Influence of Different LED Light Colour Temperatures on the Preference Behaviour of Weaned Piglets
Abstract
:1. Introduction
2. Materials and Methods
2.1. Animals
2.2. Experimental Design
2.3. Measurements
2.4. Statistical Analyses
3. Results
3.1. LED Light Colour Temperature Preference
3.2. ”Lying” Behaviour
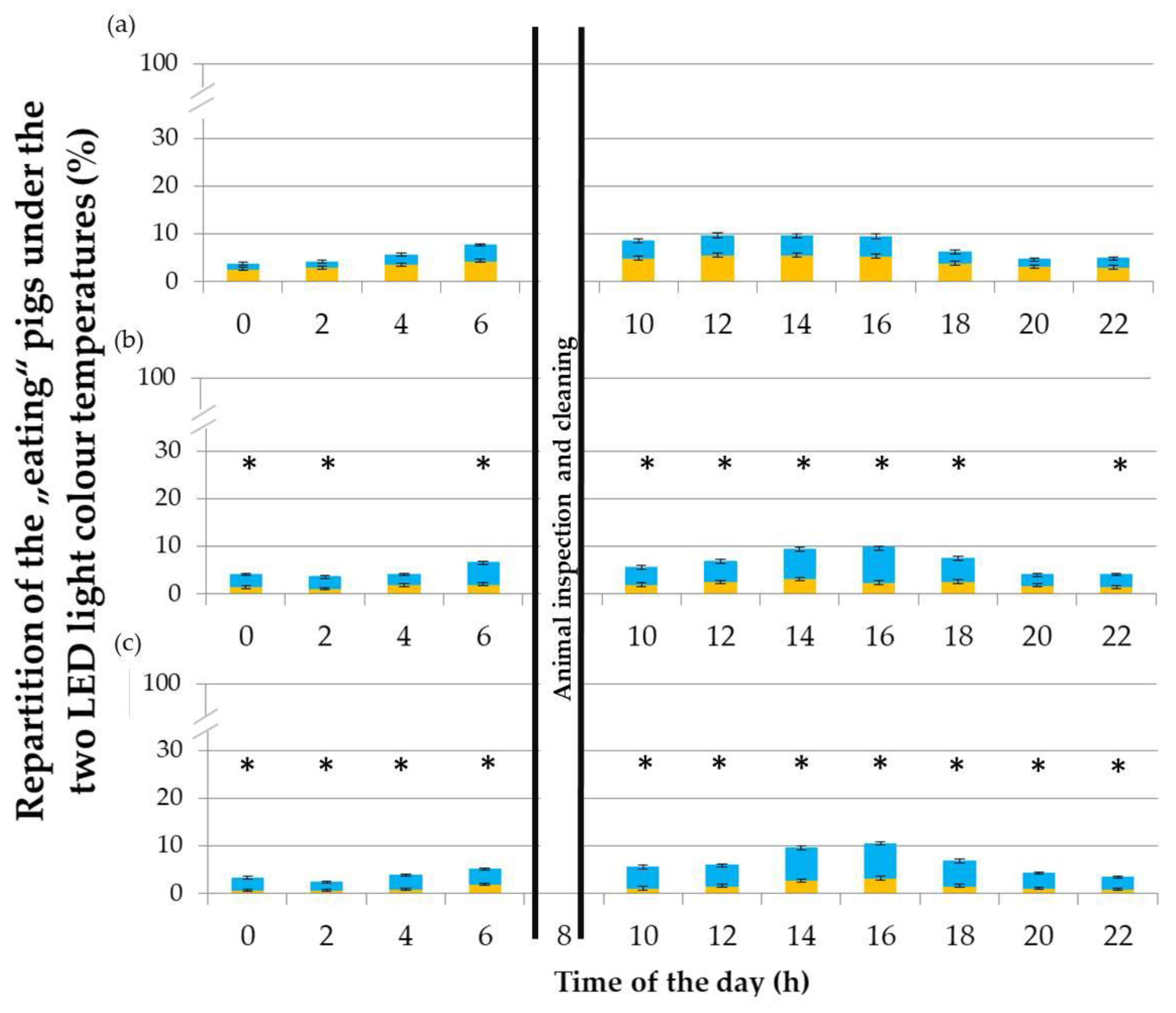
3.3. ”Eating” Behaviour
3.4. “Active” Behaviour
3.5. Pen Compartment Cleanliness
3.6. Feed Consumption
4. Discussion
5. Conclusions
Author Contributions
Funding
Acknowledgments
Conflicts of Interest
References
- Hirt, A.; Maisack, C.; Moritz, J. Tierschutzgesetz: Mit TierSchHundeV, TierSchNutztV, TierSchVersV, TierSchTrV, EU-Tiertransport-VO, TierSchlV, EU-Tierschlacht-VO, 4th ed.; Vahlen, Franz: München, Germany, 2020. [Google Scholar]
- European Union Council Directive. Council Directive 2008/120/EC of 18 December 2008 Laying Down Minimum Standards for the Protection of Pigs. Off. J. Eur. Union 2008, 316, 36–38. [Google Scholar]
- NAWAC. Animal Welfare (Pigs) Code of Welfare 2010; Ministry of Agriculture and Forestry: Wellington, New Zealand, 2010.
- The State of Victoria. Victorian Standards and Guidelines for the Welfare of Pigs; Department of Primary Industries, Biosecurity Victoria: Melbourne, VIC, Australia, 2012.
- National Pork Board -Swine Care Handbook. Available online: https://egashops.directedje.com/PorkStoreProducer/product-details.asp?ID=89&CID=&P=1 (accessed on 5 November 2020).
- von Borell, E. Wieviel Licht braucht das Schwein? In Proceedings of the 21st International DVG Symposium on Animal Welfare, München, Germany, 25–27 February 2016; DVG: Gießen, Germany, 2016. [Google Scholar]
- Archer, G.S. Color temperature of light-emitting diode lighting matters for optimum growth and welfare of broiler chickens. Animal 2018, 12, 1015–1021. [Google Scholar] [CrossRef] [PubMed]
- Riber, A.B. Effects of color of light on preferences, performance, and welfare in broilers. Poult. Sci. 2015, 94, 1767–1775. [Google Scholar] [CrossRef] [PubMed]
- Tanida, H.; Senda, K.; Suzuki, S.; Tanaka, T.; Yoshimoto, T. Color discrimination in weanling pigs. Nihon Chikusan Gakkaiho 1991, 62, 1029–1034. [Google Scholar] [CrossRef]
- Loeffler, K.; Gäbel, G. Anatomie und Physiologie der Haustiere, 13th ed.; UTB GmbH.; Ulmer: Stuttgart, Germany, 2013. [Google Scholar]
- Frings, S.; Müller, F. Biologie der Sinne. Vom Molekül zur Wahrnehmung; Springer Spektrum: Berlin/Heidelberg, Germany, 2014. [Google Scholar]
- Neitz, J.; Jacobs, G.H. Spectral sensitivity of cones in an ungulate. Vis. Neurosci. 1989, 2, 97–100. [Google Scholar] [CrossRef] [PubMed]
- Paronis, E.; Kapogiannatou, A.; Paschidis, K.; Stasinopoulou, M.; Alexakos, P.; Skaliora, I.; Kostomitsopoulos, N.G. Lighting environment: What colour of light do male C57BL/6J prefer? Appl. Anim. Behav. Sci. 2018, 209, 99–103. [Google Scholar] [CrossRef]
- Kapogiannatou, A.; Paronis, E.; Paschidis, K.; Polissidis, A.; Kostomitsopoulos, N.G. Effect of light colour temperature and intensity on the behaviour of male C57CL/6J mice. Appl. Anim. Behav. Sci. 2016, 184, 135–140. [Google Scholar] [CrossRef]
- Van Oosterhout, F.; Biewenga, G.; Winkel, A.; Ouweltjes, W.; Meijer, J.H.; Van Oosterhout, F.; Biewenga, G.; Winkel, A.; Ouweltjes, W.; Meijer, J.H. The effect of light colour and photoperiod on milk production and behaviour of dairy cows. Wagening. UR Livest. Res. 2012, 652, 1–31. [Google Scholar]
- Federal Institute for Occupational Safety and Health. Technische Regeln für Arbeitsstätten (ASR)–Beleuchtung; BAuA: Dortmund, Germany, 2011.
- Birkenfeld, C.; Schopfer, U.; Jais, C.; Peschke, W. Buchtensauberkeit in Ställen Mit Teilspaltenboden Für Mastschweine; Bavarian State Office for Agriculture: Freising, Germany, 2007. [Google Scholar]
- Sambraus, H.H. Nutztierkunde; Ulmer: Stuttgart, Germany, 1991. [Google Scholar]
- Marx, D. Beurteilungskriterien für artgerechte Tierhaltung am Beispiel der Schweineaufzucht. Bau. Für Die Landwirtsch 1991, 28, 6–10. [Google Scholar]
- Hoy, S. Zu den Anforderungen von Mastschweinen an die Buchtenfläche. Tierärztliche Umsch. 2004, 59, 576–582. [Google Scholar]
- Mollet, P.; Wechsler, B. Auslösende Reize für das Koten und Harnen bei Schweinen. KTBL Schr. 1991, 344, 150–161. [Google Scholar]
- Bogner, H.; Andreae, U. Verhalten Landwirtschaftlicher Nutztiere; Ulmer: Stuttgart, Germany, 1984. [Google Scholar]
- Nannoni, E.; Aarnink, A.J.A.; Vermeer, H.M.; Reimert, I.; Fels, M.; Bracke, M.B.M. Soiling of pig pens: A review of eliminative behaviour. Animals 2020, 10, 2025. [Google Scholar] [CrossRef]
- Štuhec, I.; Siard, N.; Meznaris, D. Verhaltensanomalien bei individuell gehaltenen Mastschweinen. KTBL Schr. 1992, 351, 77–86. [Google Scholar]
- Schiwitz, I. Ethologischer Vergleich Verschiedener Haltungssysteme bei Mastschweinen. Doctoral Dissertation, University of Natural Resources and Applied Life Sciences, Vienna, Austria, 1990. [Google Scholar]
- Gerencsér, Z.; Matics, Z.; Nagy, I.; Szendrő, E. Light colour preference of growing rabbits. Ital. J. Anim. Sci. 2009, 8, 205–207. [Google Scholar] [CrossRef]
- Zaludik, K. Bewertung Praxisüblicher Mastschweinehaltungen in Nordrhein-Westfalen Hinsichtlich der Tiergerechtheit. Ph.D. Thesis, Hohenheim University, Stuttgart, Germany, 2002. [Google Scholar]









| Colour Temperature | Observed Behaviours (%) | |||
|---|---|---|---|---|
| “Lying” | “Eating” | “Active” | Total | |
| 3000 K | 53.50 | 2.71 | 4.22 | 60.43 |
| 6500 K | 32.20 | 3.45 | 3.92 | 39.57 |
| Total | 85.70 | 6.16 | 8.14 | |
| Colour Temperature | Pigs Observed (%) | ||||||||
|---|---|---|---|---|---|---|---|---|---|
| Week 1 | Week 3 | Week 5 | |||||||
| Day 1 | Day 2 | Day 3 | Day 1 | Day 2 | Day 3 | Day 1 | Day 2 | Day 3 | |
| 3000 Kelvin | 72.5 | 76.7 | 67.3 | 52.8 | 56.4 | 56.1 | 49 | 50.4 | 53.8 |
| 6500 Kelvin | 27.5 | 23.3 | 32.7 | 47.2 | 43.6 | 43.9 | 51 | 49.6 | 46.2 |
Publisher’s Note: MDPI stays neutral with regard to jurisdictional claims in published maps and institutional affiliations. |
© 2020 by the authors. Licensee MDPI, Basel, Switzerland. This article is an open access article distributed under the terms and conditions of the Creative Commons Attribution (CC BY) license (http://creativecommons.org/licenses/by/4.0/).
Share and Cite
Götz, S.; Raoult, C.M.C.; Reiter, K.; Wensch-Dorendorf, M.; Werner, D.; von Borell, E. Influence of Different LED Light Colour Temperatures on the Preference Behaviour of Weaned Piglets. Agriculture 2020, 10, 594. https://doi.org/10.3390/agriculture10120594
Götz S, Raoult CMC, Reiter K, Wensch-Dorendorf M, Werner D, von Borell E. Influence of Different LED Light Colour Temperatures on the Preference Behaviour of Weaned Piglets. Agriculture. 2020; 10(12):594. https://doi.org/10.3390/agriculture10120594
Chicago/Turabian StyleGötz, Sven, Camille M. C. Raoult, Klaus Reiter, Monika Wensch-Dorendorf, Daniel Werner, and Eberhard von Borell. 2020. "Influence of Different LED Light Colour Temperatures on the Preference Behaviour of Weaned Piglets" Agriculture 10, no. 12: 594. https://doi.org/10.3390/agriculture10120594
APA StyleGötz, S., Raoult, C. M. C., Reiter, K., Wensch-Dorendorf, M., Werner, D., & von Borell, E. (2020). Influence of Different LED Light Colour Temperatures on the Preference Behaviour of Weaned Piglets. Agriculture, 10(12), 594. https://doi.org/10.3390/agriculture10120594

