar]
- Nannipieri, P.; Johnson, R.L.; Paul, E.A. Criteria for measuring microbial growth and activity in soil. Soil Biol. Biochem. 1978, 10, 223–229. [Google Scholar] [CrossRef]
- Ladd, J.; Butler, J. Short-term assays of soil proteolytic enzyme activities using proteins and dipeptide derivatives as substrates. Soil Biol. Biochem. 1972, 4, 19–30. [Google Scholar] [CrossRef]
- Rabot, E.; Wiesmeier, M.; Schlüter, S.; Vogel, H.J. Soil structure as an indicator of soil functions: A review. Geoderma 2018, 314, 122–137. [Google Scholar] [CrossRef]
- Neumann, G.; Römheld, V. Rhizosphere Chemistry in Relation to Plant Nutrition. In Marschner’s Mineral Nutrition of Higher Plants; Elsevier BV: Amsterdam, The Netherlands, 2012; pp. 347–368. [Google Scholar]
- Bongiovanni, M.D.; Lobartini, J. Particulate organic matter, carbohydrate, humic acid contents in soil macro- and microaggregates as affected by cultivation. Geoderma 2006, 136, 660–665. [Google Scholar] [CrossRef]
- Jussy, J.-H.; Colin-Belgrand, M.; Ranger, J. Production and root uptake of mineral nitrogen in a chronosequence of Douglas-fir (Pseudotsuga menziessii) in the Beaujolais Mounts. Forest Ecol. Manag. 2000, 128, 197–209. [Google Scholar] [CrossRef]
- Marques, R.; Ranger, J.; Villette, S.; Granier, A. Nutrient dynamics in a chronosequence of Douglas-fir (Pseudotsuga menziesii (Mirb). Franco) stands on the Beaujolais Mounts (France). 2. Quantitative approach. For. Ecol. Manag. 1997, 92, 167–197. [Google Scholar] [CrossRef]
- Raiesi, F.; Asadi, E. Soil microbial activity and litter turnover in native grazed and ungrazed rangelands in a semiarid ecosystem. Biol. Fertil. Soils 2006, 43, 76–82. [Google Scholar] [CrossRef]
- Frank, A.; Liebig, M.; Tanaka, D. Management effects on soil CO2 efflux in northern semiarid grassland and cropland. Soil Tillage Res. 2006, 89, 78–85. [Google Scholar] [CrossRef]
- Anderson, T.-H.; Domsch, K. Ratios of microbial biomass carbon to total organic carbon in arable soils. Soil Biol. Biochem. 1989, 21, 471–479. [Google Scholar] [CrossRef]
- Sparling, G. Ratio of microbial biomass carbon to soil organic carbon as a sensitive indicator of changes in soil organic matter. Soil Res. 1992, 30, 195–207. [Google Scholar] [CrossRef]
- Beyer, L. Soil microbial biomass and organic matter composition in soils under cultivation. Biol. Fertil. Soils 1995, 19, 197–202. [Google Scholar] [CrossRef]
- Lorenz, K.; Kandeler, E. Microbial biomass and activities in urban soils in two consecutive years. J. Plant Nutr. Soil. Sci. 2006, 169, 799–808. [Google Scholar] [CrossRef]
- Kissling, M.; Hegetschweiler, K.T.; Rusterholz, H.-P.; Baur, B. Short-term and long-term effects of human trampling on above-ground vegetation, soil density, soil organic matter and soil microbial processes in suburban beech forests. Appl. Soil Ecol. 2009, 42, 303–314. [Google Scholar] [CrossRef]
- Brookes, P.C. The use of microbial parameters in monitoring soil pollution by heavy metals. Biol. Fertil. Soils 1995, 19, 269–279. [Google Scholar] [CrossRef]
- Kuzyakov, Y.; Domanski, G. Carbon input by plants into the soil. Rev. J. Plant Nutr. Soil Sci. 2000, 163, 421–431. [Google Scholar] [CrossRef]
- Lynch, J.M.; Whipps, J.M. Substrate flow in the rhizosphere. Plant Soil 1990, 129, 1–10. [Google Scholar] [CrossRef]
- Pirt, S.J. Principles of Microbe and Cell Cultivation; Blackwell Scientific Publication: Oxford, UK, 1975; p. 274. [Google Scholar]
- Liang, C.; Schimel, J.P.; Jastrow, J.D. The importance of anabolism in microbial control over soil carbon storage. Nat. Microbiol. 2017, 2, 17105. [Google Scholar] [CrossRef]
- Coskun, D.; Britto, D.T.; Shi, W.; Kronzucker, H.J. Nitrogen transformations in modern agriculture and the role of biological nitrification inhibition. Nat. Plants 2017, 3, 17074. [Google Scholar] [CrossRef]
- Eivazi, F.; Tabatabai, M. Glucosidases and galactosidases in soils. Soil Biol. Biochem. 1988, 20, 601–606. [Google Scholar] [CrossRef]
- Delelegn, Y.T.; Purahong, W.; Blazevic, A.; Yitaferu, B.; Wubet, T.; Göransson, H.; Godbold, D.L. Changes in land use alter soil quality and aggregate stability in the highlands of northern Ethiopia. Sci. Rep. 2017, 7, 1–12. [Google Scholar] [CrossRef]
- Knight, T.R.; Dick, R.P. Differentiating microbial and stabilized β-glucosidase activity relative to soil quality. Soil Biol. Biochem. 2004, 36, 2089–2096. [Google Scholar] [CrossRef]
- Bandick, A.K.; Dick, R.P. Field management effects on soil enzyme activities. Soil Biol. Biochem. 1999, 31, 1471–1479. [Google Scholar] [CrossRef]



| Soil | BD (g cm−3) | pH | EC (μS cm−1) | CEC (cmol kg−1) | TOC (g kg−1) | TEC (g kg−1) | TN (g kg−1) | NH4+-N (g kg−1) | NO3−-N (g kg−1) |
|---|---|---|---|---|---|---|---|---|---|
| AS | 1.05 ± 0.04 c | 6.85 ± 0.03 d | 230 ± 11.9 a | 22.9 ± 0.92 a | 12.2 ± 0.31 c | 703 ± 28.1 b | 1.01 ± 0.06 c | 4.73 ± 0.29 c | 29.7 ± 3.90 b |
| DS2 | 1.25 ± 0.05 a | 7.20 ± 0.03 a | 164 ± 5.63 c | 18.6 ± 0.95 b | 17.2 ± 0.24 b | 302 ± 13.2 c | 1.22 ± 0.06 b | 6.57 ± 0.31 a | 22.3 ± 1.04 d |
| DS20 | 1.16 ± 0.02 b | 7.12 ± 0.02 b | 192 ± 10.1 b | 19.0 ± 0.68 b | 17.1 ± 0.29 b | 745 ± 50.6 b | 1.30 ± 0.04 a | 5.84 ± 0.24 b | 33.0 ± 1.30 b |
| DS34 | 1.09 ± 0.05 c | 7.05 ± 0.03 c | 194 ± 7.44 b | 19.0 ± 0.80 b | 17.6 ± 0.41 b | 1010 ± 52.3 a | 1.29 ± 0.03 a | 5.71 ± 0.40 b | 40.0 ± 3.33 a |
| Soil | SBR (mg CO2-C kg−1) | SIR (mg CO2-C kg−1) | BC (mg C kg−1) | BN (mg N kg−1) | qCO2 (mg CO2-C mg BC−1) | BC/TOC (%) |
|---|---|---|---|---|---|---|
| AS | 48.4 ± 4.21 c | 722 ± 34.6 c | 341 ± 31.8 b | 30.3 ± 3.64 c | 0.036 ± 0.02 c | 2.69 ± 0.21 c |
| DS2 | 7.79 ± 0.21 d | 429 ± 54.5 d | 199 ± 10.0 c | 13.4 ± 1.97 d | 0.010 ± 0.01 d | 5.60 ± 0.14 a |
| DS20 | 78.8 ± 8.12 b | 809 ± 35.5 b | 380 ± 24.5 b | 41.7 ± 1.72 b | 0.052 ± 0.01 b | 4.57 ± 0.22 b |
| DS34 | 174 ± 6.25 a | 1112 ± 59.9 a | 580 ± 30.4 a | 49.7 ± 2.35 a | 0.075 ± 0.04 a | 4.26 ± 0.26 b |
Publisher’s Note: MDPI stays neutral with regard to jurisdictional claims in published maps and institutional affiliations. |
© 2020 by the author. Licensee MDPI, Basel, Switzerland. This article is an open access article distributed under the terms and conditions of the Creative Commons Attribution (CC BY) license (http://creativecommons.org/licenses/by/4.0/).
Share and Cite
Renella, G. Evolution of Physico-Chemical Properties, Microbial Biomass and Microbial Activity of an Urban Soil after De-Sealing. Agriculture 2020, 10, 596. https://doi.org/10.3390/agriculture10120596
Renella G. Evolution of Physico-Chemical Properties, Microbial Biomass and Microbial Activity of an Urban Soil after De-Sealing. Agriculture. 2020; 10(12):596. https://doi.org/10.3390/agriculture10120596
Chicago/Turabian StyleRenella, Giancarlo. 2020. "Evolution of Physico-Chemical Properties, Microbial Biomass and Microbial Activity of an Urban Soil after De-Sealing" Agriculture 10, no. 12: 596. https://doi.org/10.3390/agriculture10120596
APA StyleRenella, G. (2020). Evolution of Physico-Chemical Properties, Microbial Biomass and Microbial Activity of an Urban Soil after De-Sealing. Agriculture, 10(12), 596. https://doi.org/10.3390/agriculture10120596
