Consciousness and the Dimensionality of DOC Patients via the Generalized Ising Model
Abstract
1. Introduction
2. Experimental Section
2.1. Materials
2.1.1. Participants
2.1.2. Controls
2.1.3. Ethics Statement
2.1.4. Clinical Assessment of DoC Patients
2.1.5. MRI Data Acquisition
- I.
- First rs-fMRI acquisition (named “t1”) by a T2 *-weighted single-shot EPI sequence (voxel-size 4 × 4 × 4 mm3, repetition time (TR)/echo time (TE) = 1000/21.4 ms, flip angle = 82°, 480 time points, field of view (FOV) read = 256 mm, multiband factor = 2, distance factor = 0, TA = 8′06″).
- II.
- Three-dimensional T1-weighted magnetization-prepared rapid acquisition gradient-echo sequence (MPRAGE, 240 sagittal planes, 256 × 214 mm field of view, voxel size 0.8 × 0.8 × 0.8 mm3, TR/TE/inversion time (TI) 2400/2.25/1000 ms, flip angle 8°, acquisition time (TA) = 6′18″)
- III.
- Three-dimensional T2-weighted sequence (240 sagittal planes, 256 × 214 mm field of view, voxel size 0.8 × 0.8 × 0.8 mm3, TR/TE 3370/563 ms, TA = 6′46″).
- IV.
- Three-dimensional fluid attenuation inversion recovery (FLAIR, 160 sagittal planes, 192 × 192 mm field of view, voxel size 1 × 1 × 1 mm3, TR/TE/TI 5000/334/1800 ms, TA = 6′42″).
- V.
- Second rs-fMRI acquisition (named “t2”) by a T2 *-weighted single-shot EPI sequence (voxel-size 4 × 4 × 4 mm3, TR/TE = 1000/21.4 ms, flip angle = 82°, 480 time points, FOV read = 256 mm, multiband factor = 2, distance factor = 0, TA = 8′06″). The two rs-fMRI acquisitions (t1 and t2) were separated by a 30 min interval.
- VI.
- Diffusion tractography (TR: 3,851, TE: 84.2 voxel: 2 mm3 isotropic, axial planes; 71 directions; b value max: 1500, matrix: 128 × 128 acquired both with Anterior-Posterior and Posterior-Anterior phase encoding).
Anatomical Data Preprocessing
Functional Data Preprocessing
2.1.6. Diffusion MRI
2.2. Generalized Ising Model Simulations
2.3. Multimodal Connectograms
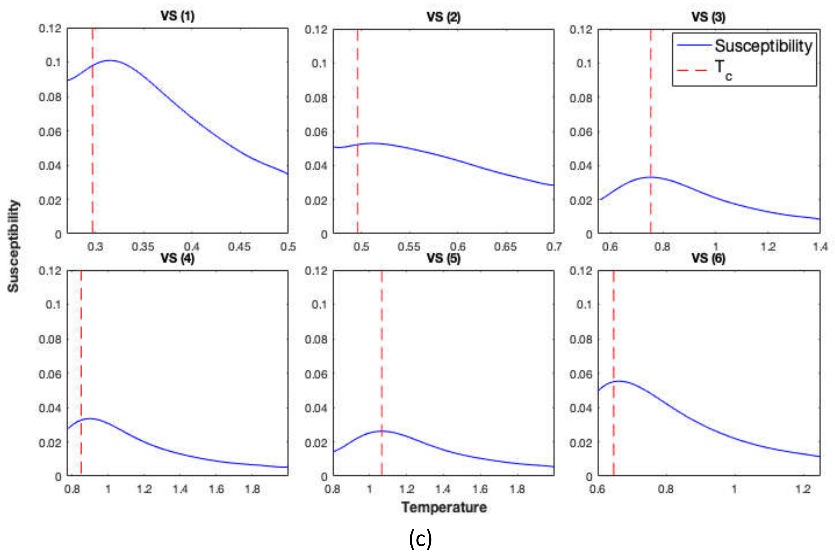
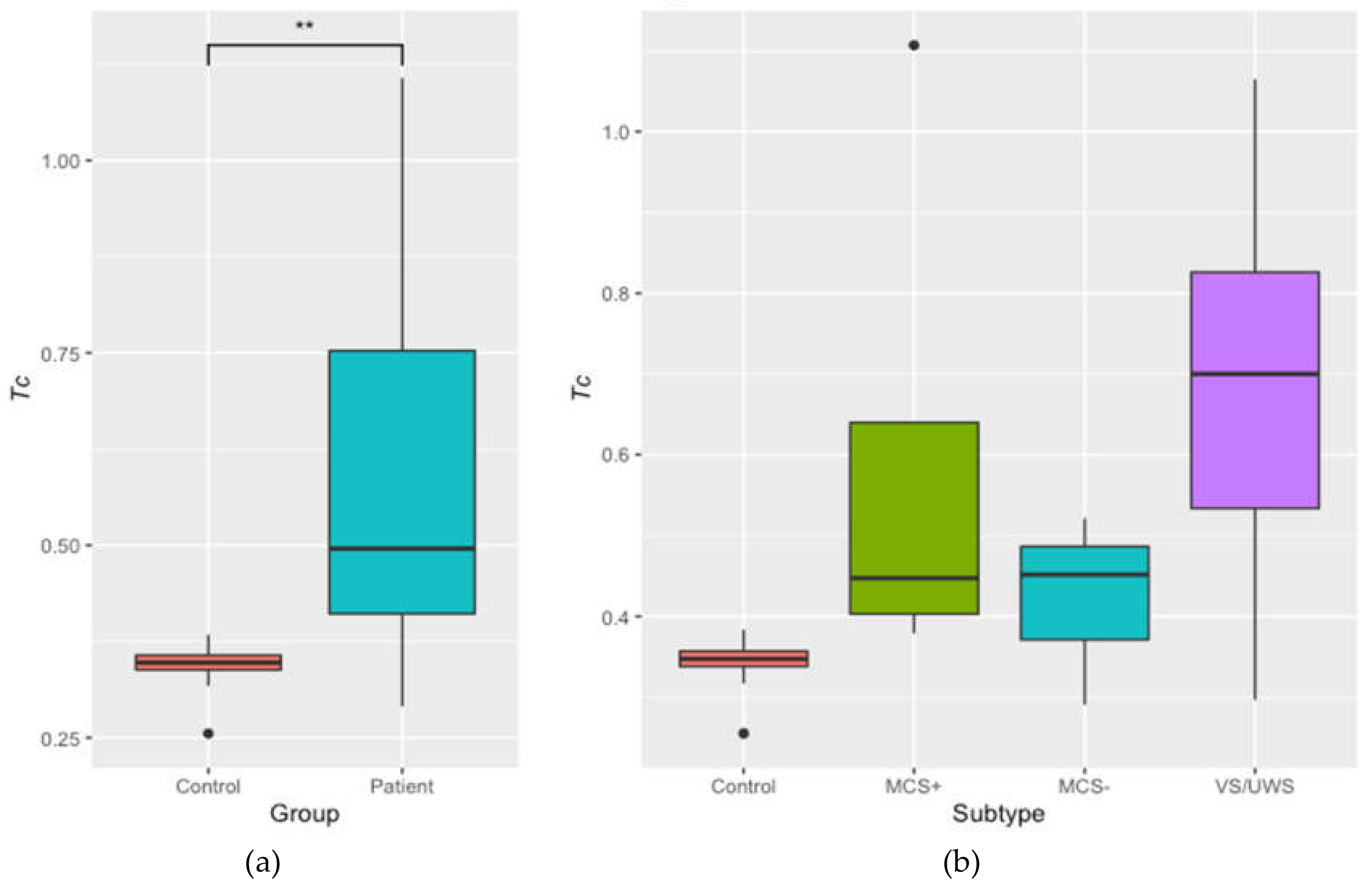
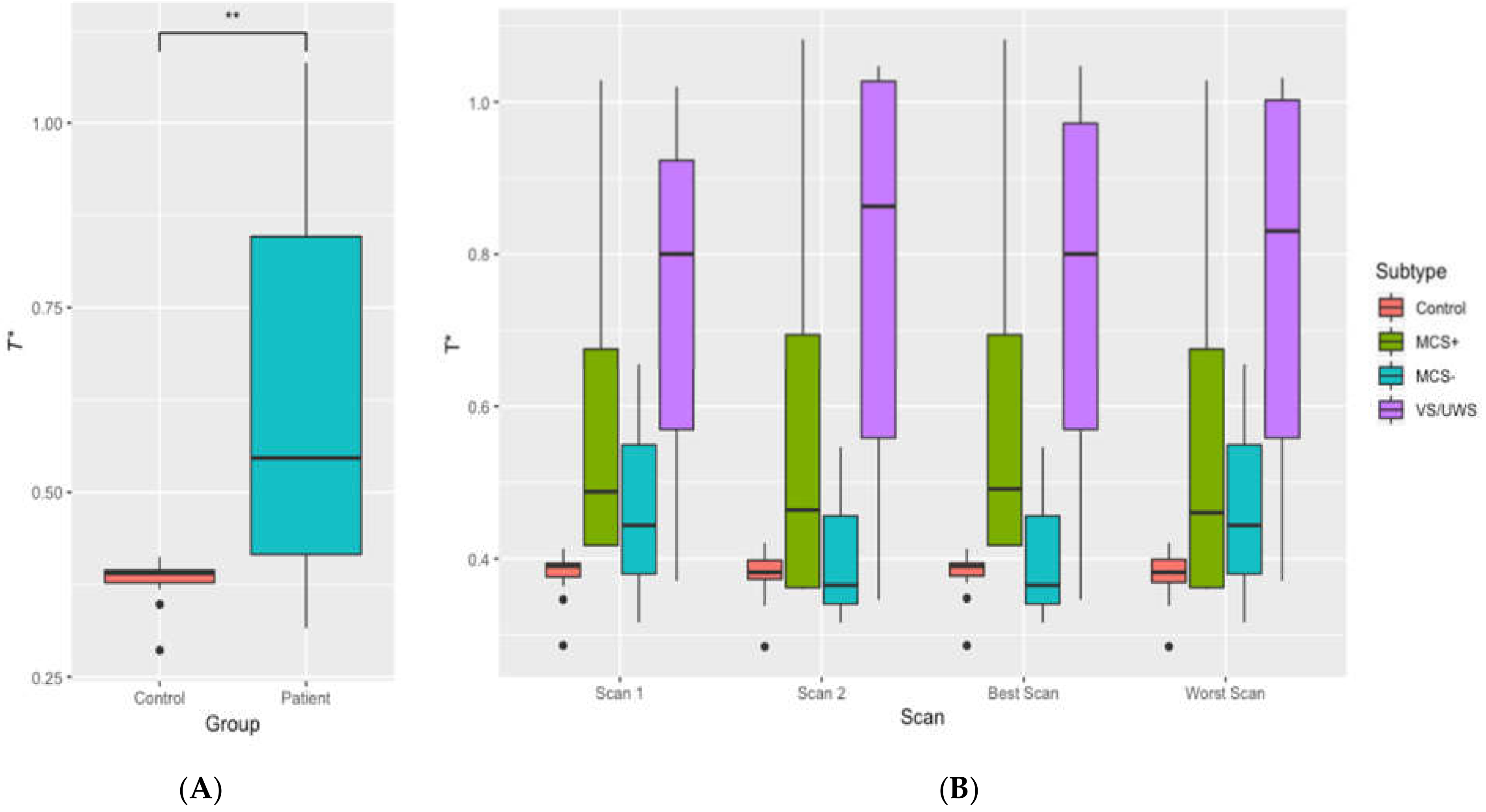
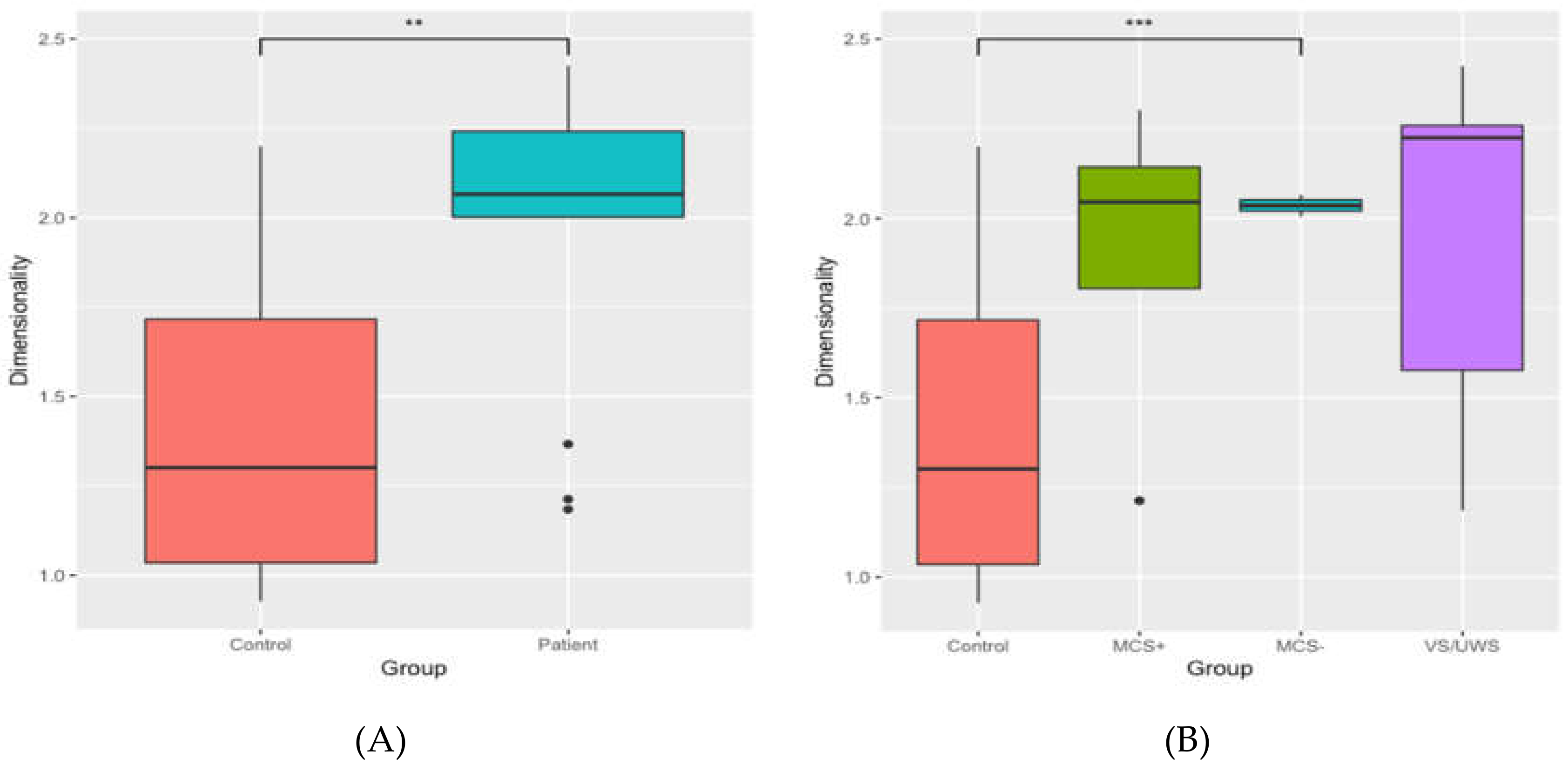
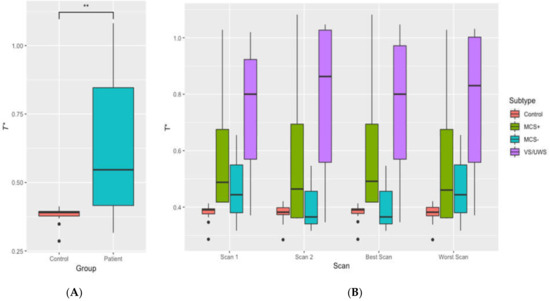
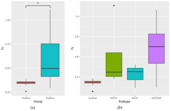
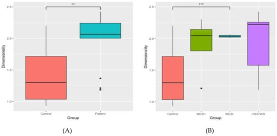
3. Results
4. Discussion
5. Conclusions
Supplementary Materials
Author Contributions
Funding
Conflicts of Interest
References
- Turner-Stokes, L. Prolonged disorders of consciousness: New national clinical guidelines from the Royal College of Physicians, London. Clin. Med. 2014, 14, 4. [Google Scholar] [CrossRef] [PubMed]
- Estraneo, A.; Loreto, V.; Guarino, I.; Boemia, V.; Paone, G.; Moretta, P.; Trojano, L. Standard EEG in diagnostic process of prolonged disorders of consciousness. Clin. Neurophysiol. 2016, 127, 2379–2385. [Google Scholar] [CrossRef] [PubMed]
- Bruno, M.A.; Vanhaudenhuyse, A.; Thibaut, A.; Moonen, G.; Laureys, S. From unresponsive wakefulness to minimally conscious PLUS and functional locked-in syndromes: Recent advances in our understanding of disorders of consciousness. J. Neurol. 2011, 258, 1373–1384. [Google Scholar] [CrossRef] [PubMed]
- Giacino, J.T.; Ashwal, S.; Childs, N.; Cranford, R.; Jennett, B.; Katz, D.I.; Kelly, J.P.; Rosenberg, J.H.; Whyte, J.; Zafonte, R.D.; et al. The minimally conscious state definition and diagnostic criteria. Neurology 2002, 58, 349–353. [Google Scholar] [CrossRef] [PubMed]
- Cortese, M.D.; Riganello, F.; Arcuri, F.; Pugliese, M.E.; Lucca, L.F.; Dolce, G.; Sannita, W.G. Coma recovery scale-r: Variability in the disorder of consciousness. BMC Neurol. 2015, 15, 186. [Google Scholar] [CrossRef] [PubMed]
- Casarotto, S.; Comanducci, A.; Rosanova, M.; Sarasso, S.; Fecchio, M.; Napolitani, M.; Pigorini, A.; Casali, A.G.; Trimarchi, P.D.; Boly, M.; et al. Stratification of unresponsive patients by an independently validated index of brain complexity. Ann. Neurol. 2016, 80, 718–729. [Google Scholar] [CrossRef]
- Casali, A.G.; Gosseries, O.; Rosanova, M.; Boly, M.; Sarasso, S.; Casali, K.R.; Casarotto, S.; Bruno, M.; Laureys, S.; Tononi, G.; et al. A theoretically based index of consciousness independent of sensory processing and behavior. Sci. Transl. Med. 2013, 5, 198ra105. [Google Scholar] [CrossRef]
- Bai, Y.; Xia, X.; Kang, J.; Yin, X.; Yang, Y.; He, J.; Li, X. Evaluating the effect of repetitive transcranial magnetic stimulation on disorders of consciousness by using TMS-EEG. Front. Neurosci. 2016, 10, 473. [Google Scholar] [CrossRef]
- Popiel, N.J.; Khajehabdollahi, S.; Abeyasinghe, P.M.; Riganello, F.; Nichols, E.; Owen, A.M.; Soddu, A. The Emergence of Integrated Information, Complexity, and ‘Consciousness’ at Criticality. Entropy 2020, 22, 339. [Google Scholar] [CrossRef]
- Tononi, G.; Boly, M.; Massimini, M.; Koch, C. Integrated information theory: From consciousness to its physical substrate. Nat. Rev. Neurosci. 2016, 17, 450–461. [Google Scholar] [CrossRef]
- Estraneo, A.; Trojano, L. Prognosis in Disorders of Consciousness. In Coma and Disorders of Consciousness; Schnakers, C., Laureys, S., Eds.; Springer: Cham, Switzerland, 2018; pp. 17–36. [Google Scholar]
- Kondziella, D.; Bender, A.; Diserens, K.; van Erp, W.; Estraneo, A.; Formisano, R.; Laureys, S.; Naccache, L.; Ozturk, S.; Rohaut, B.; et al. European Academy of Neurology guideline on the diagnosis of coma and other disorders of consciousness. Eur. J. Neurol. 2020. [Google Scholar] [CrossRef] [PubMed]
- Laureys, S.; Boly, M.; Maquet, P. Tracking the recovery of consciousness from coma. J. Clin. Investig. 2006, 11, 1823–1825. [Google Scholar] [CrossRef] [PubMed]
- Dragancea, I.; Wise, M.P.; Al-Subaie, N.; Cranshaw, J.; Friberg, H.; Glover, G.; Pellis, T.; Rylance, R.; Walden, A.; Nielsen, N.; et al. Protocol-driven neurological prognostication and withdrawal of life-sustaining therapy after cardiac arrest and targeted temperature management. Resuscitation 2017, 117, 50–57. [Google Scholar] [CrossRef] [PubMed]
- Elmer, J.; Torres, C.; Aufderheide, T.P.; Austin, M.A.; Callaway, C.W.; Golan, E. Association of early withdrawal of life-sustaining therapy for perceived neurological prognosis with mortality after cardiac arrest. Resuscitation 2016, 102, 127–135. [Google Scholar] [CrossRef] [PubMed]
- Mulder, M.; Gibbs, H.G.; Smith, S.W.; Dhaliwal, R.; Scott, N.L.; Sprenkle, M.D.; Geocadin, R.G. Awakening and withdrawal of life-sustaining treatment in cardiac arrest survivors treated with therapeutic hypothermia. Crit. Care Med. 2014, 42, 2493–2499. [Google Scholar] [CrossRef] [PubMed]
- Grothe, M.J.; Teipel, S.J. Alzheimer’s Disease Neuroimaging Initiative. Spatial patterns of atrophy, hypometabolism, and amyloid deposition in Alzheimer’s disease correspond to dissociable functional brain networks. Hum. Brain Mapp. 2016, 37, 35–53. [Google Scholar] [CrossRef]
- Jha, A.; Litvak, V.; Taulu, S.; Thevathasan, W.; Hyam, J.A.; Foltynie, T.; Limousin, P.; Bogdanovic, M.; Zrinzo, L.; Green, A.L. Functional connectivity of the pedunculopontine nucleus and surrounding region in Parkinson’s disease. Cereb. Cortex 2017, 27, 54–67. [Google Scholar] [CrossRef]
- Zeng, L.L.; Shen, H.; Liu, L.; Wang, L.; Li, B.; Fang, P.; Zhou, Z.; Li, Y.; Hu, D. Identifying major depression using whole-brain functional connectivity: A multivariate pattern analysis. Brain 2012, 135, 1498–1507. [Google Scholar] [CrossRef]
- Laureys, S.; Owen, A.M.; Schiff, N.D. Brain function in coma, vegetative state, and related disorders. Lancet Neurol. 2004, 3, 537–546. [Google Scholar] [CrossRef]
- Abeyasinghe, P.M.; de Paula, D.R.; Khajehabdollahi, S.; Valluri, S.R.; Owen, A.M.; Soddu, A. Role of Dimensionality in Predicting the Spontaneous Behavior of the Brain Using the Classical Ising Model and the Ising Model Implemented on a Structural Connectome. Brain Connect. 2018, 8, 444–455. [Google Scholar] [CrossRef]
- Deco, G.; Senden, M.; Jirsa, V. How anatomy shapes dynamics: A semi-analytical study of the brain at rest by a simple spin model. Front. Comput. Neurosci. 2012, 6, 68. [Google Scholar] [CrossRef] [PubMed]
- Marinazzo, D.; Pellicoro, M.; Wu, G.R.; Angelini, L.; Cortes, J.M.; Stramaglia, S. Information transfer of an Ising model on a brain network. BMC Neurosci. 2013, 14, P376. [Google Scholar] [CrossRef][Green Version]
- Stramaglia, S.; Pellicoro, M.; Angelini, L.; Amico, E.; Aerts, H.; Cortés, J.M.; Laureys, S.; Marinazzo, D. Ising model with conserved magnetization on the human connectome: Implications on the relation structure-function in wakefulness and anesthesia. Chaos: Interdiscip. J. Nonlinear Sci. 2017, 27, 047407. [Google Scholar] [CrossRef]
- Estraneo, A.; Moretta, P.; De, A.T.; Gatta, G.; Giacino, J.T.; Trojano, L. An Italian multicentre validation study of the coma recovery scale-revised. Eur. J. Phys. Rehabil. Med. 2015, 51, 627–634. [Google Scholar]
- Tustison, N.J.; Avants, B.B.; Cook, P.A.; Zheng, Y.; Egan, A.; Yushkevich, P.A.; Gee, J.C. N4ITK: Improved N3 bias correction. IEEE Trans. Med. Imaging 2010, 29, 1310–1320. [Google Scholar] [CrossRef] [PubMed]
- Avants, B.B.; Epstein, C.L.; Grossman, M.; Gee, J.C. Symmetric diffeomorphic image registration with cross-correlation: Evaluating automated labeling of elderly and neurodegenerative brain. Med. Image Anal. 2008, 12, 26–41. [Google Scholar] [CrossRef]
- Zhang, Y.; Brady, M.; Smith, S. Segmentation of brain MR images through a hidden Markov random field model and the expectation-maximization algorithm. IEEE Trans. Med. Imaging 2001, 20, 45–57. [Google Scholar] [CrossRef]
- Dale, A.M.; Fischl, B.; Sereno, M.I. Cortical surface-based analysis: I. Segmentation and surface reconstruction. Neuroimage 1999, 9, 179–194. [Google Scholar] [CrossRef]
- Klein, A.; Ghosh, S.S.; Bao, F.S.; Giard, J.; Häme, Y.; Stavsky, E.; Lee, N.; Rossa, B.; Reuter, M.; Neto, E.C.; et al. Mindboggling morphometry of human brains. PLoS Comput. Biol. 2017, 13, e1005350. [Google Scholar] [CrossRef]
- Fonov, V.S.; Evans, A.C.; McKinstry, R.C.; Almli, C.R.; Collins, D.L. Unbiased nonlinear average age-appropriate brain templates from birth to adulthood. NeuroImage 2009, 54, S102. [Google Scholar] [CrossRef]
- Esteban, O.; Markiewicz, C.J.; Blair, R.W.; Moodie, C.A.; Isik, A.I.; Erramuzpe, A.; Oya, H. fMRIPrep: A robust preprocessing pipeline for functional MRI. Nat. Methods 2019, 16, 111–116. [Google Scholar] [CrossRef] [PubMed]
- Gorgolewski, K.; Burns, C.D.; Madison, C.; Clark, D.; Halchenko, Y.O.; Waskom, M.L.; Ghosh, S.S. Nipype: A flexible, lightweight and extensible neuroimaging data processing framework in python. Front. Neuroinform. 2011, 5, 13. [Google Scholar] [CrossRef] [PubMed]
- Gorgolewski, K.J.; Esteban, O.; Markiewicz, C.J.; Ziegler, E.; Ellis, D.G.; Jarecka, D.; Ghosh, S. nipy/nipype: 1.1. 6. 2018. Available online: http://www.nipy.com/?f (accessed on 30 April 2020).
- Greve, D.N.; Fischl, B. Accurate and robust brain image alignment using boundary-based registration. Neuroimage 2009, 48, 63–72. [Google Scholar] [CrossRef] [PubMed]
- Jenkinson, M.; Bannister, P.; Brady, M.; Smith, S. Improved optimization for the robust and accurate linear registration and motion correction of brain images. Neuroimage 2002, 17, 825–841. [Google Scholar] [CrossRef] [PubMed]
- Cox, R.W.; Hyde, J.S. Software tools for analysis and visualization of fMRI data. NMR Biomed. Int. J. Devoted Dev. Appl. Magn. Reson. Vivo 1997, 10, 171–178. [Google Scholar] [CrossRef]
- Power, J.D.; Barnes, K.A.; Snyder, A.Z.; Schlaggar, B.L.; Petersen, S.E. Steps toward optimizing motion artifact removal in functional connectivity MRI; a reply to Carp. Neuroimage 2013, 76. [Google Scholar] [CrossRef]
- Behzadi, Y.; Restom, K.; Liau, J.; Liu, T.T. A component based noise correction method (CompCor) for BOLD and perfusion based fMRI. Neuroimage 2007, 37, 90–101. [Google Scholar] [CrossRef]
- Smith, R.E.; Tournier, J.D.; Calamante, F.; Connelly, A. Anatomically-constrained tractography: Improved diffusion MRI streamlines tractography through effective use of anatomical information. Neuroimage 2012, 62, 1924–1938. [Google Scholar] [CrossRef]
- Behrens, T.E.; Berg, H.J.; Jbabdi, S.; Rushworth, M.F.; Woolrich, M.W. Probabilistic diffusion tractography with multiple fibre orientations: What can we gain? Neuroimage 2007, 34, 144–155. [Google Scholar] [CrossRef]
- Alexander, A.L. Deterministic white matter tractography. Diffus. MRI: Theorymethodsand Appl. 2010, 383–395. [Google Scholar] [CrossRef]
- Jeurissen, B.; Tournier, J.D.; Dhollander, T.; Connelly, A.; Sijbers, J. Multi-tissue constrained spherical deconvolution for improved analysis of multi-shell diffusion MRI data. NeuroImage 2014, 103, 411–426. [Google Scholar] [CrossRef]
- Ribeiro, A.S.; Lacerda, L.M.; Ferreira, H.A. Multimodal imaging brain connectivity analysis (MIBCA) toolbox. PeerJ 2015, 3, e1078. [Google Scholar] [CrossRef] [PubMed]
- Owen, A.M.; Coleman, M.R.; Menon, D.K.; Johnsrude, I.S.; Rodd, J.M.; Davis, M.H.; Taylor, K.; Pickard, J.D. Residual auditory function in persistent vegetative state: A combined PET and fMRI study. Neuropsychol. Rehabil. 2005, 15, 290–306. [Google Scholar] [CrossRef] [PubMed]
- Mergenthaler, P.; Lindauer, U.; Dienel, G.A.; Meisel, A. Sugar for the brain: The role of glucose in physiological and pathological brain function. Trends Neurosci. 2013, 36, 587–597. [Google Scholar] [CrossRef] [PubMed]
- Cronenwett, W.J.; Csernansky, J. Thalamic pathology in schizophrenia. In Behavioral Neurobiology of Schizophrenia and Its Treatment; Springer: Berlin/Heidelberg, Germany, 2010; pp. 509–528. [Google Scholar]
- Cavaliere, C.; Kandeepan, S.; Aiello, M.; Ribeiro de Paula, D.; Marchitelli, R.; Fiorenza, S.; Orsini, M.; Trojano, L.; Masotta, O.; Lawrence, K.S.; et al. Multimodal neuroimaging approach to variability of functional connectivity in disorders of consciousness: A PET/MRI pilot study. Front. Neurol. 2018, 9, 861. [Google Scholar] [CrossRef]
- Formisano, R.; Giustini, M.; Aloisi, M.; Contrada, M.; Schnakers, C.; Zasler, N.; Estraneo, A. An International survey on diagnostic and prognostic protocols in patients with disorder of consciousness. Brain Inj. 2019, 33, 974–984. [Google Scholar] [CrossRef]
- Giacino, J.T.; Katz, D.I.; Schiff, N.D.; Whyte, J.; Ashman, E.J.; Ashwal, S.; Barbano, R.; Hammond, F.M.; Laureys, S.; Ling, G.S.F.; et al. Practice guideline update recommendations summary: Disorders of consciousness: Report of the Guideline Development, Dissemination, and Implementation Subcommittee of the American Academy of Neurology; the American Congress of Rehabilitation Medicine; and the National Institute on Disability, Independent Living, and Rehabilitation Research. Neurology 2018, 91, 450–460. [Google Scholar]











| Pt | Age at Onset | Sex | Aetiology | Time Post-Onset (Months) | Clinical Diagnosis | CRS-R Total Score (Subscales) | Conscious Behaviour |
|---|---|---|---|---|---|---|---|
| 1 | 34 | F | Anoxic | 8 | VS/UWS | 7 (2 + 1 + 0 + 2 + 0 + 2) | NA |
| 2 | 58 | F | Vascular | 10 | MCS+ | 11 (3 + 1 + 4 + 1 + 0 + 2) | Reproducible command following; object manipulation |
| 3 | 57 | M | Anoxic | 6 | MCS+ | 12 (3 + 1 + 5 + 1 + 0 + 2) | Reproducible command following; automatic motor response |
| 4 | 18 | M | Traumatic | 3 | MCS+ | 11 (3 + 3 + 2 + 1 + 0 + 2) | Reproducible command following; visual pursuit |
| 5 | 53 | M | Anoxic | 7 | VS/UWS | 6 (1 + 0 + 2 + 1 + 0 + 2) | NA |
| 6 | 70 | M | Vascular | 3 | VS/UWS | 7 (1 + 1 + 2 + 1 + 0 + 2) | NA |
| 7 | 44 | F | Vascular | 10 | MCS− | 7 (1 + 3 + 0 + 1 + 0 + 2) | Visual pursuit |
| 8 | 38 | M | Anoxic | 6 | VS/UWS | 4 (2 + 0 + 1 + 0 + 0 + 1) | NA |
| 9 | 73 | F | Vascular | 5 | VS/UWS | 6 (1 + 1 + 1 + 1 + 0 + 2) | NA |
| 10 | 48 | M | Traumatic | 3 | MCS− | 10 (2 + 3 + 2 + 1 + 0 + 2) | Visual pursuit |
| 11 | 37 | M | Vascular | 3 | MCS+ | 21 (4 + 5 + 5 + 3 + 1 + 3) | Consistent command following; object recognition; automatic motor response; intelligible vocalization |
| 12 | 24 | M | Anoxic | 2 | MCS− | 8 (1 + 2 + 2 + 1 + 0 + 2) | Visual fixation |
| 13 | 35 | M | Traumatic | 4 | VS/UWS | 7 (1 + 1 + 2 + 1 + 0 + 2) | NA |
© 2020 by the authors. Licensee MDPI, Basel, Switzerland. This article is an open access article distributed under the terms and conditions of the Creative Commons Attribution (CC BY) license (http://creativecommons.org/licenses/by/4.0/).
Share and Cite
Abeyasinghe, P.M.; Aiello, M.; Nichols, E.S.; Cavaliere, C.; Fiorenza, S.; Masotta, O.; Borrelli, P.; Owen, A.M.; Estraneo, A.; Soddu, A. Consciousness and the Dimensionality of DOC Patients via the Generalized Ising Model. J. Clin. Med. 2020, 9, 1342. https://doi.org/10.3390/jcm9051342
Abeyasinghe PM, Aiello M, Nichols ES, Cavaliere C, Fiorenza S, Masotta O, Borrelli P, Owen AM, Estraneo A, Soddu A. Consciousness and the Dimensionality of DOC Patients via the Generalized Ising Model. Journal of Clinical Medicine. 2020; 9(5):1342. https://doi.org/10.3390/jcm9051342
Chicago/Turabian StyleAbeyasinghe, Pubuditha M., Marco Aiello, Emily S. Nichols, Carlo Cavaliere, Salvatore Fiorenza, Orsola Masotta, Pasquale Borrelli, Adrian M. Owen, Anna Estraneo, and Andrea Soddu. 2020. "Consciousness and the Dimensionality of DOC Patients via the Generalized Ising Model" Journal of Clinical Medicine 9, no. 5: 1342. https://doi.org/10.3390/jcm9051342
APA StyleAbeyasinghe, P. M., Aiello, M., Nichols, E. S., Cavaliere, C., Fiorenza, S., Masotta, O., Borrelli, P., Owen, A. M., Estraneo, A., & Soddu, A. (2020). Consciousness and the Dimensionality of DOC Patients via the Generalized Ising Model. Journal of Clinical Medicine, 9(5), 1342. https://doi.org/10.3390/jcm9051342

