Burden of Undiagnosed Type 2 Diabetes in Diabetic Kidney Disease: A Japanese Retrospective Cohort Study
Abstract
1. Introduction
2. Research Design and Methods
2.1. Study Design and Population
2.2. Definition
2.3. Statistical Analysis
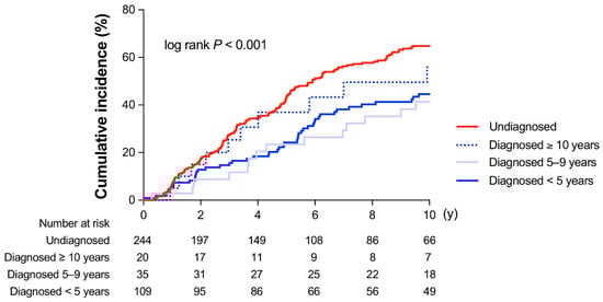
3. Results
3.1. General Characteristics
3.2. Univariate and Multivariate Analysis
4. Discussion
4.1. UD and the Risk of Developing DKD
4.2. Potential Mechanisms
4.3. Study Limitations
5. Conclusions
Author Contributions
Funding
Acknowledgments
Conflicts of Interest
References
- Geiss, L.S.; Bullard, K.M.; Brinks, R.; Gregg, E.W. Considerations in Epidemiologic Definitions of Undiagnosed Diabetes. Diabetes Care 2018, 41, 1835–1838. [Google Scholar] [CrossRef]
- Mendola, N.D.; Chen, T.C.; Gu, Q.; Eberhardt, M.S.; Saydah, S. Prevalence of Total, Diagnosed, and Undiagnosed Diabetes Among Adults: United States, 2013–2016. NCHS Data Brief 2018, 319, 1–8. [Google Scholar]
- Zhang, N.; Yang, X.; Zhu, X.; Zhao, B.; Huang, T.; Ji, Q. Type 2 diabetes mellitus unawareness, prevalence, trends and risk factors: National Health and Nutrition Examination Survey (NHANES) 1999–2010. J. Int. Med. Res. 2017, 45, 594–609. [Google Scholar] [CrossRef]
- Asmelash, D.; Asmelash, Y. The Burden of Undiagnosed Diabetes Mellitus in Adult African Population: A Systematic Review and Meta-Analysis. J. Diabetes Res. 2019, 2019, 4134937. [Google Scholar] [CrossRef]
- Cowie, C.C. Diabetes Diagnosis and Control: Missed Opportunities to Improve Health: The 2018 Kelly West Award Lecture. Diabetes Care 2019, 42, 994–1004. [Google Scholar] [CrossRef] [PubMed]
- Jones, D.; Scharfenberg, B.; Perkins, J.; Childers, K.; Dogbey, G.Y.; Shubrook, J.H. Glycated Hemoglobin Testing to Identify Undiagnosed Diabetes Mellitus in the Inpatient Setting. J. Am. Osteopath Assoc. 2016, 116, 350–357. [Google Scholar] [CrossRef] [PubMed]
- Selvin, E.; Wang, D.; Lee, A.K.; Bergenstal, R.M.; Coresh, J. Identifying Trends in Undiagnosed Diabetes in U.S. Adults by Using a Confirmatory Definition: A Cross-sectional Study. Ann. Intern. Med. 2017, 167, 769–776. [Google Scholar] [CrossRef] [PubMed]
- Kumar, A.; Wong, R.; Ottenbacher, K.J.; Al Snih, S. Prediabetes, undiagnosed diabetes, and diabetes among Mexican adults: Findings from the Mexican Health and Aging Study. Ann. Epidemiol. 2016, 26, 163–170. [Google Scholar] [CrossRef]
- Umpierrez, G.E.; Isaacs, S.D.; Bazargan, N.; You, X.; Thaler, L.M.; Kitabchi, A.E. Hyperglycemia: An independent marker of in-hospital mortality in patients with undiagnosed diabetes. J. Clin. Endocrinol. Metab. 2002, 87, 978–982. [Google Scholar] [CrossRef] [PubMed]
- Nwose, E.U.; Richards, R.S.; Digban, K.; Bwititi, P.T.; Ennis, G.; Yee, K.C.; Oguoma, V.M.; Liberato, S. Cardiovascular risk assessment in prediabetes and undiagnosed diabetes mellitus study: International collaboration research overview. N. Am. J. Med. Sci. 2013, 5, 625–630. [Google Scholar] [CrossRef]
- Flores-Le Roux, J.A.; Comin, J.; Pedro-Botet, J.; Benaiges, D.; Puig-de Dou, J.; Chillaron, J.J.; Goday, A.; Bruguera, J.; Cano-Perez, J.F. Seven-year mortality in heart failure patients with undiagnosed diabetes: An observational study. Cardiovasc. Diabetol. 2011, 10, 39. [Google Scholar] [CrossRef] [PubMed]
- Karamat, M.A.; Raja, U.Y.; Manley, S.E.; Jones, A.; Hanif, W.; Tahrani, A.A. Prevalence of undiagnosed type 2 diabetes in patients admitted with acute coronary syndrome: The utility of easily reproducible screening methods. BMC Endocr. Disord. 2017, 17, 3. [Google Scholar] [CrossRef] [PubMed]
- Phan, K.; Mitchell, P.; Liew, G.; Plant, A.J.; Wang, S.B.; Xu, J.; Chiha, J.; Thiagalingam, A.; Burlutsky, G.; Gopinath, B. Severity of coronary artery disease and retinal microvascular signs in patients with diagnosed versus undiagnosed diabetes: Cross-sectional study. J. Thorac. Dis. 2016, 8, 1532–1539. [Google Scholar] [CrossRef]
- Kristensen, S.L.; Jhund, P.S.; Lee, M.M.Y.; Kober, L.; Solomon, S.D.; Granger, C.B.; Yusuf, S.; Pfeffer, M.A.; Swedberg, K.; McMurray, J.J.V. Prevalence of Prediabetes and Undiagnosed Diabetes in Patients with HFpEF and HFrEF and Associated Clinical Outcomes. Cardiovasc. Drugs Ther. 2017, 31, 545–549. [Google Scholar] [CrossRef] [PubMed]
- Afkarian, M.; Zelnick, L.R.; Hall, Y.N.; Heagerty, P.J.; Tuttle, K.; Weiss, N.S.; de Boer, I.H. Clinical Manifestations of Kidney Disease Among US Adults With Diabetes, 1988–2014. JAMA 2016, 316, 602–610. [Google Scholar] [CrossRef]
- Liang, S.; Cai, G.Y.; Chen, X.M. Clinical and pathological factors associated with progression of diabetic nephropathy. Nephrology (Carlton) 2017, 22, 14–19. [Google Scholar] [CrossRef]
- Tuttle, K.R.; Bakris, G.L.; Bilous, R.W.; Chiang, J.L.; de Boer, I.H.; Goldstein-Fuchs, J.; Hirsch, I.B.; Kalantar-Zadeh, K.; Narva, A.S.; Navaneethan, S.D.; et al. Diabetic kidney disease: A report from an ADA Consensus Conference. Diabetes Care 2014, 37, 2864–2883. [Google Scholar] [CrossRef]
- Doshi, S.M.; Friedman, A.N. Diagnosis and Management of Type 2 Diabetic Kidney Disease. Clin. J. Am. Soc. Nephrol. 2017, 12, 1366–1373. [Google Scholar] [CrossRef]
- Macisaac, R.J.; Ekinci, E.I.; Jerums, G. Markers of and risk factors for the development and progression of diabetic kidney disease. Am. J. Kidney Dis. 2014, 63, S39–S62. [Google Scholar] [CrossRef]
- Radcliffe, N.J.; Seah, J.M.; Clarke, M.; MacIsaac, R.J.; Jerums, G.; Ekinci, E.I. Clinical predictive factors in diabetic kidney disease progression. J. Diabetes Investig. 2017, 8, 6–18. [Google Scholar] [CrossRef]
- Alicic, R.Z.; Rooney, M.T.; Tuttle, K.R. Diabetic Kidney Disease: Challenges, Progress, and Possibilities. Clin. J. Am. Soc. Nephrol. 2017, 12, 2032–2045. [Google Scholar] [CrossRef]
- Zoungas, S.; Woodward, M.; Li, Q.; Cooper, M.E.; Hamet, P.; Harrap, S.; Heller, S.; Marre, M.; Patel, A.; Poulter, N.; et al. Impact of age, age at diagnosis and duration of diabetes on the risk of macrovascular and microvascular complications and death in type 2 diabetes. Diabetologia 2014, 57, 2465–2474. [Google Scholar] [CrossRef]
- American Diabetes Association. 2. Classification and Diagnosis of Diabetes: Standards of Medical Care in Diabetes-2018. Diabetes Care 2018, 41, S13–S27. [Google Scholar] [CrossRef] [PubMed]
- Matsuo, S.; Imai, E.; Horio, M.; Yasuda, Y.; Tomita, K.; Nitta, K.; Yamagata, K.; Tomino, Y.; Yokoyama, H.; Hishida, A. Revised equations for estimated GFR from serum creatinine in Japan. Am. J. Kidney Dis. 2009, 53, 982–992. [Google Scholar] [CrossRef] [PubMed]
- Plantinga, L.C.; Crews, D.C.; Coresh, J.; Miller, E.R.; Saran, R.; Yee, J.; Hedgeman, E.; Pavkov, M.; Eberhardt, M.S.; Williams, D.E.; et al. Prevalence of chronic kidney disease in US adults with undiagnosed diabetes or prediabetes. Clin. J. Am. Soc. Nephrol. 2010, 5, 673–682. [Google Scholar] [CrossRef] [PubMed]
- Herrington, W.G.; Alegre-Diaz, J.; Wade, R.; Gnatiuc, L.; Ramirez-Reyes, R.; Hill, M.; Solano-Sanchez, M.; Baigent, C.; Lewington, S.; Collins, R.; et al. Effect of diabetes duration and glycaemic control on 14-year cause-specific mortality in Mexican adults: A blood-based prospective cohort study. Lancet Diabetes Endocrinol. 2018, 6, 455–463. [Google Scholar] [CrossRef]
- Selvin, E.; Wang, D.; Matsushita, K.; Grams, M.E.; Coresh, J. Prognostic Implications of Single-Sample Confirmatory Testing for Undiagnosed Diabetes: A Prospective Cohort Study. Ann. Intern. Med. 2018, 169, 156–164. [Google Scholar] [CrossRef]
- Retnakaran, R.; Cull, C.A.; Thorne, K.I.; Adler, A.I.; Holman, R.R. Risk factors for renal dysfunction in type 2 diabetes: U.K. Prospective Diabetes Study 74. Diabetes 2006, 55, 1832–1839. [Google Scholar] [CrossRef] [PubMed]
- Seghieri, G.; Policardo, L.; Profili, F.; Francesconi, P.; Anichini, R.; Del Prato, S. Hospital incidental diagnosis of diabetes: A population study. J. Diabetes Complicat. 2016, 30, 457–461. [Google Scholar] [CrossRef] [PubMed]
- Kawasaki, R.; Tanaka, S.; Tanaka, S.; Yamamoto, T.; Sone, H.; Ohashi, Y.; Akanuma, Y.; Yamada, N.; Yamashita, H. Incidence and progression of diabetic retinopathy in Japanese adults with type 2 diabetes: 8 year follow-up study of the Japan Diabetes Complications Study (JDCS). Diabetologia 2011, 54, 2288–2294. [Google Scholar] [CrossRef] [PubMed]
- Klein, R.; Klein, B.E.; Moss, S.E.; Davis, M.D.; DeMets, D.L. The Wisconsin Epidemiologic Study of Diabetic Retinopathy. IX. Four-year incidence and progression of diabetic retinopathy when age at diagnosis is less than 30 years. Arch. Ophthalmol. 1989, 107, 237–243. [Google Scholar] [CrossRef] [PubMed]
- Tapp, R.J.; Shaw, J.E.; Zimmet, P.Z.; Balkau, B.; Chadban, S.J.; Tonkin, A.M.; Welborn, T.A.; Atkins, R.C. Albuminuria is evident in the early stages of diabetes onset: Results from the Australian Diabetes, Obesity, and Lifestyle Study (AusDiab). Am. J. Kidney Dis. 2004, 44, 792–798. [Google Scholar] [CrossRef]
- Kundu, D.; Roy, A.; Mandal, T.; Bandyopadhyay, U.; Ghosh, E.; Ray, D. Relation of microalbuminuria to glycosylated hemoglobin and duration of type 2 diabetes. Niger. J. Clin. Pract. 2013, 16, 216–220. [Google Scholar] [CrossRef] [PubMed]
- Stratton, I.M.; Adler, A.I.; Neil, H.A.; Matthews, D.R.; Manley, S.E.; Cull, C.A.; Hadden, D.; Turner, R.C.; Holman, R.R. Association of glycaemia with macrovascular and microvascular complications of type 2 diabetes (UKPDS 35): Prospective observational study. BMJ 2000, 321, 405–412. [Google Scholar] [CrossRef]
- van Wijngaarden, R.P.T.; Overbeek, J.A.; Heintjes, E.M.; Schubert, A.; Diels, J.; Straatman, H.; Steyerberg, E.W.; Herings, R.M.C. Relation Between Different Measures of Glycemic Exposure and Microvascular and Macrovascular Complications in Patients with Type 2 Diabetes Mellitus: An Observational Cohort Study. Diabetes Ther. 2017, 8, 1097–1109. [Google Scholar] [CrossRef]
- Levey, A.S.; de Jong, P.E.; Coresh, J.; El Nahas, M.; Astor, B.C.; Matsushita, K.; Gansevoort, R.T.; Kasiske, B.L.; Eckardt, K.U. The definition, classification, and prognosis of chronic kidney disease: A KDIGO Controversies Conference report. Kidney Int. 2011, 80, 17–28. [Google Scholar] [CrossRef]
- Gansevoort, R.T.; Matsushita, K.; van der Velde, M.; Astor, B.C.; Woodward, M.; Levey, A.S.; de Jong, P.E.; Coresh, J. Lower estimated GFR and higher albuminuria are associated with adverse kidney outcomes. A collaborative meta-analysis of general and high-risk population cohorts. Kidney Int. 2011, 80, 93–104. [Google Scholar] [CrossRef]
- Konta, T.; Hao, Z.; Takasaki, S.; Abiko, H.; Ishikawa, M.; Takahashi, T.; Ikeda, A.; Ichikawa, K.; Kato, T.; Kawata, S.; et al. Clinical utility of trace proteinuria for microalbuminuria screening in the general population. Clin. Exp. Nephrol. 2007, 11, 51–55. [Google Scholar] [CrossRef]
- Nagai, K.; Yamagata, K. Quantitative evaluation of proteinuria for health checkups is more efficient than the dipstick method. Clin. Exp. Nephrol. 2015, 19, 152–153. [Google Scholar] [CrossRef]


| Diagnosed | Undiagnosed | p Value | |
|---|---|---|---|
| n | 164 | 244 | |
| Age, years | 56.3 ± 11.3 | 56.4 ± 11.1 | 0.946 |
| Female,% | 47.0 | 43.9 | 0.537 |
| BMI, kg/m2 | 25.5 ± 4.9 | 25.4 ± 5.7 | 0.847 |
| Current or past smoking,% | 57.3 | 48.0 | 0.063 |
| Family history of diabetes,% | 39.0 | 47.5 | 0.089 |
| Systolic blood pressure, mmHg | 135 ± 20.6 | 136 ± 19.8 | 0.605 |
| Diastolic blood pressure, mmHg | 81.6 ± 13.1 | 79.5 ± 12.9 | 0.113 |
| Hypertension,% | 75.0 | 68.9 | 0.178 |
| Dyslipidemia,% | 74.4 | 70.5 | 0.390 |
| Retinopathy,% | 6.7 | 20.5 | <0.001 |
| Coronary artery disease,% | 18.3 | 16.8 | 0.697 |
| Stroke,% | 8.5 | 9.8 | 0.658 |
| Plasma glucose, mg/dL | 150 (119–208) | 167 (129–238) | 0.006 |
| HbA1c,% | 7.1 ± 2.1 | 8.3 ± 2.1 | <0.001 |
| HbA1c, mmol/mol | 54 | 67 | <0.001 |
| LDL cholesterol, mg/dL | 117 ± 37.1 | 118 ± 36.0 | 0.941 |
| HDL cholesterol, mg/dL | 50.9 ± 13.7 | 50.0 ± 15.1 | 0.523 |
| Triglycerides, mg/dL | 131 (91.0–185) | 118 (89.0–173) | 0.311 |
| eGFR, mL/min/1.73 m2 | 89.1 ± 22.7 | 88.9 ± 20.6 | 0.942 |
| Multivariate Analysis | ||||||||||||
|---|---|---|---|---|---|---|---|---|---|---|---|---|
| Univariate Analysis | Model 1 | Model 2 | Model 3 | |||||||||
| Variables | Crude HR | 95% CI | p Value | Adjusted HR | 95% CI | p Value | Adjusted HR | 95% CI | p Value | Adjusted HR | 95% CI | p Value |
| Undiagnosed diabetes mellitus, yes or no | 1.760 | (1.323–2.341) | <0.001 | 1.706 | (1.271-2.290) | <0.001 | 1.647 | (1.223–2.219) | 0.001 | 1.566 | (1.159–2.115) | 0.003 |
| Age, per year | 1.008 | (0.995–1.021) | 0.221 | 1.010 | (0.995–1.024) | 0.201 | 1.007 | (0.992–1.022) | 0.385 | 1.009 | (0.994–1.024) | 0.233 |
| Male gender, yes or no | 1.471 | (1.121–1.932) | 0.005 | 1.451 | (1.094–1.926) | 0.010 | 1.500 | (1.065–2.113) | 0.020 | 1.439 | (1.020–2.031) | 0.038 |
| BMI, kg/m2 | 1.001 | (0.977–1.026) | 0.926 | 1.014 | (0.986–1.042) | 0.331 | 1.010 | (0.983–1.038) | 0.466 | 1.012 | (0.985–1.039) | 0.399 |
| Baseline HbA1c,% | 1.039 | (0.980–1.101) | 0.204 | 1.029 | (0.964–1.099) | 0.387 | 1.021 | (0.951–1.097) | 0.564 | 0.977 | (0.900–1.060) | 0.574 |
| Baseline eGFR, mL/min/1.73 m2 | 0.993 | (0.986–1.000) | 0.042 | 0.995 | (0.988–1.003) | 0.227 | 0.966 | (0.988–1.003) | 0.258 | 0.994 | (0.986–1.002) | 0.118 |
| Current or past smoking, yes or no | 1.101 | (0.843–1.436) | 0.480 | 0.972 | (0.701–1.348) | 0.864 | 0.986 | (0.710–1.370) | 0.935 | |||
| Hypertension, yes or no | 1.231 | (0.910–1.665) | 0.178 | 1.257 | (0.909–1.737) | 0.167 | 1.175 | (0.850–1.624) | 0.329 | |||
| Dyslipidemia, yes or no | 0.834 | (0.625–1.113) | 0.218 | 0.878 | (0.651–1.184) | 0.394 | 0.845 | (0.626–1.141) | 0.271 | |||
| Macroangiopathy, yes or no | 0.974 | (0.714–1.328) | 0.867 | 0.910 | (0.656–1.263) | 0.573 | 0.936 | (0.674–1.300) | 0.694 | |||
| Retinopathy, yes or no | 1.519 | (1.077–2.141) | 0.017 | 1.415 | (0.970–2.064) | 0.072 | 1.287 | (0.877–1.888) | 0.197 | |||
| Median HbA1cat follow-up,% | 1.213 | (1.099–1.338) | <0.001 | 1.244 | (1.086–1.424) | 0.002 | ||||||
© 2020 by the authors. Licensee MDPI, Basel, Switzerland. This article is an open access article distributed under the terms and conditions of the Creative Commons Attribution (CC BY) license (http://creativecommons.org/licenses/by/4.0/).
Share and Cite
Tanabe, H.; Saito, H.; Machii, N.; Kudo, A.; Tanaka, K.; Asahi, K.; Kazama, J.J.; Shimabukuro, M. Burden of Undiagnosed Type 2 Diabetes in Diabetic Kidney Disease: A Japanese Retrospective Cohort Study. J. Clin. Med. 2020, 9, 2028. https://doi.org/10.3390/jcm9072028
Tanabe H, Saito H, Machii N, Kudo A, Tanaka K, Asahi K, Kazama JJ, Shimabukuro M. Burden of Undiagnosed Type 2 Diabetes in Diabetic Kidney Disease: A Japanese Retrospective Cohort Study. Journal of Clinical Medicine. 2020; 9(7):2028. https://doi.org/10.3390/jcm9072028
Chicago/Turabian StyleTanabe, Hayato, Haruka Saito, Noritaka Machii, Akihiro Kudo, Kenichi Tanaka, Koichi Asahi, Junichiro James Kazama, and Michio Shimabukuro. 2020. "Burden of Undiagnosed Type 2 Diabetes in Diabetic Kidney Disease: A Japanese Retrospective Cohort Study" Journal of Clinical Medicine 9, no. 7: 2028. https://doi.org/10.3390/jcm9072028
APA StyleTanabe, H., Saito, H., Machii, N., Kudo, A., Tanaka, K., Asahi, K., Kazama, J. J., & Shimabukuro, M. (2020). Burden of Undiagnosed Type 2 Diabetes in Diabetic Kidney Disease: A Japanese Retrospective Cohort Study. Journal of Clinical Medicine, 9(7), 2028. https://doi.org/10.3390/jcm9072028

