Respective Effects of Oral Hygiene Instructions and Periodontal Nonsurgical Treatment (Debridement) on Clinical Parameters and Patient-Reported Outcome Measures with Respect to Smoking
Abstract
1. Introduction
2. Material and Methods
2.1. Study Design
2.2. Study Population
2.3. Clinical Procedure
2.3.1. Oral Hygiene Instructions
2.3.2. Professional Mechanical Plaque Removal
2.3.3. Smoking Status
2.3.4. Periodontal Evaluation
2.4. Data Collection
2.4.1. Periodontal Clinical Measurements
2.4.2. Patient-Reported Outcome Measures (PROMs)
2.5. Statistical Analyses
3. Results
3.1. Patient Characteristics
3.2. Effects on Periodontal Clinical Parameters
3.3. Effects on PROMs
4. Discussion
5. Conclusions
Author Contributions
Funding
Acknowledgments
Conflicts of Interest
References
- Chapple, I.L.; Wilson, N.H. Manifesto for a paradigm shift: Periodontal health for a better life. Br. Dent. J. 2014, 216, 159–162. [Google Scholar] [CrossRef] [PubMed]
- Tonetti, M.S.; Chapple, I.L.; Jepsen, S.; Sanz, M. Primary and secondary prevention of periodontal and peri-implant diseases: Introduction to, and objectives of the 11th European Workshop on Periodontology consensus conference. J. Clin. Periodontol. 2015, 42 (Suppl. S16), S1–S4. [Google Scholar] [CrossRef] [PubMed]
- Chapple, I.L.; Van der Weijden, F.; Doerfer, C.; Herrera, D.; Shapira, L.; Polak, D.; Madianos, P.; Louropoulou, A.; Machtei, E.; Donos, N.; et al. Primary prevention of periodontitis: Managing gingivitis. J. Clin. Periodontol. 2015, 42 (Suppl. S16), S71–S76. [Google Scholar] [CrossRef] [PubMed]
- Kumar, P.S. Oral microbiota and systemic disease. Anaerobe 2013, 24, 90–93. [Google Scholar] [CrossRef]
- Tonetti, M.S.; Van Dyke, T.E. Periodontitis and atherosclerotic cardiovascular disease: Consensus report of the Joint EFP/AAP Workshop on Periodontitis and Systemic Diseases. J. Clin. Periodontol. 2013, 40 (Suppl. S14), S24–S29. [Google Scholar] [CrossRef]
- Van Dyke, T.E.; Van Winkelhoff, A.J. Infection and inflammatory mechanisms. J. Periodontol. 2013, 84, S1–S7. [Google Scholar] [CrossRef]
- Amano, A. Host-parasite interactions in periodontitis: Microbial pathogenicity and innate immunity. Periodontology 2000, 54, 9–14. [Google Scholar] [CrossRef]
- Paster, B.J.; Boches, S.K.; Galvin, J.L.; Ericson, R.E.; Lau, C.N.; Levanos, V.A.; Sahasrabudhe, A.; Dewhirst, F.E. Bacterial diversity in human subgingival plaque. J. Bacteriol. 2001, 183, 3770–3783. [Google Scholar] [CrossRef]
- Page, R.C. The etiology and pathogenesis of periodontitis. Compend. Contin. Educ. Dent. 2002, 23, 11–14. [Google Scholar]
- Jin, L. The global call for oral health and general health. Int. Dent. J. 2013, 63, 281–282. [Google Scholar] [CrossRef]
- Oral Health; Fact sheet; WHO, 2012; Available online: https://www.who.int/news-room/fact-sheets/detail/oral-health (accessed on 3 July 2020).
- Leite, F.R.M.; Nascimento, G.G.; Scheutz, F.; Lopez, R. Effect of Smoking on Periodontitis: A Systematic Review and Meta-regression. Am. J. Prev. Med. 2018, 54, 831–841. [Google Scholar] [CrossRef] [PubMed]
- Labriola, A.; Needleman, I.; Moles, D.R. Systematic review of the effect of smoking on nonsurgical periodontal therapy. Periodontology 2000 2005, 37, 124–137. [Google Scholar] [CrossRef] [PubMed]
- Bunaes, D.F.; Lie, S.A.; Enersen, M.; Aastrom, A.N.; Mustafa, K.; Leknes, K.N. Site-specific treatment outcome in smokers following non-surgical and surgical periodontal therapy. J. Clin. Periodontol. 2015, 42, 933–942. [Google Scholar] [CrossRef] [PubMed]
- Ah, M.K.; Johnson, G.K.; Kaldahl, W.B.; Patil, K.D.; Kalkwarf, K.L. The effect of smoking on the response to periodontal therapy. J. Clin. Periodontol. 1994, 21, 91–97. [Google Scholar]
- Calsina, G.; Ramon, J.M.; Echeverria, J.J. Effects of smoking on periodontal tissues. J. Clin. Periodontol. 2002, 29, 771–776. [Google Scholar] [CrossRef]
- Darby, I.B.; Hodge, P.J.; Riggio, M.P.; Kinane, D.F. Clinical and microbiological effect of scaling and root planing in smoker and non-smoker chronic and aggressive periodontitis patients. J. Clin. Periodontol. 2005, 32, 200–206. [Google Scholar] [CrossRef]
- Meulman, T.; Giorgetti, A.P.; Gimenes, J.; Casarin, R.C.; Peruzzo, D.C.; Nociti, F.H., Jr. One stage, full-mouth, ultrasonic debridement in the treatment of severe chronic periodontitis in smokers: A preliminary, blind and randomized clinical trial. J. Int. Acad. Periodontol. 2013, 15, 83–90. [Google Scholar]
- Renvert, S.; Dahlen, G.; Wikstrom, M. The clinical and microbiological effects of non-surgical periodontal therapy in smokers and non-smokers. J. Clin. Periodontol. 1998, 25, 153–157. [Google Scholar] [CrossRef]
- Van der Weijden, G.A.; De Slegte, C.; Timmerman, M.F.; Van der Velden, U. Periodontitis in smokers and non-smokers: Intra-oral distribution of pockets. J. Clin. Periodontol. 2001, 28, 955–960. [Google Scholar] [CrossRef]
- Wan, C.P.; Leung, W.K.; Wong, M.C.; Wong, R.M.; Wan, P.; Lo, E.C.; Corbet, E.F. Effects of smoking on healing response to non-surgical periodontal therapy: A multilevel modelling analysis. J. Clin. Periodontol. 2009, 36, 229–239. [Google Scholar] [CrossRef]
- Jepsen, S.; Blanco, J.; Buchalla, W.; Carvalho, J.C.; Dietrich, T.; Dorfer, C.; Eaton, K.A.; Figuero, E.; Frencken, J.E.; Graziani, F.; et al. Prevention and control of dental caries and periodontal diseases at individual and population level: Consensus report of group 3 of joint EFP/ORCA workshop on the boundaries between caries and periodontal diseases. J. Clin. Periodontol. 2017, 44 (Suppl. S18), S85–S93. [Google Scholar] [CrossRef] [PubMed]
- Chapple, I.L.C.; Mealey, B.L.; Van Dyke, T.E.; Bartold, P.M.; Dommisch, H.; Eickholz, P.; Geisinger, M.L.; Genco, R.J.; Glogauer, M.; Goldstein, M.; et al. Periodontal health and gingival diseases and conditions on an intact and a reduced periodontium: Consensus report of workgroup 1 of the 2017 World Workshop on the Classification of Periodontal and Peri-Implant Diseases and Conditions. J. Clin. Periodontol. 2018, 45 (Suppl. S20), S68–S77. [Google Scholar] [CrossRef] [PubMed]
- Deutscher, H.; Derman, S.; Barbe, A.G.; Seemann, R.; Noack, M.J. The effect of professional tooth cleaning or non-surgical periodontal therapy on oral halitosis in patients with periodontal diseases. A systematic review. Int. J. Dent. Hyg. 2018, 16, 36–47. [Google Scholar] [CrossRef] [PubMed]
- Silveira, J.O.; Costa, F.O.; Oliveira, P.A.D.; Dutra, B.C.; Cortelli, S.C.; Cortelli, J.R.; Cota, L.O.M.; Oliveira, A. Effect of non-surgical periodontal treatment by full-mouth disinfection or scaling and root planing per quadrant in halitosis-a randomized controlled clinical trial. Clin. Oral Investig. 2017, 21, 1545–1552. [Google Scholar] [CrossRef]
- Perio Focus Green Paper; European Federation of Periodontology: Madrid, Spain, 2016.
- Sanz, M.; Baumer, A.; Buduneli, N.; Dommisch, H.; Farina, R.; Kononen, E.; Linden, G.; Meyle, J.; Preshaw, P.M.; Quirynen, M.; et al. Effect of professional mechanical plaque removal on secondary prevention of periodontitis and the complications of gingival and periodontal preventive measures: Consensus report of group 4 of the 11th European Workshop on Periodontology on effective prevention of periodontal and peri-implant diseases. J. Clin. Periodontol. 2015, 42 (Suppl. S16), S214–S220. [Google Scholar]
- Elkerbout, T.A.; Slot, D.E.; Rosema, N.A.M.; Van der Weijden, G.A. How effective is a powered toothbrush as compared to a manual toothbrush? A systematic review and meta-analysis of single brushing exercises. Int. J. Dent. Hyg. 2019, 18, 17–26. [Google Scholar] [CrossRef]
- Van der Weijden, F.A.; Slot, D.E. Efficacy of homecare regimens for mechanical plaque removal in managing gingivitis a meta review. J. Clin. Periodontol. 2015, 42 (Suppl. S16), S77–S91. [Google Scholar] [CrossRef]
- Salzer, S.; Slot, D.E.; Van der Weijden, F.A.; Dorfer, C.E. Efficacy of inter-dental mechanical plaque control in managing gingivitis—A meta-review. J. Clin. Periodontol. 2015, 42 (Suppl. S16), S92–S105. [Google Scholar] [CrossRef]
- Salhi, L.; Seidel, L.; Albert, A.; Lambert, F. Fagerström Test for Nicotine Dependence as An Indicator for Tobacco-Related Studies. J. Periodontol. 2020. [Google Scholar] [CrossRef]
- Silness, J.; Loe, H. Periodontal Disease in Pregnancy. II. Correlation Between Oral Hygiene and Periodontal Condtion. Acta Odontol. Scand. 1964, 22, 121–135. [Google Scholar] [CrossRef]
- Miller, S.C. Textbook of Periodontia; Blakiston: Philadelphia, PA, USA, 1938. [Google Scholar]
- Hamp, S.E.; Nyman, S.; Lindhe, J. Periodontal treatment of multirooted teeth. Results after 5 years. J. Clin. Periodontol. 1975, 2, 126–135. [Google Scholar] [CrossRef]
- Nesse, W.; Abbas, F.; Van der Ploeg, I.; Spijkervet, F.K.; Dijkstra, P.U.; Vissink, A. Periodontal inflamed surface area: Quantifying inflammatory burden. J. Clin. Periodontol. 2008, 35, 66873. [Google Scholar] [CrossRef] [PubMed]
- Caton, J.G.; Armitage, G.; Berglundh, T.; Chapple, I.L.C.; Jepsen, S.; Kornman, K.S.; Mealey, B.L.; Papapanou, P.N.; Sanz, M.; Tonetti, M.S. A new classification scheme for periodontal and peri-implant diseases and conditions—Introduction and key changes from the 1999 classification. J. Periodontol. 2018, 89 (Suppl. S1), S1–S8. [Google Scholar] [CrossRef] [PubMed]
- Mahajan, A.; Singh, B.; Kashyap, D.; Kumar, A.; Mahajan, P. Interspecies communication and periodontal disease. Sci. World J. 2013, 2013, 765434. [Google Scholar] [CrossRef] [PubMed]
- Preber, H.; Bergstrom, J. Occurrence of gingival bleeding in smoker and non-smoker patients. Acta Odontol. Scand. 1985, 43, 315–420. [Google Scholar] [CrossRef] [PubMed]
- Peruzzo, D.C.; Gimenes, J.H.; Taiete, T.; Casarin, R.C.; Feres, M.; Sallum, E.A.; Casati, M.Z.; Kantovitz, K.R.; Nociti, F.H., Jr. Impact of smoking on experimental gingivitis. A clinical, microbiological and immunological prospective study. J. Periodontal Res. 2016, 51, 800–811. [Google Scholar] [CrossRef]
- Eberhard, J.; Jepsen, S.; Jervoe-Storm, P.M.; Needleman, I.; Worthington, H.V. Full-mouth treatment modalities (within 24 h) for chronic periodontitis in adults. Cochrane Database Syst. Rev. 2015, Cd004622. [Google Scholar] [CrossRef]
- Heitz-Mayfield, L.J.; Trombelli, L.; Heitz, F.; Needleman, I.; Moles, D. A systematic review of the effect of surgical debridement vs non-surgical debridement for the treatment of chronic periodontitis. J. Clin. Periodontol. 2002, 29 (Suppl. S3), 92–102. [Google Scholar] [CrossRef]
- Tobacco cessation and oral health integration; WHO: Geneva, Switzerland, 2017; pp. 29–33.
- Bauer, M.; Fink, B.; Thurmann, L.; Eszlinger, M.; Herberth, G.; Lehmann, I. Tobacco smoking differently influences cell types of the innate and adaptive immune system-indications from CpG site methylation. Clin. Epigenetics 2016, 7, 83. [Google Scholar] [CrossRef]
- Mian, M.F.; Lauzon, N.M.; Stampfli, M.R.; Mossman, K.L.; Ashkar, A.A. Impairment of human NK cell cytotoxic activity and cytokine release by cigarette smoke. J. Leukoc. Biol. 2008, 83, 774–784. [Google Scholar] [CrossRef]
- Heijink, I.H.; Pouwels, S.D.; Leijendekker, C.; De Bruin, H.G.; Zijlstra, G.J.; Van Der Vaart, H.; Ten Hacken, N.H.; Van Oosterhout, A.J.; Nawijn, M.C.; Van der Toorn, M. Cigarette smoke-induced damage-associated molecular pattern release from necrotic neutrophils triggers proinflammatory mediator release. Am. J. Respir. Cell Mol. Biol. 2015, 52, 554–562. [Google Scholar] [CrossRef]
- Ryder, M.I.; Fujitaki, R.; Lebus, S.; Mahboub, M.; Faia, B.; Muhaimin, D.; Hamada, M.; Hyun, W. Alterations of neutrophil L-selectin and CD18 expression by tobacco smoke: Implications for periodontal diseases. J. Periodontal Res. 1998, 33, 359–368. [Google Scholar] [CrossRef] [PubMed]
- Hughes, D.A.; Haslam, P.L.; Townsend, P.J.; Turner-Warwick, M. Numerical and functional alterations in circulatory lymphocytes in cigarette smokers. Clin. Exp. Immunol. 1985, 61, 459–466. [Google Scholar] [PubMed]
- Mehta, H.; Nazzal, K.; Sadikot, R.T. Cigarette smoking and innate immunity. Inflamm. Res. 2008, 57, 497–503. [Google Scholar] [CrossRef]
- Mavropoulos, A.; Aars, H.; Brodin, P. Hyperaemic response to cigarette smoking in healthy gingiva. J. Clin. Periodontol. 2003, 30, 214–221. [Google Scholar] [CrossRef] [PubMed]
- Kang, S.W.; Park, H.J.; Ban, J.Y.; Chung, J.H.; Chun, G.S.; Cho, J.O. Effects of nicotine on apoptosis in human gingival fibroblasts. Arch. Oral Biol. 2011, 56, 1091–1097. [Google Scholar] [CrossRef]
- James, J.A.; Sayers, N.M.; Drucker, D.B.; Hull, P.S. Effects of tobacco products on the attachment and growth of periodontal ligament fibroblasts. J. Periodontol. 1999, 70, 518–525. [Google Scholar] [CrossRef]
- Baiju, R.M.; Peter, E.; Varghese, N.O.; Anju, P. Patient Reported Outcome Assessment of Periodontal Therapy: A Systematic Review. J. Clin. Diagn. Res. 2017, 11, Zc14–Zc19. [Google Scholar] [CrossRef]
- Santuchi, C.C.; Cortelli, J.R.; Cortelli, S.C.; Cota, L.O.; Fonseca, D.C.; Alencar, C.O.; Costa, F.O. Scaling and Root Planing per Quadrant Versus One-Stage Full-Mouth Disinfection: Assessment of the Impact of Chronic Periodontitis Treatment on Quality of Life--A Clinical Randomized, Controlled Trial. J. Periodontol. 2016, 87, 114–123. [Google Scholar] [CrossRef]
- Goel, K.; Baral, D. A Comparison of Impact of Chronic Periodontal Diseases and Nonsurgical Periodontal Therapy on Oral Health-Related Quality of Life. Int. J. Dent. 2017, 2017, 9352562. [Google Scholar] [CrossRef]
- Santuchi, C.C.; Cortelli, S.C.; Cortelli, J.R.; Cota, L.O.; Alencar, C.O.; Costa, F.O. Pre- and post-treatment experiences of fear, anxiety, and pain among chronic periodontitis patients treated by scaling and root planing per quadrant versus one-stage full-mouth disinfection: A 6-month randomized controlled clinical trial. J. Clin. Periodontol. 2015, 42, 1024–1031. [Google Scholar] [CrossRef]
- Marconcini, S.; Goulding, M.; Oldoini, G.; Attanasio, C.; Giammarinaro, E.; Genovesi, A. Clinical and patient-centered outcomes post non-surgical periodontal therapy with the use of a non-injectable anesthetic product: A randomized clinical study. J. Investig. Clin. Dent. 2019, 10, e12446. [Google Scholar] [CrossRef] [PubMed]
- Tan, W.C.; Krishnaswamy, G.; Ong, M.M.; Lang, N.P. Patient-reported outcome measures after routine periodontal and implant surgical procedures. J. Clin. Periodontol. 2014, 41, 618–624. [Google Scholar] [CrossRef] [PubMed]
- Axelsson, P.; Lindhe, J. The significance of maintenance care in the treatment of periodontal disease. J. Clin. Periodontol. 1981, 8, 281–294. [Google Scholar] [CrossRef]
- Axelsson, P.; Nystrom, B.; Lindhe, J. The long-term effect of a plaque control program on tooth mortality, caries and periodontal disease in adults. Results after 30 years of maintenance. J. Clin. Periodontol. 2004, 31, 749–757. [Google Scholar] [CrossRef]
- Trombelli, L.; Franceschetti, G.; Farina, R. Effect of professional mechanical plaque removal performed on a long-term, routine basis in the secondary prevention of periodontitis: A systematic review. J. Clin. Periodontol. 2015, 42 (Suppl. S16), S221–S236. [Google Scholar] [CrossRef] [PubMed]



| Variable | Category | Total | Current Smoker | Former Smoker | Non-Smoker | p-Value |
|---|---|---|---|---|---|---|
| n = 91 | n = 34 | n = 25 | n = 32 | |||
| Demography | ||||||
| Age (mean ± SD, years) | 47.3 ± 12.2 | 46.5 ± 11.5 | 51.2 ± 11.6 | 45.0 ± 12.9 | 0.14 | |
| Gender (n, %) | 0.84 | |||||
| Female | 54 (59.3) | 20 (58.8) | 16 (64.0) | 18 (56.3) | ||
| Man | 37 (40.7) | 14 (41.2) | 9 (36.0) | 14 (43.8) | ||
| Dental characteristics | ||||||
| Missing teeth (n, %) | 446 (15.4) | 230 (21.3) | 112 (14.1) | 104 (10.3) | <0.0001 | |
| Periodontitis classification | ||||||
| Stage (n; %) | ||||||
| III | 60 (65.9) | 15 (44.1) | 19 (76.0) | 26 (81.3) | 0.0029 | |
| IV | 31 (34.1) | 19 (55.9) | 6 (24.0) | 6 (18.7) | ||
| Extent (n, %) | ||||||
| L | 42 (46.2) | 9 (26.5) | 14 (56.0) | 19 (59.4) | 0.011 | |
| G | 48 (52.8) | 25 (73.5) | 11 (44.0) | 12 (37.5) | ||
| M-I | 1 (1.1) | 0 (0.0) | 0 (0.0) | 1 (3.1) | ||
| Grade (n, %) | ||||||
| A | 44 (48.3) | 0 (0.0) | 18 (72.0) | 26 (81.2) | <0.0001 | |
| B | 15 (16.5) | 2 (5.9) | 7 (28.0) | 6 (18.8) | ||
| C | 32 (35.2) | 32 (94.1) | 0 (0.0) | 0 (0.0) | ||
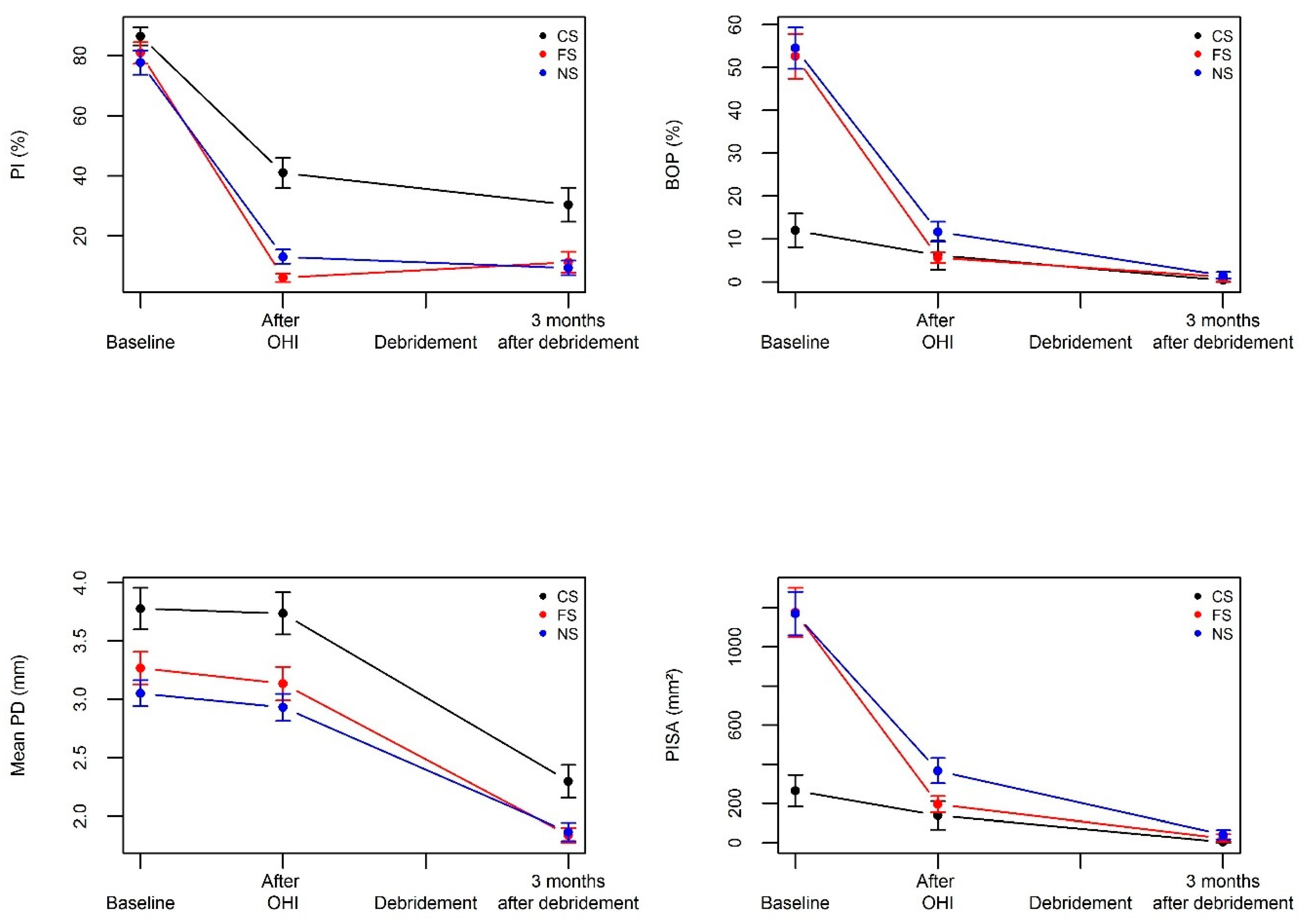
| Characteristic | Baseline | After Oral Hygiene Instructions (b) | After Debridement (c) |
|---|---|---|---|
| Population | |||
| Current smoker | 34 | 31 | 14 |
| Former smoker | 25 | 25 | 19 |
| Non-smoker | 32 | 32 | 17 |
| Variable (a) (mean ± SD) | |||
| PISA (mm²) | |||
| CS | 265 ± 470 | 139 ± 404 | 4.22 ± 15.8 |
| FS | 1176 ± 635 | 195 ± 207 * | 22.8 ± 88.7 |
| NS | 1170 ± 632 | 366 ± 364 * | 40.9 ± 94.3 |
| (p < 0.001) (d) | (p = 0.028) | (p = 0.44) | |
| Mean PD (mm) | |||
| CS | 3.78 ± 1.05 | 3.74± 1.01 | 2.30 ± 0.53 * |
| FS | 3.27 ± 0.70 | 3.14 ± 0.72 | 1.84 ± 0.28 * |
| NS | 3.05 ± 0.63 | 2.93 ± 0.66 | 1.86 ± 0.33 * |
| (p = 0.0019) | (p = 0.0006) | (p = 0.0021) | |
| Max PD (mm) | |||
| CS | 8.00 ± 1.21 | 7.97 ± 1.22 | 6.29 ± 1.90 * |
| FS | 7.80 ± 1.19 | 7.76 ± 1.16 | 4.68 ± 1.16 * |
| NS | 7.72 ± 1.11 | 7.72 ± 1.11 | 4.76 ± 0.97 * |
| (p = 0.61) | (p = 0.67) | (p = 0.0027) | |
| Variable * (mean ± SD) | |||
| Mean CAL (mm) | |||
| CS | 4.34 ± 1.40 | 4.17 ± 1.34 | 2.72 ± 0.67 * |
| FS | 3.40 ± 0.81 | 3.26 ± 0.84 | 1.88 ± 0.30 * |
| NS | 3.10 ± 0.68 | 2.97 ± 0.69 | 1.92 ± 0.38 * |
| (p < 0.0001) | (p < 0.0001) | (p < 0.0001) | |
| Max CAL (mm) | |||
| CS | 9.56 ± 2.48 | 9.26 ± 2.38 | 8.14 ± 2.71 * |
| FS | 8.16 ± 1.52 | 8.12 ± 1.51 | 5.11 ± 1.20 * |
| NS | 8.06 ± 1.46 | 7.91 ± 1.30 | 5.00 ± 1.22 * |
| (p = 0.0032) | (p = 0.0091) | (p < 0.0001) | |
| Mean BOP (%) | |||
| CS | 12.0 ± 23.0 | 6.24 ± 18.5 | 0.42 ± 1.58 |
| FS | 52.6 ± 26.1 | 5.66 ± 6.08 * | 1.21 ± 4.69 |
| NS | 54.5 ± 27.3 | 11.7 ± 13.3 * | 1.55 ± 3.22 |
| (p < 0.0001) | (p = 0.19) | (p = 0.67) | |
| Mean PI (%) | |||
| CS | 86.4 ± 17.7 | 41.0 ± 28.2 * | 30.4 ± 21.1 |
| FS | 80.9 ±17.8 | 6.11 ± 7.05 * | 11.3 ± 15.3 |
| NS | 77.8 ± 22.9 | 13.1 ± 13.0 * | 9.38 ± 10.1 |
| (p = 0.20) | (p < 0.0001) | (p = 0.0009) | |
| % PD > 6 mm | |||
| CS | 19.0 ± 16.0 | 18.2 ± 15.5 | 2.92 ± 3.45 * |
| FS | 12.9 ± 8.71 | 12.7 ± 8.54 | 0.25 ± 0.75 * |
| NS | 11.9 ± 7.61 | 11.7 ± 7.30 | 0.42 ± 1.19 * |
| (p = 0.036) | (p = 0.054) | (p = 0.0007) | |
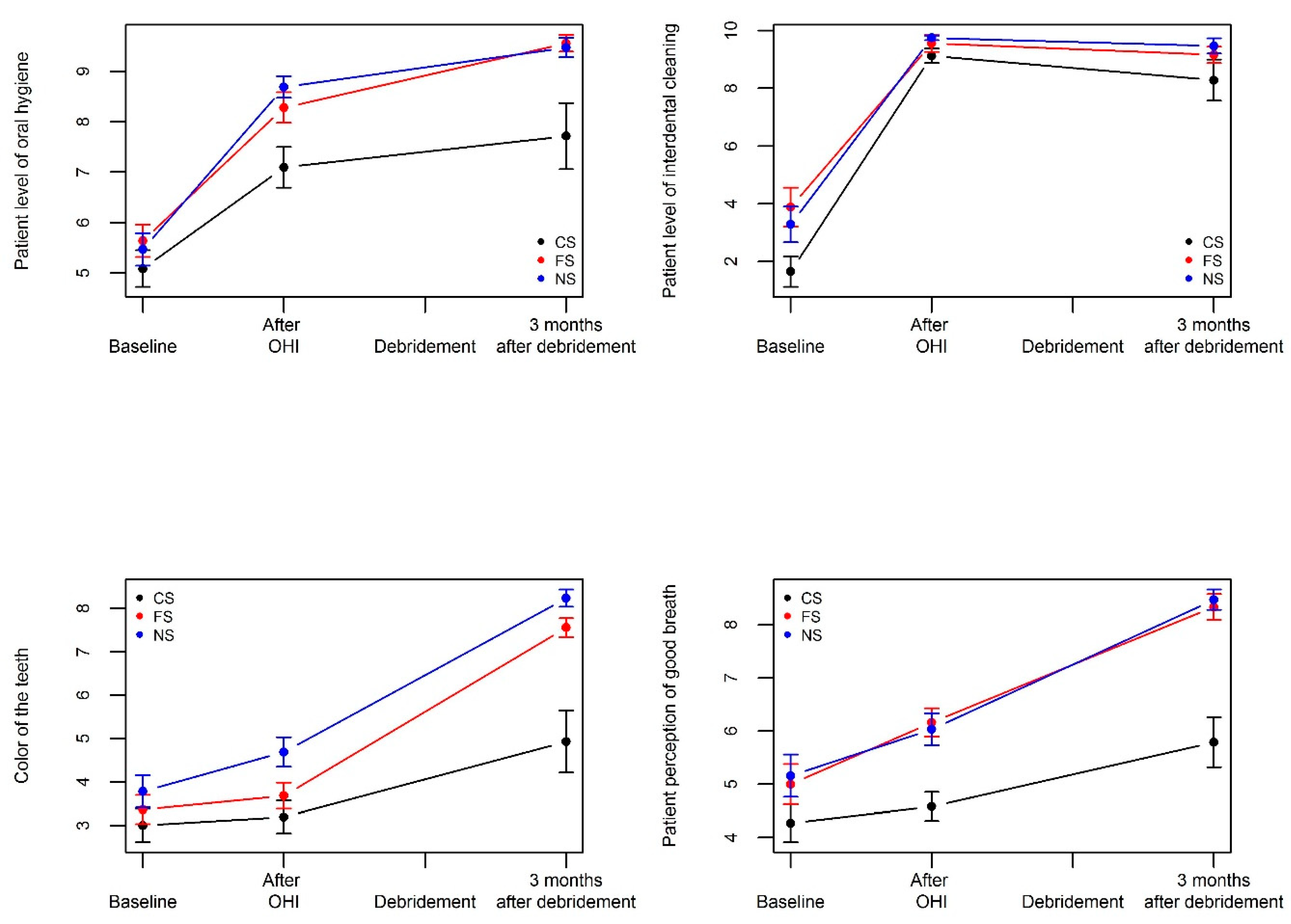
| PROMs (Mean ± SD) (a) | Group | Baseline | After Oral Hygiene Instructions (b) | After Debridement (c) |
|---|---|---|---|---|
| Degree of oral hygiene | CS | 5.1 ± 2.1 | 7.1 ± 2.2 * | 7.7 ± 2.5 |
| FS | 5.6 ± 1.6 | 8.3 ± 1.5 * | 9.6 ± 0.70 | |
| NS | 5.5 ± 1.8 | 8.7 ± 1.2 * | 9.5 ± 0.80 | |
| (p = 0.51) (d) | (p = 0.0013) | (p = 0.0013) | ||
| Interdental hygiene | CS | 1.6 ± 3.1 | 9.1 ± 1.4 * | 8.3 ± 2.7 |
| FS | 3.9 ± 3.4 | 9.6 ± 1.5 * | 9.2 ± 1.2 | |
| NS | 3.3 ± 3.5 | 9.8 ± 0.4 * | 9.5 ± 1.1 | |
| (p = 0.028) | (p = 0.11) | (p = 0.16) | ||
| Teeth color | CS | 3.0 ± 2.2 | 3.2 ± 2.1 | 4.9 ± 2.7 * |
| FS | 3.4 ± 1.7 | 3.7 ± 1.5 | 7.6 ± 0.92 * | |
| NS | 3.8 ± 2.1 | 4.7 ± 1.9 | 8.2 ± 0.83 * | |
| (p = 0.31) | (p = 0.0075) | (p < 0.0001) | ||
| Sensitivity | CS | 3.2 ± 2.6 | 3.6 ± 2.2 | 5.0 ± 2.3 |
| FS | 3.6 ± 1.6 | 3.8 ± 1.5 | 7.3 ± 1.0 * | |
| NS | 4.0 ± 1.9 | 4.6 ± 1.7 | 7.8 ± 1.2 * | |
| (p = 0.29) | (p = 0.076) | (p < 0.0001) | ||
| Gingival health | CS | 4.3 ± 2.5 | 4.2 ± 2.3 | 5.1 ± 1.8 |
| FS | 4.2 ± 1.7 | 4.2 ± 1.8 | 7.4 ± 1.0 * | |
| NS | 5.0 ± 1.6 | 5.2 ± 1.5 | 7.9 ± 1.0 * | |
| (p = 0.20) | (p = 0.058) | (p < 0.0001) | ||
| Esthetic assessment of the gums | CS | 3.1 ± 3.0 | 2.0 ± 1.9 | 0.86 ± 1.3 |
| FS | 6.0 ± 3.1 | 1.2 ± 0.88 * | 0.61 ± 1.9 | |
| NS | 7.3 ± 2.5 | 1.0 ± 0.76 * | 0.18 ± 0.73 | |
| (p < 0.0001) | (p = 0.0086) | (p = 0.39) | ||
| Color of the gums | CS | 2.8 ± 2.2 | 3.0 ± 2.0 | 3.9 ± 2.5 |
| FS | 4.1 ± 2.1 | 4.4 ± 2.1 | 5.2 ± 2.2 | |
| NS | 4.6 ± 2.5 | 5.0 ± 2.3 | 5.8 ± 2.0 | |
| (p = 0.0087) | (p = 0.0011) | (p = 0.068) | ||
| Bleeding on brushing | CS | 4.6 ± 2.9 | 4.6 ± 3.0 | 3.5 ± 3.1 |
| FS | 5.2 ± 2.0 | 4.8 ± 2.3 | 0.89 ± 1.5 * | |
| NS | 3.7 ± 2.6 | 3.3 ± 2.6 | 0.41 ± 1.2 * | |
| (p = 0.088) | (p = 0.049) | (p = 0.0002) | ||
| Good breath/Halitosis | CS | 4.3 ± 2.0 | 4.6 ± 1.5 | 5.8 ± 1.8 |
| FS | 5.0 ± 1.9 | 6.2 ± 1.3 | 8.3 ± 1.0 * | |
| NS | 5.2 ± 2.2 | 6.0 ± 1.7 | 8.5 ± 0.80 * | |
| (p = 0.19) | (p = 0.0002) | (p < 0.0001) |
© 2020 by the authors. Licensee MDPI, Basel, Switzerland. This article is an open access article distributed under the terms and conditions of the Creative Commons Attribution (CC BY) license (http://creativecommons.org/licenses/by/4.0/).
Share and Cite
Salhi, L.; Albert, A.; Seidel, L.; Lambert, F. Respective Effects of Oral Hygiene Instructions and Periodontal Nonsurgical Treatment (Debridement) on Clinical Parameters and Patient-Reported Outcome Measures with Respect to Smoking. J. Clin. Med. 2020, 9, 2491. https://doi.org/10.3390/jcm9082491
Salhi L, Albert A, Seidel L, Lambert F. Respective Effects of Oral Hygiene Instructions and Periodontal Nonsurgical Treatment (Debridement) on Clinical Parameters and Patient-Reported Outcome Measures with Respect to Smoking. Journal of Clinical Medicine. 2020; 9(8):2491. https://doi.org/10.3390/jcm9082491
Chicago/Turabian StyleSalhi, Leila, Adelin Albert, Laurence Seidel, and France Lambert. 2020. "Respective Effects of Oral Hygiene Instructions and Periodontal Nonsurgical Treatment (Debridement) on Clinical Parameters and Patient-Reported Outcome Measures with Respect to Smoking" Journal of Clinical Medicine 9, no. 8: 2491. https://doi.org/10.3390/jcm9082491
APA StyleSalhi, L., Albert, A., Seidel, L., & Lambert, F. (2020). Respective Effects of Oral Hygiene Instructions and Periodontal Nonsurgical Treatment (Debridement) on Clinical Parameters and Patient-Reported Outcome Measures with Respect to Smoking. Journal of Clinical Medicine, 9(8), 2491. https://doi.org/10.3390/jcm9082491

